Protective and Anti-Inflammatory Effect of Novel Formulation Based on High and Low Molecular Weight Hyaluronic Acid and Salvia haenkei
Abstract
1. Introduction
2. Results
2.1. Protective Effect Against Dehydration
2.2. Effect of HCC + SH in Wound Closure and in Remodeling Biomarker Evaluation
2.3. LPS-Induced HaCaT Cell Model: Effect of HCC and HCC + SH
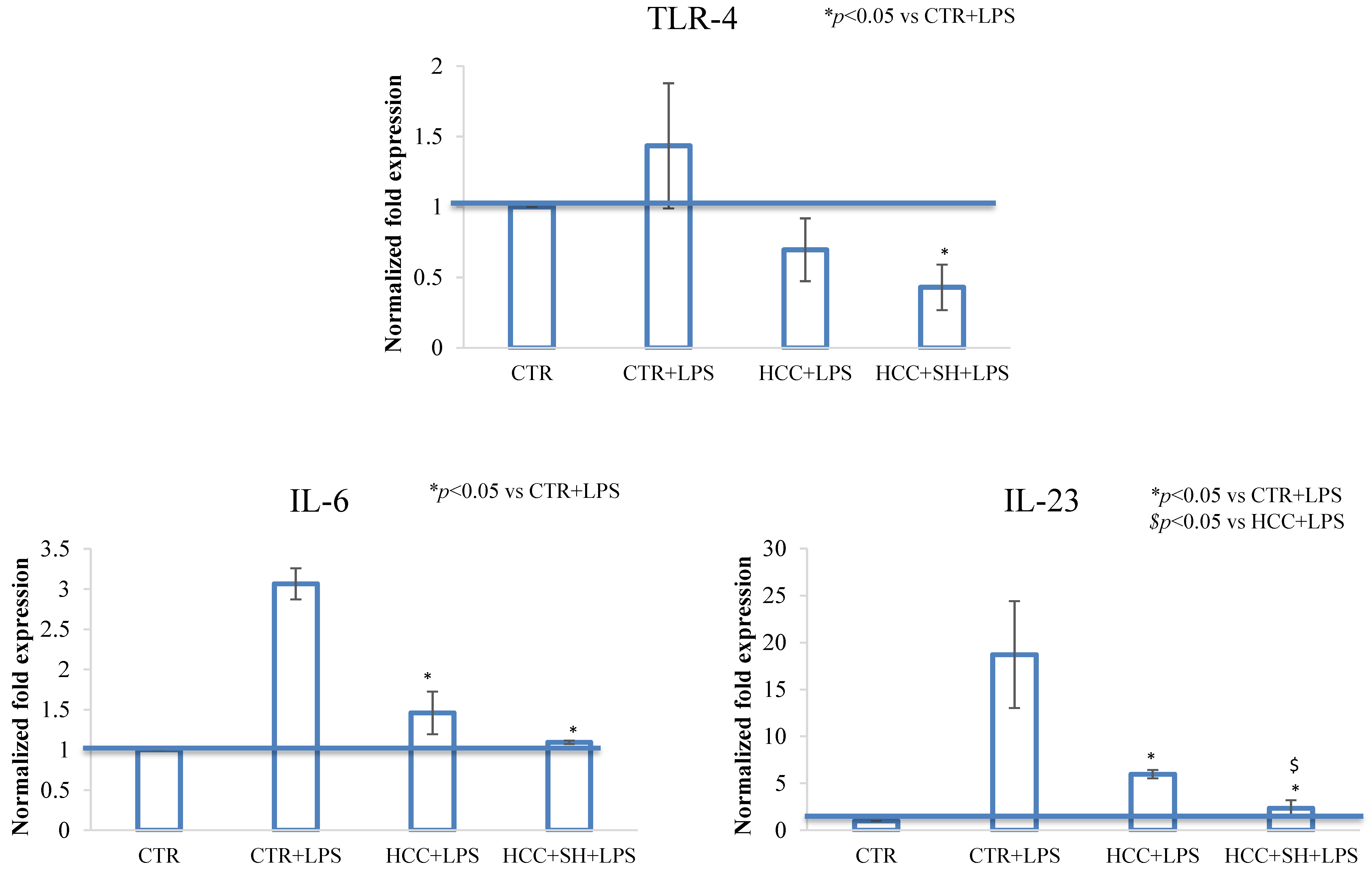
Gene Expression
2.4. Protein Expression
2.5. Inflammatory Cytokines Quantification
2.6. LPS-Induced 3D Full-Thickness Skin (FT-Skin) Model: Effect of HCC and HCC + SH
2.6.1. Gene Expression
2.6.2. Proteins Expression
2.6.3. Inflammatory Cytokines Quantification
2.6.4. Immunofluorescence on TLR4
3. Discussion
4. Materials and Method
4.1. Materials
4.2. Methods
4.2.1. Dehydration Test
4.2.2. In Vitro Keratinocytes Scratch Test and Time Lapse Video Microscopy (TLVM)
4.2.3. Proliferation Assay in 2D Model
4.2.4. In Vitro Inflammation in 2D and 3D Models
4.2.5. qRT-PCR Analyses on HaCaT and 3D-Skin
4.2.6. Western Blotting Analysis on HaCaT Monolayer Scratched or Not and on 3D-Skin
4.2.7. IL-6, IL-22 and IL-23 Quantification by ELISA
4.2.8. TLR4 Immunofluorescence Staining on 3D-Skin Sections
4.2.9. Statistical Analyses
5. Conclusions
Supplementary Materials
Author Contributions
Funding
Institutional Review Board Statement
Informed Consent Statement
Data Availability Statement
Acknowledgments
Conflicts of Interest
References
- D’Agostino, A.; Stellavato, A.; Corsuto, L.; Diana, P.; Filosa, R.; La Gatta, A.; De Rosa, M.; Schiraldi, C. Is molecular size a discriminating factor in hyaluronan interaction with human cells? Carbohydr. Polym. 2017, 157, 21–30. [Google Scholar] [CrossRef] [PubMed]
- Jabbari, F.; Babaeipour, V.; Saharkhiz, S. Comprehensive review on biosynthesis of hyaluronic acid with different molecular weights and its biomedical applications. Int. J. Biol. Macromol. 2023, 240, 124484. [Google Scholar] [CrossRef] [PubMed]
- D’Agostino, A.; Stellavato, A.; Busico, T.; Papa, A.; Tirino, V.; Papaccio, G.; La Gatta, A.; De Rosa, M.; Schiraldi, C. In vitro analysis of the effects on wound healing of high-and low-molecular weight chains of hyaluronan and their hybrid H-HA/L-HA complexes. BMC Cell Biol. 2015, 16, 19. [Google Scholar] [CrossRef]
- Juncan, A.M.; Moisă, D.G.; Santini, A.; Morgovan, C.; Rus, L.L.; Vonica-Țincu, A.L.; Loghin, F. Advantages of hyaluronic acid and its combination with other bioactive ingredients in cosmeceuticals. Molecules 2021, 26, 4429. [Google Scholar] [CrossRef]
- Stellavato, A.; Corsuto, L.; D’Agostino, A.; La Gatta, A.; Diana, P.; Bernini, P.; De Rosa, M.; Schiraldi, C. Hyaluronan hybrid cooperative complexes as a novel frontier for cellular bioprocesses re-activation. PLoS ONE 2016, 11, e0163510. [Google Scholar] [CrossRef] [PubMed]
- D’Agostino, A.; La Gatta, A.; Stellavato, A.; Cimini, D.; Corsuto, L.; Cammarota, M.; D’Agostino, M.; Schiraldi, C. Potential of biofermentative unsulfated chondroitin and hyaluronic acid in dermal repair. Int. J. Mol. Sci. 2022, 23, 1686. [Google Scholar] [CrossRef] [PubMed]
- Juhaščik, M.; Kováčik, A.; Huerta-Ángeles, G. Recent advances of hyaluronan for skin delivery: From structure to fabrication strategies and applications. Polymers 2022, 14, 4833. [Google Scholar] [CrossRef]
- Radrezza, S.; Baron, G.; Nukala, S.B.; Depta, G.; Aldini, G.; Carini, M.; D’Amato, A. Advanced quantitative proteomics to evaluate molecular effects of low-molecular-weight hyaluronic acid in human dermal fibroblasts. J. Pharm. Biomed. Anal. 2020, 185, 113199. [Google Scholar] [CrossRef]
- Zheng, B.W.; Wang, B.Y.; Xiao, W.L.; Sun, Y.J.; Yang, C.; Zhao, B.T. Different molecular weight hyaluronic acid alleviates inflammation response in DNFB-induced mice atopic dermatitis and LPS-induced RAW 264.7 cells. Life Sci. 2022, 301, 120591. [Google Scholar] [CrossRef] [PubMed]
- Tavianatou, A.G.; Caon, I.; Franchi, M.; Piperigkou, Z.; Galesso, D.; Karamanos, N.K. Hyaluronan: Molecular size-dependent signaling and biological functions in inflammation and cancer. FEBS J. 2019, 286, 2883–2908. [Google Scholar] [CrossRef] [PubMed]
- Cocetta, V.; Cadau, J.; Saponaro, M.; Giacomini, I.; Dall’Acqua, S.; Sut, S.; Catanzaro, D.; Orso, G.; Miolo, G.; Menilli, L.; et al. Further assessment of Salvia haenkei as an innovative strategy to counteract skin photo-aging and restore the barrier integrity. Aging 2021, 13, 89. [Google Scholar] [CrossRef] [PubMed]
- Matic, I.; Revandkar, A.; Chen, J.; Bisio, A.; Dall’Acqua, S.; Cocetta, V.; Brun, P.; Mancino, G.; Milanese, M.; Mattei, M.; et al. Identification of Salvia haenkei as gerosuppressant agent by using an integrated senescence-screening assay. Aging 2016, 8, 3223. [Google Scholar] [CrossRef]
- De Vita, F.; Ferravante, A.; Vecchi, G.; Nobile, V.; Giori, A.M. Evaluation of the Efficacy of IALUSET VITAL® Cream in Helping the Improvement of the Atopic Dermatitis Symptoms in Adults: A Randomized, Double Blind, Vehicle-Controlled Clinical Trial. Allergies 2021, 1, 195–205. [Google Scholar] [CrossRef]
- Zampetti, A.; Mastrofrancesco, A.; Flori, E.; Maresca, V.; Picardo, M.; Amerio, P.; Feliciani, C. Proinflammatory cytokine production in HaCaT cells treated by eosin: Implications for the topical treatment of psoriasis. Internat. J. Immunopathol. Pharmacol. 2009, 22, 1067–1075. [Google Scholar] [CrossRef] [PubMed]
- Wu, M.; Dai, C.; Zeng, F. Cellular mechanisms of psoriasis pathogenesis: A systemic review. Clin. Cosmet. Investig. Dermatol. 2023, 16, 2503–2515. [Google Scholar] [CrossRef]
- Hawkes, J.E.; Chan, T.C.; Krueger, J.G. Psoriasis pathogenesis and the development of novel targeted immune therapies. J. Allergy Clin. Immunol. 2017, 140, 645–653. [Google Scholar] [CrossRef]
- Smolińska, E.; Moskot, M.; Jakóbkiewicz-Banecka, J.; Węgrzyn, G.; Banecki, B.; Szczerkowska-Dobosz, A.; Purzycka-Bohdan, D.; Gabig-Cimińska, M. Molecular action of isoflavone genistein in the human epithelial cell line HaCaT. PLoS ONE 2018, 13, e0192297. [Google Scholar] [CrossRef] [PubMed]
- Gao, J.; Chen, F.; Fang, H.; Mi, J.; Qi, Q.; Yang, M. Daphnetin inhibits proliferation and inflammatory response in human HaCaT keratinocytes and ameliorates imiquimod-induced psoriasis-like skin lesion in mice. Biol. Res. 2020, 53, 48. [Google Scholar] [CrossRef]
- Siquier-Dameto, G.; Solalinde, L. Positive Effect of Hybrid Stable Cooperative Complexes of High- and Low-Molecular-Weight Hyaluronic Acid in Psoriasis: A Clinical Series. Esperienze Dermatol. 2021, 22, 53–55. [Google Scholar] [CrossRef]
- Cassuto, D.; Yuri, V. Treatment of Scar Contracture with Intralesional Jet-Assisted Injection of Hyaluronic Acid. J. Dermatol. Res. Ther. 2020, 6, 94–98. [Google Scholar]
- Artzi, O.; Cohen, S.; Koren, A.; Niv, R.; Friedman, O. Dual-Plane Hyaluronic Acid Treatment for Atrophic Acne Scars. J. Cosmet. Dermatol. 2020, 19, 69–74. [Google Scholar] [CrossRef] [PubMed]
- de Filippis, A.; D’Agostino, A.; Pirozzi, A.V.A.; Tufano, M.A.; Schiraldi, C.; Baroni, A. Q-switched Nd-YAG laser alone and in combination with innovative hyaluronic acid gels improve keratinocytes wound healing in vitro. Lasers Med. Sci. 2021, 36, 1047–1057. [Google Scholar] [CrossRef] [PubMed]
- Choi, D.H.; Hwang, H.S. Anti-inflammation activity of brazilin in TNF-α induced human psoriasis dermatitis skin model. Appl. Biol. Chem. 2019, 62, 46. [Google Scholar] [CrossRef]
- Humzah, D.; Molina, B.; Salti, G.; Cigni, C.; Bellia, G.; Grimolizzi, F. Intradermal Injection of Hybrid Complexes of High-and Low-Molecular-Weight Hyaluronan: Where Do We Stand and Where Are We Headed in Regenerative Medicine? Int. J. Mol. Sci. 2024, 25, 3216. [Google Scholar] [CrossRef]
- Scrima, M.; Melito, C.; Merola, F.; Iorio, A.; Vito, N.; Giori, A.M.; Ferravante, A. Evaluation of wound healing activity of salvia haenkei hydroalcoholic aerial part extract on in vitro and in vivo experimental models. Clin. Cosmet. Investig. Dermatol. 2020, 13, 627–637. [Google Scholar] [CrossRef] [PubMed]
- Gao, X.; Xu, Z.; Liu, G.; Wu, J. Polyphenols as a versatile component in tissue engineering. Acta Biomater. 2021, 119, 57–74. [Google Scholar] [CrossRef] [PubMed]
- Zumerle, S.; Sarill, M.; Saponaro, M.; Colucci, M.; Contu, L.; Lazzarini, E.; Sartori, R.; Pezzini, C.; Rinaldi, A.; Scanu, A.; et al. Targeting senescence induced by age or chemotherapy with a polyphenol-rich natural extract improves longevity and healthspan in mice. Nat. Aging 2024, 4, 1231–1248. [Google Scholar] [CrossRef]
- La Gatta, A.; Corsuto, L.; Salzillo, R.; D’Agostino, A.; De Rosa, M.; Bracco, A.; Schiraldi, C. In vitro evaluation of hybrid cooperative complexes of hyaluronic acid as a potential new ophthalmic treatment. J. Ocul. Pharmacol. Ther. 2018, 34, 677–684. [Google Scholar] [CrossRef] [PubMed]
- Wu, N.; Hu, Q.; Fu, Z.; Tong, X.; Gao, L.; Tan, L.; Yan, S.; Wang, D.; Zeng, J.; Lu, J.; et al. Pilot study of the role of ferroptosis in abnormal biological behaviour of keratinocytes in psoriasis vulgaris. Arch. Dermatol. Res. 2024, 316, 604. [Google Scholar] [CrossRef] [PubMed]
- Rodríguez-Cerdeira, C.; Molares-Vila, A.; Sánchez-Blanco, E.; Sánchez-Blanco, B. Study on certain biomarkers of inflammation in psoriasis through “OMICS” platforms. Biochim. Open 2014, 8, 21. [Google Scholar] [CrossRef]
- Baker, B.S.; Ovigne, J.M.; Powles, A.V.; Corcoran, S.; Fry, L. Normal keratinocytes express Toll-like receptors (TLRs) 1, 2 and 5: Modulation of TLR expression in chronic plaque psoriasis. Br. J. Dermatol. 2003, 148, 670–679. [Google Scholar] [CrossRef]
- Garcia–Rodriguez, S.; Arias–Santiago, S.; Perandrés–López, R.; Castellote, L.; Zumaquero, E.; Navarro, P.; Buendía-Eisman, A.; Ruiz, J.; Orgaz-Molina, J.; Sancho, J.; et al. Increased gene expression of Toll-like receptor 4 on peripheral blood mononuclear cells in patients with psoriasis. J. Eur. Acad. Dermatol. Venereol. 2013, 27, 242–250. [Google Scholar] [CrossRef] [PubMed]
- Chen, C.; Chen, L.; Zhou, J.; Cai, R.; Ye, Z.; Zhang, D. Anti-psoriasis activities of hydroxytyrosol on HaCaT cells under psoriatic inflammation in vitro. Immunopharmacol. Immunotoxicol. 2023, 45, 328–333. [Google Scholar] [CrossRef] [PubMed]
- Sarama, R.; Matharu, P.K.; Abduldaiem, Y.; Corrêa, M.P.; Gil, C.D.; Greco, K.V. In vitro disease models for understanding psoriasis and atopic dermatitis. Front. Bioeng. Biotechnol. 2022, 10, 803218. [Google Scholar] [CrossRef]
- Chan, T.C.; Hawkes, J.E.; Krueger, J.G. Interleukin 23 in the skin: Role in psoriasis pathogenesis and selective interleukin 23 blockade as treatment. Ther. Adv. Chronic Dis. 2018, 9, 111–119. [Google Scholar] [CrossRef] [PubMed]
- Di Meglio, P.; Nestle, F.O. The role of IL-23 in the immunopathogenesis of psoriasis. F1000 Biol. Rep. 2010, 2, 40. [Google Scholar] [CrossRef] [PubMed]
- Gupta, R.; Debbaneh, M.G.; Liao, W. Genetic epidemiology of psoriasis. Curr. Dermatol. Rep. 2014, 3, 61–78. [Google Scholar] [CrossRef] [PubMed]
- Liu, L.; Zhang, H.; Tang, X.; Zhang, M.; Wu, Y.; Zhao, Y.; Lu, C.; Zhao, R. Geniposide ameliorates psoriatic skin inflammation by inhibiting the TLR4/MyD88/NF-κB p65 signaling pathway and MMP9. Int. Immunopharmacol. 2024, 133, 112082. [Google Scholar] [CrossRef] [PubMed]
- Goldminz, A.M.; Au, S.C.; Kim, N.; Gottlieb, A.B.; Lizzul, P.F. NF-κB: An essential transcription factor in psoriasis. J. Dermatol. Sci. 2013, 69, 89–94. [Google Scholar] [CrossRef] [PubMed]
- Jin, Z.; Huang, Q.; Peng, J.; Liu, Z.; Hu, R.; Wu, J.; Wang, F. MiR-125a-3p alleviates hyperproliferation of keratinocytes and psoriasis-like inflammation by targeting TLR4/NF-κB pathway. Postępy Dermatol. Alergol. 2023, 40, 447–461. [Google Scholar] [CrossRef]
- Kurek-Górecka, A.; Górecki, M.; Rzepecka-Stojko, A.; Balwierz, R.; Stojko, J. Bee products in dermatology and skin care. Molecules 2020, 25, 556. [Google Scholar] [CrossRef] [PubMed]
- de Macedo, L.M.; Santos, É.M.D.; Militão, L.; Tundisi, L.L.; Ataide, J.A.; Souto, E.B.; Mazzola, P.G. Rosemary (Rosmarinus officinalis L., syn Salvia rosmarinus Spenn.) and its topical applications: A review. Plants 2020, 9, 651. [Google Scholar] [CrossRef]
- Kordulewska, N.K.; Topa, J.; Stryiński, R.; Jarmołowska, B. Osthole inhibits expression of genes associated with toll-like receptor 2 signaling pathway in an organotypic 3D skin model of human epidermis with atopic dermatitis. Cells 2021, 11, 88. [Google Scholar] [CrossRef]
- Valasek, M.A.; Repa, J.J. The power of real-time PCR. Adv. Physiol. Educ. 2005, 29, 151–159. [Google Scholar] [CrossRef]
- Kruger, N.J. The Bradford method for protein quantitation. In The Protein Protocols Handbook; Humana Press: Totowa, NJ, USA, 2009; pp. 17–24. [Google Scholar]











| Gene Name | Primer Sequence (5′–3′) | AT PCR | 
|---|---|---|
| GAPDH | FORWARD 5′-TGCACCACCAACTGCTTAGC-3′ REVERSE 5′-GGCATGGACTGTGGTCATGAG-3′ | 55 °C | 
| TLR-4 | FORWARD 5′-AAGCCGAAAGGTGATTGTTG-3′ REVERSE 5′-CTGAGCAGGGTCTTCTCCAC-3′ | 60 °C | 
| KRT-6 | FORWARD 5′-GGGTTTCAGTGCCAACTCAG-3′ REVERSE 5′-CCAGGCCATACAGACTGCGG-3′ | 60 °C | 
| IL-6 | FORWARD 5′-GTACTCTAGACCAGAGG-3′ REVERSE 5′-TGCTGGTGACAACCACGGCC-3′ | 55 °C | 
| IL-23 | FORWARD 5′-CTCAGGGACAACAGTCAGTTC-3′ REVERSE 5′-ACAGGGCTATCAGGGAGCA-3′ | 52 °C | 
| Disclaimer/Publisher’s Note: The statements, opinions and data contained in all publications are solely those of the individual author(s) and contributor(s) and not of MDPI and/or the editor(s). MDPI and/or the editor(s) disclaim responsibility for any injury to people or property resulting from any ideas, methods, instructions or products referred to in the content. | 
© 2025 by the authors. Licensee MDPI, Basel, Switzerland. This article is an open access article distributed under the terms and conditions of the Creative Commons Attribution (CC BY) license (https://creativecommons.org/licenses/by/4.0/).
Share and Cite
d’Agostino, M.; Giori, A.M.; Vassallo, V.; Schiraldi, C.; D’Agostino, A. Protective and Anti-Inflammatory Effect of Novel Formulation Based on High and Low Molecular Weight Hyaluronic Acid and Salvia haenkei. Int. J. Mol. Sci. 2025, 26, 1310. https://doi.org/10.3390/ijms26031310
d’Agostino M, Giori AM, Vassallo V, Schiraldi C, D’Agostino A. Protective and Anti-Inflammatory Effect of Novel Formulation Based on High and Low Molecular Weight Hyaluronic Acid and Salvia haenkei. International Journal of Molecular Sciences. 2025; 26(3):1310. https://doi.org/10.3390/ijms26031310
Chicago/Turabian Styled’Agostino, Maria, Andrea Maria Giori, Valentina Vassallo, Chiara Schiraldi, and Antonella D’Agostino. 2025. "Protective and Anti-Inflammatory Effect of Novel Formulation Based on High and Low Molecular Weight Hyaluronic Acid and Salvia haenkei" International Journal of Molecular Sciences 26, no. 3: 1310. https://doi.org/10.3390/ijms26031310
APA Styled’Agostino, M., Giori, A. M., Vassallo, V., Schiraldi, C., & D’Agostino, A. (2025). Protective and Anti-Inflammatory Effect of Novel Formulation Based on High and Low Molecular Weight Hyaluronic Acid and Salvia haenkei. International Journal of Molecular Sciences, 26(3), 1310. https://doi.org/10.3390/ijms26031310
 
        



 
       