Effect of Sub-Inhibitory Concentrations of Quaternary Ammonium Compounds and Heavy Metals on Antibiotic Resistance and Expression of Virulence Factors Among Staphylococcus spp. from Dairy Products
Abstract
1. Introduction
2. Results
2.1. Susceptibility of Strains to Benzalkonium and Cadmium Chloride
2.2. Analysis of Phenotypic Changes in Response to Sub-Inhibitory Treatment
2.2.1. Antibiotic Susceptibility Changes
2.2.2. Changes in Ability to Slime Production and Biofilm Formation
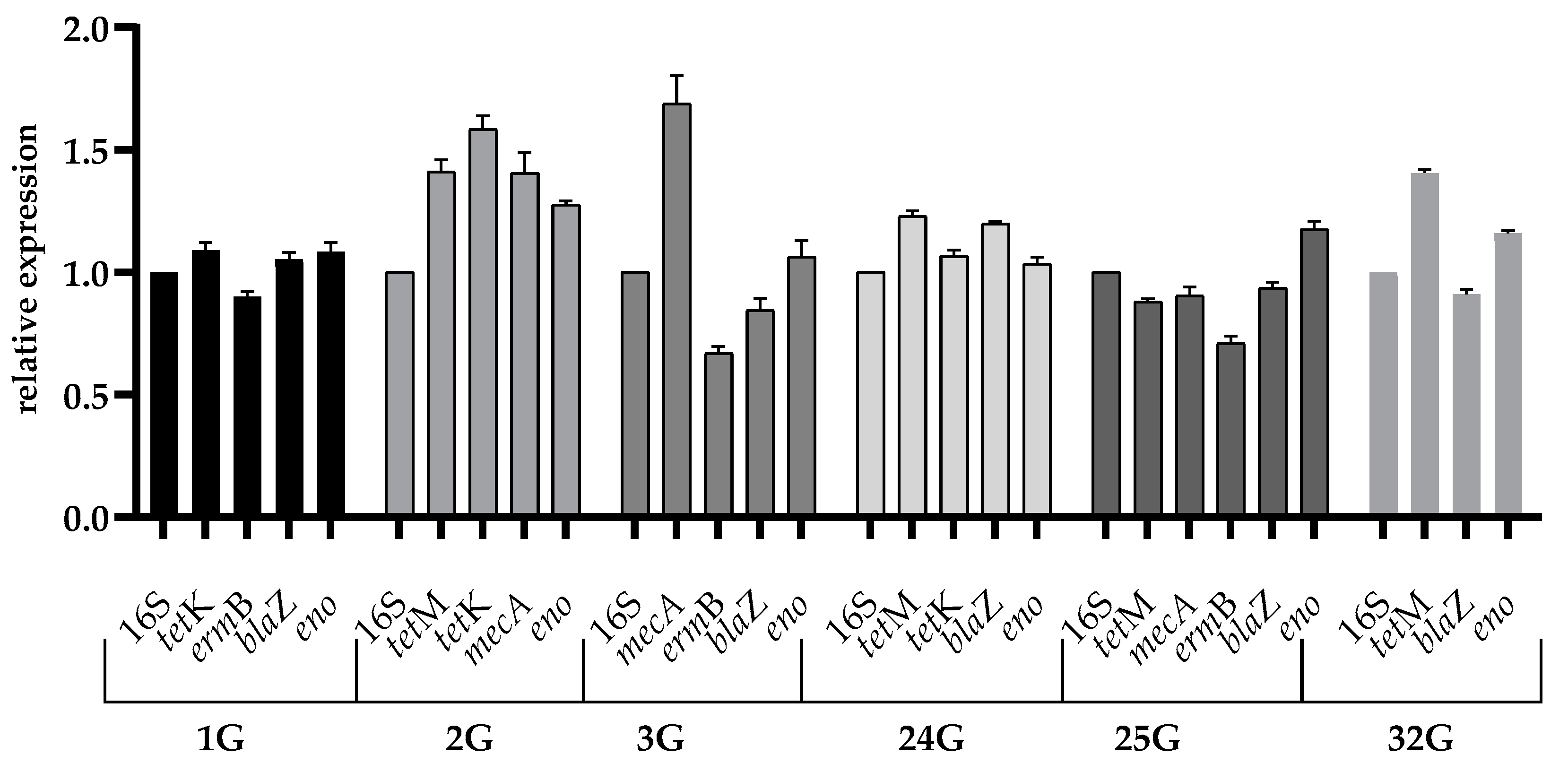
2.3. Gene Expression Analysis
3. Discussion
4. Materials and Methods
4.1. Strains
4.2. Determination of Minimum Inhibitory Concentration of Benzalkonium and Cadmium Chloride
4.3. Determination of the Effect of Disinfectants at Sub-Inhibitory Concentrations (SIC) on the Level of Susceptibility of Staphylococci
4.4. Effect of SIC on the Virulence and Antibiotic Resistance of Staphylococcus spp.
4.4.1. Antibiotic Susceptibility Testing by Microdilution Broth Assay
4.4.2. Detection of the Ability to Slime Production by Congo Red Agar (CRA) Method
4.4.3. Determination of Biofilm Production by Microtiter Plate (MTP) Method
4.5. Determination of Expression of Antibiotic Resistance and Virulence Genes
4.5.1. RNA Extraction and Reverse Transcription
4.5.2. Real-Time PCR Analysis of Gene Expression
4.6. Statistical Analysis
5. Conclusions
Supplementary Materials
Author Contributions
Funding
Institutional Review Board Statement
Informed Consent Statement
Data Availability Statement
Acknowledgments
Conflicts of Interest
References
- Miao, J.; Liang, Y.; Chen, L.; Wang, W.; Wang, J.; Li, B.; Li, L.; Chen, D.; Xu, Z. Formation and Development of Staphylococcus Biofilm: With Focus on Food Safety. J. Food Saf. 2017, 37, e12358. [Google Scholar] [CrossRef]
- Rajamanickam, K.; Yang, J.; Chidambaram, S.B. Enhancing Drug Efficacy against Mastitis Pathogens—An In Vitro Pilot Study in Staphylococcus aureus and Staphylococcus epidermidis. Animals 2020, 10, 2117. [Google Scholar] [CrossRef] [PubMed]
- Karen, V.; Pérez, C.; Márcio, G.; Sá, A.; Bryan, M.; Pereira, A.; Maria, E.; Dorneles, S. Journal of Global Antimicrobial Resistance Relationship between Virulence Factors and Antimicrobial Resistance in Staphylococcus aureus from Bovine Mastitis. Integr. Med. Res. 2020, 22, 792–802. [Google Scholar] [CrossRef]
- Grispoldi, L.; Karama, M.; Armani, A.; Cenci-goga, B.T. Staphylococcus aureus Enterotoxin in Food of Animal Origin and Staphylococcal Food Poisoning Risk Assessment from Farm to Table. Ital. J. Anim. Sci. 2021, 20, 677–690. [Google Scholar] [CrossRef]
- Chajęcka-Wierzchowska, W.; Gajewska, J.; Wiśniewski, P.; Zadernowska, A. Enterotoxigenic Potential of Coagulase-Negative Staphylococci from Ready-to-Eat Food. Pathogens 2020, 9, 734. [Google Scholar] [CrossRef]
- Liao, X.; Ma, Y.; Daliri, E.B.; Koseki, S.; Wei, S.; Liu, D.; Ye, X.; Chen, S.; Ding, T. Interplay of Antibiotic Resistance and Food-Associated Stress Tolerance in Foodborne Pathogens. Trends Food Sci. Technol. 2019, 95, 97–106. [Google Scholar] [CrossRef]
- Ma, Y.; Lan, G.; Li, C.; Manuel, E.; Liu, D.; Ye, X.; Chen, S.; Ding, T. Stress Tolerance of Staphylococcus aureus with Different Antibiotic Resistance Profiles. Microb. Pthogenes. 2019, 133, 103549. [Google Scholar] [CrossRef] [PubMed]
- Gerba, C.P. Quaternary Ammonium Biocides: Efficacy in Application. Appl. Environ. Microbiol. 2015, 81, 464–469. [Google Scholar] [CrossRef]
- Tezel, U.; Pavlostathis, S.G. Quaternary Ammonium Disinfectants: Microbial Adaptation, Degradation and Ecology. Curr. Opin. Biotechnol. 2015, 33, 296–304. [Google Scholar] [CrossRef]
- Gadea, R.; Fernández Fuentes, M.Á.; Pérez Pulido, R.; Gálvez, A.; Ortega, E. Effects of Exposure to Quaternary-Ammonium-Based Biocides on Antimicrobial Susceptibility and Tolerance to Physical Stresses in Bacteria from Organic Foods. Food Microbiol. 2017, 63, 58–71. [Google Scholar] [CrossRef]
- Tynecka, Z.; Malm, A.; Goś-Szcześniak, Z. Cd2+ Extrusion by P-Type Cd2+-ATPase of Staphylococcus aureus 17810R via Energy-Dependent Cd2+/H+ Exchange Mechanism. BioMetals 2016, 29, 651–663. [Google Scholar] [CrossRef][Green Version]
- Marzoli, F.; Turchi, B.; Pedonese, F.; Torracca, B.; Bertelloni, F.; Cilia, G.; Cerri, D.; Fratini, F. Coagulase Negative Staphylococci from Ovine Bulk-Tank Milk: Effects of the Exposure to Sub-Inhibitory Concentrations of Disinfectants for Teat-Dipping. Comp. Immunol. Microbiol. Infect. Dis. 2021, 76, 101656. [Google Scholar] [CrossRef]
- Buzón-Durán, L.; Alonso-Calleja, C.; Riesco-Peláez, F.; Capita, R. Effect of Sub-Inhibitory Concentrations of Biocides on the Architecture and Viability of MRSA Biofilms. Food Microbiol. 2017, 65, 294–301. [Google Scholar] [CrossRef]
- Lawal, O.U.; Fraqueza, M.J.; Worning, P.; Bouchami, O.; Bartels, M.D.; Goncalves, L.; Paixão, P.; Domínguez, M.A.; Westh, H.; De Lencastre, H.; et al. Staphylococcus saprophyticus Causing Infections in Humans Is Associated with High Resistance to Heavy Metals. Antimicrob. Agents Chemother. 2021, 65, e02685-20. [Google Scholar] [CrossRef]
- Mierek-Adamska, A.; Tylman-Mojzeszek, W.; Znajewska, Z.; Dąbrowska, G.B. Metalotioneiny Bakteryjne. Postep. Mikrobiol. 2017, 56, 171–179. [Google Scholar]
- Mclaughlin, M.J.; Zhao, F. Managing Cadmium in Agricultural Systems; Elsevier: Amsterdam, The Netherlands, 2020; ISBN 9783510654178. [Google Scholar]
- Chien, C.; Lin, B.; Wu, C. Biofilm Formation and Heavy Metal Resistance by an Environmental Pseudomonas. Biochem. Eng. J. 2013, 78, 132–137. [Google Scholar] [CrossRef]
- Syed, A.; Zeyad, M.T.; Shahid, M.; Elgorban, A.M.; Alkhulai, M.M.; Ansari, I.A. Heavy Metals Induced Modulations in Growth, Physiology, Cellular Viability, and Biofilm Formation of an Identified Bacterial Isolate. ACS Omega 2021, 6, 25076–25088. [Google Scholar] [CrossRef]
- Yu, Z.; Gunn, L.; Wall, P. Antimicrobial Resistance and Its Association with Tolerance to Heavy Metals in Agriculture Production. Food Microbiol. 2017, 64, 23–32. [Google Scholar] [CrossRef]
- Capita, R.; Buzón-Durán, L.; Riesco-Peláez, F.; Alonso-Calleja, C. Effect of Sub-Lethal Concentrations of Biocides on the Structural Parameters and Viability of the Biofilms Formed by Salmonella Typhimurium. Foodborne Pathog. Dis. 2017, 14, 350–356. [Google Scholar] [CrossRef]
- Rodríguez-Melcón, C.; Capita, R.; Rodríguez-Jerez, J.J.; Martínez-Suárez, J.V.; Alonso-Calleja, C. Effect of Low Doses of Disinfectants on the Biofilm-Forming Ability of Listeria monocytogenes. Foodborne Pathog. Dis. 2019, 16, 262–268. [Google Scholar] [CrossRef]
- Dweba, C.C.; Zishiri, O.T. Isolation and Molecular Identification of Virulence, Antimicrobial and Heavy Metal Resistance Genes in Staphylococcus aureus. Pathogens 2019, 11, 2497–2509. [Google Scholar] [CrossRef]
- Sinegani, A.; Younessi, N. Antibiotic Resistance of Bacteria Isolated from Heavy Metal-Polluted Soils with Different Land Uses. Integr. Med. Res. 2017, 10, 247–255. [Google Scholar] [CrossRef] [PubMed]
- Adamski, P.; Byczkowska-Rostkowska, Z.; Gajewska, J.; Zakrzewski, A.J.; Kłębukowska, L. Prevalence and Antibiotic Resistance of Bacillus sp. Isolated from Raw Milk. Microorganisms 2023, 11, 1065. [Google Scholar] [CrossRef] [PubMed]
- Byczkowska-Rostkowska, Z.; Gajewska, J.; Chajęcka-Wierzchowska, W. Antybiotyki i Antybiotykooporność w Przemyśle Mleczarskim. Polish Dairy J. 2022, 12, 10–15. [Google Scholar]
- Rozman, U.; Pušnik, M.; Kmetec, S.; Duh, D.; Turk, S.Š. Reduced Susceptibility and Increased Resistance of Bacteria against Disinfectants: A Systematic Review. Microorganisms 2021, 9, 2550. [Google Scholar] [CrossRef]
- Geraldes, C.; Tavares, L.; Gil, S.; Oliveira, M. Biocides in the Hospital Environment: Application and Tolerance Development. Microb. Drug Resist. 2023, 29, 456–476. [Google Scholar] [CrossRef] [PubMed]
- Zhang, Y.; Gu, A.Z.; He, M.; Li, D.; Chen, J. Subinhibitory Concentrations of Disinfectants Promote the Horizontal Transfer of Multidrug Resistance Genes within and across Genera. Environ. Sci. Technol. 2017, 51, 570–580. [Google Scholar] [CrossRef]
- Ghaly, T.M.; Chow, L.; Asher, A.J.; Waldron, L.S.; Gillings, M.R. Evolution of Class 1 Integrons: Mobilization and Dispersal via Food-Borne Bacteria. PLoS ONE 2017, 12, e0179169. [Google Scholar] [CrossRef]
- van Dijk, H.F.G.; Verbrugh, H.A.; Abee, T.; Andriessen, J.W.; van Dijk, H.F.G.; ter Kuile, B.H.; Mevius, D.J.; Montforts, M.H.M.M.; van Schaik, W.; Schmitt, H.; et al. Resisting Disinfectants. Commun. Med. 2022, 2, 6. [Google Scholar] [CrossRef]
- Ricke, S.C.; Dawoud, T.M.; Kim, S.A.; Park, S.H.; Kwon, Y.M. Salmonella Cold Stress Response: Mechanisms and Occurrence in Foods, 1st ed.; Elsevier Inc.: Amsterdam, The Netherlands, 2018; Volume 104, ISBN 9780128151822. [Google Scholar]
- Dopcea, N.G.; Dopcea, I.; Nanu, A.E.; Diguţă, C.F.; Matei, F. Resistance and Cross-Resistance in Staphylococcus spp. Strains Following Prolonged Exposure to Different Antiseptics. J. Glob. Antimicrob. Resist. 2020, 21, 399–404. [Google Scholar] [CrossRef]
- Zhang, Y.; Gu, A.Z.; Cen, T.; Li, X.; He, M.; Li, D.; Chen, J. Sub-Inhibitory Concentrations of Heavy Metals Facilitate the Horizontal Transfer of Plasmid-Mediated Antibiotic Resistance Genes in Water Environment. Environ. Pollut. 2018, 237, 74–82. [Google Scholar] [CrossRef] [PubMed]
- Gajewska, J.; Chajęcka-Wierzchowska, W.; Byczkowska-Rostkowska, Z.; Saki, M. Biofilm Formation Capacity and Presence of Virulence Determinants among Enterococcus Species from Milk and Raw Milk Cheeses. Life 2023, 13, 495. [Google Scholar] [CrossRef] [PubMed]
- Gajewska, J.; Chajęcka-Wierzchowska, W. Biofilm Formation Ability and Presence of Adhesion Genes among Coagulase-Negative and Coagulase-Positive Staphylococci Isolates from Raw Cow’s Milk. Pathogens 2020, 9, 654. [Google Scholar] [CrossRef]
- ISO 20776-1:19(E); International Standard Agents and Evaluation of Performance Method for Testing the in Vitro Activity. International Organization for Standardization: Geneva, Switzerland, 2019.
- Gajewska, J.; Chajęcka-Wierzchowska, W.; Zadernowska, A. Occurrence and Characteristics of Staphylococcus aureus Strains along the Production Chain of Raw Milk Cheeses in Poland. Molecules 2022, 27, 6569. [Google Scholar] [CrossRef]
- Clinical and Laboratory Standards Institute. Performance Standards for Antimicrobial Susceptibility Testing; Clinical and Laboratory Standards Institute: Wayne, PA, USA, 2020; Volume 58, ISBN 9781684400669. [Google Scholar]
- Moreira, C.A.; de Oliveira, L.C.; Mendes, M.S.; Santiago, T.d.M.; Barros, E.B.; de Carvalho, C.B.M. Biofilm Production by Clinical Staphylococci Strains from Canine Otitis. Brazilian J. Microbiol. 2012, 43, 371–374. [Google Scholar] [CrossRef]
- Stepanović, S.; Vuković, D.; Hola, V.; Bonaventura, G.D.; Djukić, S.; Ćircović, I.; Ruzicka, F. Quantification of Biofilm in Microtiter Plates. Apmis 2007, 115, 891–899. [Google Scholar] [CrossRef]
- Zarzecka, U.; Zadernowska, A.; Chajęcka-Wierzchowska, W. Effects of Osmotic and High Pressure Stress on Expression of Virulence Factors among Enterococcus Spp. Isolated from Food of Animal Origin. Food Microbiol. 2022, 102, 103900. [Google Scholar] [CrossRef] [PubMed]
- Zakrzewski, A.; Gajewska, J.; Chajęcka-Wierzchowska, W.; Zadernowska, A. Effect of Sous-Vide Processing of Fish on the Virulence and Antibiotic Resistance of Listeria monocytogenes. NFS J. 2023, 31, 155–161. [Google Scholar] [CrossRef]
- Kot, B.; Sytykiewicz, H.; Sprawka, I. Expression of the Biofilm-Associated Genes in Methicillin-Resistant Staphylococcus aureus in Biofilm and Planktonic Conditions. Int. J. Mol. Sci. 2018, 19, 3487. [Google Scholar] [CrossRef]
- Flórez, A.B.; Alegría, Á.; Rossi, F.; Delgado, S.; Felis, G.E.; Torriani, S.; Mayo, B. Molecular Identification and Quantification of Tetracycline and Erythromycin Resistance Genes in Spanish and Italian Retail Cheeses. BioMed Res. Int. 2014, 2014, 10. [Google Scholar] [CrossRef]
- Wang, S.; Luo, J.; Liu, X.Q.; Kang, O.H.; Kwon, D.Y. Antibacterial Activity and Synergy of Antibiotics with Sanguisorbigenin Isolated from Sanguisorba Officinalis L. against Methicillin-Resistant Staphylococcus aureus. Lett. Appl. Microbiol. 2021, 72, 238–244. [Google Scholar] [CrossRef] [PubMed]


| Species | ID Isolate | MIC Benzalkonium Chloride (µg/mL) | MIC Cadmium Chloride (µg/mL) | ||
|---|---|---|---|---|---|
| PRE | POST | PRE | POST | ||
| S. epidermidis | 1G | 8 | 16 | 8 | 64 |
| 2G | 8 | 16 | 4 | >128 | |
| 3G | 4 | 8 | 2 | 8 | |
| 4G | 2 | 8 | 32 | 256 | |
| 5G | 4 | 8 | 16 | >256 | |
| 6G | 2 | 4 | 16 | 256 | |
| 7G | 4 | 16 | 32 | 32 | |
| 8G | 8 | 8 | 0.5 | 128 | |
| 9G | 4 | 4 | 16 | 16 | |
| 10G | 16 | 8 | 4 | 256 | |
| 11G | 4 | 8 | 32 | 8 | |
| 12G | 4 | 8 | 16 | 128 | |
| 13G | 2 | 8 | 16 | 64 | |
| 14G | 8 | 8 | 128 | 64 | |
| 15G | 4 | 4 | 16 | >256 | |
| 16G | 4 | 8 | 16 | 128 | |
| 17G | 4 | 8 | 0.25 | 128 | |
| S. haemolyticus | 18G | 8 | 16 | 16 | 32 |
| S. saprophyticus | 19G | 2 | 4 | 32 | 8 |
| 20G | 4 | 4 | 128 | 64 | |
| 21G | 4 | 8 | 16 | 8 | |
| S. aureus | 22G | 4 | 2 | 16 | 32 |
| 23G | 4 | 8 | 128 | >512 | |
| 24G | 4 | 8 | 16 | >512 | |
| 25G | 4 | 8 | 128 | 64 | |
| 26G | 4 | 8 | 128 | 256 | |
| 27G | 4 | 4 | 256 | 256 | |
| 28G | 4 | 4 | 64 | >256 | |
| 29G | 4 | 8 | >256 | 128 | |
| 30G | 4 | 4 | 256 | 128 | |
| 31G | 4 | 8 | 32 | 16 | |
| 32G | 4 | 16 | 128 | 256 | |
| ID | Species | MIC (µL/mL) PRE | MIC Values (µL/mL) for Antibiotics After BAC Stress | MIC Values (µL/mL) for Antibiotics After Cadmium Chloride Stress | ||||||
|---|---|---|---|---|---|---|---|---|---|---|
| E | TE | OXA | E | TE | OXA | E | TE | OXA | ||
| 1G | S. epidermidis | 8 | 0.25 | 16 | 8 | 0.25 | 32 | 32 | 0.75 | 16 |
| 2G | 4 | 0.25 | 4 | 8 | 0.75 | 16 | 8 | 1 | 16 | |
| 3G | 2 | 0.25 | 0.75 | 4 | 1 | 2 | 4 | 1 | 4 | |
| 24G | S. aureus | 0.125 | 0.125 | 0.125 | 0.5 | 0.125 | 0.25 | 0.5 | 0.125 | 0.25 |
| 25G | 1 | 0.25 | 2 | 2 | 0.5 | 16 | 2 | 0.5 | 16 | |
| 32G | 1 | 0.125 | 0.0625 | 2 | 0.25 | 0.25 | 2 | 0.25 | 0.5 | |
| Species | ID Isolate | Biofilm Formation Ability | Slime Production Ability | ||||
|---|---|---|---|---|---|---|---|
| PRE | POST | PRE | POST | ||||
| Benzalkonium Chloride Treatment | Cadmium Chlroide Treatment | Benzalkonium Chloride Treatment | Cadmium Chlroide Treatment | ||||
| S. epidermidis | 1G | intermediate | intermediate | weak | bordeaux | red | bordeaux |
| 2G | intermediate | strong | strong | bordeaux | bordeaux | bordeaux | |
| 3G | weak | intermediate | strong | bordeaux | red | almost black | |
| S. aureus | 24G | strong | intermediate | strong | almost black | almost black | almost black |
| 25G | strong | intermediate | strong | almost black | almost black | almost black | |
| 32G | strong | strong | strong | almost black | almost black | almost black | |
| Isolate | Identification | Antibiotic Resistance Genes | Virulence Gene |
|---|---|---|---|
| 1G. | S. epidermidis | tetK, ermB, and blaZ | eno |
| 2G. | S. epidermidis | tetK, tetM, and mecA | eno |
| 3G. | S. epidermidis | blaZ, mecA, and ermB | eno |
| 24G. | S. aureus | tetK, tetM, and blaZ | eno |
| 25G. | S. aureus | mecA, tetM, ermB, and blaZ | eno |
| 32G. | S. aureus | tetM and blaZ | eno |
| Gene | Primers Sequence (5′ → 3′) | Amplicon Size [bp] | References |
|---|---|---|---|
| Eno (encodes α-enolase) | F: AAACTGCCGTAGGTGACGAA | 301 | [43] |
| R: TGTTTCAACAGCATCTTCAGTACCTT | |||
| tetK (encodes a tetracycline efflux pump) | F: TGCTGCATTCCCTTCACTGA | 69 | [44] |
| R: GCTTTGCCTTGTTTTTTTCTTGTAA | |||
| tetM (ribosomal protection protein) | F: CAGAATTAGGAAGCGTGGACAA | 67 | |
| R: CCTCTCTGACGTTCTAAAAGCGTAT | |||
| ermB (encodes the ribosomal methylase) | F: GGATTCTACAAGCGTACCTTGGA | 69 | |
| R: AATCGAGACTTGAGTGTGCAAGAG | |||
| mecA (encodes penicillin-binding protein 2a) | F: CAATGCCAAAATCTCAGGTAAAGTG | 107 | [45] |
| R: AACCATCGTTACGGATTGCTTC | |||
| blaZ (encoding penicillin resistance) | F: GCTTTAAAAGAACTTATTGAGGCTTCA | 233 | |
| R: CCACCGATYTCKTTTATAATTT | |||
| 16s rRNA | F: CCGCCTGGGGAGTACG | 240 | |
| R: AAGGGTTGCGCTCGTTGC |
Disclaimer/Publisher’s Note: The statements, opinions and data contained in all publications are solely those of the individual author(s) and contributor(s) and not of MDPI and/or the editor(s). MDPI and/or the editor(s) disclaim responsibility for any injury to people or property resulting from any ideas, methods, instructions or products referred to in the content. |
© 2025 by the authors. Licensee MDPI, Basel, Switzerland. This article is an open access article distributed under the terms and conditions of the Creative Commons Attribution (CC BY) license (https://creativecommons.org/licenses/by/4.0/).
Share and Cite
Byczkowska-Rostkowska, Z.; Gajewska, J.; Zadernowska, A.; Chajęcka-Wierzchowska, W. Effect of Sub-Inhibitory Concentrations of Quaternary Ammonium Compounds and Heavy Metals on Antibiotic Resistance and Expression of Virulence Factors Among Staphylococcus spp. from Dairy Products. Int. J. Mol. Sci. 2025, 26, 2429. https://doi.org/10.3390/ijms26062429
Byczkowska-Rostkowska Z, Gajewska J, Zadernowska A, Chajęcka-Wierzchowska W. Effect of Sub-Inhibitory Concentrations of Quaternary Ammonium Compounds and Heavy Metals on Antibiotic Resistance and Expression of Virulence Factors Among Staphylococcus spp. from Dairy Products. International Journal of Molecular Sciences. 2025; 26(6):2429. https://doi.org/10.3390/ijms26062429
Chicago/Turabian StyleByczkowska-Rostkowska, Zuzanna, Joanna Gajewska, Anna Zadernowska, and Wioleta Chajęcka-Wierzchowska. 2025. "Effect of Sub-Inhibitory Concentrations of Quaternary Ammonium Compounds and Heavy Metals on Antibiotic Resistance and Expression of Virulence Factors Among Staphylococcus spp. from Dairy Products" International Journal of Molecular Sciences 26, no. 6: 2429. https://doi.org/10.3390/ijms26062429
APA StyleByczkowska-Rostkowska, Z., Gajewska, J., Zadernowska, A., & Chajęcka-Wierzchowska, W. (2025). Effect of Sub-Inhibitory Concentrations of Quaternary Ammonium Compounds and Heavy Metals on Antibiotic Resistance and Expression of Virulence Factors Among Staphylococcus spp. from Dairy Products. International Journal of Molecular Sciences, 26(6), 2429. https://doi.org/10.3390/ijms26062429

