Synthesis of Naringenin and Senecioic Acid Ester Derivatives and Biological Evaluation of the Astrocyte Antioxidant Mechanism and Reactivity After Inflammatory Stimulus
Abstract
1. Introduction
2. Results
2.1. Naringenin and Senecioic Acid Ester Derivatives Characterized by Nuclear Magnetic Resonance (NMR)
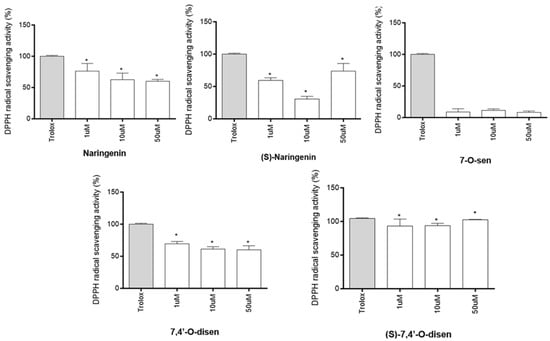
2.2. Antioxidant Effects of Naringenin and Senecioic Acid Ester Derivative Isomers
2.3. Toxicity of Naringenin and Senecioic Acid Ester Derivatives to Astrocytes and GS Depletion
3. Discussion
4. Materials and Methods
4.1. Procedures for Flavonoids Purification, Synthesis of Derivatives, and Treatments
4.2. Biological Experimental Procedures
4.2.1. Cell-Free Screening of the Antioxidant Activity
4.2.2. Astrocytes Primary Cultures
4.2.3. Analysis of Cell Viability by the MTT Test
4.2.4. Analysis of Glutathione (GSH) Depletion
4.2.5. Analysis of Astrocyte Phenotype and Reactivity
4.2.6. Analysis of Astrocyte Phenotype by Immunofluorescence
4.3. Nitric Oxide Production
4.4. Superoxide Dismutase (SOD) Activity
4.5. Statistical Analysis
5. Conclusions
Supplementary Materials
Author Contributions
Funding
Institutional Review Board Statement
Informed Consent Statement
Data Availability Statement
Acknowledgments
Conflicts of Interest
References
- Escartin, C.; Galea, E.; Lakatos, A.; O’Callaghan, J.P.; Petzold, G.C.; Serrano-Pozo, A.; Steinhäuser, C.; Volterra, A.; Carmignoto, G.; Agarwal, A.; et al. Reactive astrocyte nomenclature, definitions, and future directions. Nat. Neurosci. 2021, 24, 312–325. [Google Scholar] [CrossRef] [PubMed]
- Verkhratsky, A.; Butt, A.; Li, B.; Illes, P.; Zorec, R.; Semyanov, A.; Tang, Y.; Sofroniew, M.V. Astrocytes in human central nervous system diseases: A frontier for new therapies. Signal Transduct. Target. Ther. 2023, 8, 396. [Google Scholar] [CrossRef] [PubMed]
- Palmer, A.L.; Ousman, S.S. Astrocytes and Aging. Front. Aging Neurosci. 2018, 10, 337. [Google Scholar] [CrossRef]
- Chen, Y.; Qin, C.; Huang, J.; Tang, X.; Liu, C.; Huang, K.; Xu, J.; Guo, G.; Tong, A.; Zhou, L. The role of astrocytes in oxidative stress of central nervous system: A mixed blessing. Cell Prolif. 2020, 53, e12781. [Google Scholar] [CrossRef]
- McBean, G.J. Astrocyte Antioxidant Systems. Antioxidants 2018, 7, 112. [Google Scholar] [CrossRef]
- Costa, S.L.; Silva, V.D.; Dos Santos Souza, C.; Santos, C.C.; Paris, I.; Muñoz, P.; Segura-Aguilar, J. Impact of Plant-Derived Flavonoids on Neurodegenerative Diseases. Neurotox. Res. 2016, 30, 41–52. [Google Scholar] [CrossRef]
- Bellavite, P. Neuroprotective Potentials of Flavonoids: Experimental Studies and Mechanisms of Action. Antioxidants 2023, 12, 280. [Google Scholar] [CrossRef]
- Cavia-Saiz, M.; Busto, M.D.; Pilar-Izquierdo, M.C.; Ortega, N.; Perez-Mateos, M.; Muñiz, P. Antioxidant properties, radical scavenging activity and biomolecule protection capacity of flavonoid naringenin and its glycoside naringin: A comparative study. J. Sci. Food Agric. 2010, 90, 1238–1244. [Google Scholar] [CrossRef]
- Hassan, H.M.; Elnagar, M.R.; Abdelrazik, E.; Mahdi, M.R.; Hamza, E.; Elattar, E.M.; ElNashar, E.M.; Alghamdi, M.A.; Al-Qahtani, Z.; Al-Khater, K.M.; et al. Neuroprotective effect of naringin against cerebellar changes in Alzheimer’s disease through modulation of autophagy, oxidative stress and tau expression: An experimental study. Front. Neuroanat. 2022, 16, 1012422. [Google Scholar] [CrossRef]
- Atoki, A.V.; Aja, P.M.; Shinkafi, T.S.; Ondari, E.N.; Awuchi, C.G. Naringenin: Its chemistry and roles in neuroprotection. Nutr. Neurosci. 2024, 27, 637–666. [Google Scholar] [CrossRef]
- Xu, M.J.; Wu, B.; Ding, T.; Chu, J.H.; Li, C.Y.; Zhang, J.; Wu, T.; Wu, J.; Liu, S.J.; Liu, S.L.; et al. Simultaneous characterization of prenylated flavonoids and isoflavonoids in Psoralea corylifolia L. by liquid chromatography with diode-array detection and quadrupole time-of-flight mass spectrometry. Rapid Commun. Mass Spectrom. RCM 2012, 26, 2343–2358. [Google Scholar] [CrossRef] [PubMed]
- Yang, X.; Jiang, Y.; Yang, J.; He, J.; Sun, J.; Chen, F.; Yang, B. Prenylated flavonoids, promising nutraceuticals with impressive biological activities. Trends Food Sci. Technol. 2015, 44, 93–104. [Google Scholar] [CrossRef]
- Mai HD, T.; Toan, T.P.; Huu, G.T.; Le, T.N.; Oanh VT, K.; Hang NT, M.; Thu, H.T.; Chau, V.M.; Litaudon, M.; Pham, V.C. New flavonoid and stilbene derivatives from the fruits of Macaranga balansae. Nat. Prod. Res. 2020, 34, 2772–2778. [Google Scholar] [CrossRef] [PubMed]
- Santos, C.M.M.; Silva, A.M.S. The Antioxidant Activity of Prenylflavonoids. Molecules 2020, 25, 696. [Google Scholar] [CrossRef]
- Lv, H.W.; Wang, Q.L.; Luo, M.; Zhu, M.D.; Liang, H.M.; Li, W.J.; Cai, H.; Zhou, Z.B.; Wang, H.; Tong, S.Q.; et al. Phytochemistry and pharmacology of natural prenylated flavonoids. Arch. Pharmacal Res. 2023, 46, 207–272. [Google Scholar] [CrossRef]
- Lee, J.; Kim, K.; Son, J.; Lee, H.; Song, J.H.; Lee, T.; Jeon, H.; Kim, H.S.; Park, S.J.; Yoo, H.Y.; et al. Improved Productivity of Naringin Oleate with Flavonoid and Fatty Acid by Efficient Enzymatic Esterification. Antioxidants 2022, 11, 242. [Google Scholar] [CrossRef]
- Mi, J.; He, Y.; Yang, J.; Zhou, Y.; Zhu, G.; Wu, A.; Liu, W.; Sang, Z. Development of naringenin-O-carbamate derivatives as multi-target-directed ligands for the treatment of Alzheimer’s disease. Bioorg. Med. Chem. Lett. 2020, 60, 128574. [Google Scholar] [CrossRef]
- Victor, M.M.; David, J.M.; Sakukuma MC, K.; França, E.L.; Nunes AV, J. A simple and efficient process for the extraction of naringin from grapefruit peel waste. Green Process. Synth. 2018, 7, 524–529. [Google Scholar] [CrossRef]
- Baliyan, S.; Mukherjee, R.; Priyadarshini, A.; Vibhuti, A.; Gupta, A.; Pandey, R.P.; Chang, C.-M. Determination of Antioxidants by DPPH Radical Scavenging Activity and Quantitative Phytochemical Analysis of Ficus religiosa. Molecules 2022, 27, 1326. [Google Scholar] [CrossRef]
- De Almeida, M.M.A.; Souza, C.D.S.; Dourado, N.S.; da Silva, A.B.; Ferreira, R.S.; David, J.M.; David, J.P.; Costa, M.F.D.; da Silva, V.D.A.; Butt, A.M.; et al. Phytoestrogen Agathisflavone Ameliorates Neuroinflammation-Induced by LPS and IL-1β and Protects Neurons in Cocultures of Glia/Neurons. Biomolecules 2020, 10, 562. [Google Scholar] [CrossRef]
- Dourado, N.S.; Souza, C.D.S.; de Almeida, M.M.A.; Bispo da Silva, A.; Dos Santos, B.L.; Silva, V.D.A.; De Assis, A.M.; da Silva, J.S.; Souza, D.O.; Costa, M.F.D.; et al. Neuroimmunomodulatory and Neuroprotective Effects of the Flavonoid Apigenin in in vitro Models of Neuroinflammation Associated With Alzheimer’s Disease. Front. Aging Neurosci. 2020, 12, 119. [Google Scholar] [CrossRef] [PubMed]
- Xu, X.; Wang, S.S.; Zhang, L.; Lu, A.X.; Lin, Y.; Liu, J.X.; Yan, C.H. Methylmercury induced ferroptosis by interference of iron homeostasis and glutathione metabolism in CTX cells. Environ. Pollut. 2023, 335, 122278. [Google Scholar] [CrossRef] [PubMed]
- You, L.H.; Yan, C.Z.; Zheng, B.J.; Ci, Y.Z.; Chang, S.Y.; Yu, P.; Gao, G.F.; Li, H.Y.; Dong, T.Y.; Chang, Y.Z. Astrocyte hepcidin is a key factor in LPS-induced neuronal apoptosis. Cell Death Dis. 2017, 8, e2676. [Google Scholar] [CrossRef]
- Wang, J.; Mazza, G. Inhibitory effects of anthocyanins and other phenolic compounds on nitric oxide production in LPS/IFN-gamma-activated RAW 264.7 macrophages. J. Agric. Food Chem. 2022, 50, 850–857. [Google Scholar] [CrossRef]
- Wang, L.; Hagemann, T.L.; Kalwa, H.; Michel, T.; Messing, A.; Feany, M.B. Nitric oxide mediates glial-induced neurodegeneration in Alexander disease. Nat. Commun. 2015, 6, 8966. [Google Scholar] [CrossRef]
- Maleki, S.J.; Crespo, J.F.; Cabanillas, B. Anti-inflammatory effects of flavonoids. Food Chem. 2019, 299, 125124. [Google Scholar] [CrossRef]
- Jabbari, M.; Jabbari, A.R. Antioxidant potential and DPPH radical scavenging kinetics of water-insoluble flavonoid naringenin in aqueous solution of micelles. Colloids Surf. A Physicochem. Eng. Asp. 2016, 489, 392–399. [Google Scholar] [CrossRef]
- Xiao, J. Dietary flavonoid aglycones and their glycosides: Which show better biological significance? Crit. Rev. Food Sci. Nutr. 2017, 57, 1874–1905. [Google Scholar] [CrossRef]
- Chen, X.; Mukwaya, E.; Wong, M.S.; Zhang, Y. A systematic review on biological activities of prenylated flavonoids. Pharm. Biol. 2014, 52, 655–660. [Google Scholar] [CrossRef]
- Slámová, K.; Kapešová, J.; Valentová, K. “Sweet Flavonoids”: Glycosidase-Catalyzed Modifications. Int. J. Mol. Sci. 2018, 19, 2126. [Google Scholar] [CrossRef]
- Zhang, Y.; Liu, L.; Liu, Y.Z.; Shen, X.L.; Wu, T.Y.; Zhang, T.; Wang, W.; Wang, Y.X.; Jiang, C.L. NLRP3 Inflammasome Mediates Chronic Mild Stress-Induced Depression in Mice via Neuroinflammation. Int. J. Neuropsychopharmacol. 2015, 18, pyv006. [Google Scholar] [CrossRef] [PubMed]
- Moulson, A.J.; Squair, J.W.; Franklin, R.J.M.; Tetzlaff, W.; Assinck, P. Diversity of Reactive Astrogliosis in CNS Pathology: Heterogeneity or Plasticity? Front. Cell. Neurosci. 2021, 15, 703810. [Google Scholar] [CrossRef] [PubMed]
- Hamby, M.E.; Sofroniew, M.V. Reactive astrocytes as therapeutic targets for CNS disorders. Neurother. J. Am. Soc. Exp. NeuroTherapeutics 2010, 7, 494–506. [Google Scholar] [CrossRef]
- Eklund, B.I.; Edalat, M.; Stenberg, G.; Mannervik, B. Screening for recombinant glutathione transferases active with monochlorobimane. Anal. Biochem. 2002, 309, 102–108. [Google Scholar] [CrossRef]
- Rae, C.D.; Williams, S.R. Glutathione in the human brain: Review of its roles and measurement by magnetic resonance spectroscopy. Anal. Biochem. 2017, 529, 127–143. [Google Scholar] [CrossRef]
- Aoyama, K. Glutathione in the Brain. Int. J. Mol. Sci. 2021, 22, 5010. [Google Scholar] [CrossRef]
- Salim, S. Oxidative Stress and the Central Nervous System. J. Pharmacol. Exp. Ther. 2017, 360, 201–205. [Google Scholar] [CrossRef]
- Krishna Chandran, A.M.; Christina, H.; Das, S.; Mumbrekar, K.D.; Satish Rao, B.S. Neuroprotective role of naringenin against methylmercury induced cognitive impairment and mitochondrial damage in a mouse model. Environ. Toxicol. Pharmacol. 2019, 71, 103224. [Google Scholar] [CrossRef]
- Xue, N.; Wu, X.; Wu, L.; Li, L.; Wang, F. Antinociceptive and anti-inflammatory effect of Naringenin in different nociceptive and inflammatory mice models. Life Sci. 2019, 217, 148–154. [Google Scholar] [CrossRef]
- Mehranfard, N.; Ghasemi, M.; Rajabian, A.; Ansari, L. Protective potential of naringenin and its nanoformulations in redox mechanisms of injury and disease. Heliyon 2023, 9, e22820. [Google Scholar] [CrossRef]
- Zhao, R.; Sheng, J.; Lv, S.; Zheng, Y.; Zhang, J.; Yu, M.; Shen, L. Nitric oxide participates in the regulation of LeCBF1 gene expression and improves cold tolerance in harvested tomato fruit. Postharvest Biol. Technol. 2011, 62, 121–126. [Google Scholar] [CrossRef]
- Balez, R.; Ooi, L. Getting to NO Alzheimer’s Disease: Neuroprotection versus Neurotoxicity Mediated by Nitric Oxide. Oxidative Med. Cell. Longev. 2016, 2016, 3806157. [Google Scholar] [CrossRef]
- Frattaruolo, L.; Carullo, G.; Brindisi, M.; Mazzotta, S.; Bellissimo, L.; Rago, V.; Curcio, R.; Dolce, V.; Aiello, F.; Cappello, A.R. Antioxidant and Anti-Inflammatory Activities of Flavanones from Glycyrrhiza glabra L. (licorice) Leaf Phytocomplexes: Identification of Licoflavanone as a Modulator of NF-kB/MAPK Pathway. Antioxidants 2019, 8, 186. [Google Scholar] [CrossRef] [PubMed]
- Iitsuka, I.; Motoyoshi-Yamashiro, A.; Moriyama, M.; Kannan-Hayashi, Y.; Fujimoto, Y.; Takano, K.; Murakami, K.; Yoneda, Y.; Nakamura, Y. Extracellular superoxide dismutase in cultured astrocytes: Decrease in cell-surface activity and increase in medium activity by lipopolysaccharide-stimulation. Neurochem. Res. 2012, 37, 2108–2116. [Google Scholar] [CrossRef] [PubMed]
- Bellaver, B.; Souza, D.G.; Bobermin, L.D.; Gonçalves, C.A.; Souza, D.O.; Quincozes-Santos, A. Guanosine inhibits LPS-induced pro-inflammatory response and oxidative stress in hippocampal astrocytes through the heme oxygenase-1 pathway. Purinergic Signal. 2015, 11, 571–580. [Google Scholar] [CrossRef]
- Thaker, A.A.; McConnell, B.V.; Rogers, D.M.; Carlson, N.E.; Coughlan, C.; Jensen, A.M.; Lopez-Paniagua, D.; Holden, S.K.; Pressman, P.S.; Pelak, V.S.; et al. Astrogliosis, neuritic microstructure, and sex effects: GFAP is an indicator of neuritic orientation in women. Brain Behav. Immun. 2023, 113, 124–135. [Google Scholar] [CrossRef]
- Jiwaji, Z.; Hardingham, G.E. The consequences of neurodegenerative disease on neuron-astrocyte metabolic and redox interactions. Neurobiol. Dis. 2023, 185, 106255. [Google Scholar] [CrossRef]
- Stompor, M.; Uram, Ł.; Podgórski, R. In Vitro Effect of 8-Prenylnaringenin and Naringenin on Fibroblasts and Glioblastoma Cells-Cellular Accumulation and Cytotoxicity. Molecules 2017, 22, 1092. [Google Scholar] [CrossRef]
- Abd-Alla, H.I.; Souguir, D.; Radwan, M.O. Genus Sophora: A comprehensive review on secondary chemical metabolites and their biological aspects from past achievements to future perspectives. Arch. Pharmacal Res. 2021, 44, 903–986. [Google Scholar] [CrossRef]
- Muniz Santana Bastos, E.; Bispo da Silva, A.; Cerqueira Coelho, P.L.; Pereira Borges, J.M.; Amaral da Silva, V.D.; Moreau da Cunha, V.H.; Costa, S.L. Anti-inflammatory activity of Jatropha curcas L. in brain glial cells primary cultures. J. Ethnopharmacol. 2021, 264, 113201. [Google Scholar] [CrossRef]
- Huang, S.F.; Othman, A.; Koshkin, A.; Fischer, S.; Fischer, D.; Zamboni, N.; Ono, K.; Sawa, T.; Ogunshola, O.O. Astrocyte glutathione maintains endothelial barrier stability. Redox Biol. 2020, 34, 101576. [Google Scholar] [CrossRef] [PubMed]
- Sims, N.R.; Nilsson, M.; Muyderman, H. Mitochondrial glutathione: A modulator of brain cell death. J. Bioenerg. Biomembr. 2004, 36, 329–333. [Google Scholar] [CrossRef] [PubMed]
- Skrzypczak-Wiercioch, A.; Sałat, K. Lipopolysaccharide-Induced Model of Neuroinflammation: Mechanisms of Action, Research Application and Future Directions for Its Use. Molecules 2022, 27, 5481. [Google Scholar] [CrossRef] [PubMed]
- Brenner, M.; Messing, A. Regulation of GFAP Expression. ASN Neuro 2021, 13, 1759091420981206. [Google Scholar] [CrossRef]
- Christie, I.N.; Theparambil, S.M.; Braga, A.; Doronin, M.; Hosford, P.S.; Brazhe, A.; Mascarenhas, A.; Nizari, S.; Hadjihambi, A.; Wells, J.A.; et al. Astrocytes produce nitric oxide via nitrite reduction in mitochondria to regulate cerebral blood flow during brain hypoxia. Cell Rep. 2023, 42, 113514. [Google Scholar] [CrossRef]








Disclaimer/Publisher’s Note: The statements, opinions and data contained in all publications are solely those of the individual author(s) and contributor(s) and not of MDPI and/or the editor(s). MDPI and/or the editor(s) disclaim responsibility for any injury to people or property resulting from any ideas, methods, instructions or products referred to in the content. |
© 2025 by the authors. Licensee MDPI, Basel, Switzerland. This article is an open access article distributed under the terms and conditions of the Creative Commons Attribution (CC BY) license (https://creativecommons.org/licenses/by/4.0/).
Share and Cite
Soares, J.R.P.; dos Santos, C.C.; de Oliveira, L.M.G.; Rocha Neto, H.; Victor, M.M.; França, E.L.; Costa, M.d.F.D.; Costa, S.L.; de Oliveira, J.V.R. Synthesis of Naringenin and Senecioic Acid Ester Derivatives and Biological Evaluation of the Astrocyte Antioxidant Mechanism and Reactivity After Inflammatory Stimulus. Int. J. Mol. Sci. 2025, 26, 2215. https://doi.org/10.3390/ijms26052215
Soares JRP, dos Santos CC, de Oliveira LMG, Rocha Neto H, Victor MM, França EL, Costa MdFD, Costa SL, de Oliveira JVR. Synthesis of Naringenin and Senecioic Acid Ester Derivatives and Biological Evaluation of the Astrocyte Antioxidant Mechanism and Reactivity After Inflammatory Stimulus. International Journal of Molecular Sciences. 2025; 26(5):2215. https://doi.org/10.3390/ijms26052215
Chicago/Turabian StyleSoares, Janaína Ribeiro Pereira, Cleonice Creusa dos Santos, Lucas Matheus Gonçalves de Oliveira, Heráclito Rocha Neto, Maurício Moraes Victor, Elivana Lima França, Maria de Fátima Dias Costa, Silvia Lima Costa, and Juciele Valeria Ribeiro de Oliveira. 2025. "Synthesis of Naringenin and Senecioic Acid Ester Derivatives and Biological Evaluation of the Astrocyte Antioxidant Mechanism and Reactivity After Inflammatory Stimulus" International Journal of Molecular Sciences 26, no. 5: 2215. https://doi.org/10.3390/ijms26052215
APA StyleSoares, J. R. P., dos Santos, C. C., de Oliveira, L. M. G., Rocha Neto, H., Victor, M. M., França, E. L., Costa, M. d. F. D., Costa, S. L., & de Oliveira, J. V. R. (2025). Synthesis of Naringenin and Senecioic Acid Ester Derivatives and Biological Evaluation of the Astrocyte Antioxidant Mechanism and Reactivity After Inflammatory Stimulus. International Journal of Molecular Sciences, 26(5), 2215. https://doi.org/10.3390/ijms26052215

