Increased Photosynthetic Capacity and Energy Status Contribute to Higher Grain Yield in Early Rice
Abstract
1. Introduction
2. Results
2.1. Grain Yield and Rice Quality
2.2. Dry Weight Accumulation
2.3. Photosynthesis and Chlorophyll Fluorescence Parameters
2.4. Carbohydrate Content
2.5. Gene Expression of SUT
2.6. ATP and ATPase Content
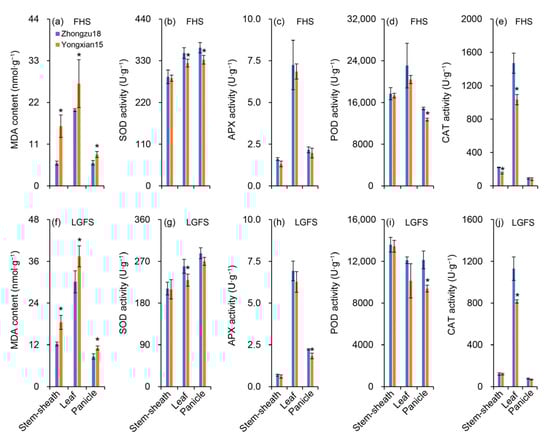
2.7. Antioxidant System Enzyme Activity and MDA Content
3. Discussion
4. Materials and Methods
4.1. Materials and Experimental Design
4.2. SPAD Value, Photosynthetic Rate, and Fluorescence Parameters
4.3. Dry Matter Weight
4.4. Starch, Soluble Sugar, and Non-Structural Carbohydrate Contents
4.5. Determination of Antioxidant Enzyme Activity and Malondialdehyde Content
4.6. Determination of ATP and ATPase Enzyme Content
4.7. Gene Expression Determination
4.8. Yield Components and Rice Quality
4.9. Data Analysis
5. Conclusions
Supplementary Materials
Author Contributions
Funding
Institutional Review Board Statement
Informed Consent Statement
Data Availability Statement
Conflicts of Interest
Abbreviations
References
- Muthayya, S.; Sugimoto, J.D.; Montgomery, S.; Maberly, G.F. An overview of global rice production, supply, trade, and consumption. Ann. N. Y. Acad. Sci. 2014, 1324, 7–14. [Google Scholar] [CrossRef] [PubMed]
- Horie, T. Global warming and rice production in Asia: Modeling, impact prediction and adaptation. Proc. Jpn. Acad. Ser. B 2019, 95, 211–245. [Google Scholar] [CrossRef] [PubMed]
- Li, Y.; Yang, X.; Ye, Q.; Chen, F. The possible effects of global warming on cropping systems in China IX. The risk of high and low temperature disasters for single and double rice and its impacts on rice yield in the middle-lower Yangtze plain. Sci. Agric. Sin. 2013, 46, 3997–4006. [Google Scholar]
- Cao, X.; Liu, L.; Ma, Q.; Lu, R.; Kong, H.; Kong, Y.; Zhu, L.; Zhu, C.; Tian, W.; Jin, Q.; et al. Optimum organic fertilization enhances rice productivity and ecological multifunctionality via regulating soil microbial diversity in a double rice cropping system. Field Crops Res. 2024, 318, 109569. [Google Scholar] [CrossRef]
- Lu, J.; Deng, S.; Imran, M.; Xie, J.; Li, Y.; Qi, J.; Pan, S.; Tang, X.; Duan, M. Assessing the yield difference of double-cropping rice in South China driven by radiation use efficiency. J. Integr. Agric. 2024, 23, 3692–3705. [Google Scholar] [CrossRef]
- Ye, Q.; Yang, X.; Li, Y.; Huang, W.; Xie, W.; Wang, T.; Wang, Y. Cost-benefit analysis for single and double rice cropping systems under the background of global warming. Atmosphere 2020, 11, 1048. [Google Scholar] [CrossRef]
- Zhang, Z.; Li, Y.; Chen, X.; Wang, Y.; Niu, B.; Liu, D.L.; He, J.; Pulatov, B.; Hassan, I.; Meng, Q. Impact of climate change and planting date shifts on growth and yields of double cropping rice in southeastern China in future. Agric. Syst. 2023, 205, 103581. [Google Scholar] [CrossRef]
- Shen, T.; Xiong, Q.; Zhong, L.; Shi, X.; Cao, C.; He, H.; Chen, X. Analysis of main metabolisms during nitrogen deficiency and compensation in rice. Acta Physiol. Plant. 2019, 41, 68. [Google Scholar] [CrossRef]
- Li, Y.; Guan, K.; Schnitkey, G.D.; DeLucia, E.; Peng, B. Excessive rainfall leads to maize yield loss of a comparable magnitude to extreme drought in the United States. Glob. Change Biol. 2019, 25, 2325–2337. [Google Scholar] [CrossRef]
- Maruyama, K.; Urano, K.; Yoshiwara, K.; Morishita, Y.; Sakurai, N.; Suzuki, H.; Kojima, M.; Sakakibara, H.; Shibata, D.; Saito, K.; et al. Integrated analysis of the effects of cold and dehydration on rice metabolites, phytohormones, and gene transcripts. Plant Physiol. 2014, 164, 1759–1771. [Google Scholar] [CrossRef]
- Li, H.; Feng, B.; Li, J.; Fu, W.; Wang, W.; Chen, T.; Liu, L.; Wu, Z.; Peng, S.; Tao, L.; et al. RGA1 alleviates low-light-repressed pollen tube elongation by improving the metabolism and allocation of sugars and energy. Plant Cell Environ. 2023, 46, 1363–1383. [Google Scholar] [CrossRef] [PubMed]
- Kumar, A.; Panda, D.; Mohanty, S.; Biswal, M.; Dey, P.; DaSsh, M.; Sah, R.P.; Kumar, S.; Baig, M.J.; Behera, L. Role of sedoheptulose-1,7 bisphosphatase in low light tolerance of rice (Oryza sativa L.). Physiol. Mol. Biol. Plants 2020, 26, 2465–2485. [Google Scholar] [CrossRef] [PubMed]
- Wang, L.; Deng, F.; Ren, W.-J. Shading tolerance in rice is related to better light harvesting and use efficiency and grain filling rate during grain filling period. Field Crops Res. 2015, 180, 54–62. [Google Scholar] [CrossRef]
- Ayyenar, B.; Kambale, R.; Duraialagaraja, S.; Manickam, S.; Mohanavel, V.; Shanmugavel, P.; Alagarsamy, S.; Ishimaru, T.; Jagadish, S.V.K.; Vellingiri, G.; et al. Developing early morning flowering version of rice variety CO 51 to mitigate the heat-induced yield loss. Agriculture 2023, 13, 553. [Google Scholar] [CrossRef]
- Yuan, S.; Qin, S.; Shi, Q.; Chen, P.; Tu, N.; Zhou, W.; Yi, Z. Effects of different cold-resistant agents and application methods on yield and cold-resistance of machine-transplanted early rice. Front. Plant Sci. 2024, 15, 1422374. [Google Scholar] [CrossRef]
- Dongling, J.; Wenhui, X.; Zhiwei, S.; Lijun, L.; Junfei, G.; Hao, Z.; Harrison, M.T.; Ke, L.; Zhiqin, W.; Weilu, W.; et al. Translocation and distribution of carbon-nitrogen in relation to rice yield and grain quality as affected by high temperature at early panicle initiation stage. Rice Sci. 2023, 30, 598–612. [Google Scholar] [CrossRef]
- National Data Website of National Bureau of Statistics of China. Available online: https://data.stats.gov.cn/ (accessed on 29 November 2024).
- Seydel, C.; Kitashova, A.; Fürtauer, L.; Nägele, T. Temperature-induced dynamics of plant carbohydrate metabolism. Physiol. Plant. 2021, 174, e13602. [Google Scholar] [CrossRef]
- Wang, G.; Li, H.; Wang, K.; Yang, J.; Duan, M.; Zhang, J.; Ye, N. Regulation of gene expression involved in the remobilization of rice straw carbon reserves results from moderate soil drying during grain filling. Plant J. 2019, 101, 604–618. [Google Scholar] [CrossRef]
- Feng, B.; Xu, Y.; Fu, W.; Li, H.; Li, G.; Li, J.; Wang, W.; Tao, L.; Chen, T.; Fu, G. RGA1 negatively regulates thermo-tolerance by affecting carbohydrate metabolism and the energy supply in rice. Rice 2023, 16, 32. [Google Scholar] [CrossRef]
- Jagadish, S. Heat stress during flowering in cereals-effects and adaptation strategies. New Phytol. 2020, 226, 1567–1572. [Google Scholar] [CrossRef]
- Chen, T.; Ma, J.; Xu, C.; Jiang, N.; Li, G.; Fu, W.; Feng, B.; Wang, D.; Wu, Z.; Tao, L.; et al. Increased ATPase activity promotes heat-resistance, high-yield, and high-quality traits in rice by improving energy status. Front. Plant Sci. 2022, 13, 1035027. [Google Scholar] [CrossRef] [PubMed]
- Matsui, T.; Hasegawa, T. Effect of long anther dehiscence on seed set at high temperatures during flowering in rice (Oryza sativa L.). Sci. Rep. 2019, 9, 20363. [Google Scholar] [CrossRef] [PubMed]
- Li, Y.W. Effects of Nitrogen Application Rate on Grain Filling Characteristics, Yield and Quality of Rice. Master’s Thesis, Huazhong Agricultural University, Wuhan, China, 2020; pp. 16–17. [Google Scholar]
- Chen, L.; Li, X.; Zheng, M.; Hu, R.; Dong, J.; Zhou, L.; Liu, W.; Liu, D.; Yang, W. Genes controlling grain chalkiness in rice. Crop J. 2024, 12, 979–991. [Google Scholar] [CrossRef]
- Sun, Q.; Zhao, Y.; Zhang, Y.; Chen, S.; Ying, Q.; Lv, Z.; Che, X.; Wang, D. Heat stress may cause a significant reduction of rice yield in China under future climate scenarios. Sci. Total Environ. 2022, 818, 151746. [Google Scholar] [CrossRef]
- Fahad, S.; Hussain, S.; Saud, S.; Hassan, S.; Tanveer, M.; Ihsan, M.Z.; Shah, A.N.; Ullah, A.; Nasrullah; Khan, F.; et al. A combined application of biochar and phosphorus alleviates heat-induced adversities on physiological, agronomical and quality attributes of rice. Plant Physiol. Biochem. 2016, 103, 191–198. [Google Scholar] [CrossRef]
- He, A.; Li, J.; Long, J.; Ai, Z.; Zhang, P.; Guo, X. Spatial and temporal variations of climate resources during the growing season of early-season rice in hunan province. Agriculture 2024, 14, 1514. [Google Scholar] [CrossRef]
- Wang, L.H. Determining Optimun Sowing Date of Rice Using Multiple Crop Models. Master’s Thesis, Nanjing Agricultural University, Nanjing, China, 2017; pp. 46–48. [Google Scholar]
- Katsura, K.; Maeda, S.; Horie, T.; Shiraiwa, T. Estimation of respiratory parameters for rice based on long-term and intermittent measurement of canopy CO2 exchange rates in the field. Field Crops Res. 2009, 111, 85–91. [Google Scholar] [CrossRef]
- Liu, K.; Zhang, K.; Zhang, Y.; Cui, J.; Li, Z.; Huang, J.; Li, S.; Zhang, J.; Deng, S.; Zhang, Y.; et al. Optimizing the total spikelets increased grain yield in rice. Agronomy 2024, 14, 152. [Google Scholar] [CrossRef]
- Braun, D.M.; Wang, L.; Ruan, Y.L. Understanding and manipulating sucrose phloem loading, unloading, metabolism, and signalling to enhance crop yield and food security. J. Exp. Bot. 2013, 65, 1713–1735. [Google Scholar] [CrossRef]
- Hirose, T.; Zhang, Z.; Miyao, A.; Hirochika, H.; Ohsugi, R.; Terao, T. Disruption of a gene for rice sucrose transporter, OsSUT1, impairs pollen function but pollen maturation is unaffected. J. Exp. Bot. 2010, 61, 3639–3646. [Google Scholar] [CrossRef]
- Zhang, C.; Feng, B.; Chen, T.; Fu, W.; Li, H.; Li, G.; Jin, Q.; Tao, L.; Fu, G. Heat stress-reduced kernel weight in rice at anthesis is associated with impaired source-sink relationship and sugars allocation. Environ. Exp. Bot. 2018, 155, 718–733. [Google Scholar] [CrossRef]
- Aoki, N.; Hirose, T.; Scofield, G.N.; Whitfeld, P.R.; Furbank, R.T. The sucrose transporter gene family in rice. Plant Cell Physiol. 2003, 44, 223–232. [Google Scholar] [CrossRef] [PubMed]
- Murchie, E.H. Are there associations between grain-filling rate and photosynthesis in the flag leaves of field-grown rice? J. Exp. Bot. 2002, 53, 2217–2224. [Google Scholar] [CrossRef]
- Chang, S.; Chang, T.; Song, Q.; Zhu, X.-G.; Deng, Q. Photosynthetic and agronomic traits of an elite hybrid rice Y-Liang-You 900 with a record-high yield. Field Crops Res. 2016, 187, 49–57. [Google Scholar] [CrossRef]
- Li, P.; Zhang, X.; Yin, W.; Shui, Y.; Zhang, J.; Xu, N.; Bai, D.; Huang, Q.; Li, Y.; Qi, P.; et al. OsFK1 encodes C-14 sterol reductase, which is involved in sterol biosynthesis and affects premature aging of leaves in rice. Crop J. 2024, 12, 1010–1021. [Google Scholar] [CrossRef]
- Prasad, T.K. Role of catalase in inducing chilling tolerance in pre-emergent maize seedlings. Plant Physiol. 1997, 114, 1369–1376. [Google Scholar] [CrossRef]
- Kato, M.; Kobayashi, K.; Ogiso, E.; Yokoo, M. Photosynthesis and dry-matter production during ripening stage in a female-sterile line of rice. Plant Prod. Sci. 2015, 7, 184–188. [Google Scholar] [CrossRef]
- Hu, X.; Fang, C.; Lu, L.; Hu, Z.; Shao, Y.; Zhu, Z. Determination of soluble sugar profile in rice. J. Chromatogr. B 2017, 1058, 19–23. [Google Scholar] [CrossRef]
- DuBois, M.; Gilles, K.A.; Hamilton, J.K.; Rebers, P.t.; Smith, F. Colorimetric method for determination of sugars and related substances. Anal. Chem. 1956, 28, 350–356. [Google Scholar] [CrossRef]
- Giannopolitis, C.N.; Ries, S.K. Superoxide dismutases: I. Occurrence in higher plants. Plant Physiol. 1977, 59, 309–314. [Google Scholar] [CrossRef]
- Maehly, A. The assay of catalases and peroxidases. In Methods of Biochemical Analysis; Interscience Publishers, Inc.: New York, NY, USA, 1954; pp. 357–424. [Google Scholar]
- Zhang, C.X.; Fu, G.F.; Yang, X.Q.; Yang, Y.J.; Zhao, X.; Chen, T.T.; Zhang, X.F.; Jin, Q.Y.; Tao, L.X. Heat stress effects are stronger on spikelets than on flag leaves in rice due to differences in dissipation capacity. J. Agron. Crop Sci. 2015, 202, 394–408. [Google Scholar] [CrossRef]
- Bonnecarrère, V.; Borsani, O.; Díaz, P.; Capdevielle, F.; Blanco, P.; Monza, J. Response to photoxidative stress induced by cold in japonica rice is genotype dependent. Plant Sci. 2011, 180, 726–732. [Google Scholar] [CrossRef] [PubMed]
- Dhindsa, R.S.; Plumb-Dhindsa, P.; Thorpe, T.A. Leaf senescence: Correlated with increased levels of membrane permeability and lipid peroxidation, and decreased levels of superoxide dismutase and catalase. J. Exp. Bot. 1981, 32, 93–101. [Google Scholar] [CrossRef]
- Rozen, S.; Skaletsky, H. Primer3 on the WWW for general users and for biologist programmers. In Bioinformatics Methods and Protocols; Misener, S., Krawetz, S.A., Eds.; Humana Press: Totowa, NJ, USA, 1999; pp. 365–386. [Google Scholar]
- Feng, B.H.; Yang, Y.; Shi, Y.F.; Shen, H.C.; Wang, H.M.; Huang, Q.N.; Xu, X.; Lü, X.G.; Wu, J.L. Characterization and genetic analysis of a novel rice spotted-leaf mutant HM47 with broad-spectrum resistance to Xanthomonas oryzae pv. oryzae. J. Integr. Plant Biol. 2013, 55, 473–483. [Google Scholar] [CrossRef]








Disclaimer/Publisher’s Note: The statements, opinions and data contained in all publications are solely those of the individual author(s) and contributor(s) and not of MDPI and/or the editor(s). MDPI and/or the editor(s) disclaim responsibility for any injury to people or property resulting from any ideas, methods, instructions or products referred to in the content. |
© 2025 by the authors. Licensee MDPI, Basel, Switzerland. This article is an open access article distributed under the terms and conditions of the Creative Commons Attribution (CC BY) license (https://creativecommons.org/licenses/by/4.0/).
Share and Cite
Su, H.; Wang, W.; Lu, T.; Hu, W.; Lin, J.; Fu, W.; Liang, Y.; Zeng, Y.; Fu, G.; Xiong, J.; et al. Increased Photosynthetic Capacity and Energy Status Contribute to Higher Grain Yield in Early Rice. Int. J. Mol. Sci. 2025, 26, 1508. https://doi.org/10.3390/ijms26041508
Su H, Wang W, Lu T, Hu W, Lin J, Fu W, Liang Y, Zeng Y, Fu G, Xiong J, et al. Increased Photosynthetic Capacity and Energy Status Contribute to Higher Grain Yield in Early Rice. International Journal of Molecular Sciences. 2025; 26(4):1508. https://doi.org/10.3390/ijms26041508
Chicago/Turabian StyleSu, Haoran, Wenting Wang, Tingting Lu, Wenfei Hu, Junjiang Lin, Weimeng Fu, Yan Liang, Yvxiang Zeng, Guanfu Fu, Jie Xiong, and et al. 2025. "Increased Photosynthetic Capacity and Energy Status Contribute to Higher Grain Yield in Early Rice" International Journal of Molecular Sciences 26, no. 4: 1508. https://doi.org/10.3390/ijms26041508
APA StyleSu, H., Wang, W., Lu, T., Hu, W., Lin, J., Fu, W., Liang, Y., Zeng, Y., Fu, G., Xiong, J., & Chen, T. (2025). Increased Photosynthetic Capacity and Energy Status Contribute to Higher Grain Yield in Early Rice. International Journal of Molecular Sciences, 26(4), 1508. https://doi.org/10.3390/ijms26041508

