Relationship Between Prostaglandin and Interleukin Concentrations in Seminal Fluid and Their Influence on the Rate of Fertilization in Men Undergoing ICSI
Abstract
1. Introduction
2. Results
3. Discussion
3.1. Impact of the Sperm Chromatin Structure on the Rate of Fertilization
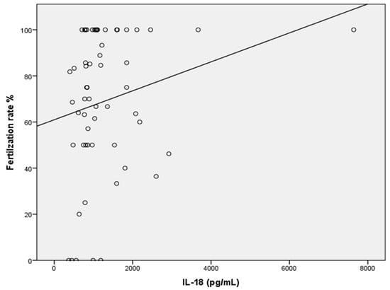
3.2. Impact of Interleukins in Seminal Plasma on the Rate of Fertilization
3.3. Impact of Prostaglandins in Seminal Plasma on the Rate of Fertilization
4. Materials and Methods
4.1. Samples Collection and Preparation
4.2. Acridine Orange (AO) Assay
4.3. Interleukin ELISA (IL-17 and IL-18)
4.4. Prostaglandin ELISA (PGE2 and PGF2α)
4.5. Statistical Analysis
5. Conclusions
Author Contributions
Funding
Institutional Review Board Statement
Informed Consent Statement
Data Availability Statement
Acknowledgments
Conflicts of Interest
References
- Sharlip, I.D.; Jarow, J.P.; Belker, A.M.; Lipshultz, L.I.; Sigman, M.; Thomas, A.J.; Schlegel, P.N.; Howards, S.S.; Nehra, A.; Damewood, M.D.; et al. Best practice policies for male infertility. Fertil. Steril. 2002, 77, 873–882. [Google Scholar] [CrossRef]
- Oehninger, S.; Franken, D.R.; Sayed, E.; Barroso, G.; Kolm, P. Sperm function assays and their predictive value for fertilization outcome in IVF therapy: A meta-analysis. Hum. Reprod. Update 2000, 6, 160–168. [Google Scholar] [CrossRef]
- Irvine, D.S.; Twigg, J.P.; Gordon, E.L.; Fulton, N.; Milne, P.A.; Aitken, R. DNA integrity in human spermatozoa: Relationships with semen quality. J. Androl. 2000, 21, 33–44. [Google Scholar] [CrossRef] [PubMed]
- Sakkas, D.; Mariethoz, E.; Manicardi, G.; Bizzaro, D.; Bianchi, P.G.; Bianchi, U. Origin of DNA damage in ejaculated human spermatozoa. Rev. Reprod. 1999, 4, 31–37. [Google Scholar] [CrossRef] [PubMed]
- WHO World Health Organization. WHO laboratory manual for the examination and processing of human semen. In WHO Laboratory Manual for the Examination and Processing of Human Semen; World Health Organization: Geneva, Switzerland, 2021. [Google Scholar]
- Kierszenbaum, A.L. Transition nuclear proteins during spermiogenesis: Unrepaired DNA breaks not allowed. Mol. Reprod. Dev. 2001, 58, 357–358. [Google Scholar] [CrossRef]
- Oliva, R. Protamines and male infertility. Hum. Reprod. Update 2006, 12, 417–435. [Google Scholar] [CrossRef]
- Agarwal, A.; Said, T.M. Role of sperm chromatin abnormalities and DNA damage in male infertility. Hum. Reprod. Update 2003, 9, 331–345. [Google Scholar] [CrossRef]
- Sakkas, D.; Manicardi, G.C.; Tomlinson, M.; Mandrioli, M.; Bizzaro, D.; Bianchi, P.G.; Bianchi, U. The use of two density gradient centrifugation techniques and the swim-up method to separate spermatozoa with chromatin and nuclear DNA anomalies. Hum. Reprod. 2000, 15, 1112–1116. [Google Scholar] [CrossRef] [PubMed]
- Avendaño, C.; Franchi, A.; Duran, H.; Oehninger, S. DNA fragmentation of normal spermatozoa negatively impacts embryo quality and intracytoplasmic sperm injection outcome. Fertil. Steril. 2010, 94, 549–557. [Google Scholar] [CrossRef]
- Hofmann, N.; Hilscher, B. Use of aniline blue to assess chromatin condensation in morphologically normal spermatozoa in normal and infertile men. Hum. Reprod. 1991, 6, 979–982. [Google Scholar] [CrossRef]
- Zini, A.; Fischer, M.A.; Sharir, S.; Shayegan, B.; Phang, D.; Jarvi, K. Prevalence of abnormal sperm DNA denaturation in fertile and infertile men. Urology 2002, 60, 1069–1072. [Google Scholar] [CrossRef]
- Zini, A.; Boman, J.M.; Belzile, E.; Ciampi, A. Sperm DNA damage is associated with an increased risk of pregnancy loss after IVF and ICSI: Systematic review and meta-analysis. Hum. Reprod. 2008, 23, 2663–2668. [Google Scholar] [CrossRef]
- Gandini, L.; Lombardo, F.; Paoli, D.; Caruso, F.; Eleuteri, P.; Leter, G.; Ciriminna, R.; Culasso, F.; Dondero, F.; Lenzi, A.; et al. Full-term pregnancies achieved with ICSI despite high levels of sperm chromatin damage. Hum. Reprod. 2004, 19, 1409–1417. [Google Scholar] [CrossRef]
- Lin, M.H.; Lee, R.K.K.; Li, S.H.; Lu, C.H.; Sun, F.J.; Hwu, Y.M. Sperm chromatin structure assay parameters are not related to fertilization rates, embryo quality, and pregnancy rates in in vitro fertilization and intracytoplasmic sperm injection, but might be related to spontaneous abortion rates. Fertil. Steril. 2008, 90, 352–359. [Google Scholar] [CrossRef]
- Juyena, N.S.; Stelletta, C. Seminal plasma: An essential attribute to spermatozoa. J. Androl. 2012, 33, 536–551. [Google Scholar] [CrossRef] [PubMed]
- Utleg, A.G.; Yi, E.C.; Xie, T.; Shannon, P.; White, J.T.; Goodlett, D.R.; Hood, L.; Lin, B. Proteomic analysis of human prostasomes. Prostate 2003, 56, 150–161. [Google Scholar] [CrossRef] [PubMed]
- Pilch, B.; Mann, M. Large-scale and high-confidence proteomic analysis of human seminal plasma. Genome Biol. 2006, 7, R40. [Google Scholar] [CrossRef]
- Sharkey, D.J.; Macpherson, A.M.; Tremellen, K.P.; Robertson, S.A. Seminal plasma differentially regulates inflammatory cytokine gene expression in human cervical and vaginal epithelial cells. Mol. Hum. Reprod. 2007, 13, 491–501. [Google Scholar] [CrossRef]
- Crawford, G.; Ray, A.; Gudi, A.; Shah, A.; Homburg, R. The role of seminal plasma for improved outcomes during in vitro fertilization treatment: Review of the literature and meta-analysis. Hum. Reprod. Update 2014, 21, 275–284. [Google Scholar] [CrossRef] [PubMed]
- Bukharin, O.V.; Kuz’min, M.D.; Ivanov, I.U.B. The role of the microbial factor in the pathogenesis of male infertility. Zh. Mikrobiol. Epidemiol. Immunobiol. 2000, 2, 106–110. [Google Scholar]
- Azenabor, A.; Ekun, A.O.; Akinloye, O. Impact of inflammation on male reproductive tract. J. Reprod. Infertil. 2015, 16, 123–129. [Google Scholar]
- Oberholzer, A.; Oberholzer, C.; Moldawer, L.L. Cytokine signaling-regulation of the immune response in normal and critically ill states. Crit. Care Med. 2000, 28, N3–N12. [Google Scholar] [CrossRef]
- Fraczek, M.; Kurpisz, M. Inflammatory mediators exert toxic effects of oxidative stress on human spermatozoa. J. Androl. 2007, 28, 325–333. [Google Scholar] [CrossRef]
- Seshadri, S.; Bates, M.; Vince, G.; Lewis Jones, D.I. Cytokine expression in the seminal plasma and its effects on fertilisation rates in an IVF cycle. Andrologia 2011, 43, 378–386. [Google Scholar] [CrossRef]
- Feldmann, M.; Saklatvala, J. Proinflammatory cytokines. Cytokine Ref. 2001, 1, 291–305. [Google Scholar]
- Maegawa, M.; Kamada, M.; Irahara, M.; Yamamoto, S.; Yoshikawa, S.; Kasai, Y.; Ohmoto, Y.; Gima, H.; Thaler, C.J.; Aono, T. A repertoire of cytokines in human seminal plasma. J. Reprod. Immunol. 2002, 54, 33–42. [Google Scholar] [CrossRef]
- Hedger, M.P.; Meinhardt, A. Cytokines and the immune-testicular axis. J. Reprod. Immunol. 2003, 58, 1–26. [Google Scholar] [CrossRef]
- Eggert-Kruse, W.; Boit, R.; Rohr, G.; Aufenanger, J.; Hund, M.; Strowitzki, T. Relationship of seminal plasma interleukin (IL)-8 and IL-6 with semen quality. Hum. Reprod. 2001, 16, 517–528. [Google Scholar] [CrossRef] [PubMed]
- Orhan, I.; Onur, R.; Ilhan, N.; Ardiçoglu, A. Seminal plasma cytokine levels in the diagnosis of chronic pelvic pain syndrome. Int. J. Urol. 2001, 8, 495–499. [Google Scholar] [CrossRef] [PubMed]
- Yanushpolsky, E.H.; Politch, J.A.; Hill, J.A.; Anderson, D.J. Is leukocytospermia clinically relevant? Fertil. Steril. 1996, 66, 822–825. [Google Scholar] [CrossRef] [PubMed]
- Vogelpoel, F.R.; Van Kooij, R.J.; Te Velde, E.R.; Verhoef, J. Influence of polymorphonuclear granulocytes on the zona-free hamster oocyte assay. Hum. Reprod. 1991, 6, 1104–1107. [Google Scholar] [CrossRef]
- Loveland, K.L.; Klein, B.; Pueschl, D.; Indumathy, S.; Bergmann, M.; Loveland, B.E.; Hedger, M.P.; Schuppe, H.-C. Cytokines in Male Fertility and Reproductive Pathologies: Immunoregulation and Beyond. Front. Endocrinol. 2017, 8, 307. [Google Scholar] [CrossRef]
- Mary, A.P.; Nandeesha, H.; Papa, D.; Chitra, T.; Ganesh, R.N.; Menon, V. Matrix metalloproteinase-9 is elevated and related to interleukin-17 and psychological stress in male infertility: A cross-sectional study. Int. J. Reprod. Biomed. 2021, 19, 333. [Google Scholar] [CrossRef]
- Ihim, S.A.; Abubakar, S.D.; Zian, Z.; Sasaki, T.; Saffarioun, M.; Maleknia, S.; Azizi, G. Interleukin-18 cytokine in immunity, inflammation, and autoimmunity: Biological role in induction, regulation, and treatment. Front. Immunol. 2022, 13, 919973. [Google Scholar] [CrossRef]
- Matalliotakis, I.M.; Cakmak, H.; Fragouli, Y.; Kourtis, A.; Arici, A.; Huszar, G. Increased IL-18 levels in seminal plasma of infertile men with genital tract infections. Am. J. Reprod. Immunol. 2006, 55, 428–433. [Google Scholar] [CrossRef] [PubMed]
- Qian, L.; Zhou, Y.; Du, C.; Wen, J.; Teng, S.; Teng, Z. IL-18 levels in the semen of male infertility: Semen analysis. Int. J. Biol. Macromol. 2014, 64, 190–192. [Google Scholar] [CrossRef] [PubMed]
- Nikolaeva, M.A.; Babayan, A.A.; Stepanova, E.O.; Smolnikova, V.Y.; Kalinina, E.A.; Fernández, N.; Krechetova, L.V.; Vanko, L.V.; Sukhikh, G.T. The relationship of seminal transforming growth factor-β1 and interleukin-18 with reproductive success in women exposed to seminal plasma during IVF/ICSI treatment. J. Reprod. Immunol. 2016, 117, 45–51. [Google Scholar] [CrossRef] [PubMed]
- Jabbour, H.N.; Sales, K.J. Prostaglandin receptor signalling and function in human endometrial pathology. Trends Endocrinol. Metab. 2004, 15, 398–404. [Google Scholar] [CrossRef]
- Narumiya, S.; Sugimoto, Y.; Ushikubi, F. Prostanoid receptors: Structures, properties, and functions. Physiol. Rev. 1999, 79, 1193–1226. [Google Scholar] [CrossRef]
- Capper, E.A.; Marshall, L.A. Mammalian phospholipases A 2: Mediators of inflammation, proliferation and apoptosis. Prog. Lipid Res. 2001, 40, 167–197. [Google Scholar] [CrossRef] [PubMed]
- Patton, K.T.; Thibodeau, G.A.; Douglas, M.M. Essentials of Anatomy & Physiology; Elsevier: Mosby, Norway, 2012. [Google Scholar]
- Tokugawa, Y.; Kunishige, I.; Kubota, Y.; Shimoya, K.; Nobunaga, T.; Kimura, T.; Saji, F.; Murata, Y.; Eguchi, N.; Oda, H.; et al. Lipocalin-type prostaglandin D synthase in human male reproductive organs and seminal plasma. Biol. Reprod. 1998, 58, 600–607. [Google Scholar] [CrossRef] [PubMed]
- Shimizu, Y.; Yorimitsu, A.; Maruyama, Y.; Kubota, T.; Aso, T.; Bronson, R.A. Prostaglandins induce calcium influx in human spermatozoa. Mol. Hum. Reprod. 1998, 4, 555–561. [Google Scholar] [CrossRef] [PubMed]
- Rios, M.; Carreño, D.V.; Oses, C.; Barrera, N.; Kerr, B.; Villalón, M. Low physiological levels of prostaglandins E2 and F2α improve human sperm functions. Reprod. Fertil. Dev. 2016, 28, 434–439. [Google Scholar] [CrossRef] [PubMed]
- Szczuko, M.; Kikut, J.; Komorniak, N.; Bilicki, J.; Celewicz, Z.; Ziętek, M. The Role of Arachidonic and Linoleic Acid Derivatives in Pathological Pregnancies and the Human Reproduction Process. Int. J. Mol. Sci. 2020, 21, 9628. [Google Scholar] [CrossRef]
- Male, D.; Brostoff, J.; Roth, D.B.; Roit, I. Mechanism of Innate Immunity. In Immunology; Mosby: London, UK, 2006. [Google Scholar]
- Duru, N.K.; Morshedi, M.; Oehninger, S. Effects of hydrogen peroxide on DNA and plasma membrane integrity of human spermatozoa. Fertil. Steril. 2000, 74, 1200–1207. [Google Scholar] [CrossRef]
- Sanocka, D.; Kurpisz, M. Reactive oxygen species and sperm cells. Reprod. Biol. Endocrinol. 2004, 2, 12. [Google Scholar] [CrossRef]
- Carrell, D.T.; Liu, L.; Peterson, C.M.; Jones, K.P.; Hatasaka, H.H.; Erickson, L.; Campbell, B. Sperm DNA fragmentation is increased in couples with unexplained recurrent pregnancy loss. Arch. Androl. 2003, 49, 49–55. [Google Scholar] [CrossRef]
- Aitken, R.J.; De Iuliis, G.N.; McLachlan, R.I. Biological and clinical significance of DNA damage in the male germ line. Int. J. Androl. 2009, 32, 46–56. [Google Scholar] [CrossRef]
- Evenson, D.P.; Wixon, R. Clinical aspects of sperm DNA fragmentation detection and male infertility. Theriogenology 2006, 65, 979–991. [Google Scholar] [CrossRef]
- Lewis, S.E.; Agbaje, I.; Alvarez, J. Sperm DNA tests as useful adjuncts to semen analysis. Syst. Biol. Reprod. Med. 2008, 54, 111–125. [Google Scholar] [CrossRef]
- Larson, K.L.; DeJonge, C.J.; Barnes, A.M.; Jost, L.K.; Evenson, D.P. Sperm chromatin structure assay parameters as predictors of failed pregnancy following assisted reproductive techniques. Hum. Reprod. 2000, 15, 1717–1722. [Google Scholar] [CrossRef]
- Hammadeh, M.E.; Stieber, M.; Haidl, G.; Schmidt, W. Association between sperm cell chromatin condensation, morphology based on strict criteria, and fertilization, cleavage and pregnancy rates in an IVF program. Andrologia 1998, 30, 29–35. [Google Scholar] [CrossRef]
- Salsabili, N.; Ziaei, A.M.; Taheri, M.; Akbari, F.; Jalaie, S. Impact of sperm collection methods on sperm parameters in spinal cord injured men and compared to normal controls in ICSI program. Sex. Disabil. 2006, 24, 141–149. [Google Scholar] [CrossRef]
- Virant-Klun, I.; Tomazevic, T.; Meden-Vrtovec, H. Sperm single-stranded DNA, detected by acridine orange staining, reduces fertilization and quality of ICSI-derived embryos. J. Assist. Reprod. Genet. 2002, 19, 319–328. [Google Scholar] [CrossRef]
- Virro, M.R.; Larson-Cook, K.L.; Evenson, D.P. Sperm chromatin structure assay (SCSA®) parameters are related to fertilization, blastocyst development, and ongoing pregnancy in in vitro fertilization and intracytoplasmic sperm injection cycles. Fertil. Steril. 2004, 81, 1289–1295. [Google Scholar] [CrossRef] [PubMed]
- Robertson, S.A. Seminal plasma and male factor signalling in the female reproductive tract. Cell Tissue Res. 2005, 322, 43–52. [Google Scholar] [CrossRef] [PubMed]
- Taszarek-Hauke, G.R.A.Ż.Y.N.A.; Pawelczyk, L.; Kurpisz, M. Consequences of semen inflammation and lipid peroxidation on fertilization capacity of spermatozoa in in vitro conditions. Int. J. Androl. 2005, 28, 275–283. [Google Scholar] [CrossRef]
- Sabbaghi, M.; Aram, R.; Roustaei, H.; Fadavi Islam, M.; Daneshvar, M.; Castaño, A.R.; Haghparast, A. IL-17A concentration of seminal plasma and follicular fluid in infertile men and women with various clinical diagnoses. Immunol. Investig. 2014, 43, 617–626. [Google Scholar] [CrossRef]
- Yoshimoto, T.; Takeda, K.; Tanaka, T.; Ohkusu, K.; Kashiwamura, S.I.; Okamura, H.; Akira, S.; Nakanishi, K. IL-12 up-regulates IL-18 receptor expression on T cells, Th1 cells, and B cells: Synergism with IL-18 for IFN-γ production. J. Immunol. 1998, 161, 3400–3407. [Google Scholar] [CrossRef] [PubMed]
- Yoshida, S.; Harada, T.; Iwabe, T.; Taniguchi, F.; Mitsunari, M.; Yamauchi, N.; Deura, I.; Horie, S.; Terakawa, N. A combination of interleukin-6 and its soluble receptor impairs sperm motility: Implications in infertility associated with endometriosis. Hum. Reprod. 2004, 19, 1821–1825. [Google Scholar] [CrossRef]
- Bungum, M. Sperm DNA integrity assessment: A new tool in diagnosis and treatment of fertility. Obstet. Gynecol. Int. 2012, 2012, 531042. [Google Scholar] [CrossRef]
- Qian, L.; Shi, Q.; Gu, Y.; Song, J.; Zhou, M.; Hua, M. The relationship between IL-17 and male infertility: Semen analysis. Afr. J. Microbiol. Res. 2012, 6, 5672–5677. [Google Scholar]
- Rajasekaran, M.; Hellstrom, W.; Sikka, S. Quantitative Assessment of Cytokines (GROα and IL-10) in Human Seminal Plasma During Genitourinary Inflammation. Am. J. Reprod. Immunol. 1996, 36, 90–95. [Google Scholar] [CrossRef]
- Sugimoto, Y.; Inazumi, T.; Tsuchiya, S. Roles of prostaglandin receptors in female reproduction. J. Biochem. 2015, 157, 73–80. [Google Scholar] [CrossRef]
- Ruan, Y.C.; Zhou, W.; Chan, H.C. Regulation of smooth muscle contraction by the epithelium: Role of prostaglandins. Physiology 2011, 26, 156–170. [Google Scholar] [CrossRef] [PubMed]
- Schlegel, W.; Rotermund, S.; Färber, G.; Nieschlag, E. The influence of prostaglandins on sperm motility. Prostaglandins 1981, 21, 87–99. [Google Scholar] [CrossRef] [PubMed]
- Gottlieb, C.; Svanborg, K.; Eneroth, P.; Bygdeman, M. Effect of prostaglandins on human sperm function in vitro and seminal adenosine triphosphate content. Fertil. Steril. 1988, 49, 322–327. [Google Scholar] [CrossRef]
- Tamba, S.; Yodoi, R.; Segi-Nishida, E.; Ichikawa, A.; Narumiya, S.; Sugimoto, Y. Timely interaction between prostaglandin and chemokine signaling is a prerequisite for successful fertilization. Proc. Natl. Acad. Sci. USA 2008, 105, 14539–14544. [Google Scholar] [CrossRef] [PubMed]
- Napolitani, G.; Acosta-Rodriguez, E.V.; Lanzavecchia, A.; Sallusto, F. Prostaglandin E2 enhances Th17 responses via modulation of IL-17 and IFN-γ production by memory CD4+ T cells. Eur. J. Immunol. 2009, 39, 1301–1312. [Google Scholar] [CrossRef]





| Characteristics | Mean | Minimum | Maximum | STD |
|---|---|---|---|---|
| Age (year) | 38.4 | 22.00 | 52.00 | 6 |
| Volume (mL) | 2.9 | 0.50 | 5.00 | 1.2 |
| Count (m/mL) | 37.2 | 0.00 | 150 | 37.4 |
| Motility (% motile) | 44.1 | 0.00 | 80.00 | 23.6 |
| Leukocytes | 0.3 | 0.00 | 4.00 | 0.9 |
| Morphologically normal spermatozoa (%) | 2.4 | 0.00 | 8.30 | 2 |
| Acridine Orange (positive AO%) | 20.6 | 0.00 | 73.00 | 16.8 |
| Oocyte fertilization rate (%) | 69.1 | 0.00 | 100.00 | 30.9 |
| Cleavage rate 48 h (%) | 86.45 | 0.00 | 100.00 | 29.7 |
| Cleavage rate 72 h (%) | 58.36 | 0.00 | 100.00 | 33.8 |
| Characteristics | Mean | Minimum | Maximum | STD |
|---|---|---|---|---|
| IL-17 (pg/mL) | 10.8 | 3.6 | 153 | 19.4 |
| IL-18 (pg/mL) | 1299 | 368 | 7640 | 1073 |
| PGE2 (pg/mL) | 1854 | 1747 | 1997 | 63.7 |
| PGF2α (pg/mL) | 341 | 325 | 358 | 6.5 |
Disclaimer/Publisher’s Note: The statements, opinions and data contained in all publications are solely those of the individual author(s) and contributor(s) and not of MDPI and/or the editor(s). MDPI and/or the editor(s) disclaim responsibility for any injury to people or property resulting from any ideas, methods, instructions or products referred to in the content. |
© 2025 by the authors. Licensee MDPI, Basel, Switzerland. This article is an open access article distributed under the terms and conditions of the Creative Commons Attribution (CC BY) license (https://creativecommons.org/licenses/by/4.0/).
Share and Cite
Amor, H.; Dahadhah, F.W.; Jankowski, P.M.; Al Nasser, R.; Jung, L.; Juhasz-Böss, I.; Solomayer, E.F.; Hammadeh, M.E. Relationship Between Prostaglandin and Interleukin Concentrations in Seminal Fluid and Their Influence on the Rate of Fertilization in Men Undergoing ICSI. Int. J. Mol. Sci. 2025, 26, 7627. https://doi.org/10.3390/ijms26157627
Amor H, Dahadhah FW, Jankowski PM, Al Nasser R, Jung L, Juhasz-Böss I, Solomayer EF, Hammadeh ME. Relationship Between Prostaglandin and Interleukin Concentrations in Seminal Fluid and Their Influence on the Rate of Fertilization in Men Undergoing ICSI. International Journal of Molecular Sciences. 2025; 26(15):7627. https://doi.org/10.3390/ijms26157627
Chicago/Turabian StyleAmor, Houda, Fatina W. Dahadhah, Peter Michael Jankowski, Rami Al Nasser, Lisa Jung, Ingolf Juhasz-Böss, Erich Franz Solomayer, and Mohamad Eid Hammadeh. 2025. "Relationship Between Prostaglandin and Interleukin Concentrations in Seminal Fluid and Their Influence on the Rate of Fertilization in Men Undergoing ICSI" International Journal of Molecular Sciences 26, no. 15: 7627. https://doi.org/10.3390/ijms26157627
APA StyleAmor, H., Dahadhah, F. W., Jankowski, P. M., Al Nasser, R., Jung, L., Juhasz-Böss, I., Solomayer, E. F., & Hammadeh, M. E. (2025). Relationship Between Prostaglandin and Interleukin Concentrations in Seminal Fluid and Their Influence on the Rate of Fertilization in Men Undergoing ICSI. International Journal of Molecular Sciences, 26(15), 7627. https://doi.org/10.3390/ijms26157627

