Involvement of Multiple Ion Channels and Receptors in Mediating the Insecticidal and Repellent Actions of Limonene
Abstract
1. Introduction
2. Results
2.1. Limonene Potentiates GABA-Dependent Chloride Currents of AaegRdl1-1 In Vitro
2.2. Limonene Repellency Is Dependent on Orco and TRPA1 Channels
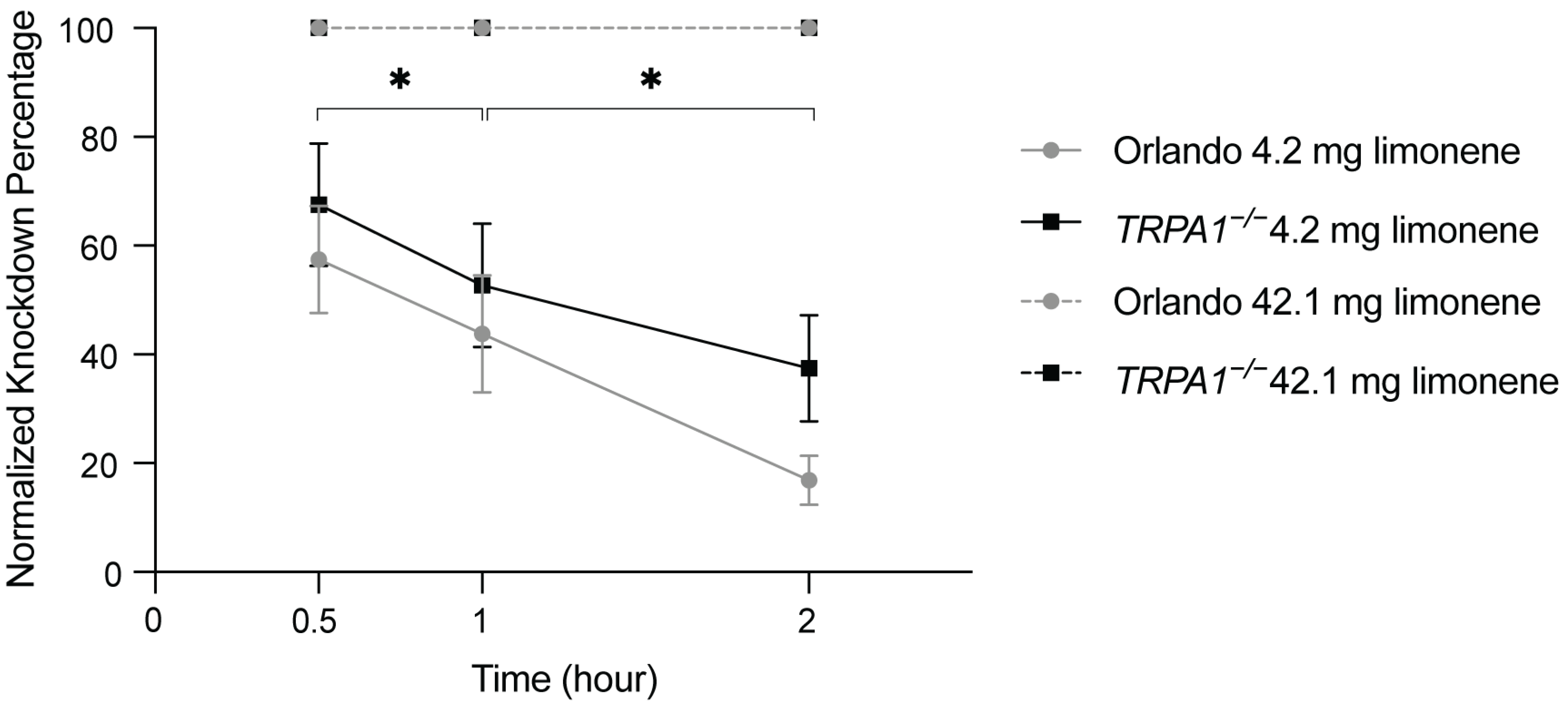
2.3. Mosquito Knockdown by Limonene Is Independent of the TRPA1 Channel
3. Discussion
4. Materials and Methods
4.1. Mosquito Culture and Chemicals
4.2. Hand-in-Cage Bioassay
4.3. Spatial Repellency Tube Assay
4.4. Vapor Toxicity Assay
4.5. Electrophysiology Assay
4.5.1. cRNA Synthesis, Oocyte Preparation, and cRNA Injection
4.5.2. Two Electrode Voltage Clamp
4.5.3. Data Collection and Statistical Analysis
5. Conclusions
Supplementary Materials
Author Contributions
Funding
Institutional Review Board Statement
Informed Consent Statement
Data Availability Statement
Acknowledgments
Conflicts of Interest
References
- Ciriminna, R.; Lomeli-Rodriguez, M.; Demma Carà, P.; Lopez-Sanchez, J.A.; Pagliaro, M. Limonene: A Versatile Chemical of the Bioeconomy. Chem. Commun. 2014, 50, 15288–15296. [Google Scholar] [CrossRef]
- Eddin, L.B.; Jha, N.K.; Meeran, M.F.N.; Kesari, K.K.; Beiram, R.; Ojha, S. Neuroprotective Potential of Limonene and Limonene Containing Natural Products. Molecules 2021, 26, 4535. [Google Scholar] [CrossRef]
- Vieira, A.J.; Beserra, F.P.; Souza, M.C.; Totti, B.M.; Rozza, A.L. Limonene: Aroma of Innovation in Health and Disease. Chem.-Biol. Interact. 2018, 283, 97–106. [Google Scholar] [CrossRef] [PubMed]
- Hollingsworth, R.G. Limonene, a Citrus Extract, for Control of Mealybugs and Scale Insects. J. Econ. Entomol. 2005, 98, 772–779. [Google Scholar] [CrossRef] [PubMed]
- Showler, A.T.; Harlien, J.L.; Perez De Léon, A.A. Effects of Laboratory Grade Limonene and a Commercial Limonene-Based Insecticide on Haematobia Irritans Irritans (Muscidae: Diptera): Deterrence, Mortality, and Reproduction. J. Med. Entomol. 2019, 56, 1064–1070. [Google Scholar] [CrossRef] [PubMed]
- Mursiti, S.; Lestari, N.A.; Febriana, Z.; Rosanti, Y.M.; Ningsih, T.W. The Activity of D-Limonene from Sweet Orange Peel (Citrus sinensis L.) Exctract as a Natural Insecticide Controller of Bedbugs (Cimex Cimicidae). Orient. J. Chem. 2019, 35, 1420–1425. [Google Scholar] [CrossRef]
- Fernandes, N.D.S.; Silva, F.A.N.; Aragão, F.A.S.D.; Zocolo, G.J.; Freitas, B.M. Volatile Organic Compounds Role in Selective Pollinator Visits to Commercial Melon Types. J. Agric. Sci. 2019, 11, 93. [Google Scholar] [CrossRef]
- Haber, A.I.; Sims, J.W.; Mescher, M.C.; Moraes, C.M.D.; Carr, D.E. A Sensory Bias Overrides Learned Preferences of Bumblebees for Honest Signals in Mimulus Guttatus. Proc. R. Soc. B 2021, 288, 20210161. [Google Scholar] [CrossRef]
- Benelli, G. Research in Mosquito Control: Current Challenges for a Brighter Future. Parasitol. Res. 2015, 114, 2801–2805. [Google Scholar] [CrossRef]
- Karunaratne, S.H.P.P.; Surendran, S.N. Mosquito Control: A Review on the Past, Present and Future Strategies. J. Natl. Sci. Found. Sri Lanka 2022, 50, 277–292. [Google Scholar] [CrossRef]
- Liu, N. Insecticide Resistance in Mosquitoes: Impact, Mechanisms, and Research Directions. Annu. Rev. Entomol. 2015, 60, 537–559. [Google Scholar] [CrossRef] [PubMed]
- Nascimento, A.M.D.; Maia, T.D.S.; Soares, T.E.S.; Menezes, L.R.A.; Scher, R.; Costa, E.V.; Cavalcanti, S.C.H.; La Corte, R. Repellency and Larvicidal Activity of Essential Oils from Xylopia laevigata, Xylopia frutescens, Lippia pedunculosa, and Their Individual Compounds against Aedes Aegypti linnaeus. Neotrop Entomol 2017, 46, 223–230. [Google Scholar] [CrossRef] [PubMed]
- Sanei-Dehkordi, A.; Moemenbellah-Fard, M.D.; Saffari, M.; Zarenezhad, E.; Osanloo, M. Nanoliposomes Containing Limonene and Limonene-Rich Essential Oils as Novel Larvicides against Malaria and Filariasis Mosquito Vectors. BMC Complement Med. Ther. 2022, 22, 140. [Google Scholar] [CrossRef] [PubMed]
- Santos, S.R.L.; Melo, M.A.; Cardoso, A.V.; Santos, R.L.C.; de Sousa, D.P.; Cavalcanti, S.C.H. Structure–Activity Relationships of Larvicidal Monoterpenes and Derivatives against Aedes aegypti Linn. Chemosphere 2011, 84, 150–153. [Google Scholar] [CrossRef]
- Hebeish, A.; Fouda, M.M.G.; Hamdy, I.A.; EL-Sawy, S.M.; Abdel-Mohdy, F.A. Preparation of Durable Insect Repellent Cotton Fabric: Limonene as Insecticide. Carbohydr. Polym. 2008, 74, 268–273. [Google Scholar] [CrossRef]
- Nematollahi, N.; Ross, P.A.; Hoffmann, A.A.; Kolev, S.D.; Steinemann, A. Limonene Emissions: Do Different Types Have Different Biological Effects? Int. J. Environ. Res. Public Health 2021, 18, 10505. [Google Scholar] [CrossRef]
- Liu, F.; Wang, Q.; Xu, P.; Andreazza, F.; Valbon, W.R.; Bandason, E.; Chen, M.; Yan, R.; Feng, B.; Smith, L.B.; et al. A Dual-Target Molecular Mechanism of Pyrethrum Repellency against Mosquitoes. Nat. Commun. 2021, 12, 2553. [Google Scholar] [CrossRef]
- Triana, M.F.; Andreazza, F.; Melo, N.; Ignell, R.; Afify, A.; Li, Y.; Zhang, D.-D.; Potter, C.J.; Dong, K.; Stensmyr, M.C. Grapefruit-Derived Nootkatone Potentiates GABAergic Signaling and Acts as a Dual-Action Mosquito Repellent and Insecticide. Curr. Biol. 2025, 35, 177–186.e6. [Google Scholar] [CrossRef]
- Wicher, D.; Miazzi, F. Functional Properties of Insect Olfactory Receptors: Ionotropic Receptors and Odorant Receptors. Cell Tissue Res. 2021, 383, 7–19. [Google Scholar] [CrossRef]
- Hallem, E.A.; Carlson, J.R. The Odor Coding System of Drosophila. Trends Genet. 2004, 20, 453–459. [Google Scholar] [CrossRef]
- Zeng, F.; Xu, P.; Leal, W.S. Odorant Receptors from Culex quinquefasciatus and Aedes aegypti Sensitive to Floral Compounds. Insect Biochem. Mol. Biol. 2019, 113, 103213. [Google Scholar] [CrossRef] [PubMed]
- Vainer, Y.; Wang, Y.; Huff, R.M.; Perets, D.; Sar-Shalom, E.; Yakir, E.; Ghaninia, M.; Coutinho-Abreu Gomes, I.V.; Ruiz, C.; Rajamanickam, D.; et al. A Conserved Odorant Receptor Underpins Borneol-Mediated Repellency in Culicine Mosquitoes. bioRxiv 2024. [Google Scholar] [CrossRef]
- DeGennaro, M.; McBride, C.S.; Seeholzer, L.; Nakagawa, T.; Dennis, E.J.; Goldman, C.; Jasinskiene, N.; James, A.A.; Vosshall, L.B. Orco Mutant Mosquitoes Lose Strong Preference for Humans and Are Not Repelled by Volatile DEET. Nature 2013, 498, 487–491. [Google Scholar] [CrossRef] [PubMed]
- Kang, K.; Panzano, V.C.; Chang, E.C.; Ni, L.; Dainis, A.M.; Jenkins, A.M.; Regna, K.; Muskavitch, M.A.T.; Garrity, P.A. Modulation of TRPA1 Thermal Sensitivity Enables Sensory Discrimination in Drosophila. Nature 2012, 481, 76–80. [Google Scholar] [CrossRef] [PubMed]
- Du, E.J.; Ahn, T.J.; Wen, X.; Seo, D.-W.; Na, D.L.; Kwon, J.Y.; Choi, M.; Kim, H.-W.; Cho, H.; Kang, K. Nucleophile Sensitivity of Drosophila TRPA1 Underlies Light-Induced Feeding Deterrence. eLife 2016, 5, e18425. [Google Scholar] [CrossRef]
- Zhong, L.; Bellemer, A.; Yan, H.; Honjo, K.; Robertson, J.; Hwang, R.Y.; Pitt, G.S.; Tracey, W.D. Thermosensory and Nonthermosensory Isoforms of Drosophila Melanogaster TRPA1 Reveal Heat-Sensor Domains of a ThermoTRP Channel. Cell Rep. 2012, 1, 43–55. [Google Scholar] [CrossRef]
- Kwon, Y.; Kim, S.H.; Ronderos, D.S.; Lee, Y.; Akitake, B.; Woodward, O.M.; Guggino, W.B.; Smith, D.P.; Montell, C. Drosophila TRPA1 Channel Is Required to Avoid the Naturally Occurring Insect Repellent Citronellal. Curr. Biol. 2010, 20, 1672–1678. [Google Scholar] [CrossRef]
- Melo, N.; Capek, M.; Arenas, O.M.; Afify, A.; Yilmaz, A.; Potter, C.J.; Laminette, P.J.; Para, A.; Gallio, M.; Stensmyr, M.C. The Irritant Receptor TRPA1 Mediates the Mosquito Repellent Effect of Catnip. Curr. Biol. 2021, 31, 1988–1994.e5. [Google Scholar] [CrossRef]
- Inocente, E.A.; Shaya, M.; Acosta, N.; Rakotondraibe, L.H.; Piermarini, P.M. A Natural Agonist of Mosquito TRPA1 from the Medicinal Plant Cinnamosma fragrans That Is Toxic, Antifeedant, and Repellent to the Yellow Fever Mosquito Aedes aegypti. PLoS Neglected Trop. Dis. 2018, 12, e0006265. [Google Scholar] [CrossRef]
- Corfas, R.A.; Vosshall, L.B. The Cation Channel TRPA1 Tunes Mosquito Thermotaxis to Host Temperatures. eLife 2015, 4, e11750. [Google Scholar] [CrossRef]
- Gu, P.; Gong, J.; Shang, Y.; Wang, F.; Ruppell, K.T.; Ma, Z.; Sheehan, A.E.; Freeman, M.R.; Xiang, Y. Polymodal Nociception in Drosophila Requires Alternative Splicing of TrpA1. Curr. Biol. 2019, 29, 3961–3973.e6. [Google Scholar] [CrossRef] [PubMed]
- Wang, Q.; Xu, P.; Sanchez, S.; Duran, P.; Andreazza, F.; Isaacs, R.; Dong, K. Behavioral and Physiological Responses of Drosophila Melanogaster and D. Suzukii to Volatiles from Plant Essential Oils. Pest Manag. Sci. 2021, 77, 3698–3705. [Google Scholar] [CrossRef] [PubMed]
- Li, T.; Saito, C.T.; Hikitsuchi, T.; Inoguchi, Y.; Mitsuishi, H.; Saito, S.; Tominaga, M. Diverse Sensitivities of TRPA1 from Different Mosquito Species to Thermal and Chemical Stimuli. Sci. Rep. 2019, 9, 20200. [Google Scholar] [CrossRef] [PubMed]
- Tong, F.; Coats, J.R. Effects of Monoterpenoid Insecticides on [3H]-TBOB Binding in House Fly GABA Receptor and 36Cl− Uptake in American Cockroach Ventral Nerve Cord. Pestic. Biochem. Physiol. 2010, 98, 317–324. [Google Scholar] [CrossRef]
- Anderson, J.A.; Coats, J.R. Acetylcholinesterase Inhibition by Nootkatone and Carvacrol in Arthropods. Pestic. Biochem. Physiol. 2012, 102, 124–128. [Google Scholar] [CrossRef]
- Rice, P.J.; Coats, J.R. Insecticidal Properties of Several Monoterpenoids to the House Fly (Diptera: Muscidae), Red Flour Beetle (Coleoptera: Tenebrionidae), and Southern Corn Rootworm (Coleoptera: Chrysomelidae). J. Econ. Entomol. 1994, 87, 1172–1179. [Google Scholar] [CrossRef]
- Priestley, C.M.; Williamson, E.M.; Wafford, K.A.; Sattelle, D.B. Thymol, a Constituent of Thyme Essential Oil, Is a Positive Allosteric Modulator of Human GABAA Receptors and a Homo-Oligomeric GABA Receptor from Drosophila Melanogaster. Br. J. Pharmacol. 2003, 140, 1363–1372. [Google Scholar] [CrossRef]
- Casida, J.E.; Durkin, K.A. Novel GABA Receptor Pesticide Targets. Pestic. Biochem. Physiol. 2015, 121, 22–30. [Google Scholar] [CrossRef]
- Nakao, T.; Banba, S.; Nomura, M.; Hirase, K. Meta-Diamide Insecticides Acting on Distinct Sites of RDL GABA Receptor from Those for Conventional Noncompetitive Antagonists. Insect Biochem. Mol. Biol. 2013, 43, 366–375. [Google Scholar] [CrossRef]
- Tong, F.; Gross, A.D.; Dolan, M.C.; Coats, J.R. The Phenolic Monoterpenoid Carvacrol Inhibits the Binding of Nicotine to the Housefly Nicotinic Acetylcholine Receptor. Pest Manag. Sci. 2013, 69, 775–780. [Google Scholar] [CrossRef]
- Jiang, S.; Yang, L.; Bloomquist, J.R. High-Throughput Screening Method for Evaluating Spatial Repellency and Vapour Toxicity to Mosquitoes. Med. Vet. Entomol. 2019, 33, 388–396. [Google Scholar] [CrossRef]
- Gross, A.; Coats, J. Can Green Chemistry Provide Effective Repellents? In Insect Repellents Handbook; CRC Press: Boca Raton, FL, USA, 2014; pp. 75–90. [Google Scholar] [CrossRef]
- Zhu, X.; Valbon, W.; Qiu, M.; Hu, C.T.; Yang, J.; Erriah, B.; Jankowska, M.; Dong, K.; Ward, M.D.; Kahr, B. Insecticidal and Repellent Properties of Rapid-Acting Fluorine-Containing Compounds against Aedes aegypti Mosquitoes. ACS Infect. Dis. 2023, 9, 1396–1407. [Google Scholar] [CrossRef]
- Du, Y.; Nomura, Y.; Satar, G.; Hu, Z.; Nauen, R.; He, S.Y.; Zhorov, B.S.; Dong, K. Molecular Evidence for Dual Pyrethroid-Receptor Sites on a Mosquito Sodium Channel. Proc. Natl. Acad. Sci. USA 2013, 110, 11785–11790. [Google Scholar] [CrossRef] [PubMed]
- Egunjobi, F.; Andreazza, F.; Zhorov, B.S.; Dong, K. A Unique Mechanism of Transfluthrin Action Revealed by Mapping Its Binding Sites in the Mosquito Sodium Channel. Insect Biochem. Mol. Biol. 2024, 175, 104214. [Google Scholar] [CrossRef]
- Salgado, V.L. Antagonist Pharmacology of Desensitizing and Non-Desensitizing Nicotinic Acetylcholine Receptors in Cockroach Neurons. Neurotoxicology 2016, 56, 188–195. [Google Scholar] [CrossRef]




Disclaimer/Publisher’s Note: The statements, opinions and data contained in all publications are solely those of the individual author(s) and contributor(s) and not of MDPI and/or the editor(s). MDPI and/or the editor(s) disclaim responsibility for any injury to people or property resulting from any ideas, methods, instructions or products referred to in the content. |
© 2025 by the authors. Licensee MDPI, Basel, Switzerland. This article is an open access article distributed under the terms and conditions of the Creative Commons Attribution (CC BY) license.
Share and Cite
Li, Y.; Valbon, W.; Andreazza, F.; Dong, K. Involvement of Multiple Ion Channels and Receptors in Mediating the Insecticidal and Repellent Actions of Limonene. Int. J. Mol. Sci. 2026, 27, 416. https://doi.org/10.3390/ijms27010416
Li Y, Valbon W, Andreazza F, Dong K. Involvement of Multiple Ion Channels and Receptors in Mediating the Insecticidal and Repellent Actions of Limonene. International Journal of Molecular Sciences. 2026; 27(1):416. https://doi.org/10.3390/ijms27010416
Chicago/Turabian StyleLi, Yuan, Wilson Valbon, Felipe Andreazza, and Ke Dong. 2026. "Involvement of Multiple Ion Channels and Receptors in Mediating the Insecticidal and Repellent Actions of Limonene" International Journal of Molecular Sciences 27, no. 1: 416. https://doi.org/10.3390/ijms27010416
APA StyleLi, Y., Valbon, W., Andreazza, F., & Dong, K. (2026). Involvement of Multiple Ion Channels and Receptors in Mediating the Insecticidal and Repellent Actions of Limonene. International Journal of Molecular Sciences, 27(1), 416. https://doi.org/10.3390/ijms27010416

