Insights into the Lignocellulose-Degrading Enzyme System Based on the Genome Sequence of Flavodon sp. x-10
Abstract
1. Introduction
2. Results
2.1. Isolation, Screening, and Characterization of a High-Efficiency Cellulose-Degrading Fungus
2.2. Basic Genome Information for Flavodon sp. x-10
2.3. Statistics of the Non-Coding RNA Genes
2.4. Repeat Sequence Analysis
2.5. Functional Annotation
2.6. Major Lignocellulosic Degradation Processes
2.7. CAZy
2.8. TCDB
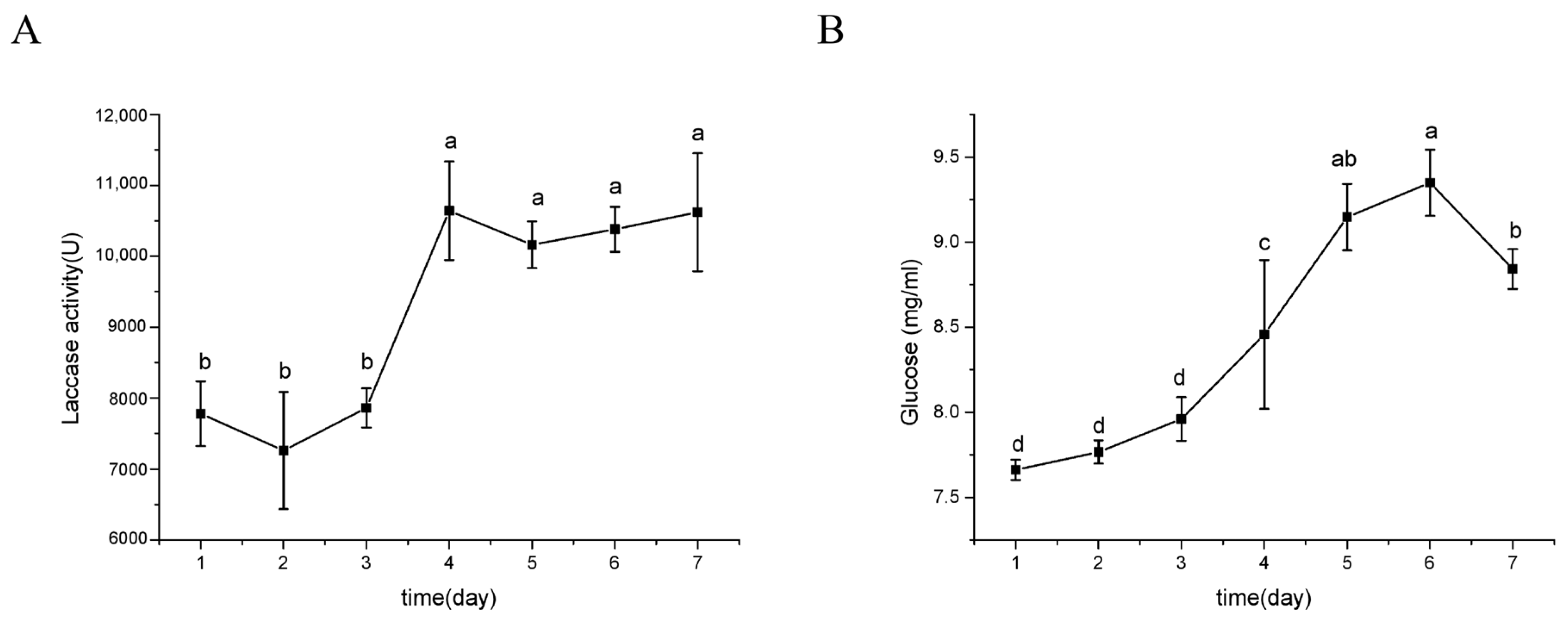
2.9. Different Cellulase and Laccase Activity
3. Discussion
4. Materials and Methods
4.1. Sampling Site and Culture Media
4.2. Isolation and Preliminary Screening of Cellulose-Degrading Fungi
4.3. Determination of Enzyme Activities
4.3.1. Cellulase Activity Assay
4.3.2. Laccase Activity Assay
4.4. Molecular Identification
4.5. Genomic DNA Extraction and Sequencing
4.6. Analysis of the Genomic Data
5. Conclusions
Supplementary Materials
Author Contributions
Funding
Institutional Review Board Statement
Informed Consent Statement
Data Availability Statement
Conflicts of Interest
Abbreviations
| PCWDE | Plant Cell Wall-Degrading Enzyme |
| LME | Lignin-Modifying Enzyme |
| MNP | Manganese-Dependent Peroxidase |
| LIP | Lignin Peroxidase |
| NCBI | National Center for Biotechnology Information |
| EG | Endoglucanase |
| CBH | CelloBioHydrolase |
| BG | β-Glucosidase |
| AA | Auxiliary Activity |
| TCDB | Transporter Classification Database |
| MFS | Major Facilitator Superfamily |
| KEGG | Kyoto Encyclopedia of Genes and Genomes |
| STs | Sugar Transporters |
References
- Patel, N.; Shadangi, K.P. Study the fuel characteristics of ethanol and waste engine oil pyrolytic oil blends. Environ. Sci. Pollut. Res. Int. 2022, 29, 50928–50936. [Google Scholar] [CrossRef] [PubMed]
- Pimentel, D.; Patzek, T.; Cecil, G. Ethanol production: Energy, economic, and environmental losses. Rev. Environ. Contam. Toxicol. 2007, 189, 25–41. [Google Scholar] [CrossRef]
- Zhou, X.; Li, G.; Liu, F.; Li, N. Production of ethanol from corn straw based on chemical looping gasification: Economic analysis. Bioresour. Technol. 2022, 360, 127568. [Google Scholar] [CrossRef]
- Dawid, M.; Grzegorz, K. Microwave-assisted hydrotropic pretreatment as a new and highly efficient way to cellulosic ethanol production from maize distillery stillage. Appl. Microbiol. Biotechnol. 2021, 105, 3381–3392. [Google Scholar] [CrossRef]
- Shen, X.; Sun, R. Recent advances in lignocellulose prior-fractionation for biomaterials, biochemicals, and bioenergy. Carbohydr. Polym. 2021, 261, 117884. [Google Scholar] [CrossRef] [PubMed]
- Chandel, N.S. Carbohydrate Metabolism. Cold Spring Harb. Perspect. Biol. 2021, 13, a040568. [Google Scholar] [CrossRef]
- Sun, Z.H.; Bottari, G.; Afanasenko, A.; Stuart, M.; Deuss, P.; Fridrich, B.; Barta, K. Complete lignocellulose conversion with integrated catalyst recycling yielding valuable aromatics and fuels. Nat. Catal. 2018, 1, 82–92. [Google Scholar] [CrossRef]
- Jagadeeswaran, G.; Gainey, L.; Mort, A.J. An AA9-LPMO containing a CBM1 domain in Aspergillus nidulans is active on cellulose and cleaves cello-oligosaccharides. AMB Express 2018, 8, 171. [Google Scholar] [CrossRef] [PubMed]
- Gardner, J.G.; Crouch, L.; Labourel, A.; Forsberg, Z.; Bukhman, Y.V.; Vaaje-Kolstad, G.; Gilbert, H.J.; Keating, D.H. Systems biology defines the biological significance of redox-active proteins during cellulose degradation in an aerobic bacterium. Mol. Microbiol. 2014, 94, 1121–1133. [Google Scholar] [CrossRef]
- Voutilainen, S.P.; Puranen, T.; Siika-Aho, M.; Lappalainen, A.; Alapuranen, M.; Kallio, J.; Hooman, S.; Viikari, L.; Vehmaanpera, J.; Koivula, A. Cloning, expression, and characterization of novel thermostable family 7 cellobiohydrolases. Biotechnol. Bioeng. 2008, 101, 515–528. [Google Scholar] [CrossRef]
- Boyce, A.; Walsh, G. Expression and characterisation of a thermophilic endo-1,4-beta-glucanase from Sulfolobus shibatae of potential industrial application. Mol. Biol. Rep. 2018, 45, 2201–2211. [Google Scholar] [CrossRef] [PubMed]
- Kadowaki, M.A.; Camilo, C.M.; Muniz, A.B.; Polikarpov, I. Functional Characterization and Low-Resolution Structure of an Endoglucanase Cel45A from the Filamentous Fungus Neurospora crassa OR74A: Thermostable Enzyme with High Activity Toward Lichenan and beta-Glucan. Mol. Biotechnol. 2015, 57, 574–588. [Google Scholar] [CrossRef] [PubMed]
- Ernst, H.A.; Jorgensen, L.J.; Bukh, C.; Piontek, K.; Plattner, D.A.; Ostergaard, L.H.; Larsen, S.; Bjerrum, M.J. A comparative structural analysis of the surface properties of asco-laccases. PLoS ONE 2018, 13, e0206589. [Google Scholar] [CrossRef]
- Yee, E.F.; Dzikovski, B.; Crane, B.R. Tuning Radical Relay Residues by Proton Management Rescues Protein Electron Hopping. J. Am. Chem. Soc. 2019, 141, 17571–17587. [Google Scholar] [CrossRef]
- Yoshida, H.; Sakai, G.; Mori, K.; Kojima, K.; Kamitori, S.; Sode, K. Structural analysis of fungus-derived FAD glucose dehydrogenase. Sci. Rep. 2015, 5, 13498. [Google Scholar] [CrossRef] [PubMed]
- Fraaije, M.W.; Veeger, C.; van Berkel, W.J. Substrate specificity of flavin-dependent vanillyl-alcohol oxidase from Penicillium simplicissimum. Evidence for the production of 4-hydroxycinnamyl alcohols from 4-allylphenols. Eur. J. Biochem. 1995, 234, 271–277. [Google Scholar] [CrossRef]
- Oide, S.; Tanaka, Y.; Watanabe, A.; Inui, M. Carbohydrate-binding property of a cell wall integrity and stress response component (WSC) domain of an alcohol oxidase from the rice blast pathogen Pyricularia oryzae. Enzyme Microb. Technol. 2019, 125, 13–20. [Google Scholar] [CrossRef] [PubMed]
- Jensen, K.A.; Ryan, Z.C.; Vanden, W.A.; Cullen, D.; Hammel, K.E. An NADH: Quinone oxidoreductase active during biodegradation by the brown-rot basidiomycete Gloeophyllum trabeum. Appl. Environ. Microbiol. 2002, 68, 2699–2703. [Google Scholar] [CrossRef]
- Haddad, M.M.; Fredslund, F.; Bissaro, B.; Raji, O.; Vuong, T.V.; Meier, S.; Nielsen, T.S.; Lombard, V.; Guigliarelli, B.; Biaso, F.; et al. Discovery of fungal oligosaccharide-oxidising flavo-enzymes with previously unknown substrates, redox-activity profiles and interplay with LPMOs. Nat. Commun. 2021, 12, 2132. [Google Scholar] [CrossRef]
- Galagan, J.E.; Calvo, S.E.; Borkovich, K.A.; Selker, E.U.; Read, N.D.; Jaffe, D.; FitzHugh, W.; Ma, L.J.; Smirnov, S.; Purcell, S.; et al. The genome sequence of the filamentous fungus Neurospora crassa. Nature 2003, 422, 859–868. [Google Scholar] [CrossRef] [PubMed]
- Wakiyama, M.; Tanaka, H.; Yoshihara, K.; Hayashi, S.; Ohta, K. Purification and properties of family-10 endo-1,4-beta-xylanase from Penicillium citrinum and structural organization of encoding gene. J. Biosci. Bioeng. 2008, 105, 367–374. [Google Scholar] [CrossRef]
- Perez-Gonzalez, J.A.; De Graaff, L.H.; Visser, J.; Ramon, D. Molecular cloning and expression in Saccharomyces cerevisiae of two Aspergillus nidulans xylanase genes. Appl. Environ. Microbiol. 1996, 62, 2179–2182. [Google Scholar] [CrossRef] [PubMed]
- Zhao, W.; Zheng, J.; Zhou, H.B. A thermotolerant and cold-active mannan endo-1,4-beta-mannosidase from Aspergillus niger CBS 513.88: Constitutive overexpression and high-density fermentation in Pichia pastoris. Bioresour. Technol. 2011, 102, 7538–7547. [Google Scholar] [CrossRef] [PubMed]
- De Vries, R.P.; van den Broeck, H.C.; Dekkers, E.; Manzanares, P.; de Graaff, L.H.; Visser, J. Differential expression of three alpha-galactosidase genes and a single beta-galactosidase gene from Aspergillus niger. Appl. Environ. Microbiol. 1999, 65, 2453–2460. [Google Scholar] [CrossRef]
- Kato, N.; Suyama, S.; Shirokane, M.; Kato, M.; Kobayashi, T.; Tsukagoshi, N. Novel alpha-glucosidase from Aspergillus nidulans with strong transglycosylation activity. Appl. Environ. Microbiol. 2002, 68, 1250–1256. [Google Scholar] [CrossRef] [PubMed]
- Dragosits, M.; Pflugl, S.; Kurz, S.; Razzazi-Fazeli, E.; Wilson, I.B.; Rendic, D. Recombinant Aspergillus β-galactosidases as a robust glycomic and biotechnological tool. Appl. Microbiol. Biotechnol. 2014, 98, 3553–3567. [Google Scholar] [CrossRef] [PubMed]
- Nakai, H.; Baumann, M.J.; Petersen, B.O.; Westphal, Y.; Hachem, M.A.; Dilokpimol, A.; Duus, J.O.; Schols, H.A.; Svensson, B. Aspergillus nidulans α-galactosidase of glycoside hydrolase family 36 catalyses the formation of alpha-galacto-oligosaccharides by transglycosylation. FEBS J. 2010, 277, 3538–3551. [Google Scholar] [CrossRef]
- Parenicova, L.; Benen, J.A.; Kester, H.C.; Visser, J. pgaA and pgaB encode two constitutively expressed endopolygalacturonases of Aspergillus niger. Biochem. J. 2000, 345 Pt 3, 637–644. [Google Scholar] [CrossRef]
- Manzanares, P.; van den Broeck, H.C.; de Graaff, L.H.; Visser, J. Purification and characterization of two different alpha-L-rhamnosidases, RhaA and RhaB, from Aspergillus aculeatus. Appl. Environ. Microbiol. 2001, 67, 2230–2234. [Google Scholar] [CrossRef] [PubMed]
- Gunl, M.; Neumetzler, L.; Kraemer, F.; de Souza, A.; Schultink, A.; Pena, M.; York, W.S.; Pauly, M. AXY8 encodes an alpha-fucosidase, underscoring the importance of apoplastic metabolism on the fine structure of Arabidopsis cell wall polysaccharides. Plant Cell. 2011, 23, 4025–4040. [Google Scholar] [CrossRef] [PubMed]
- Sanchez-Torres, P.; Visser, J.; Benen, J.A. Identification of amino acid residues critical for catalysis and stability in Aspergillus niger family 1 pectin lyase A. Biochem. J. 2003, 370, 331–337. [Google Scholar] [CrossRef] [PubMed]
- Huertas-Gonzalez, M.D.; Ruiz-Roldan, M.C.; Garcia Maceira, F.I.; Roncero, M.I.; Di Pietro, A. Cloning and characterization of pl1 encoding an in planta-secreted pectate lyase of Fusarium oxysporum. Curr. Genet. 1999, 35, 36–40. [Google Scholar] [CrossRef] [PubMed]
- Shen, Z.; Pappan, K.; Mutti, N.S.; He, Q.J.; Denton, M.; Zhang, Y.; Kanost, M.R.; Reese, J.C.; Reeck, G.R. Pectinmethylesterase from the rice weevil, Sitophilus oryzae: cDNA isolation and sequencing, genetic origin, and expression of the recombinant enzyme. J. Insect Sci. 2005, 5, 21. [Google Scholar] [CrossRef]
- Drula, E.; Garron, M.L.; Dogan, S.; Lombard, V.; Henrissat, B.; Terrapon, N. The carbohydrate-active enzyme database: Functions and literature. Nucleic Acids Res. 2021, 50, D571–D577. [Google Scholar] [CrossRef] [PubMed]
- Hakkinen, M.; Arvas, M.; Oja, M.; Aro, N.; Penttila, M.; Saloheimo, M.; Pakula, T.M. Re-annotation of the CAZy genes of Trichoderma reesei and transcription in the presence of lignocellulosic substrates. Microb. Cell Fact. 2012, 11, 134. [Google Scholar] [CrossRef] [PubMed]
- Samal, A.; Craig, J.P.; Coradetti, S.T.; Benz, J.P.; Eddy, J.A.; Price, N.D.; Glass, N.L. Network reconstruction and systems analysis of plant cell wall deconstruction by Neurospora crassa. Biotechnol. Biofuels 2017, 10, 225. [Google Scholar] [CrossRef] [PubMed]
- Ahmed, T.; Rana, M.R.; Zzaman, W.; Ara, R.; Aziz, M.G. Optimization of substrate composition for pectinase production from Satkara (Citrus macroptera) peel using Aspergillus niger-ATCC 1640 in solid-state fermentation. Heliyon 2021, 7, e08133. [Google Scholar] [CrossRef] [PubMed]
- Zhu, N.; Liu, J.; Yang, J.; Lin, Y.; Yang, Y.; Ji, L.; Li, M.; Yuan, H. Comparative analysis of the secretomes of Schizophyllum commune and other wood-decay basidiomycetes during solid-state fermentation reveals its unique lignocellulose-degrading enzyme system. Biotechnol. Biofuels. 2016, 9, 42. [Google Scholar] [CrossRef] [PubMed]
- Raghukumar, C.; D’Souza, T.M.; Thorn, R.G.; Reddy, C.A. Lignin-modifying enzymes of flavodon flavus, a basidiomycete isolated from a coastal marine environment. Appl. Environ. Microbiol. 1999, 65, 2103–2111. [Google Scholar] [CrossRef] [PubMed]
- Maas Geesteranus, R.A.; Lanquetin, P. Observations sur quelques champignons hydnodes de l’afrique. Persoonia-Mol. Phyl. Evol. Fungi. 1975, 8, 145–165. [Google Scholar]
- Boonmee, S.; Wanasinghe, D.N.; Calabon, M.S.; Huanraluek, N.; Chandrasiri, S.K.U.; Jones, G.E.B.; Rossi, W.; Leonardi, M.; Singh, S.K.; Rana, S.; et al. Fungal diversity notes 1387–1511: Taxonomic and phylogenetic contributions on genera and species of fungal taxa. Fungal Divers. 2021, 111, 1–335. [Google Scholar]
- Meehnian, H.; Jana, A.K. Cotton Stalk Pretreatment Using Daedalea flavida, Phlebia radiata, and Flavodon flavus: Lignin Degradation, Cellulose Recovery, and Enzymatic Saccharification. Appl. Biochem. Biotechnol. 2017, 181, 1465–1484. [Google Scholar] [CrossRef] [PubMed]
- Raghukumar, C.; Rivonkar, G. Decolorization of molasses spent wash by the white-rot fungus Flavodon flavus, isolated from a marine habitat. Appl. Microbiol. Biotechnol. 2001, 55, 510–514. [Google Scholar] [CrossRef] [PubMed]
- Tiwari, S.; Gaur, R.; Singh, R. Decolorization of a recalcitrant organic compound (Melanoidin) by a novel thermotolerant yeast, Candida tropicalis RG-9. BMC Biotechnol. 2012, 12, 30. [Google Scholar] [CrossRef]
- Contato, A.G.; Brugnari, T.; Sibin, A.P.A.; Buzzo, A.; de Sa-Nakanishi, A.B.; Bracht, L.; Bersani-Amado, C.A.; Peralta, R.M.; de Souza, C.G.M. Biochemical Properties and Effects on Mitochondrial Respiration of Aqueous Extracts of Basidiomycete Mushrooms. Cell Biochem. Biophys. 2020, 78, 111–119. [Google Scholar] [CrossRef]
- Yuan, Z.L.; Rao, L.B.; Chen, Y.C.; Zhang, C.L.; Wu, Y.G. From pattern to process: Species and functional diversity in fungal endophytes of Abies beshanzuensis. Fungal Biol. 2011, 115, 197–213. [Google Scholar] [CrossRef] [PubMed]
- Raghukumar, C. Fungi from marine habitats: An application in bioremediation. Mycol. Res. 2000, 104, 1222–1226. [Google Scholar] [CrossRef]
- Yamashita, S.; Hattori, T.; Lee, S.S.; Okabe, K. Estimating the diversity of wood-decaying polypores in tropical lowland rain forests in Malaysia: The effect of sampling strategy. Biodivers. Conserv. 2014, 24, 393–406. [Google Scholar] [CrossRef]
- Duan, X.; Xu, F.; Qin, D.; Gao, T.; Shen, W.; Zuo, S.; Yu, B.; Xu, J.; Peng, Y.; Dong, J. Diversity and bioactivities of fungal endophytes from Distylium chinense, a rare waterlogging tolerant plant endemic to the Three Gorges Reservoir. BMC Microbiol. 2019, 19, 278. [Google Scholar] [CrossRef]
- Pang, A.P.; Luo, Y.; Hu, X.; Zhang, F.; Wang, H.; Gao, Y.; Durrani, S.; Li, C.; Shi, X.; Wu, F.G.; et al. Transmembrane transport process and endoplasmic reticulum function facilitate the role of gene cel1b in cellulase production of Trichoderma reesei. Microb. Cell Fact. 2022, 21, 90. [Google Scholar] [CrossRef] [PubMed]
- Verma, N.; Kumar, V. Impact of process parameters and plant polysaccharide hydrolysates in cellulase production by Trichoderma reesei and Neurospora crassa under wheat bran based solid state fermentation. Biotechnol. Rep. 2020, 25, e00416. [Google Scholar] [CrossRef] [PubMed]
- Xu, L.; Li, J.; Gonzalez Ramos, V.M.; Lyra, C.; Wiebenga, A.; Grigoriev, I.V.; de Vries, R.P.; Makela, M.R.; Peng, M. Genome-wide prediction and transcriptome analysis of sugar transporters in four ascomycete fungi. Bioresour. Technol. 2024, 391, 130006. [Google Scholar] [CrossRef] [PubMed]
- Martinez, D.; Berka, R.M.; Henrissat, B.; Saloheimo, M.; Arvas, M.; Baker, S.E.; Chapman, J.; Chertkov, O.; Coutinho, P.M.; Cullen, D.; et al. Genome sequencing and analysis of the biomass-degrading fungus Trichoderma reesei (syn. Hypocrea jecorina). Nat. Biotechnol. 2008, 26, 553–560. [Google Scholar] [CrossRef] [PubMed]
- Pel, H.J.; de Winde, J.H.; Archer, D.B.; Dyer, P.S.; Hofmann, G.; Schaap, P.J.; Turner, G.; de Vries, R.P.; Albang, R.; Albermann, K.; et al. Genome sequencing and analysis of the versatile cell factory Aspergillus niger CBS 513.88. Nat. Biotechnol. 2007, 25, 221–231. [Google Scholar] [CrossRef] [PubMed]
- Yu, X.Y.; Zhu, Y.J.; Jin, L.; Wang, B.T.; Xu, X.; Zou, X.; Ruan, H.H.; Jin, F.J. Contrasting responses of fungal and bacterial communities to biogas slurry addition in rhizospheric soil of poplar plantations. Appl. Soil. Ecol. 2022, 175, 104427. [Google Scholar] [CrossRef]
- Andberg, M.; Mollerup, F.; Parikka, K.; Koutaniemi, S.; Boer, H.; Juvonen, M.; Master, E.; Tenkanen, M.; Kruus, K. A Novel Colletotrichum graminicola Raffinose Oxidase in the AA5 Family. Appl. Environ. Microbiol. 2017, 83, e01383-17. [Google Scholar] [CrossRef] [PubMed]
- Ruzicka, K.; Ursache, R.; Hejatko, J.; Helariutta, Y. Xylem development—From the cradle to the grave. New Phytol. 2015, 207, 519–535. [Google Scholar] [CrossRef] [PubMed]
- Furstenberg-Hagg, J.; Zagrobelny, M.; Bak, S. Plant defense against insect herbivores. Int. J. Mol. Sci. 2013, 14, 10242–10297. [Google Scholar] [CrossRef] [PubMed]
- Li, Y.; Bateman, C.C.; Skelton, J.; Jusino, M.A.; Nolen, Z.J.; Simmons, D.R.; Hulcr, J. Wood decay fungus Flavodon ambrosius (Basidiomycota: Polyporales) is widely farmed by two genera of ambrosia beetles. Fungal Biol. 2017, 121, 984–989. [Google Scholar] [CrossRef] [PubMed]
- Klaiklay, S.; Rukachaisirikul, V.; Phongpaichit, S.; Buatong, J.; Preedanon, S.; Sakayaroj, J. Flavodonfuran: A new difuranylmethane derivative from the mangrove endophytic fungus Flavodon flavus PSU-MA201. Nat. Prod. Res. 2013, 27, 1722–1726. [Google Scholar] [CrossRef]
- Kundu, A.; Chatterjee, N.C. Cellulase and ligninase production by white rot fungi associated with bamboo degradation. J. Mycopathol. Res. 2006, 44, 289–292. [Google Scholar]
- Peng, M.; Aguilar-Pontes, M.V.; de Vries, R.P.; Makela, M.R. In Silico Analysis of Putative Sugar Transporter Genes in Aspergillus niger Using Phylogeny and Comparative Transcriptomics. Front. Microbiol. 2018, 9, 1045. [Google Scholar] [CrossRef] [PubMed]
- Wang, B.T.; Hu, S.; Yu, X.Y.; Jin, L.; Zhu, Y.J.; Jin, F.J. Studies of Cellulose and Starch Utilization and the Regulatory Mechanisms of Related Enzymes in Fungi. Polymers 2020, 12, 530. [Google Scholar] [CrossRef] [PubMed]
- Dos Reis, T.F.; de Lima, P.B.; Parachin, N.S.; Mingossi, F.B.; de Castro Oliveira, J.V.; Ries, L.N.; Goldman, G.H. Identification and characterization of putative xylose and cellobiose transporters in Aspergillus nidulans. Biotechnol. Biofuels. 2016, 9, 204. [Google Scholar] [CrossRef]
- Gong, Z.; Jin, L.; Yu, X.; Wang, B.; Hu, S.; Ruan, H.; Sung, Y.J.; Lee, H.G.; Jin, F. Biodegradation of Low Density Polyethylene by the Fungus cladosporium sp. Recovered from a Landfill Site. J. Fungi. 2023, 9, 605. [Google Scholar] [CrossRef]
- White, T.J. Amplification and direct sequencing of fungal ribosomal RNA genes for phylogenetics. PCR Protoc. Guide Methods Appl. 1990, 18, 315–322. [Google Scholar]
- Koichiro, T.; Glen, S.; Sudhir, K. MEGA11: Molecular Evolutionary Genetics Analysis version 11. Mol. Biol. Evol. 2021, 38, 3022–3027. [Google Scholar]
- Li, Y.; Simmons, D.R.; Bateman, C.C.; Short, P.D.G.; Kasson, M.T.; Rabaglia, R.; Hulcr, J. New Fungus-Insect Symbiosis: Culturing, Molecular, and Histological Methods Determine Saprophytic Polyporales Mutualists of Ambrosiodmus Ambrosia Beetles. PLoS ONE 2015, 10, e0137689. [Google Scholar] [CrossRef]
- Floudas, D.; Hibbett, D. Revisiting the taxonomy of Phanerochaete (Polyporales, Basidiomycota) using a four gene dataset and extensive ITS sampling. Fungal Biol. 2015, 119, 679–719. [Google Scholar] [CrossRef] [PubMed]
- Miettinen, O.; Spirin, V.; Josef, V.; Rivoire, B.; Hibbett, D. Polypores and genus concepts in Phanerochaetaceae (Polyporales, Basidiomycota). MycoKeys 2016, 17, 1–46. [Google Scholar] [CrossRef]
- Yuan, Y.; Ji, X.H.; Wu, F.; Chen, J.J. Ceriporia albomellea (Phanerochaetaceae, Basidiomycota), a new species from tropical China based on morphological and molecular evidences. Phytotaxa 2017, 298, 20–28. [Google Scholar] [CrossRef]
- Jia, B.B.; Zhou, L.W.; Cui, B.K.; Rivoire, B.; Dai, Y.C. Taxonomy and phylogeny of Ceriporia (Polyporales, Basidiomycota) with an emphasis of Chinese collections. Mycol. Prog. 2014, 13, 81–93. [Google Scholar] [CrossRef]
- Gomez-Montoya, N.; Elisandro Ricardo, D.S.; Ferreira-Lopes, V.; Tomsovsky, M.; Urcelay, C.; Lucio Robledo, G. New insights on Trametopsis Tomovsk (Polyporales Gum) based on phylogenetic evidences and morphological analyses of neotropical species. Phytotaxa 2017, 311, 155–167. [Google Scholar] [CrossRef]
- Kasson, M.T.; Wickert, K.L.; Stauder, C.M.; Macias, A.M.; Berger, M.C.; Simmons, D.R.; Short, D.P.G.; DeVallance, D.B.; Hulcr, J. Mutualism with aggressive wood-degrading Flavodon ambrosius (Polyporales) facilitates niche expansion and communal social structure in Ambrosiophilus ambrosia beetles. Fungal Ecol. 2016, 23, 86–96. [Google Scholar] [CrossRef]
- Vieira, M.L.; Hughes, A.F.; Gil, V.B.; Vaz, A.B.; Alves, T.M.; Zani, C.L.; Rosa, C.A.; Rosa, L.H. Diversity and antimicrobial activities of the fungal endophyte community associated with the traditional Brazilian medicinal plant Solanum cernuum Vell. (Solanaceae). Can. J. Microbiol. 2012, 58, 54–66. [Google Scholar] [CrossRef]











| Feature | Value |
|---|---|
| Raw bases | 7,998,389,159 |
| Raw reads | 516,732 |
| Assembled genome size (bp) | 37,096,425 |
| G + C content in assembled genome size (%) | 49.48% |
| Protein-coding genes (CDS) (bp) | 18,218,150 |
| GC content in gene region (%) | 52.28 |
| Gene number | 11,277 |
| Average length of gene (bp) | 1651 |
| Gene/genome (%) | 49.11 |
| tRNA | 157 |
| rRNA | 49 |
| GO annotation | 10,429 |
| COG annotation | 2080 |
| KEGG annotation | 5039 |
| CAZy annotation | 541 |
| TCDB annotation | 568 |
| Amino Acids | Number of tRNA Genes | Amino Acids | Number of tRNA Genes |
|---|---|---|---|
| Ala | 11 | Arg | 11 |
| Cys | 1 | Gln | 7 |
| His | 4 | Ile | 7 |
| Met | 5 | Phe | 4 |
| Thr | 8 | Trp | 2 |
| Asn | 3 | Asp | 7 |
| Glu | 12 | Gly | 13 |
| Leu | 10 | Lys | 8 |
| Pro | 8 | Ser | 13 |
| Tyr | 8 | Val | 11 |
| Repeat Sequence | Number of Elements | Length Occupied (bp) | Percentage of Sequence |
|---|---|---|---|
| SINEs | 7 | 400 | 0.00% |
| LINEs | 60 | 3739 | 0.01% |
| LTR elements | 6 | 746 | 0.00% |
| DNA transposons | 14 | 775 | 0.00% |
| Unclassified | 1 | 42 | 0.00% |
| Small RNA | 123 | 57,261 | 0.15% |
| Satellites | 0 | 0 | 0.00% |
| Simple repeats | 4067 | 179,908 | 0.48% |
| Low complexity | 686 | 39,497 | 0.11% |
| Total | 282,368 | 0.76% |
| Transporter Family | Number |
|---|---|
| Translocating NADH Dehydrogenase (NDH) Family | 19 |
| The Cation Diffusion Facilitator (CDF) | 7 |
| Major Facilitator Superfamily (MFS) | 103 |
| Amino Acid–Polyamine–Organocation (APC) Family | 23 |
| Nuclear Pore Complex (NPC) Family | 30 |
| translocating F-type, V-type, and A-type ATPase (F-ATPase) Superfamily | 24 |
| Permease (ZIP) Family | 10 |
| The Retromer-dependent Vacuolar Protein Sorting (R-VPS) Family | 12 |
| Glycoside–Pentoside–Hexuronide (GPH): Cation Symporter Family | 13 |
| The Mitochondrial Carrier (MC) Family | 17 |
| The Membrane Attack Complex/Perforin (MACPF) Family | 10 |
| ATP-binding Cassette (ABC) Superfamily | 38 |
| The P-type ATPase (P-ATPase) Superfamily | 19 |
| The Endoplasmic Reticular Retrotranslocon (ER-RT) Family | 11 |
| The Drug/Metabolite Transporter (DMT) Superfamily | 12 |
| Fatty Acid Transporter (FAT) Family | 24 |
| The Autophagy-related Phagophore-formation Transporter (APT) Family | 10 |
| Others | 186 |
| Species | Voucher/Strain Number | Origin | GenBank Accession No. | Reference |
|---|---|---|---|---|
| ITS | ||||
| x-10 | —— | China: Jiangsu | MW881531 | In this study (CCTCC M2020961) |
| Flavodon ambrosius | BPI 893213 | USA: Florida | NR_154000 | [68] |
| Efibula americana | CFMR FP-102165 | USA: Kentucky | NR_158394 | [69] |
| Efibula clarkii | CFMR FD-228 | USA: Massachusetts | NR_158395 | [69] |
| Ceriporia sordescens | Miettinen 15492.2 | USA | NR_148119 | [70] |
| Ceriporia humilis | H V. Spirin 4706 | Russia | NR_148120 | [70] |
| Ceriporia pierii | ‘pierii’ voucher Bernard Rivoire 1161 | France | KX752604 | [70] |
| Ceriporia torpida | H Murdoch 90 | Finland | NR_158331 | NA |
| Ceriporia sericea | H V. Spirin 4944 | Russia | NR_148121 | [70] |
| Ceriporia albomellea | BJFC Dai 15205 | China | NR_158332 | [71] |
| Ceriporia variegata | BJFC Li 1780 | Unknown | NR_166794 | [72] |
| Trametopsis aborigena | voucher Robledo 1236 | Argentina | KY655336 | [73] |
| Flavodon subulatus | voucher FLAS-F-63941 | USA: Gainesville, Florida | MN997875 | NA |
| Flavodon sp. | BAB-3601 | India | KM066573 | NA |
| Flavodon sp. | BAB-3680 | India | KJ588863 | NA |
| Flavodon sp. | BAB-3694 | India | KJ588812 | NA |
| Flavodon sp. | BAB-3697 | India | KJ588815 | NA |
| Flavodon sp. | BAB-3631 | India | KJ670235 | NA |
| Flavodon sp. | BAB-3977 | India | KJ612016 | NA |
| Flavodon sp. | BAB-3978 | India | KJ612017 | NA |
| Flavodon sp. | BAB-3997 | India | KJ612048 | NA |
| Flavodon sp. | BAB-4076 | India | KJ670295 | NA |
| Flavodon sp. | BAB-4774 | India | KP686451 | NA |
| Flavodon sp. | BAB-4912 | India | KR155009 | NA |
| Flavodon sp. | BAB-4961 | India | KR155051 | NA |
| Flavodon sp. | BAB-5032 | India | KR155092 | NA |
| Flavodon sp. | GNBP1 | India | KT714246 | NA |
| Flavodon sp. | Kasson 593A | USA | KU695251 | [74] |
| Flavodon sp. | Kasson 593G | USA | KU695252 | [74] |
| Flavodon sp. | M82 | Mexico | KP096363 | NA |
| Flavodon sp. | UFMGCB 1811 | Mariana L.A. Vieira | HQ377275 | [75] |
| Cerrena aurantiopora | NIBR FG0000102423 ITS | South Korea | NR_158290 | NA |
Disclaimer/Publisher’s Note: The statements, opinions and data contained in all publications are solely those of the individual author(s) and contributor(s) and not of MDPI and/or the editor(s). MDPI and/or the editor(s) disclaim responsibility for any injury to people or property resulting from any ideas, methods, instructions or products referred to in the content. |
© 2025 by the authors. Licensee MDPI, Basel, Switzerland. This article is an open access article distributed under the terms and conditions of the Creative Commons Attribution (CC BY) license (https://creativecommons.org/licenses/by/4.0/).
Share and Cite
Wang, B.-T.; Hu, S.; Oh, D.N.; Jin, C.-Z.; Jin, L.; Lee, J.M.; Jin, F.-J. Insights into the Lignocellulose-Degrading Enzyme System Based on the Genome Sequence of Flavodon sp. x-10. Int. J. Mol. Sci. 2025, 26, 866. https://doi.org/10.3390/ijms26030866
Wang B-T, Hu S, Oh DN, Jin C-Z, Jin L, Lee JM, Jin F-J. Insights into the Lignocellulose-Degrading Enzyme System Based on the Genome Sequence of Flavodon sp. x-10. International Journal of Molecular Sciences. 2025; 26(3):866. https://doi.org/10.3390/ijms26030866
Chicago/Turabian StyleWang, Bao-Teng, Shuang Hu, Dong Nyoung Oh, Chun-Zhi Jin, Long Jin, Jong Min Lee, and Feng-Jie Jin. 2025. "Insights into the Lignocellulose-Degrading Enzyme System Based on the Genome Sequence of Flavodon sp. x-10" International Journal of Molecular Sciences 26, no. 3: 866. https://doi.org/10.3390/ijms26030866
APA StyleWang, B.-T., Hu, S., Oh, D. N., Jin, C.-Z., Jin, L., Lee, J. M., & Jin, F.-J. (2025). Insights into the Lignocellulose-Degrading Enzyme System Based on the Genome Sequence of Flavodon sp. x-10. International Journal of Molecular Sciences, 26(3), 866. https://doi.org/10.3390/ijms26030866

