Structure-Based Engineering of a PTPsigma Ectodomain for Enhanced Solubility and Productivity
Abstract
1. Introduction
2. Results and Discussion
2.1. Structure-Based Residue Selection for Enhanced Solubility
2.2. Solubility and Production Yield of Mutant Sets
2.3. Ligand-Binding Property
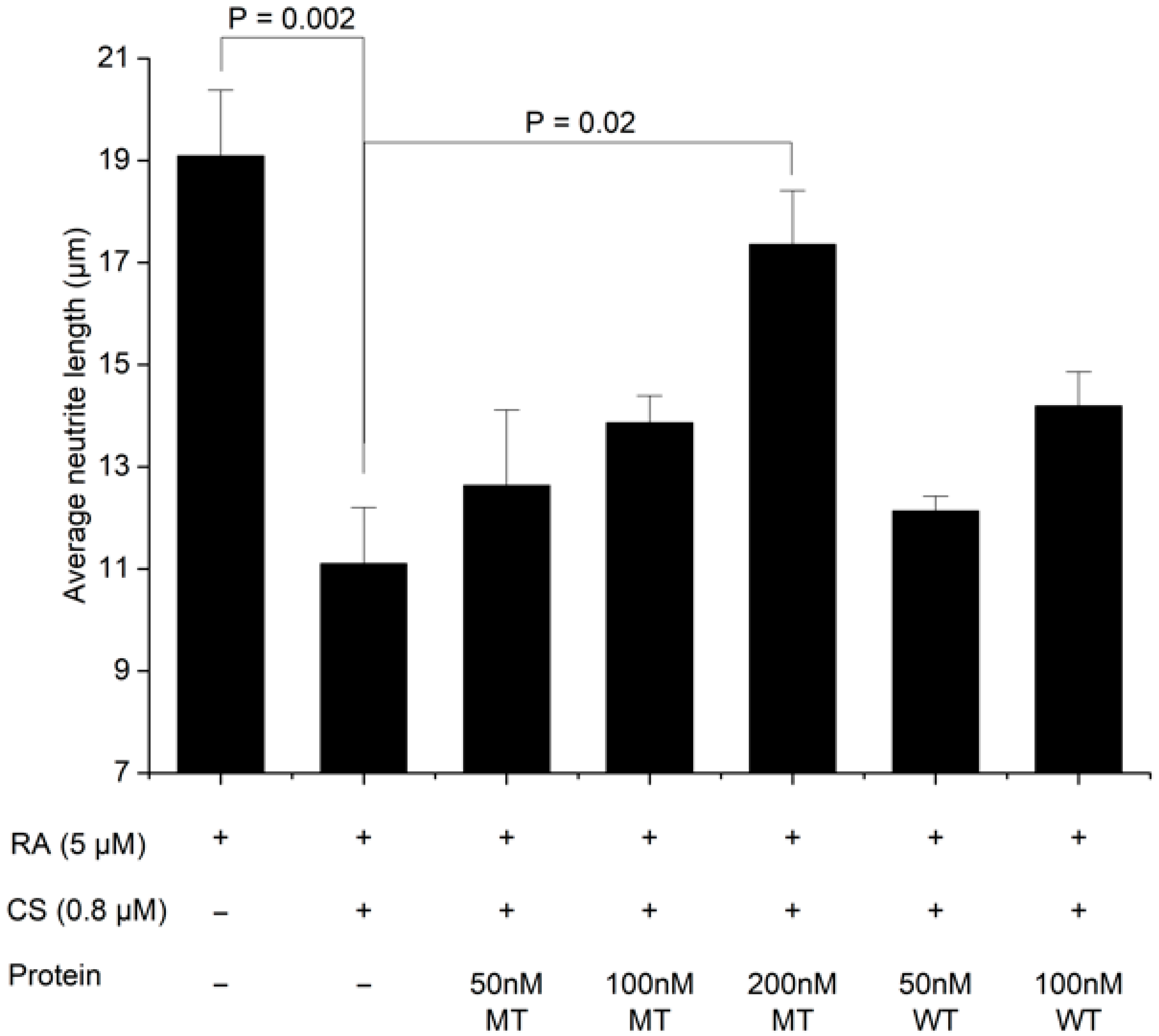
2.4. Neurite Outgrowth Activity
3. Conclusions
4. Methods
4.1. Protein Expression and Purification
4.2. Structure-Based Design
4.3. Solubility Measurement of Mutants
4.4. Ligand-Binding Assay
4.5. Neurite Outgrowth Assay
Author Contributions
Funding
Data Availability Statement
Conflicts of Interest
References
- Ohtake, Y.; Saito, A.; Li, S. Diverse functions of protein tyrosine phosphatase sigma in the nervous and immune systems. Exp. Neurol. 2018, 302, 196–204. [Google Scholar] [CrossRef]
- Stanford, S.M.; Bottini, N. Targeting protein phosphatases in cancer immunotherapy and autoimmune disorders. Nat. Rev. Drug Discov. 2023, 22, 273–294. [Google Scholar] [CrossRef]
- Wang, Z.C.; Gao, Q.; Shi, J.Y.; Guo, W.J.; Yang, L.X.; Liu, X.Y.; Liu, L.Z.; Ma, L.J.; Duan, M.; Zhao, Y.J.; et al. Protein tyrosine phosphatase receptor S acts as a metastatic suppressor in hepatocellular carcinoma by control of epithermal growth factor receptor-induced epithelial-mesenchymal transition. Hepatology 2015, 62, 1201–1214. [Google Scholar] [CrossRef] [PubMed]
- Li, H.; Wong, C.; Li, W.; Ruven, C.; He, L.; Wu, X.; Lang, B.T.; Silver, J.; Wu, W. Enhanced regeneration and functional recovery after spinal root avulsion by manipulation of the proteoglycan receptor PTPsigma. Sci. Rep. 2015, 5, 14923. [Google Scholar] [CrossRef]
- Ko, J.S.; Pramanik, G.; Um, J.W.; Shim, J.S.; Lee, D.; Kim, K.H.; Chung, G.Y.; Condomitti, G.; Kim, H.M.; Kim, H.; et al. PTPsigma functions as a presynaptic receptor for the glypican-4/LRRTM4 complex and is essential for excitatory synaptic transmission. Proc. Natl. Acad. Sci. USA 2015, 112, 1874–1879. [Google Scholar] [CrossRef]
- Svensson, M.N.D.; Zoccheddu, M.; Yang, S.; Nygaard, G.; Secchi, C.; Doody, K.M.; Slowikowski, K.; Mizoguchi, F.; Humby, F.; Hands, R.; et al. Synoviocyte-targeted therapy synergizes with TNF inhibition in arthritis reversal. Sci. Adv. 2020, 6, eaba4353. [Google Scholar] [CrossRef]
- Lang, B.T.; Cregg, J.M.; DePaul, M.A.; Tran, A.P.; Xu, K.; Dyck, S.M.; Madalena, K.M.; Brown, B.P.; Weng, Y.L.; Li, S.; et al. Modulation of the proteoglycan receptor PTPsigma promotes recovery after spinal cord injury. Nature 2015, 518, 404–408. [Google Scholar] [CrossRef]
- Poirier, A.; Picard, C.; Labonte, A.; Aubry, I.; Auld, D.; Zetterberg, H.; Blennow, K.; the PREVENT-AD research group; Tremblay, M.L.; Poirier, J. PTPRS is a novel marker for early Tau pathology and synaptic integrity in Alzheimer’s disease. Sci. Rep. 2024, 14, 14718. [Google Scholar] [CrossRef]
- Li, Y.; Liu, J.; Huang, J.; Wei, C.; Ge, L.; Chung, M.; Zhu, B.; Guo, Z.; Zheng, T.; Li, H.; et al. Reduced PTPRS expression promotes epithelial-mesenchymal transition of Schwann cells in NF1-related plexiform neurofibromas. Cancer Lett. 2024, 599, 217151. [Google Scholar] [CrossRef]
- Luo, F.; Wang, J.; Zhang, Z.; You, Z.; Bedolla, A.; Okwubido-Williams, F.; Huang, L.F.; Silver, J.; Luo, Y. Inhibition of CSPG receptor PTPsigma promotes migration of newly born neuroblasts, axonal sprouting, and recovery from stroke. Cell Rep. 2022, 40, 111137. [Google Scholar] [CrossRef]
- Davis, T.B.; Yang, M.; Schell, M.J.; Wang, H.; Ma, L.; Pledger, W.J.; Yeatman, T.J. PTPRS Regulates Colorectal Cancer RAS Pathway Activity by Inactivating Erk and Preventing Its Nuclear Translocation. Sci. Rep. 2018, 8, 9296. [Google Scholar] [CrossRef]
- Biersmith, B.H.; Hammel, M.; Geisbrecht, E.R.; Bouyain, S. The immunoglobulin-like domains 1 and 2 of the protein tyrosine phosphatase LAR adopt an unusual horseshoe-like conformation. J. Mol. Biol. 2011, 408, 616–627. [Google Scholar] [CrossRef][Green Version]
- Coles, C.H.; Shen, Y.; Tenney, A.P.; Siebold, C.; Sutton, G.C.; Lu, W.; Gallagher, J.T.; Jones, E.Y.; Flanagan, J.G.; Aricescu, A.R. Proteoglycan-specific molecular switch for RPTPsigma clustering and neuronal extension. Science 2011, 332, 484–488. [Google Scholar] [CrossRef]
- Shen, Y.; Tenney, A.P.; Busch, S.A.; Horn, K.P.; Cuascut, F.X.; Liu, K.; He, Z.; Silver, J.; Flanagan, J.G. PTPsigma is a receptor for chondroitin sulfate proteoglycan, an inhibitor of neural regeneration. Science 2009, 326, 592–596. [Google Scholar] [CrossRef]
- Coles, C.H.; Mitakidis, N.; Zhang, P.; Elegheert, J.; Lu, W.; Stoker, A.W.; Nakagawa, T.; Craig, A.M.; Jones, E.Y.; Aricescu, A.R. Structural basis for extracellular cis and trans RPTPsigma signal competition in synaptogenesis. Nat. Commun. 2014, 5, 5209. [Google Scholar] [CrossRef]
- Chien, P.N.; Ryu, S.E. Protein tyrosine phosphatase sigma in proteoglycan-mediated neural regeneration regulation. Mol. Neurobiol. 2013, 47, 220–227. [Google Scholar] [CrossRef]
- Lee, S.; Faux, C.; Nixon, J.; Alete, D.; Chilton, J.; Hawadle, M.; Stoker, A.W. Dimerization of protein tyrosine phosphatase sigma governs both ligand binding and isoform specificity. Mol. Cell. Biol. 2007, 27, 1795–1808. [Google Scholar] [CrossRef]
- Gardner, R.T.; Wang, L.; Lang, B.T.; Cregg, J.M.; Dunbar, C.L.; Woodward, W.R.; Silver, J.; Ripplinger, C.M.; Habecker, B.A. Targeting protein tyrosine phosphatase sigma after myocardial infarction restores cardiac sympathetic innervation and prevents arrhythmias. Nat. Commun. 2015, 6, 6235. [Google Scholar] [CrossRef] [PubMed]
- Zhang, Y.; Roos, M.; Himburg, H.; Termini, C.M.; Quarmyne, M.; Li, M.; Zhao, L.; Kan, J.; Fang, T.; Yan, X.; et al. PTPsigma inhibitors promote hematopoietic stem cell regeneration. Nat. Commun. 2019, 10, 3667. [Google Scholar] [CrossRef] [PubMed]
- Doody, K.M.; Stanford, S.M.; Sacchetti, C.; Svensson, M.N.; Coles, C.H.; Mitakidis, N.; Kiosses, W.B.; Bartok, B.; Fos, C.; Cory, E.; et al. Targeting phosphatase-dependent proteoglycan switch for rheumatoid arthritis therapy. Sci. Transl. Med. 2015, 7, 288ra276. [Google Scholar] [CrossRef] [PubMed]
- Ebrahimi, S.B.; Samanta, D. Engineering protein-based therapeutics through structural and chemical design. Nat. Commun. 2023, 14, 2411. [Google Scholar] [CrossRef] [PubMed]
- Garidel, P.; Kuhn, A.B.; Schafer, L.V.; Karow-Zwick, A.R.; Blech, M. High-concentration protein formulations: How high is high? Eur. J. Pharm. Biopharm. 2017, 119, 353–360. [Google Scholar] [CrossRef]
- Duivelshof, B.L.; Murisier, A.; Camperi, J.; Fekete, S.; Beck, A.; Guillarme, D.; D’Atri, V. Therapeutic Fc-fusion proteins: Current analytical strategies. J. Sep. Sci. 2021, 44, 35–62. [Google Scholar] [CrossRef]
- Nunes-Xavier, C.E.; Zaldumbide, L.; Mosteiro, L.; Lopez-Almaraz, R.; Garcia de Andoin, N.; Aguirre, P.; Emaldi, M.; Torices, L.; Lopez, J.I.; Pulido, R. Protein Tyrosine Phosphatases in Neuroblastoma: Emerging Roles as Biomarkers and Therapeutic Targets. Front. Cell Dev. Biol. 2021, 9, 811297. [Google Scholar] [CrossRef]
- Niewoehner, J.; Bohrmann, B.; Collin, L.; Urich, E.; Sade, H.; Maier, P.; Rueger, P.; Stracke, J.O.; Lau, W.; Tissot, A.C.; et al. Increased brain penetration and potency of a therapeutic antibody using a monovalent molecular shuttle. Neuron 2014, 81, 49–60. [Google Scholar] [CrossRef]
- Schneider, C.A.; Rasband, W.S.; Eliceiri, K.W. NIH Image to ImageJ: 25 years of image analysis. Nat. Methods 2012, 9, 671–675. [Google Scholar] [CrossRef]





| Mutant | Production Yield | Relative Solubility (%) |
|---|---|---|
| Wild type | 1.0 | 21 |
| L125A | 0.7 | 30 |
| I36A | 1.5 | 21 |
| L155A | 1.9 | 44 |
| Y224A | 1.3 | 34 |
| Y224A/V227A | 1.0 | 43 |
| L155A/L187A | 1.1 | 34 |
| L155A/L187A/Y224A | 3.2 | 66 |
| L155A/L187A/Y224A/V227A | 0.6 | 93 |
| L155N/L187A | 1.3 | 100 (111) * |
| L155N/L187N/Y224A | 11.3 | 79 |
| L143A/L155A/L187A/Y224A/V227A | 7.9 | 34 |
| L155N/L187A/Y224A | 6.2 | 73 |
| L155N/L187A/Y224A/V227A | 5.9 | 67 |
| L143A/L155A/L187A | 8.1 | 89 |
| L155N/L187N | 8.8 | 100 (115) |
| L143A/L145A/L155N/L187N | 14.7 | 100 (101) |
Disclaimer/Publisher’s Note: The statements, opinions and data contained in all publications are solely those of the individual author(s) and contributor(s) and not of MDPI and/or the editor(s). MDPI and/or the editor(s) disclaim responsibility for any injury to people or property resulting from any ideas, methods, instructions or products referred to in the content. |
© 2025 by the authors. Licensee MDPI, Basel, Switzerland. This article is an open access article distributed under the terms and conditions of the Creative Commons Attribution (CC BY) license (https://creativecommons.org/licenses/by/4.0/).
Share and Cite
Park, S.H.; Lim, W.; Kang, J.; Jo, S.; Jang, H.H.; Yang, H.; Yoo, S.H.; Kim, M.; Ryu, S.E. Structure-Based Engineering of a PTPsigma Ectodomain for Enhanced Solubility and Productivity. Int. J. Mol. Sci. 2025, 26, 8345. https://doi.org/10.3390/ijms26178345
Park SH, Lim W, Kang J, Jo S, Jang HH, Yang H, Yoo SH, Kim M, Ryu SE. Structure-Based Engineering of a PTPsigma Ectodomain for Enhanced Solubility and Productivity. International Journal of Molecular Sciences. 2025; 26(17):8345. https://doi.org/10.3390/ijms26178345
Chicago/Turabian StylePark, Sung Ho, Woochan Lim, Jian Kang, Sumin Jo, Hye Hyeon Jang, Heejin Yang, Suk Hyun Yoo, Myeongbin Kim, and Seong Eon Ryu. 2025. "Structure-Based Engineering of a PTPsigma Ectodomain for Enhanced Solubility and Productivity" International Journal of Molecular Sciences 26, no. 17: 8345. https://doi.org/10.3390/ijms26178345
APA StylePark, S. H., Lim, W., Kang, J., Jo, S., Jang, H. H., Yang, H., Yoo, S. H., Kim, M., & Ryu, S. E. (2025). Structure-Based Engineering of a PTPsigma Ectodomain for Enhanced Solubility and Productivity. International Journal of Molecular Sciences, 26(17), 8345. https://doi.org/10.3390/ijms26178345
