Porcine-Derived Chondroitin Sulfate Sodium Alleviates Osteoarthritis in HTB-94 Cells and MIA-Induced SD Rat Models
Abstract
1. Introduction
2. Results
2.1. Chondroitin Sulfate Sodium Alleviates PGE2 and NO Production in LPS-Treated HTB-94 Cells
2.2. Chondroitin Sulfate Sodium Enhances the Expression of mRNA and Protein Associated with Cartilage Formation in H2O2-Treated HTB-94 Cells
2.3. Chondroitin Sulfate Sodium Suppresses the Expression of mRNA and Protein Associated with Cartilage Degradation in H2O2-Treated HTB-94 Cells
2.4. Oral Administration of Chondroitin Sulfate Sodium Mitigates Histology and Mineralization Impairments and Exercise Capacity in MIA-Induced Osteoarthritis Rat Model
2.5. Chondroitin Sulfate Sodium Ameilorates Cartilage Inflammation and Extracellular Matrix Degradation Markers in MIA-Induced Osteoarthritis Rat Model
2.6. Chondroitin Sulfate Sodium Regulates the mRNA and Protein Expression Related to Cartilage Formation and Degradation in MIA-Injected Osteoarthritis Rat Model
2.7. Chondroitin Sulfate Sodium Alleviates the mRNA and Protein Expression Related to Inflammatory Markers in MIA-Injected Osteoarthritis Rat Model
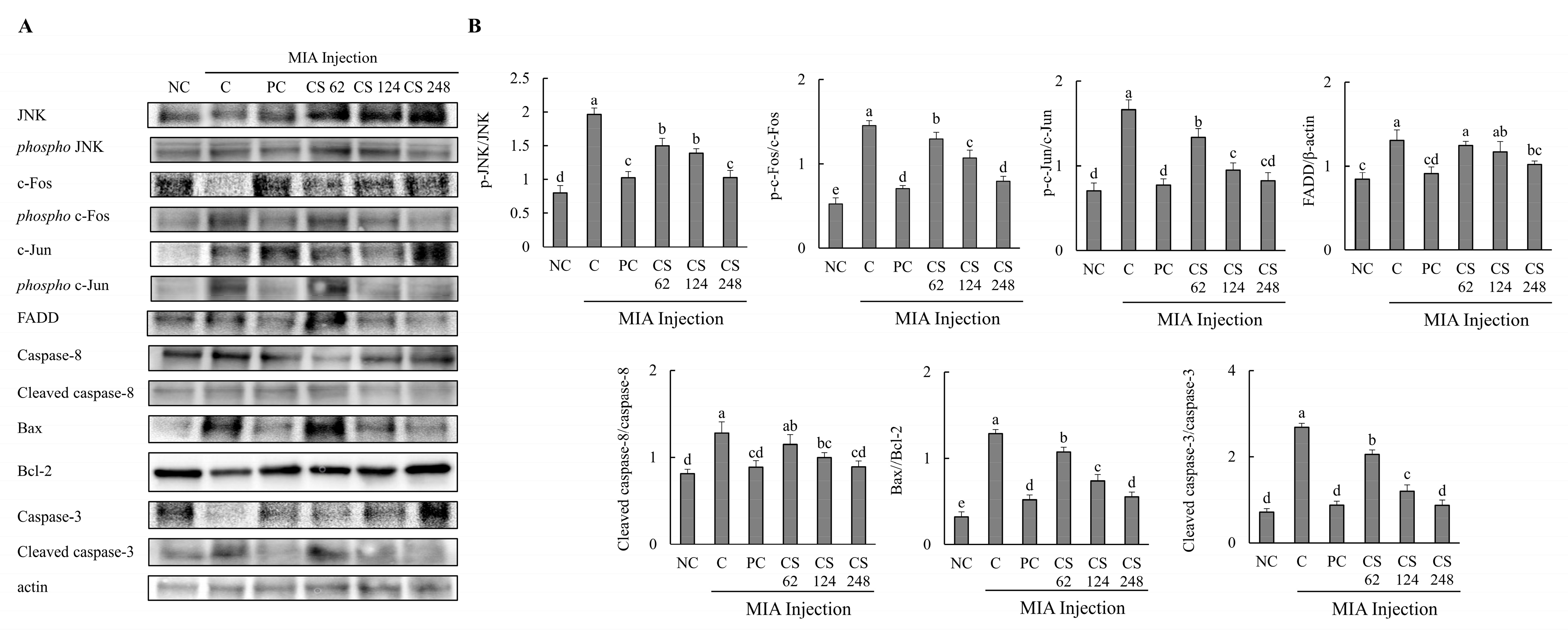
2.8. Chondroitin Sulfate Sodium Alleviates the Protein Expression Associated with Apoptosis Mechanism in MIA-Injected Osteoarthritis Rat Model
3. Discussion
4. Materials and Methods
4.1. Preparation of Chondroitin Sulfate Sodium (CS)
4.2. Cell Culture and Treatments
4.3. Animal Study Design
4.4. ELISA
4.5. Real-Time Polymerase Chain Reaction (RT-PCR)
4.6. Protein Extraction and Western Blot Analysis
4.7. Evaluation of Exercise Capacity
4.8. Micro-Computed Tomography
4.9. Histological Observation
4.10. Statistical Analysis
5. Conclusions
Author Contributions
Funding
Institutional Review Board Statement
Informed Consent Statement
Data Availability Statement
Conflicts of Interest
References
- Du, X.; Liu, Z.Y.; Tao, X.X.; Mei, Y.L.; Zhou, D.Q.; Cheng, K.; Gao, S.L.; Shi, H.Y.; Song, C.; Zhang, X.M. Research progress on the pathogenesis of knee osteoarthritis. Orthop. Surg. 2023, 15, 2213–2224. [Google Scholar] [CrossRef] [PubMed]
- Krakowski, P.; Rejniak, A.; Sobczyk, J.; Karpiński, R. Cartilage Integrity: A Review of Mechanical and Frictional Properties and Repair Approaches in Osteoarthritis. Healthcare 2024, 12, 1648. [Google Scholar] [CrossRef] [PubMed]
- Sharma, L. Osteoarthritis of the Knee. N. Engl. J. Med. 2021, 384, 51–59. [Google Scholar] [CrossRef] [PubMed]
- Mahmoudian, A.; Lohmander, L.S.; Mobasheri, A.; Englund, M.; Luyten, F.P. Early-stage symptomatic osteoarthritis of the knee—Time for action. Nat. Rev. Rheumatol. 2021, 17, 621–632. [Google Scholar] [CrossRef]
- Deng, R.; Zhao, R.; Zhang, Z.; Chen, Y.; Yang, M.; Lin, Y.; Ye, J.; Li, N.; Qin, H.; Yan, X. Chondrocyte membrane–coated nanoparticles promote drug retention and halt cartilage damage in rat and canine osteoarthritis. Sci. Transl. Med. 2024, 16, eadh9751. [Google Scholar] [CrossRef]
- Hochberg, M.C.; Guermazi, A.; Guehring, H.; Aydemir, A.; Wax, S.; Fleuranceau-Morel, P.; Reinstrup Bihlet, A.; Byrjalsen, I.; Ragnar Andersen, J.; Eckstein, F. Effect of intra-articular sprifermin vs placebo on femorotibial joint cartilage thickness in patients with osteoarthritis: The FORWARD randomized clinical trial. JAMA 2019, 322, 1360–1370. [Google Scholar] [CrossRef]
- Latourte, A.; Kloppenburg, M.; Richette, P. Emerging pharmaceutical therapies for osteoarthritis. Nat. Rev. Rheumatol. 2020, 16, 673–688. [Google Scholar] [CrossRef]
- DiDomenico, C.D.; Lintz, M.; Bonassar, L.J. Molecular transport in articular cartilage—What have we learned from the past 50 years? Nat. Rev. Rheumatol. 2018, 14, 393–403. [Google Scholar] [CrossRef]
- Jones, I.A.; Togashi, R.; Wilson, M.L.; Heckmann, N.; Vangsness, C.T., Jr. Intra-articular treatment options for knee osteoarthritis. Nat. Rev. Rheumatol. 2019, 15, 77–90. [Google Scholar] [CrossRef]
- Monteagudo, S.; Lories, R.J. Cushioning the cartilage: A canonical Wnt restricting matter. Nat. Rev. Rheumatol. 2017, 13, 670–681. [Google Scholar] [CrossRef]
- Su, Z.-Q.; Guan, W.-J.; Li, S.-Y.; Feng, J.-X.; Zhou, Z.-Q.; Chen, Y.; Zhong, M.-L.; Zhong, N.-S. Evaluation of the normal airway morphology using optical coherence tomography. Chest 2019, 156, 915–925. [Google Scholar] [CrossRef] [PubMed]
- Hu, Y.; Chen, X.; Wang, S.; Jing, Y.; Su, J. Subchondral bone microenvironment in osteoarthritis and pain. Bone Res. 2021, 9, 20. [Google Scholar] [CrossRef] [PubMed]
- Hu, W.; Chen, Y.; Dou, C.; Dong, S. Microenvironment in subchondral bone: Predominant regulator for the treatment of osteoarthritis. Ann. Rheum. Dis. 2021, 80, 413–422. [Google Scholar] [CrossRef] [PubMed]
- Lee, Y.T.; Mohd Yunus, M.H.; Yazid, M.D.; Ugusman, A. Unraveling the path to osteoarthritis management: Targeting chondrocyte apoptosis for therapeutic intervention. Front. Cell Dev. Biol. 2024, 12, 1347126. [Google Scholar] [CrossRef]
- Silbert, J.E.; Sugumaran, G. Biosynthesis of chondroitin/dermatan sulfate. IUBMB Life 2002, 54, 177–186. [Google Scholar] [CrossRef]
- Brito, R.; Costa, D.; Dias, C.; Cruz, P.; Barros, P. Chondroitin sulfate supplements for osteoarthritis: A Critical Review. Cureus 2023, 15, e40192. [Google Scholar] [CrossRef]
- Bishnoi, M.; Jain, A.; Hurkat, P.; Jain, S.K. Chondroitin sulphate: A focus on osteoarthritis. Glycoconj. J. 2016, 33, 693–705. [Google Scholar] [CrossRef]
- Sun, Y.; Zhang, G.; Liu, Q.; Liu, X.; Wang, L.; Wang, J.; Liang, L. Chondroitin sulfate from sturgeon bone ameliorates pain of osteoarthritis induced by monosodium iodoacetate in rats. Int. J. Biol. Macromol. 2018, 117, 95–101. [Google Scholar] [CrossRef]
- Ogawa, H.; Hatano, S.; Sugiura, N.; Nagai, N.; Sato, T.; Shimizu, K.; Kimata, K.; Narimatsu, H.; Watanabe, H. Chondroitin sulfate synthase-2 is necessary for chain extension of chondroitin sulfate but not critical for skeletal development. PLoS ONE 2012, 7, e43806. [Google Scholar] [CrossRef]
- Zhang, G.; Ezura, Y.; Chervoneva, I.; Robinson, P.S.; Beason, D.P.; Carine, E.T.; Soslowsky, L.J.; Iozzo, R.V.; Birk, D.E. Decorin regulates assembly of collagen fibrils and acquisition of biomechanical properties during tendon development. J. Cell. Biochem. 2006, 98, 1436–1449. [Google Scholar] [CrossRef]
- Raspanti, M.; Congiu, T.; Guizzardi, S. Structural aspects of the extracellular matrix of the tendon: An atomic force and scanning electron microscopy study. Arch. Histol. Cytol. 2002, 65, 37–43. [Google Scholar] [CrossRef] [PubMed]
- Rubio-Terrés, C.; Grupo del Estudio VECTRA. An economic evaluation of chondroitin sulfate and non-steroidal anti-inflammatory drugs for the treatment of osteoarthritis. Data from the VECTRA study. Reumatol. Clín. 2010, 6, 187–195. [Google Scholar] [CrossRef] [PubMed]
- Monfort, J.; Pelletier, J.-P.; Garcia-Giralt, N.; Martel-Pelletier, J. Biochemical basis of the effect of chondroitin sulphate on osteoarthritis articular tissues. Ann. Rheum. Dis. 2008, 67, 735–740. [Google Scholar] [CrossRef] [PubMed]
- Martel-Pelletier, J.; Roubille, C.; Abram, F.; Hochberg, M.C.; Dorais, M.; Delorme, P.; Raynauld, J.-P.; Pelletier, J.-P. First-line analysis of the effects of treatment on progression of structural changes in knee osteoarthritis over 24 months: Data from the osteoarthritis initiative progression cohort. Ann. Rheum. Dis. 2015, 74, 547–556. [Google Scholar] [CrossRef] [PubMed]
- Hochberg, M.; Chevalier, X.; Henrotin, Y.; Hunter, D.; Uebelhart, D. Symptom and structure modification in osteoarthritis with pharmaceutical-grade chondroitin sulfate: What’s the evidence? Curr. Med. Res. Opin. 2013, 29, 259–267. [Google Scholar] [CrossRef]
- Homandberg, G.A.; Hui, F. Association of proteoglycan degradation with catabolic cytokine and stromelysin release from cartilage cultured with fibronectin fragments. Arch. Biochem. Biophys. 1996, 334, 325–331. [Google Scholar] [CrossRef]
- Martel-Pelletier, J.; Pelletier, J.-P.; Fahmi, H. Cyclooxygenase-2 and prostaglandins in articular tissues. Semin. Arthritis Rheum. 2003, 33, 155–167. [Google Scholar] [CrossRef]
- Kaneko, S.; Satoh, T.; Chiba, J.; Ju, C.; Inoue, K.; Kagawa, J. Interleukin–6 and interleukin–8 levels in serum and synovial fluid of patients with osteoarthritis. Cytokines Cell. Mol. Ther. 2000, 6, 71–79. [Google Scholar] [CrossRef]
- Vuolteenaho, K.; Koskinen, A.; Kukkonen, M.; Nieminen, R.; Päivärinta, U.; Moilanen, T.; Moilanen, E. Leptin enhances synthesis of proinflammatory mediators in human osteoarthritic cartilage—Mediator role of NO in leptin-induced PGE2, IL-6, and IL-8 production. Mediat. Inflamm. 2009, 2009, 345838. [Google Scholar] [CrossRef]
- Choi, Y.-J.; Jung, J.I.; Bae, J.; Lee, J.K.; Kim, E.J. Evaluating the Anti-Osteoarthritis Potential of Standardized Boswellia serrata Gum Resin Extract in Alleviating Knee Joint Pathology and Inflammation in Osteoarthritis-Induced Models. Int. J. Mol. Sci. 2024, 25, 3218. [Google Scholar] [CrossRef]
- Bryk, M.; Chwastek, J.; Mlost, J.; Kostrzewa, M.; Starowicz, K. Sodium monoiodoacetate dose-dependent changes in matrix metalloproteinases and inflammatory components as prognostic factors for the progression of osteoarthritis. Front. Pharmacol. 2021, 12, 643605. [Google Scholar] [CrossRef] [PubMed]
- Li, X.; Zhou, Y.; Chen, X.; Wang, H.; Yang, S.; Yang, J.; Song, Y.; Zhao, Z.; Zhang, H.; Wu, L. Semi-synthetic chondroitin sulfate CS-semi5 upregulates miR-122-5p, conferring a therapeutic effect on osteoarthritis via the p38/MMP13 pathway. Acta Pharm. Sin. B 2024, 14, 3528–3542. [Google Scholar] [CrossRef] [PubMed]
- Golovach, I.; Rekalov, D.; Akimov, O.Y.; Kostenko, H.; Kostenko, V.; Mishchenko, A.; Solovyova, N.; Kostenko, V. Molecular mechanisms and potential applications of chondroitin sulphate in managing post-traumatic osteoarthritis. Reumatologia 2023, 61, 395–407. [Google Scholar] [CrossRef] [PubMed]
- Sconza, C.; Romano, D.; Scaturro, D.; Mauro, G.L.; Leonardi, G.; Alito, A.; Respizzi, S.; Kon, E.; Di Matteo, B. Safety and Efficacy of Hybrid Cooperative Complexes of Sodium Hyaluronate and Sodium Chondroitin for the Treatment of Patients with Symptomatic Knee Osteoarthritis. Rheumatol. Ther. 2024, 11, 381–395. [Google Scholar] [CrossRef]
- Deo, V.; Shrikhande, B.; Ganu, G.; Gajare, U. A randomized, placebo-controlled clinical trial to evaluate the efficacy and safety of HFPM-01 in improving pain, stiffness, and inflammation in patients suffering from knee osteoarthritis. Int. J. Inf. Res. Rev. 2021, 8, 1–11. [Google Scholar] [CrossRef]
- Bergstrom, A.R.; Glimm, M.G.; Houske, E.A.; Cooper, G.; Viles, E.; Chapman, M.; Bourekis, K.; Welhaven, H.D.; Brahmachary, P.P.; Hahn, A.K.; et al. Metabolic Profiles of Encapsulated Chondrocytes Exposed to Short-Term Simulated Microgravity. bioRxiv 2024. [Google Scholar] [CrossRef]
- Park, S.-J.; Kim, J.-L.; Park, M.-R.; Lee, J.W.; Kim, O.-K.; Lee, J. Indian gooseberry and barley sprout mixture prevents obesity by regulating adipogenesis, lipogenesis, and lipolysis in C57BL/6J mice with high-fat diet-induced obesity. J. Funct. Foods 2022, 90, 104951. [Google Scholar] [CrossRef]
- Cho, W.; Park, J.; Kim, J.; Lee, M.; Park, S.J.; Kim, K.S.; Jun, W.; Kim, O.-K.; Lee, J. Low-Molecular-Weight Fish Collagen Peptide (Valine-Glycine-Proline-Hydroxyproline-Glycine-Proline-Alanine-Glycine) Prevents Osteoarthritis Symptoms in Chondrocytes and Monoiodoacetate-Injected Rats. Mar. Drugs 2023, 21, 608. [Google Scholar] [CrossRef]








| Measurements | Induced Arthritis | |||||
|---|---|---|---|---|---|---|
| NC | C | PC | CS 62 | CS 124 | CS 248 | |
| Initial body weight (g) | 208.05 ± 6.45 NS | 212.20 ± 3.39 | 212.30 ± 6.09 | 206.83 ± 6.05 | 211.00 ± 5.93 | 212.25 ± 7.10 |
| Final body weight (g) | 352.70 ± 20.86 NS | 339.50 ± 13.10 | 353.20 ± 13.49 | 337.00 ± 24.16 | 348.00 ± 12.12 | 345.00 ± 26.95 |
| Weight gain (g) (1) | 144.65 ± 15.66 NS | 127.30 ± 14.17 | 140.90 ± 12.85 | 130.17 ± 18.74 | 137.00 ± 8.20 | 132.75 ± 23.74 |
| Food consumption (g/day) | 17.98 ± 2.21 NS | 16.54 ± 2.09 | 17.91 ± 2.28 | 16.60 ± 2.87 | 17.33 ± 2.32 | 17.82 ± 2.44 |
| FER (2) | 28.73 ± 3.11 NS | 27.49 ± 3.06 | 30.32 ± 2.77 | 28.01 ± 4.03 | 28.24 ± 1.69 | 26.60 ± 4.76 |
| Liver | 14.07 ± 1.89 NS | 13.86 ± 0.99 | 13.89 ± 1.79 | 12.59 ± 0.97 | 13.04 ± 0.95 | 12.48 ± 2.22 |
| Kidney | 2.40 ± 0.13 NS | 2.32 ± 0.19 | 2.40 ± 0.15 | 2.38 ± 0.15 | 2.43 ± 0.14 | 2.32 ± 0.17 |
| Spleen | 0.89 ± 0.11 NS | 0.84 ± 0.08 | 0.86 ± 0.12 | 0.82 ± 0.09 | 0.79 ± 0.11 | 0.78 ± 0.07 |
Disclaimer/Publisher’s Note: The statements, opinions and data contained in all publications are solely those of the individual author(s) and contributor(s) and not of MDPI and/or the editor(s). MDPI and/or the editor(s) disclaim responsibility for any injury to people or property resulting from any ideas, methods, instructions or products referred to in the content. |
© 2025 by the authors. Licensee MDPI, Basel, Switzerland. This article is an open access article distributed under the terms and conditions of the Creative Commons Attribution (CC BY) license (https://creativecommons.org/licenses/by/4.0/).
Share and Cite
Kim, H.; Kim, J.; Park, S.-H.; Kim, J.; Gwon, Y.; Lee, M.; Park, S.-J. Porcine-Derived Chondroitin Sulfate Sodium Alleviates Osteoarthritis in HTB-94 Cells and MIA-Induced SD Rat Models. Int. J. Mol. Sci. 2025, 26, 521. https://doi.org/10.3390/ijms26020521
Kim H, Kim J, Park S-H, Kim J, Gwon Y, Lee M, Park S-J. Porcine-Derived Chondroitin Sulfate Sodium Alleviates Osteoarthritis in HTB-94 Cells and MIA-Induced SD Rat Models. International Journal of Molecular Sciences. 2025; 26(2):521. https://doi.org/10.3390/ijms26020521
Chicago/Turabian StyleKim, Hyelim, Jinhee Kim, Seong-Hoo Park, Jinhak Kim, Yuri Gwon, Minhee Lee, and Soo-Jeung Park. 2025. "Porcine-Derived Chondroitin Sulfate Sodium Alleviates Osteoarthritis in HTB-94 Cells and MIA-Induced SD Rat Models" International Journal of Molecular Sciences 26, no. 2: 521. https://doi.org/10.3390/ijms26020521
APA StyleKim, H., Kim, J., Park, S.-H., Kim, J., Gwon, Y., Lee, M., & Park, S.-J. (2025). Porcine-Derived Chondroitin Sulfate Sodium Alleviates Osteoarthritis in HTB-94 Cells and MIA-Induced SD Rat Models. International Journal of Molecular Sciences, 26(2), 521. https://doi.org/10.3390/ijms26020521

