Melatonin: A Dual Protector of Pepper Plants Under Drought Stress via Antioxidant Defence and Glyoxalase-Mediated Cell Detoxification
Abstract
1. Introduction
2. Results
2.1. The Effects of Melatonin on Physiological Parameters Related to Plant Growth Under Drought Stress (Melatonin, Chlorophyll, Proline and Water Potential)
2.2. The Effects of Melatonin on Parameters Indicating Oxidative Damage to Plants Under Drought Stress (H2O2, Electrical Conductivity (EC), TBARS and Injury Index)
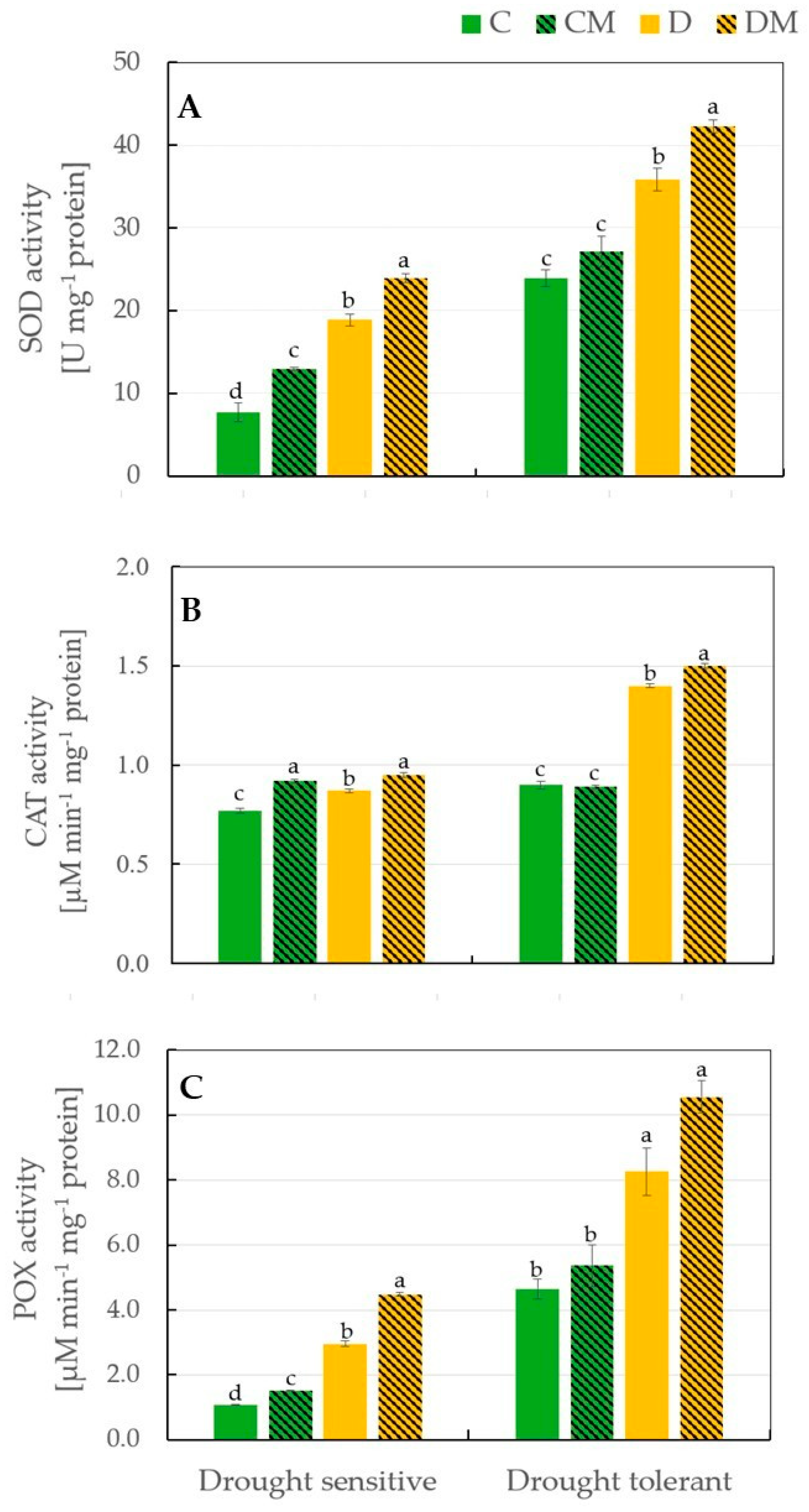
2.3. Effects of Melatonin Applications on Enzyme Activities
2.4. Effects of Melatonin Applications on Total Glutathione (GSG), Reduced Glutathione (GSH), Oxidized Glutathione (GSSG), and GSH/GSSG Ratio
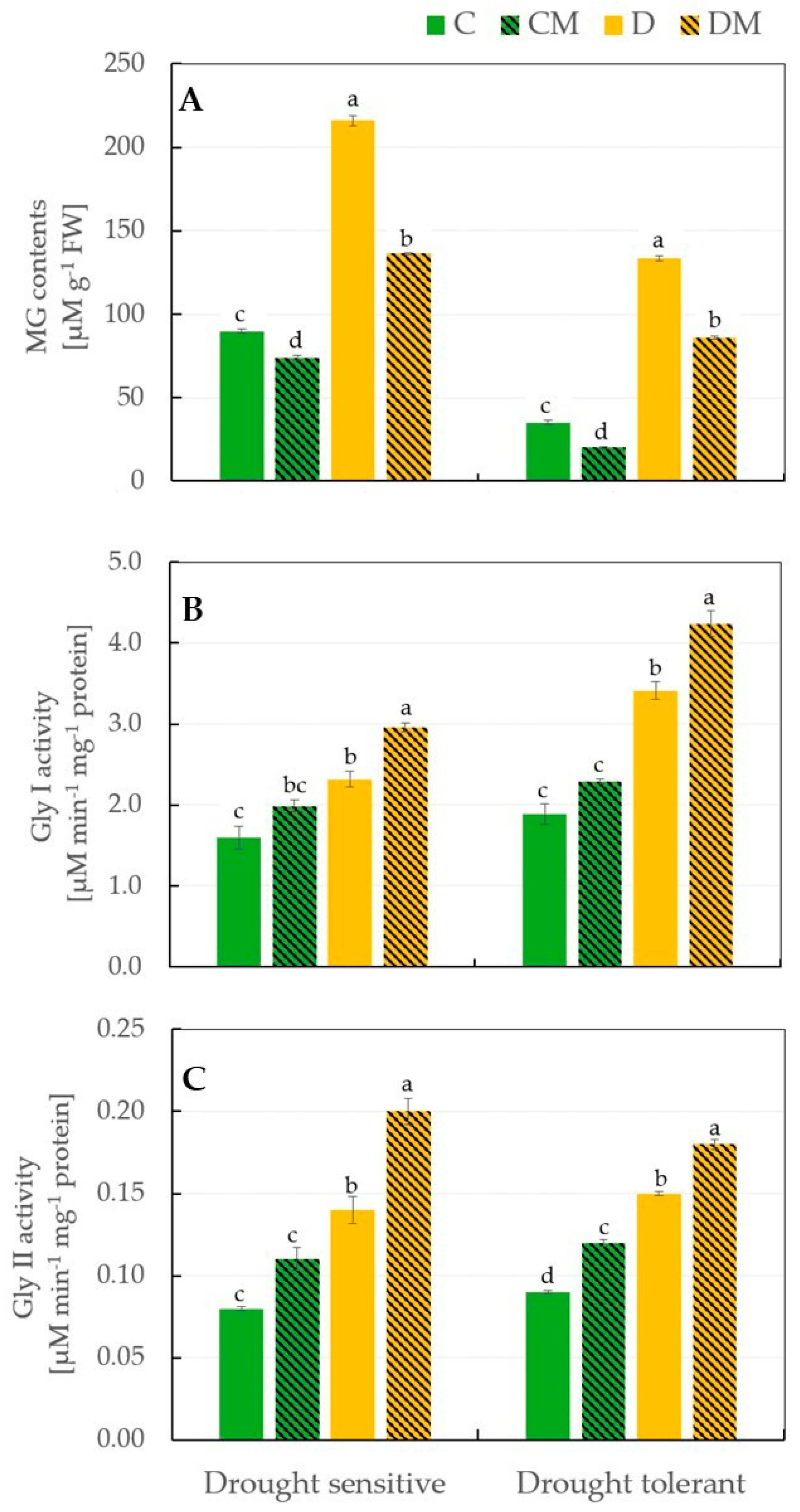
2.5. The Effects of Melatonin Applications on MG Content and Gly I and Gly II Activities
3. Discussion
4. Materials and Methods
4.1. Material
4.2. Treatments and Drought Stress Imposition
4.3. Determination of Leaf Melatonin, Chlorophyll, Proline Content, as Well as Water Potential
4.4. Determination of Leaf H2O2 Content, Tissue Electrical Conductivity (EC), TBARS Level and Visual Damage Index
4.5. Determination of Enzyme Activities
4.6. Determination of Glutathione Levels
4.7. Determination of MG Content and Gly I and Gly II Enzyme Activities
4.8. Evaluation of Results
5. Conclusions
Author Contributions
Funding
Institutional Review Board Statement
Informed Consent Statement
Data Availability Statement
Acknowledgments
Conflicts of Interest
Abbreviations
| APX | Ascorbate Peroxidase |
| CAT | Catalase |
| D | Drought Stress |
| C | Control (No Stress) |
| CM | Control + Melatonin |
| DM | Drought Stress + Melatonin |
| EC | Electrical Conductivity |
| FW | Fresh Weight |
| Gly I | Glyoxalase I |
| Gly II | Glyoxalase II |
| GPX | Glutathione Peroxidase |
| GR | Glutathione Reductase |
| GSH | Reduced Glutathione |
| GSSG | Oxidized Glutathione |
| GSG | Total Glutathione |
| GST | Glutathione S-transferase |
| H2O2 | Hydrogen Peroxide |
| MG | Methylglyoxal |
| POX | Peroxidase |
| ROS | Reactive Oxygen Species |
| SOD | Superoxide Dismutase |
| TBARS | Thiobarbituric Acid Reactive Substances |
| Ψw | Water Potential |
References
- Yadav, A.; Modi, P.; Dave, A. Effect of Abiotic Stress on Crops. In Sustainable Crop Production; Hasanuzzaman, M., Fujita, M., Teixeira Filho, M.C.M., Nogueira, T.A.R., Galindo, F.S., Eds.; BoD—Books on Demand: Norderstedt, Germany, 2020; pp. 3–23. [Google Scholar]
- Zia, R.; Nawaz, M.S.; Siddique, M.J.; Hâkim, S.; Imran, A. Plant survival under drought stress: Implications, adaptive responses, and integrated rhizosphere management strategy for stress mitigation. Microbiol. Res. 2021, 242, 126626. [Google Scholar] [CrossRef] [PubMed]
- O’Brien, P.J.; Siraki, A.G.; Shangari, N. Aldehyde sources, metabolism, molecular toxicity mechanisms, and possible effects on human health. Crit. Rev. Toxicol. 2005, 35, 609–662. [Google Scholar] [CrossRef]
- Hoque, T.S.; Uraji, M.; Ye, W.; Hossain, M.A.; Nakamura, Y.; Murata, Y. Methylglyoxal-induced stomatal closure accompanied by peroxidase-mediated ROS production in Arabidopsis. J. Plant Physiol. 2012, 169, 979–986. [Google Scholar] [CrossRef]
- Yadav, S.K.; Singla-Pareek, S.L.; Ray, M.; Reddy, M.K.; Sopory, S.K. Methylglyoxal levels in plants under salinity stress are dependent on glyoxalase I and glutathione. Biochem. Biophys. Res. Commun. 2005, 337, 61–67. [Google Scholar] [CrossRef]
- Kaur, C.; Singla-Pareek, S.L.; Sopory, S.K. Glyoxalase and methylglyoxal as biomarkers for plant stress tolerance. Crit. Rev. Plant Sci. 2014, 33, 429–456. [Google Scholar] [CrossRef]
- Yadav, S.K.; Singla-Pareek, S.L.; Reddy, M.K.; Sopory, S.K. Transgenic tobacco plants overexpressing glyoxalase enzymes resist an increase in methylglyoxal and maintain higher reduced glutathione levels under salinity stress. FEBS Lett. 2005, 579, 6265–6271. [Google Scholar] [CrossRef] [PubMed]
- Kaur, C.; Ghosh, A.; Pareek, A.; Sopory, S.K.; Singla-Pareek, S.L. Glyoxalases and stress tolerance in plants. Biochem. Soc. Trans. 2014, 42, 485–490. [Google Scholar] [CrossRef] [PubMed]
- Jain, M.; Nagar, P.; Sharma, A.; Batth, R.; Aggarwal, S.; Kumari, S.; Mustafiz, A. GLYI and D-LDH play key role in methylglyoxal detoxification and abiotic stress tolerance. Sci. Rep. 2018, 8, 5451. [Google Scholar] [CrossRef]
- Garai, S.; Bhowal, B.; Kaur, C.; Singla-Pareek, S.L.; Sopory, S.K. What signals the glyoxalase pathway in plants? Physiol. Mol. Biol. Plants 2021, 27, 2407–2420. [Google Scholar] [CrossRef]
- Mustafiz, A.; Ghosh, A.; Tripathi, A.K.; Kaur, C.; Ganguly, A.K.; Bhavesh, N.S.; Tripathi, J.K.; Pareek, A.; Sopory, S.K.; Singla-Pareek, S.L. A unique Ni2+-dependent and methylglyoxal-inducible rice glyoxalase I possesses a single active site and functions in abiotic stress response. Plant J. 2014, 78, 951–963. [Google Scholar] [CrossRef]
- Li, X.; Yu, B.; Cui, Y.; Yin, Y. Melatonin application confers enhanced salt tolerance by regulating Na+ and Cl− accumulation in rice. Plant Growth Regul. 2017, 83, 441–454. [Google Scholar] [CrossRef]
- Ahmad, A.; Hayat, F.; Khan, U.; Ahmed, N.; Li, J.; Ercisli, S.; Iqbal, S.; Javed, H.U.; Alyas, T.; Tu, P.; et al. Melatonin: A promising approach to enhance abiotic stress tolerance in horticultural plants. S. Afr. J. Bot. 2024, 164, 66–76. [Google Scholar] [CrossRef]
- Cui, G.; Zhao, X.; Liu, S.; Sun, F.; Zhang, C.; Xi, Y. Beneficial effects of melatonin in overcoming drought stress in wheat seedlings. Plant Physiol. Biochem. 2017, 118, 138–149. [Google Scholar] [CrossRef]
- Li, Z.; Xu, Y.; Bai, L.; Zhang, S.; Wang, Y. Melatonin enhances thermotolerance of maize seedlings (Zea mays L.) by modulating antioxidant defense, methylglyoxal detoxification, and osmoregulation systems. Protoplasma 2019, 256, 471–490. [Google Scholar] [CrossRef]
- Sharma, A.; Zheng, B. Melatonin-mediated regulation of drought stress: Physiological and molecular aspects. Plants 2019, 8, 190. [Google Scholar] [CrossRef] [PubMed]
- Moustafa-Farag, M.; Mahmoud, A.; Arnao, M.B.; Sheteiwy, M.S.; Dafea, M.; Soltan, M.; Elkelish, A.; Hasanuzzaman, M.; Ai, S. Melatonin-induced water stress tolerance in plants: Recent advances. Antioxidants 2020, 9, 809. [Google Scholar] [CrossRef]
- Hasan, M.K.; Ahammed, G.J.; Yin, L.; Shi, K.; Xia, X.; Zhou, Y.; Yu, J.; Zhou, J. Melatonin mitigates cadmium phytotoxicity through modulation of phytochelatin biosynthesis, vacuolar sequestration, and antioxidant potential in Solanum lycopersicum L. Front. Plant Sci. 2015, 6, 601. [Google Scholar] [CrossRef]
- Ye, J.; Wang, S.; Deng, X.; Yin, L.; Xiong, B.; Wang, X. Melatonin increased maize (Zea mays L.) seedling drought tolerance by alleviating drought-induced photosynthetic inhibition and oxidative damage. Acta Physiol. Plant. 2016, 38, 48. [Google Scholar] [CrossRef]
- Li, J.; Zeng, L.; Cheng, Y.; Lu, G.; Fu, G.; Ma, H.; Liu, Q.; Zhang, X.; Zou, X.; Li, C. Exogenous melatonin alleviates damage from drought stress in Brassica napus L. seedlings. Acta Physiol. Plant. 2018, 40, 43. [Google Scholar] [CrossRef]
- Zhang, N.; Zhao, B.; Zhang, H.J.; Weeda, S.; Yang, C.; Yang, Z.C.; Ren, S.; Guo, Y.D. Melatonin promotes water-stress tolerance, lateral root formation, and seed germination in cucumber (Cucumis sativus L.). J. Pineal Res. 2013, 54, 15–23. [Google Scholar] [CrossRef]
- Campos, C.N.; Ávila, R.G.; de Souza, K.R.D.; Azevedo, L.M.; Alves, J.D. Melatonin reduces oxidative stress and promotes drought tolerance in young Coffea arabica L. plants. Agric. Water Manag. 2019, 211, 37–47. [Google Scholar] [CrossRef]
- Gao, W.; Zhang, Y.; Feng, Z.; Bai, Q.; He, J.; Wang, Y. Effects of melatonin on antioxidant capacity in naked oat seedlings under drought stress. Molecules 2018, 23, 1580. [Google Scholar] [CrossRef]
- Sarafi, E.; Tsouvaltzis, P.; Chatzissavvidis, C.; Siomos, A.; Therios, I. Melatonin and resveratrol reverse the toxic effect of high boron (B) and modulate biochemical parameters in pepper plants (Capsicum annuum L.). Plant Physiol. Biochem. 2017, 112, 173–182. [Google Scholar] [CrossRef]
- Ahmad, I.; Zhu, G.; Zhou, G.; Liu, J.; Younas, M.U.; Zhu, Y. Melatonin role in plant growth and physiology under abiotic stress. Int. J. Mol. Sci. 2023, 24, 8759. [Google Scholar] [CrossRef]
- Ahmad, S.; Kamran, M.; Ding, R.; Meng, X.; Wang, H.; Ahmad, I.; Fahad, S.; Han, Q. Exogenous melatonin confers drought stress tolerance by promoting plant growth, photosynthetic capacity, and antioxidant defense system of maize seedlings. PeerJ 2019, 7, e7793. [Google Scholar] [CrossRef]
- Alharby, H.F.; Fahad, S. Melatonin application enhances biochar efficiency for drought tolerance in maize varieties: Modifications in physio-biochemical machinery. Agron. J. 2020, 112, 2826–2847. [Google Scholar] [CrossRef]
- Fleta-Soriano, E.; Díaz, L.; Bonet, E.; Munné-Bosch, S. Melatonin may exert a protective role against drought stress in maize. J. Agron. Crop Sci. 2017, 203, 286–294. [Google Scholar] [CrossRef]
- Huang, H.; Ullah, F.; Zhou, D.X.; Yi, M.; Zhao, Y. Mechanisms of ROS regulation of plant development and stress responses. Front. Plant Sci. 2019, 10, 800. [Google Scholar] [CrossRef] [PubMed]
- Su, X.; Fan, X.; Shao, R.; Guo, J.; Wang, Y.; Yang, J.; Yang, Q.; Guo, L. Physiological and iTRAQ-based proteomic analyses reveal that melatonin alleviates oxidative damage in maize leaves exposed to drought stress. Int. J. Mol. Sci. 2019, 20, 4583. [Google Scholar] [CrossRef] [PubMed]
- Altaf, M.A.; Shahid, R.; Ren, M.X.; Naz, S.; Altaf, M.M.; Khan, L.U.; Tiwari, R.K.; Lal, M.K.; Shahid, M.A.; Kumar, R.; et al. Melatonin improves drought stress tolerance of tomato by modulation of plant growth, root architecture, photosynthesis, and antioxidant defense system. Antioxidants 2022, 11, 309. [Google Scholar] [CrossRef]
- Ding, F.; Wang, G.; Wang, M.; Zhang, S. Exogenous melatonin improves tolerance to water deficit by promoting cuticle formation in tomato plants. Molecules 2018, 23, 1605. [Google Scholar] [CrossRef] [PubMed]
- Karaca, P.; Cekic, F.Ö. Exogenous melatonin-stimulated defense responses in tomato plants treated with polyethylene glycol. Int. J. Veg. Sci. 2019, 25, 601–609. [Google Scholar] [CrossRef]
- Liu, J.; Zhang, R.; Sun, Y.; Liu, Z.; Jin, W.; Sun, Y. The beneficial effects of exogenous melatonin on tomato fruit properties. Sci. Hortic. 2016, 207, 14–20. [Google Scholar] [CrossRef]
- Hossain, M.S.; Li, J.; Sikdar, A.; Hasanuzzaman, M.; Uzizerimana, F.; Muhammad, I.; Yuan, Y.; Zhang, C.; Wang, C.; Feng, B. Exogenous melatonin modulates the physiological and biochemical mechanisms of drought tolerance in Tartary buckwheat (Fagopyrum tataricum (L.) Gaertn). Molecules 2020, 25, 2828. [Google Scholar] [CrossRef]
- Hu, W.; Cao, Y.; Loka, D.A.; Harris-Shultz, K.R.; Reiter, R.J.; Ali, S.; Liu, Y.; Zhou, Z. Exogenous melatonin improves cotton (Gossypium hirsutum L.) pollen fertility under drought by regulating carbohydrate metabolism in male tissues. Plant Physiol. Biochem. 2020, 151, 579–588. [Google Scholar] [CrossRef]
- Chen, Y.E.; Mao, J.J.; Sun, L.Q.; Huang, B.; Ding, C.B.; Gu, Y.; Liao, J.Q.; Hu, C.; Zhang, Z.W.; Yuan, S. Exogenous melatonin enhances salt stress tolerance in maize seedlings by improving antioxidant and photosynthetic capacity. Physiol. Plant. 2018, 164, 349–363. [Google Scholar] [CrossRef]
- Moustafa-Farag, M.; Almoneafy, A.; Mahmoud, A.; Elkelish, A.; Arnao, M.B.; Li, L.; Ai, S. Melatonin and its protective role against biotic stress impacts on plants. Biomolecules 2019, 10, 54. [Google Scholar] [CrossRef]
- Köklü Ardıç, Ş.; Szafrańska, K.; Havan, A.; Karaca, A.; Aslan, M.Ö.; Sözeri, E.; Yakupoğlu, G.; Korkmaz, A. Endogenous melatonin content confers drought stress tolerance in pepper. Environ. Exp. Bot. 2023, 216, 105536. [Google Scholar] [CrossRef]
- Wei, Y.; Zeng, H.; Hu, W.; Chen, L.; He, C.; Shi, H. Comparative transcriptional profiling of melatonin synthesis and catabolic genes indicates the possible role of melatonin in developmental and stress responses in rice. Front. Plant Sci. 2016, 7, 676. [Google Scholar] [CrossRef]
- Li, X.; Tan, D.-X.; Jiang, D.; Liu, F. Melatonin enhances cold tolerance in drought-primed wild-type and abscisic acid-deficient mutant barley. J. Pineal Res. 2016, 61, 328–339. [Google Scholar] [CrossRef] [PubMed]
- Wang, P.; Sun, X.; Li, C.; Wei, Z.; Liang, D.; Ma, F. Long-term exogenous application of melatonin delays drought-induced leaf senescence in apple. J. Pineal Res. 2013, 54, 292–302. [Google Scholar] [CrossRef]
- Jiao, J.; Ma, Y.; Chen, S.; Liu, C.; Song, Y.; Qin, Y.; Yuan, C.; Liu, Y. Melatonin-producing endophytic bacteria from grapevine roots promote the abiotic stress-induced production of endogenous melatonin in their hosts. Front. Plant Sci. 2016, 7, 1387. [Google Scholar] [CrossRef] [PubMed]
- Jahan, M.S.; Shu, S.; Wang, Y.; Hasan, M.M.; El-Yazied, A.A.; Alabdallah, N.M.; Hajjar, D.; Altaf, M.A.; Sun, J.; Guo, S. Melatonin pretreatment confers heat tolerance and repression of heat-induced senescence in tomato through the modulation of ABA- and GA-mediated pathways. Front. Plant Sci. 2021, 12, 650955. [Google Scholar] [CrossRef]
- Ma, X.; Zhang, J.; Burgess, P.; Rossi, S.; Huang, B. Interactive effects of melatonin and cytokinin on alleviating drought-induced leaf senescence in creeping bentgrass (Agrostis stolonifera). Environ. Exp. Bot. 2018, 145, 1–11. [Google Scholar] [CrossRef]
- An, W.; Wang, G.; Dou, J.; Zhang, Y.; Yang, Q.; He, Y.; Tang, Z.; Yu, J. Protective mechanisms of exogenous melatonin on chlorophyll metabolism and photosynthesis in tomato seedlings under heat stress. Front. Plant Sci. 2025, 16, 1519950. [Google Scholar] [CrossRef]
- Song, L.; Tan, Z.; Zhang, W.; Li, Q.; Jiang, Z.; Shen, S.; Luoa, S.; Chen, X. Exogenous melatonin improves the chilling tolerance and preharvest fruit shelf life in eggplant by affecting ROS- and senescence-related processes. Hortic. Plant J. 2023, 9, 3523–3540. [Google Scholar] [CrossRef]
- Zhu, J.; Lou, H.; Yan, C.; Zhang, W.; Li, Z. Exogenous melatonin enhances cold tolerance by regulating the expression of photosynthetic performance, antioxidant system, and related genes in cotton. Plants 2024, 13, 2010. [Google Scholar] [CrossRef]
- Wei, W.; Tao, J.-J.; Yin, C.-C.; Chen, S.-Y.; Zhang, J.-S.; Zhang, W.-K. Melatonin regulates gene expressions through activating auxin synthesis and signaling pathways. Front. Plant Sci. 2022, 13, 1057993. [Google Scholar] [CrossRef] [PubMed]
- Chen, W.; Zhang, J.; Zheng, S.; Wang, Z.; Xu, C.; Zhang, Q.; Wu, J.; Lou, H. Metabolite profiling and transcriptome analyses reveal novel regulatory mechanisms of melatonin biosynthesis in hickory. Hortic. Res. 2021, 8, 196. [Google Scholar] [CrossRef]
- Yang, K.; Sun, H.; Liu, M.; Zhu, L.; Zhang, K.; Zhang, Y.; Li, A.; Zhang, H.; Zhu, J.; Liu, X.; et al. Morphological and physiological mechanisms of melatonin on delaying drought-induced leaf senescence in cotton. Int. J. Mol. Sci. 2023, 24, 7269. [Google Scholar] [CrossRef]
- Szafrańska, K.; Reiter, R.J.; Posmyk, M.M. Melatonin improves the photosynthetic apparatus in pea leaves stressed by paraquat via chlorophyll breakdown regulation and its accelerated de novo synthesis. Front. Plant Sci. 2017, 8, 878. [Google Scholar] [CrossRef]
- Mushtaq, N.; Iqbal, S.; Hayat, F.; Raziq, A.; Ayaz, A.; Zaman, W. Melatonin in Micro-Tom tomato: Improved drought tolerance via the regulation of the photosynthetic apparatus, membrane stability, osmoprotectants, and root system. Life 2022, 12, 1922. [Google Scholar] [CrossRef]
- Kaya, C.; Shabala, S. Melatonin improves drought stress tolerance of pepper (Capsicum annuum) plants via upregulating nitrogen metabolism. Funct. Plant Biol. 2024, 51, FP23060. [Google Scholar] [CrossRef]
- Eisa, E.A.; Honfi, P.; Tilly-Mándy, A.; Gururani, M.A. Exogenous application of melatonin alleviates drought stress in Ranunculus asiaticus by improving its morphophysiological and biochemical attributes. Horticulturae 2023, 9, 262. [Google Scholar] [CrossRef]
- El-Yazied, A.A.; Ibrahim, M.F.M.; Ibrahim, M.A.R.; Nasef, I.N.; Al-Qahtani, S.M.; Al-Harbi, N.A.; Alzuaibr, F.M.; Alaklabi, A.; Dessoky, E.S.; Alabdallah, N.M. Melatonin mitigates drought-induced oxidative stress in potato plants through modulation of osmolytes, sugar metabolism, ABA homeostasis, and antioxidant enzymes. Plants 2022, 11, 1151. [Google Scholar] [CrossRef]
- Talaat, N.B. Drought stress alleviator melatonin reconfigures water-stressed barley (Hordeum vulgare L.) plants’ photosynthetic efficiency, antioxidant capacity, and endogenous phytohormone profile. Int. J. Mol. Sci. 2023, 24, 16228. [Google Scholar] [CrossRef]
- Dorion, S.; Ouellet, J.C.; Rivoal, J. Glutathione metabolism in plants under stress: Beyond reactive oxygen species detoxification. Metabolites 2021, 11, 641. [Google Scholar] [CrossRef]
- Bidabadi, S.S.; Vander Weide, J.; Sabbatini, P. Exogenous melatonin improves glutathione content, redox state, and increases essential oil production in two Salvia species under drought stress. Sci. Rep. 2020, 10, 6883. [Google Scholar] [CrossRef] [PubMed]
- Hasanuzzaman, M.; Fujita, M. Selenium pretreatment upregulates the antioxidant defense and methylglyoxal detoxification system and confers enhanced tolerance to drought stress in rapeseed seedlings. Biol. Trace Elem. Res. 2011, 143, 1758–1776. [Google Scholar] [CrossRef] [PubMed]
- Galano, A.; Tan, D.X.; Reiter, R.J. Melatonin as a natural ally against oxidative stress: A physicochemical examination. J. Pineal Res. 2011, 51, 1–16. [Google Scholar] [CrossRef] [PubMed]
- Siddiqui, M.H.; Alamri, S.; Alsubaie, Q.D.; Hayssam, M.; Ali, H.M. Melatonin and gibberellic acid promote growth and chlorophyll biosynthesis by regulating antioxidant and methylglyoxal detoxification system in tomato seedlings under salinity. J. Plant Growth Regul. 2020, 39, 1488–1502. [Google Scholar] [CrossRef]
- Arman, M.S.; Bhuya, A.R.; Shuvo, M.R.K.; Rabbi, M.A.M.; Ghosh, A. Genomic identification, characterization, and stress-induced expression profiling of glyoxalase and D-lactate dehydrogenase gene families in Capsicum annuum. BMC Plant Biol. 2024, 24, 990. [Google Scholar] [CrossRef] [PubMed]
- Yu, T.; Dong, W.; Hou, X.; Sun, A.; Li, X.; Yu, S.; Zhang, J. The maize gene ZmGLYI-8 confers salt and drought tolerance in transgenic Arabidopsis plants. Int. J. Mol. Sci. 2024, 25, 10937. [Google Scholar] [CrossRef] [PubMed]
- Talaat, N.B.; Todorova, D. Antioxidant machinery and glyoxalase system regulation confers salt stress tolerance to wheat (Triticum aestivum L.) plants treated with melatonin and salicylic acid. J. Soil Sci. Plant Nutr. 2022, 22, 3527–3540. [Google Scholar] [CrossRef]
- Güneş, A.; Inal, A.; Baggi, E.G.; Coban, S.; Pilbeam, D.J. Silicon mediates changes to some physiological and enzymatic parameters symptomatic for oxidative stress in spinach (Spinacia oleracea L.) grown under B toxicity. Sci. Hortic. 2007, 113, 113–119. [Google Scholar] [CrossRef]
- Bates, L.S.; Waldren, R.P.; Teare, I.D. Rapid determination of free proline for water-stress studies. Plant Soil 1973, 39, 205–207. [Google Scholar] [CrossRef]
- Özden, M.; Demirel, U.; Kahraman, A. Effects of proline on antioxidant system in leaves of grapevine (Vitis vinifera L.) exposed to oxidative stress by H2O2. Sci. Hortic. 2009, 119, 163–168. [Google Scholar] [CrossRef]
- Korkmaz, A.; Korkmaz, Y.; Demirkıran, A.R. Enhancing chilling stress tolerance of pepper seedlings by exogenous application of 5-aminolevulinic acid. Environ. Exp. Bot. 2007, 67, 495–501. [Google Scholar] [CrossRef]
- Zhang, Y.M.C. Protective effect of quercetin on Aroclor 1254—induced oxidative damage in cultured chicken spermatogonial cells. Toxicol. Sci. 2005, 88, 545–550. [Google Scholar] [CrossRef]
- Bradford, M.M. A rapid and sensitive method for the quantitation of microgram quantities of protein utilizing the principle of protein-dye binding. Anal. Biochem. 1976, 72, 248–254. [Google Scholar] [CrossRef]
- Bergmeyer, H.-U. (Ed.) Methods of Enzymatic Analysis, 2nd ed.; Verlag Chemie: Weinheim, Germany; Academic Press: New York, NY, USA, 1965. [Google Scholar]
- Dolatabadian, A.; Sanavy, S.M.; Chashmi, N.A. The effects of foliar application of ascorbic acid (vitamin C) on antioxidant enzyme activities, lipid peroxidation, and proline accumulation of canola (Brassica napus L.) under conditions of salt stress. J. Agron. Crop Sci. 2008, 194, 206–213. [Google Scholar] [CrossRef]
- Nagalakshmi, N.; Prasad, M.N.V. Responses of glutathione cycle enzymes and glutathione metabolism to copper stress in Scenedesmus bijugatus. Plant Sci. 2001, 160, 291–299. [Google Scholar] [CrossRef] [PubMed]
- Esterbauer, H.; Grill, D. Seasonal variation of glutathione and glutathione reductase in needles of Picea abies. Plant Physiol. 1978, 61, 119–121. [Google Scholar] [CrossRef] [PubMed]
- Sahoo, S.; Awasthi, J.P.; Sunkar, R.; Panda, S.K. Determining glutathione levels in plants. In Plant Stress Tolerance: Methods and Protocols; Sunkar, R., Ed.; Springer: New York, NY, USA, 2017; pp. 273–277. [Google Scholar] [CrossRef]
- Hoque, T.S.; Uraji, M.; Hoque, M.A.; Nakamura, Y.; Murata, Y. Methylglyoxal induces inhibition of growth, accumulation of anthocyanin, and activation of glyoxalase I and II in Arabidopsis thaliana. J. Biochem. Mol. Toxicol. 2017, 31, e21901. [Google Scholar] [CrossRef] [PubMed]







| Genotype | Treatments | Melatonin (µg kg−1 FW) | Chlorophyll (mg kg−1 FW) | Proline (mM kg−1 FW) | Water Potential (−MPa) |
|---|---|---|---|---|---|
|
Drought Sensitive | C | 23.9 ± 1.82 d | 39.9 ± 0.28 b | 24.2 ± 0.32 d | 1.25 ± 0.01 c |
| CM | 61.6 ± 3.83 c | 56.5 ± 0.11 a | 62.0 ± 0.17 c | 0.90 ± 0.01 d | |
| D | 97.5 ± 3.80 b | 28.7 ± 0.40 c | 76.3 ± 0.43 b | 1.74 ± 0.01 a | |
| DM | 120.4 ± 6.80 a | 40.4 ± 0.47 b | 100.8 ± 0.50 a | 1.39 ± 0.01 b | |
| ANOVA | *** | *** | *** | *** | |
|
Drought Tolerant | C | 111.3 ± 1.30 c | 71.8 ± 0.32 b | 52.2 ± 0.30 d | 1.04 ± 0.01 c |
| CM | 153.4 ± 1.60 b | 80.3 ± 0.58 a | 72.1 ± 0.48 c | 0.93 ± 0.01 d | |
| D | 207.6 ± 15 a | 58.2 ± 0.22 d | 105.9 ± 0.30 b | 1.21 ± 0.01 a | |
| DM | 245.6 ± 4.42 a | 63.8 ± 0.70 c | 135.0 ± 0.76 a | 1.10 ± 0.01 b | |
| ANOVA | *** | *** | *** | *** |
| Genotype | Treatments | H2O2 (µM kg−1 FW) | EC (%) | TBARS (mM kg−1 FW) | Injury Index (0–5 Point) |
|---|---|---|---|---|---|
|
Drought Sensitive | C | 1.20 ± 0.01 c | 75.0 ± 1.11 c | 8.7 ± 0.32 b,c | 1.25 ± 0.03 b |
| CM | 1.00 ± 0.02 d | 68.2 ± 0.17 d | 7.0 ± 0.17 c | 1.19 ± 0.01 b | |
| D | 1.77 ± 0.01 a | 88.6 ± 0.71 a | 12.4 ± 0.43 a | 4.10 ± 0.04 a | |
| DM | 1.45 ± 0.01 b | 80.1 ± 0.51 b | 10.1 ± 0.50 b | 4.00 ± 0.03 a | |
| ANOVA | *** | *** | *** | *** | |
|
Drought Tolerant | C | 0.86 ± 0.02 b,c | 11.6 ± 1.01 a,b | 5.2 ± 0.37 | 1.24 ± 0.01 c |
| CM | 0.78 ± 0.0324 c | 10.5 ± 1.85 b | 4.7 ± 0.63 | 1.19 ± 0.03 c | |
| D | 1.00 ± 0.03 a | 17.8 ± 1.39 a | 6.5 ± 0.29 | 3.57 ± 0.01 a | |
| DM | 0.91 ± 0.01 a,b | 12.2 ± 0.79 a,b | 5.5 ± 0.79 | 3.10 ± 0.04 b | |
| ANOVA | *** | * | NS | *** |
| Genotype | Treatments | GSG (nM g−1 FW) | GSH (nM g−1 FW) | GSSG (nM g−1 FW) | GSH/GSSG Ratio |
|---|---|---|---|---|---|
|
Drought Sensitive | C | 215.4 ± 1.8 d | 20.3 ± 1.1 d | 195.1 ± 1.32 a | 0.10 ± 0.01 d |
| CM | 244.9 ± 3.8 c | 77.3 ± 4.8 c | 167.6 ± 1.77 b | 0.46 ± 0.03 c | |
| D | 374.2 ± 3.8 b | 254.1 ± 3.2 b | 120.1 ± 1.21 c | 2.12 ± 0.03 b | |
| DM | 475.5 ± 6.8 a | 376.1 ± 5.3 a | 99.4 ± 2.51 d | 3.79 ± 0.09 a | |
| ANOVA | *** | *** | *** | *** | |
|
Drought Tolerant | C | 413.8 ± 1.3 d | 285.4 ± 0.6 d | 128.4 ± 1.27 a | 2.22 ± 0.02 d |
| CM | 524.3 ± 1.6 c | 417.5 ± 1.0 c | 106.8 ± 1.83 b | 3.91 ± 0.07 c | |
| D | 586.3 ± 15 b | 502.2 ± 4.3 b | 84.1 ± 1.41 c | 5.97 ± 0.16 b | |
| DM | 664.6 ± 4.4 a | 609.1 ± 4.2 a | 55.4 ± 3.01 d | 11.12 ± 0.63 a | |
| ANOVA | *** | *** | *** | *** |
Disclaimer/Publisher’s Note: The statements, opinions and data contained in all publications are solely those of the individual author(s) and contributor(s) and not of MDPI and/or the editor(s). MDPI and/or the editor(s) disclaim responsibility for any injury to people or property resulting from any ideas, methods, instructions or products referred to in the content. |
© 2025 by the authors. Licensee MDPI, Basel, Switzerland. This article is an open access article distributed under the terms and conditions of the Creative Commons Attribution (CC BY) license (https://creativecommons.org/licenses/by/4.0/).
Share and Cite
Köklü Ardıç, Ş.; Szafrańska, K.; Korkmaz, A. Melatonin: A Dual Protector of Pepper Plants Under Drought Stress via Antioxidant Defence and Glyoxalase-Mediated Cell Detoxification. Int. J. Mol. Sci. 2025, 26, 11137. https://doi.org/10.3390/ijms262211137
Köklü Ardıç Ş, Szafrańska K, Korkmaz A. Melatonin: A Dual Protector of Pepper Plants Under Drought Stress via Antioxidant Defence and Glyoxalase-Mediated Cell Detoxification. International Journal of Molecular Sciences. 2025; 26(22):11137. https://doi.org/10.3390/ijms262211137
Chicago/Turabian StyleKöklü Ardıç, Şebnem, Katarzyna Szafrańska, and Ahmet Korkmaz. 2025. "Melatonin: A Dual Protector of Pepper Plants Under Drought Stress via Antioxidant Defence and Glyoxalase-Mediated Cell Detoxification" International Journal of Molecular Sciences 26, no. 22: 11137. https://doi.org/10.3390/ijms262211137
APA StyleKöklü Ardıç, Ş., Szafrańska, K., & Korkmaz, A. (2025). Melatonin: A Dual Protector of Pepper Plants Under Drought Stress via Antioxidant Defence and Glyoxalase-Mediated Cell Detoxification. International Journal of Molecular Sciences, 26(22), 11137. https://doi.org/10.3390/ijms262211137

