PLGA Nanoparticles Double-Decorated with a TAT Peptide and Folic Acid to Target Staphylococcus aureus
Abstract
1. Introduction
2. Results
2.1. Physicochemical Characterization of NPs
2.2. Physicochemical Stability of NPs
2.3. Bacterial Targeting Ability of NPs
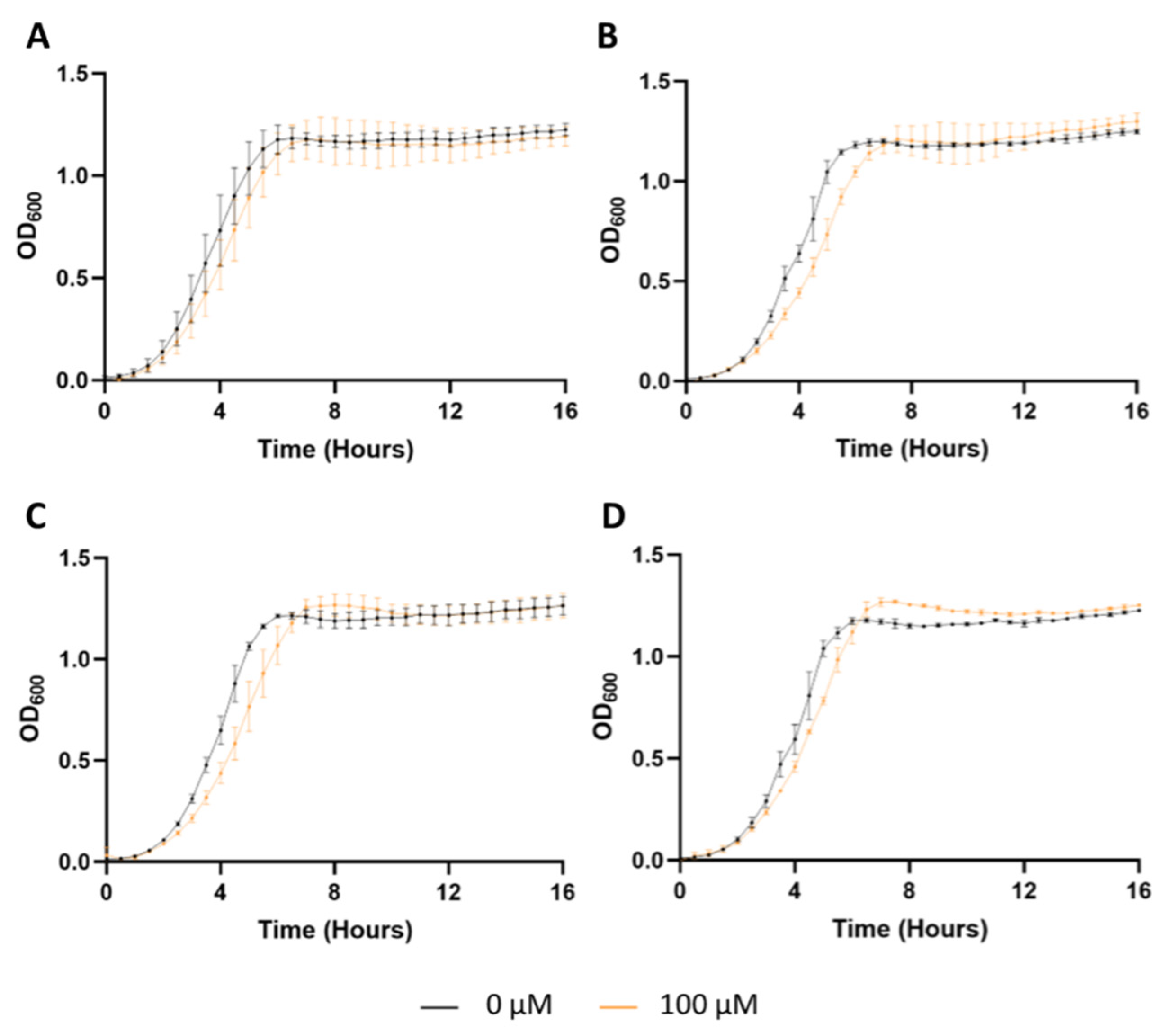
2.4. Antibacterial Properties of NPs
2.5. Biocompatibility
3. Materials and Methods
3.1. Materials
3.2. Production of PLGA NPs
3.3. Functionalization of NPs with FA and TAT
3.4. Physicochemical Characterization of NPs
3.4.1. Dynamic Light Scattering and Electrophoretic Light Scattering
3.4.2. Transmission Electron Microscopy
3.4.3. Fourier-Transform Infrared Spectroscopy
3.5. Physicochemical Stability of NPs
3.6. Bacterial Targeting Ability of NPs
3.7. Antibacterial Properties of NPs
3.7.1. Growth Curve of S. aureus
3.7.2. Kinetic Model of S. aureus Growth
3.8. Biocompatibility of NPs
3.8.1. Cell Culture
3.8.2. Cytotoxicity Evaluation
3.9. Statistical Analysis
4. Conclusions
Supplementary Materials
Author Contributions
Funding
Institutional Review Board Statement
Informed Consent Statement
Data Availability Statement
Conflicts of Interest
Abbreviations
| DDS | Drug delivery system | 
| DLS | Dynamic light scattering | 
| EDC | N-(3-dimethylaminopropyl)-N′-ethylcarbodiimide hydrochloride | 
| ELS | Electrophoretic light scattering | 
| FBS | Fetal bovine serum | 
| FA | Folic acid | 
| FTIR | Fourier transform infrared spectroscopy | 
| NPs | Nanoparticles | 
| PDI | Polydispersity index | 
| PLGA | Poly(lactic-co-glycolic acid) | 
| PVA | Polyvinyl alcohol | 
| TEM | Transmission electron microscopy | 
| TSB | Tryptic soy broth | 
References
- Ikuta, K.S.; Swetschinski, L.R.; Aguilar, G.R.; Sharara, F.; Mestrovic, T.; Gray, A.P.; Weaver, N.D.; E Wool, E.; Han, C.; Hayoon, A.G.; et al. Global mortality associated with 33 bacterial pathogens in 2019: A systematic analysis for the global burden of disease study 2019. Lancet 2022, 400, 2221–2248. [Google Scholar] [CrossRef]
 - Balloux, F.; van Dorp, L. Q&a: What are pathogens, and what have they done to and for us? BMC Biol. 2017, 15, 91. [Google Scholar] [CrossRef]
 - Masters, E.A.; Ricciardi, B.F.; Bentley, K.L.d.M.; Moriarty, T.F.; Schwarz, E.M.; Muthukrishnan, G. Skeletal infections: Microbial pathogenesis, immunity and clinical management. Nat. Rev. Microbiol. 2022, 20, 385–400. [Google Scholar] [CrossRef] [PubMed]
 - Wong, E.H.H.; Khin, M.M.; Ravikumar, V.; Si, Z.; Rice, S.A.; Chan-Park, M. Modulating antimicrobial activity and mammalian cell biocompatibility with glucosamine-functionalized star polymers. Biomacromolecules 2016, 17, 1170–1178. [Google Scholar] [CrossRef] [PubMed]
 - Sonawane, S.J.; Kalhapure, R.S.; Jadhav, M.; Rambharose, S.; Mocktar, C.; Govender, T. Ab2-type amphiphilic block copolymer containing a ph-cleavable hydrazone linkage for targeted antibiotic delivery. Int. J. Pharm. 2020, 575, 118948. [Google Scholar] [CrossRef] [PubMed]
 - Hulme, J. Application of nanomaterials in the prevention, detection, and treatment of methicillin-resistant Staphylococcus aureus (mrsa). Pharmaceutics 2022, 14, 805. [Google Scholar] [CrossRef]
 - Patra, J.K.; Das, G.; Fraceto, L.F.; Campos, E.V.R.; del Pilar Rodriguez-Torres, M.; Acosta-Torres, L.S.; Diaz-Torres, L.A.; Grillo, R.; Swamy, M.K.; Sharma, S.; et al. Nano based drug delivery systems: Recent developments and future prospects. J. Nanobiotechnology 2018, 16, 71. [Google Scholar] [CrossRef]
 - Chamundeeswari, M.; Jeslin, J.; Verma, M.L. Nanocarriers for drug delivery applications. Environ. Chem. Lett. 2019, 17, 849–865. [Google Scholar] [CrossRef]
 - Meeker, D.G.; Jenkins, S.V.; Miller, E.K.; Beenken, K.E.; Loughran, A.J.; Powless, A.; Muldoon, T.J.; Galanzha, E.I.; Zharov, V.P.; Smeltzer, M.S.; et al. Synergistic photothermal and antibiotic killing of biofilm-associated Staphylococcus aureus using targeted antibiotic-loaded gold nanoconstructs. ACS Infect. Dis. 2016, 2, 241–250. [Google Scholar] [CrossRef]
 - Hu, D.; Zou, L.; Li, B.; Hu, M.; Ye, W.; Ji, J. Photothermal killing of methicillin-resistant Staphylococcus aureus by bacteria-targeted polydopamine nanoparticles with nano-localized hyperpyrexia. ACS Biomater. Sci. Eng. 2019, 5, 5169–5179. [Google Scholar] [CrossRef]
 - Pang, X.; Xiao, Q.; Cheng, Y.; Ren, E.; Lian, L.; Zhang, Y.; Gao, H.; Wang, X.; Leung, W.; Chen, X.; et al. Bacteria-responsive nanoliposomes as smart sonotheranostics for multidrug resistant bacterial infections. ACS Nano 2019, 13, 2427–2438. [Google Scholar] [CrossRef]
 - Omolo, C.A.; Hassan, D.; Devnarain, N.; Jaglal, Y.; Mocktar, C.; Kalhapure, R.S.; Jadhav, M.; Govender, T. Formulation of ph responsive multilamellar vesicles for targeted delivery of hydrophilic antibiotics. Colloids Surf. B Biointerfaces 2021, 207, 112043. [Google Scholar] [CrossRef] [PubMed]
 - Maji, R.; Omolo, C.A.; Agrawal, N.; Maduray, K.; Hassan, D.; Mokhtar, C.; Mackhraj, I.; Govender, T. Ph-responsive lipid–dendrimer hybrid nanoparticles: An approach to target and eliminate intracellular pathogens. Mol. Pharm. 2019, 16, 4594–4609. [Google Scholar] [CrossRef] [PubMed]
 - Ding, J.; Li, H.; Lu, X.; Xu, H.; Zhang, H. Targeting detection and inhibition of methicillin-resistant Staphylococcus aureus pneumonia with a theranostic mesoporous silica-based platform. J. Biomed. Nanotechnol. 2018, 14, 1298–1307. [Google Scholar] [CrossRef] [PubMed]
 - Shakya, A.K.; Al-Sulaibi, M.; Naik, R.R.; Nsairat, H.; Suboh, S.; Abulaila, A. Review on plga polymer based nanoparticles with antimicrobial properties and their application in various medical conditions or infections. Polymers 2023, 15, 3597. [Google Scholar] [CrossRef]
 - Kotadiya, D.D.; Patel, P.; Patel, H.D. Cell-penetrating peptides: A powerful tool for targeted drug delivery. Curr. Drug Deliv. 2024, 21, 368–388. [Google Scholar] [CrossRef]
 - Vanamala, K.; Bhise, K.; Sanchez, H.; Kebriaei, R.; Luong, D.; Sau, S.; Abdelhady, H.; Rybak, M.J.; Andes, D.; Iyer, A.K. Folate functionalized lipid nanoparticles for targeted therapy of methicillin-resistant Staphylococcus aureus. Pharmaceutics 2021, 13, 1791. [Google Scholar] [CrossRef]
 - Jafari-Gharabaghlou, D.; Dadashpour, M.; Khanghah, O.J.; Salmani-Javan, E.; Zarghami, N. Potentiation of folate-functionalized plga-peg nanoparticles loaded with metformin for the treatment of breast cancer: Possible clinical application. Mol. Biol. Rep. 2023, 50, 3023–3033. [Google Scholar] [CrossRef]
 - Patra, A.; Satpathy, S.; Naik, P.K.; Kazi, M.; Hussain, M.D. Folate receptor-targeted plga-peg nanoparticles for enhancing the activity of genistein in ovarian cancer. Artif. Cells Nanomed. Biotechnol. 2022, 50, 228–239. [Google Scholar] [CrossRef]
 - Feiner-Gracia, N.; Dols-Perez, A.; Royo, M.; Solans, C.; Garcia-Celma, M.; Fornaguera, C. Cell penetrating peptide grafting of plga nanoparticles to enhance cell uptake. Eur. Polym. J. 2018, 108, 429–438. [Google Scholar] [CrossRef]
 - Yan, L.; Wang, H.; Jiang, Y.; Liu, J.; Wang, Z.; Yang, Y.; Huang, S.; Huang, Y. Cell-penetrating peptide-modified plga nanoparticles for enhanced nose-to-brain macromolecular delivery. Macromol. Res. 2013, 21, 435–441. [Google Scholar] [CrossRef]
 - Haripriyaa, M.; Suthindhiran, K. Pharmacokinetics of nanoparticles: Current knowledge, future directions and its implications in drug delivery. Future J. Pharm. Sci. 2023, 9, 113. [Google Scholar] [CrossRef]
 - Rizvi, S.A.; Saleh, A.M. Applications of nanoparticle systems in drug delivery technology. Saudi Pharm. J. 2018, 26, 64–70. [Google Scholar] [CrossRef]
 - Danaei, M.; Dehghankhold, M.; Ataei, S.; Hasanzadeh Davarani, F.; Javanmard, R.; Dokhani, A.; Khorasani, S.; Mozafari, M.R. Impact of particle size and polydispersity index on the clinical applications of lipidic nanocarrier systems. Pharmaceutics 2018, 10, 57. [Google Scholar] [CrossRef] [PubMed]
 - Chiu, H.I.; Samad, N.A.; Fang, L.; Lim, V. Cytotoxicity of targeted plga nanoparticles: A systematic review. RSC Adv. 2021, 11, 9433–9449. [Google Scholar] [CrossRef] [PubMed]
 - Cao, J.; Choi, J.-S.; Oshi, M.A.; Lee, J.; Hasan, N.; Kim, J.; Yoo, J.-W. Development of plga micro- and nanorods with high capacity of surface ligand conjugation for enhanced targeted delivery. Asian J. Pharm. Sci. 2019, 14, 86–94. [Google Scholar] [CrossRef] [PubMed]
 - Selvamani, V. Chapter 15-Stability studies on nanomaterials used in drugs. In Characterization and Biology of Nanomaterials for Drug Delivery; Mohapatra, S.S., Ranjan, S., Dasgupta, N., Mishra, R.K., Thomas, S., Eds.; Elsevier: Amsterdam, The Netherlands, 2019; pp. 425–444. [Google Scholar]
 - Inam, W.; Bhadane, R.; Akpolat, R.N.; Taiseer, R.A.; Filippov, S.K.; Salo-Ahen, O.M.H.; Rosenholm, J.M.; Zhang, H. Interactions between polymeric nanoparticles and different buffers as investigated by zeta potential measurements and molecular dynamics simulations. View 2022, 3, 20210009. [Google Scholar] [CrossRef]
 - Zhao, R.; Matherly, L.H.; Goldman, I.D. Membrane transporters and folate homeostasis: Intestinal absorption and transport into systemic compartments and tissues. Expert Rev. Mol. Med. 2009, 11, e4. [Google Scholar] [CrossRef]
 - Kaplan, M.; Öztürk, K.; Öztürk, S.C.; Tavukçuoğlu, E.; Esendağlı, G.; Calis, S. Effects of particle geometry for plga-based nanoparticles: Preparation and in vitro/in vivo evaluation. Pharmaceutics 2023, 15, 175. [Google Scholar] [CrossRef]
 - Nagpal, K.; Singh, S.; Mishra, D. Optimization of brain targeted gallic acid nanoparticles for improved antianxiety-like activity. Int. J. Biol. Macromol. 2013, 57, 83–91. [Google Scholar] [CrossRef]
 - Wilson, B.K.; Prud’Homme, R.K. Nanoparticle size distribution quantification from transmission electron microscopy (tem) of ruthenium tetroxide stained polymeric nanoparticles. J. Colloid Interface Sci. 2021, 604, 208–220. [Google Scholar] [CrossRef]
 - Singh, G.; Kaur, T.; Kaur, R.; Kaur, A. Recent biomedical applications and patents on biodegradable polymer-plga. Int. J. Pharmacol. Pharm. Sci. 2014, 1, 30–42. [Google Scholar]
 - Parın, F.N.; Ullah, S.; Yildirim, K.; Hashmi, M.; Kim, I.-S. Fabrication and characterization of electrospun folic acid/hybrid fibers: In vitro controlled release study and cytocompatibility assays. Polymers 2021, 13, 3594. [Google Scholar] [CrossRef] [PubMed]
 - Tran, N.T.T.; Wang, T.-H.; Lin, C.-Y.; Tsai, Y.-C.; Lai, C.-H.; Tai, Y.; Benjamin, Y.M.Y. Direct synthesis of rev peptide-conjugated gold nanoparticles and their application in cancer therapeutics. Bioconjug. Chem. 2011, 22, 1394–1401. [Google Scholar] [CrossRef] [PubMed]
 - Streck, S.; Neumann, H.; Nielsen, H.M.; Rades, T.; McDowell, A. Comparison of bulk and microfluidics methods for the formulation of poly-lactic-co-glycolic acid (plga) nanoparticles modified with cell-penetrating peptides of different architectures. Int. J. Pharm. X 2019, 1, 100030. [Google Scholar] [CrossRef] [PubMed]
 - A Ocsoy, M.; Yusufbeyoglu, S.; Ildiz, N.; Ulgen, A.; Ocsoy, I. DNA aptamer-conjugated magnetic graphene oxide for pathogenic bacteria aggregation: Selective and enhanced photothermal therapy for effective and rapid killing. ACS Omega 2021, 6, 20637–20643. [Google Scholar] [CrossRef]
 - He, B.; Ma, S.; Peng, G.; He, D. Tat-modified self-assembled cationic peptide nanoparticles as an efficient antibacterial agent. Nanomed. Nanotechnol. Biol. Med. 2018, 14, 365–372. [Google Scholar] [CrossRef]
 - Singh, R.; Patil, S.; Singh, N.; Gupta, S. Dual functionality nanobioconjugates targeting intracellular bacteria in cancer cells with enhanced antimicrobial activity. Sci. Rep. 2017, 7, 5792. [Google Scholar] [CrossRef]
 - Wang, L.; Fan, D.; Chen, W.; Terentjev, E.M. Bacterial growth, detachment and cell size control on polyethylene terephthalate surfaces. Sci. Rep. 2015, 5, 15159. [Google Scholar] [CrossRef]
 - Ucak, S.; Sudagidan, M.; Borsa, B.A.; Mansuroglu, B.; Ozalp, V.C. Inhibitory effects of aptamer targeted teicoplanin encapsulated plga nanoparticles for Staphylococcus aureus strains. World J. Microbiol. Biotechnol. 2020, 36, 69. [Google Scholar] [CrossRef]
 - Oliveira, R.I.S.; de Oliveira, I.N.; de Conto, J.F.; de Souza, A.M.; de Medeiros, S.R.B.; Egues, S.M.; Padilha, F.F.; Hernández-Macedo, M.L. Photocatalytic effect of n–tio2 conjugated with folic acid against biofilm-forming resistant bacteria. Heliyon 2023, 9, e22108. [Google Scholar] [CrossRef]
 - Zhu, W.L.; Shin, S.Y. Effects of dimerization of the cell-penetrating peptide tat analog on antimicrobial activity and mechanism of bactericidal action. J. Pept. Sci. Off. Publ. Eur. Pept. Soc. 2009, 15, 345–352. [Google Scholar] [CrossRef]
 - Del Giudice, P. Skin infections caused by Staphylococcus aureus. Acta Derm. Venereol. 2020, 100, adv00110. [Google Scholar] [CrossRef] [PubMed]
 - Lotfipour, F.; Shahi, S.; Farjami, A.; Salatin, S.; Mahmoudian, M.; Dizaj, S.M. Safety and toxicity issues of therapeutically used nanoparticles from the oral route. BioMed Res. Int. 2021, 2021, 9322282. [Google Scholar] [CrossRef] [PubMed]
 - Kim, Y.S.; Park, J.S.; Park, M.; Ko, M.Y.; Yi, S.W.; Yoon, J.A.; Yang, S.; Shim, S.H.; Park, K.-H.; Song, H. Plga nanoparticles with multiple modes are a biologically safe nanocarrier for mammalian development and their offspring. Biomaterials 2018, 183, 43–53. [Google Scholar] [CrossRef]
 - Hernández-Giottonini, K.Y.; Rodríguez-Córdova, R.J.; Gutiérrez-Valenzuela, C.A.; Peñuñuri-Miranda, O.; Zavala-Rivera, P.; Guerrero-Germán, P.; Lucero-Acuña, A. Plga nanoparticle preparations by emulsification and nanoprecipitation techniques: Effects of formulation parameters. RSC Adv. 2020, 10, 4218–4231. [Google Scholar] [CrossRef] [PubMed]
 - Monge, M.; Fornaguera, C.; Quero, C.; Dols-Perez, A.; Calderó, G.; Grijalvo, S.; García-Celma, M.J.; Rodríguez-Abreu, C.; Solans, C. Functionalized plga nanoparticles prepared by nano-emulsion templating interact selectively with proteins involved in the transport through the blood-brain barrier. Eur. J. Pharm. Biopharm. 2020, 156, 155–164. [Google Scholar] [CrossRef]
 - Raval, N.; Maheshwari, R.; Kalyane, D.; Youngren-Ortiz, S.R.; Chougule, M.B.; Tekade, R.K. Chapter 10-Importance of physicochemical characterization of nanoparticles in pharmaceutical product development. In Basic Fundamentals of Drug Delivery; Tekade, R.K., Ed.; Academic Press: Oxford, UK, 2019; pp. 369–400. [Google Scholar]
 - Lu, B.; Lv, X.; Le, Y. Chitosan-modified plga nanoparticles for control-released drug delivery. Polymers 2019, 11, 304. [Google Scholar] [CrossRef]
 







| Formulation | Mean Diameter (nm) | PDI | Zeta Potential (mV) | 
|---|---|---|---|
| PLGA NPs | 159 ± 12 | 0.06 ± 0.02 | −3.6 ± 1.7 | 
| FA-decorated PLGA NPs | 174 ± 8 * | 0.07 ± 0.02 | −2.8 ± 1.1 | 
| TAT-decorated PLGA NPs | 188 ± 8 * | 0.05 ± 0.02 | −2.6 ± 1.1 | 
| FA/TAT-decorated PLGA NPs | 174 ± 4 * | 0.08 ± 0.02 | −2.5 ± 0.1 | 
| Formulation | NP Concentration (µM) | tlag (h) | t1/2 (h) | k (h−1) | Max. OD600 | R2 | 
|---|---|---|---|---|---|---|
| PLGA NPs | 0 | 2.1 ± 0.3 | 3.6 ± 0.4 | 1.4 ± 0.1 | 1.19 ± 0.03 | 0.9981 ± 0.0003 | 
| 25 | 2.4 ± 0.3 | 3.7 ± 0.4 | 1.5 ± 0.1 | 1.21 ± 0.04 | 0.9979 ± 0.0006 | |
| 50 | 2.4 ± 0.3 | 3.9 ± 0.4 | 1.4 ± 0.1 | 1.21 ± 0.03 | 0.9981 ± 0.0009 | |
| 100 | 2.4 ± 0.4 | 4.0 ± 0.5 | 1.3 ± 0.1 | 1.17 ± 0.08 | 0.9959 ± 0.0034 | |
| FA-decorated PLGA NPs | 0 | 2.4 ± 0.1 | 3.8 ± 0.1 | 1.38 ± 0.04 | 1.19 ± 0.01 | 0.9910 ± 0.0057 | 
| 25 | 2.6 ± 0.1 | 4.0 ± 0.2 | 1.4 ± 0.1 | 1.23 ± 0.01 * | 0.9930 ± 0.0070 | |
| 50 | 2.6 ± 0.2 | 4.3 ± 0.1 * | 1.18 ± 0.04 * | 1.27 ± 0.02 * | 0.9942 ± 0.0048 | |
| 100 | 2.7 ± 0.3 | 4.5 ± 0.2 * | 1.06 ± 0.04 * | 1.24 ± 0.03 * | 0.9844 ± 0.0091 | |
| TAT-decorated PLGA NPs | 0 | 2.5 ± 0.1 | 3.8 ± 0.2 | 1.5 ± 0.2 | 1.21 ± 0.05 | 0.9974 ± 0.0001 | 
| 25 | 2.7 ± 0.1 | 4.0 ± 0.2 | 1.4 ± 0.1 | 1.19 ± 0.04 | 0.9979 ± 0.0010 | |
| 50 | 2.8 ± 0.2 | 4.3 ± 0.3 | 1.3 ± 0.1 | 1.22 ± 0.05 | 0.9974 ± 0.0006 | |
| 100 | 3.0 ± 0.2 * | 4.6 ± 0.3 * | 1.3 ± 0.1 | 1.21 ± 0.06 | 0.9961 ± 0.0019 | |
| FA/TAT-decorated PLGA NPs | 0 | 2.5 ± 0.2 | 3.9 ± 0.2 | 1.47 ± 0.03 | 1.16 ± 0.01 | 0.9958 ± 0.0011 | 
| 25 | 2.6 ± 0.1 | 4.0 ± 0.1 | 1.4 ± 0.1 | 1.20 ± 0.01 * | 0.9977 ± 0.0005 | |
| 50 | 2.8 ± 0.1 | 4.2 ± 0.1 | 1.37 ± 0.01 * | 1.19 ± 0.01 * | 0.9977 ± 0.0005 | |
| 100 | 2.88 ± 0.04 * | 4.4 ± 0.1 * | 1.3 ± 0.1 * | 1.21 ± 0.01 * | 0.9953 ± 0.0019 | 
Disclaimer/Publisher’s Note: The statements, opinions and data contained in all publications are solely those of the individual author(s) and contributor(s) and not of MDPI and/or the editor(s). MDPI and/or the editor(s) disclaim responsibility for any injury to people or property resulting from any ideas, methods, instructions or products referred to in the content.  | 
© 2025 by the authors. Licensee MDPI, Basel, Switzerland. This article is an open access article distributed under the terms and conditions of the Creative Commons Attribution (CC BY) license (https://creativecommons.org/licenses/by/4.0/).
Share and Cite
Andrade, S.; Ramalho, M.J.; Santos, J.; Santos, S.; Melo, L.D.R.; Guimarães, N.; Ferraz, M.P.; Azevedo, N.F.; Pereira, M.C.; Loureiro, J.A. PLGA Nanoparticles Double-Decorated with a TAT Peptide and Folic Acid to Target Staphylococcus aureus. Int. J. Mol. Sci. 2025, 26, 10666. https://doi.org/10.3390/ijms262110666
Andrade S, Ramalho MJ, Santos J, Santos S, Melo LDR, Guimarães N, Ferraz MP, Azevedo NF, Pereira MC, Loureiro JA. PLGA Nanoparticles Double-Decorated with a TAT Peptide and Folic Acid to Target Staphylococcus aureus. International Journal of Molecular Sciences. 2025; 26(21):10666. https://doi.org/10.3390/ijms262110666
Chicago/Turabian StyleAndrade, Stéphanie, Maria J. Ramalho, João Santos, Sílvio Santos, Luís D. R. Melo, Nuno Guimarães, Maria P. Ferraz, Nuno F. Azevedo, Maria C. Pereira, and Joana A. Loureiro. 2025. "PLGA Nanoparticles Double-Decorated with a TAT Peptide and Folic Acid to Target Staphylococcus aureus" International Journal of Molecular Sciences 26, no. 21: 10666. https://doi.org/10.3390/ijms262110666
APA StyleAndrade, S., Ramalho, M. J., Santos, J., Santos, S., Melo, L. D. R., Guimarães, N., Ferraz, M. P., Azevedo, N. F., Pereira, M. C., & Loureiro, J. A. (2025). PLGA Nanoparticles Double-Decorated with a TAT Peptide and Folic Acid to Target Staphylococcus aureus. International Journal of Molecular Sciences, 26(21), 10666. https://doi.org/10.3390/ijms262110666
        
