Insights on SNPs of Human Activation-Induced Cytidine Deaminase AID
Abstract
1. Introduction
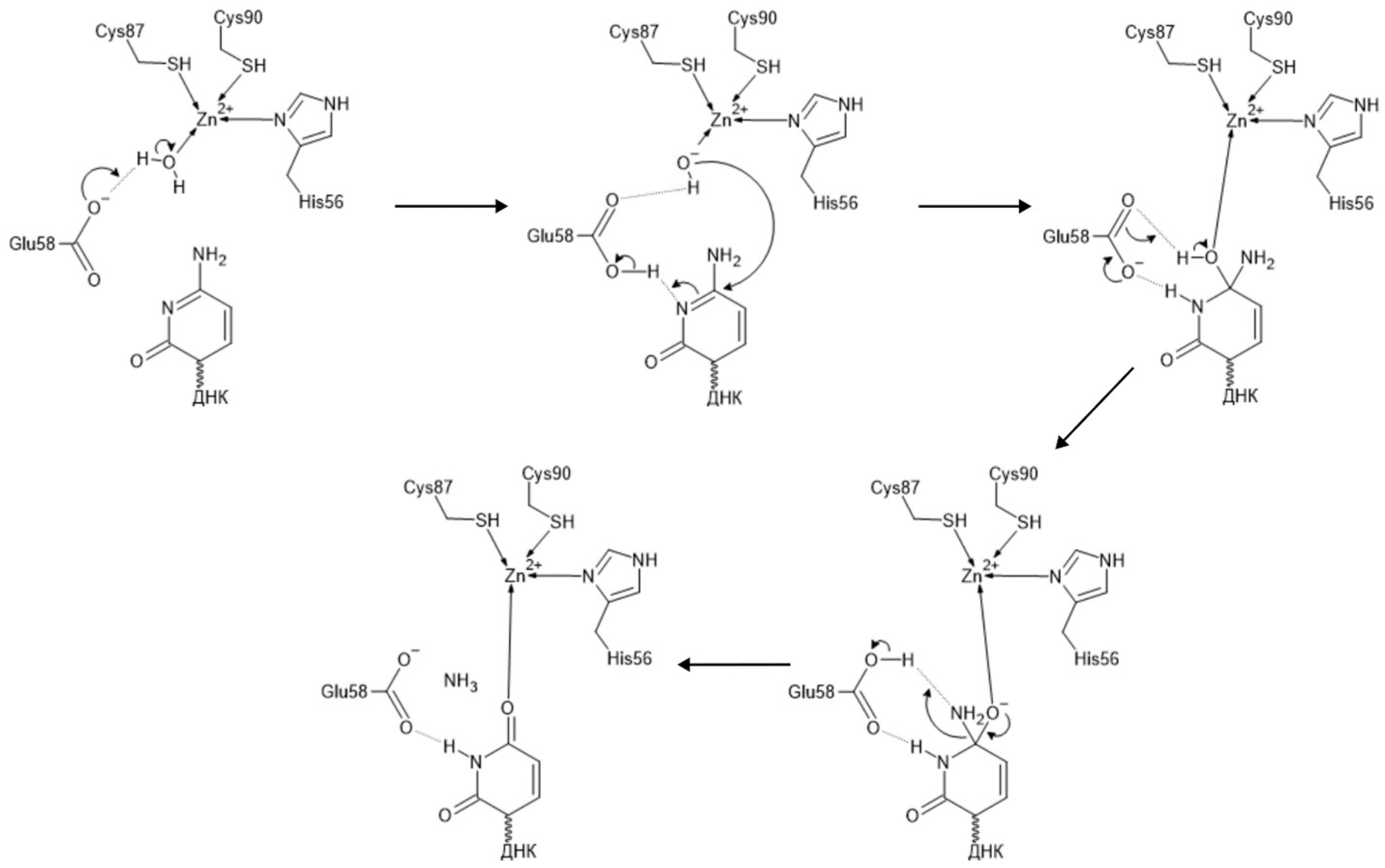
2. Aid Structure and Catalysis Mechanism
3. Investigation of Functionally Significant AID Amino Acid Residues
4. Investigation of Natural AID Polymorphic Variants
5. In Silico Evaluation of SNPs Effect on AID Functions
6. Conclusions
- Structural–functional relationships—Further high-resolution structural studies of AID mutants could elucidate how specific SNPs alter enzyme–substrate interactions, oligomerization, and interactions with regulatory partners like Spt6 or RPA.
- Post-translational modifications (PTMs)—The systematic investigation of PTMs (e.g., phosphorylation at Ser3/Ser38) and their combinatorial effects on AID’s activity could reveal fine-tuned regulatory mechanisms.
- HIGM2 and beyond—Expanding clinical studies to correlate uncharacterized SNPs (e.g., those with a “moderate” predicted impact) with HIGM2’s severity or atypical presentations.
- Cancer predisposition—Exploring whether AID hypermutation variants (e.g., R174S, F15L) contribute to early oncogenic events in B-cell malignancies or other cancers.
- AI-driven predictions—Leveraging machine learning to prioritize high-risk SNPs by integrating multi-omics data (e.g., epigenetics, protein interactomes) with existing tools.
- Functional screens—Using CRISPR-based mutagenesis in B-cell models to validate predicted pathogenic variants and uncover novel functional domains.
- Precision targeting—Developing small-molecule inhibitors or stabilizers to modulate AID’s activity in pathologies (e.g., inhibitors for AID-driven lymphomas, activators for HIGM2 patients with hypomorphic variants).
- Cross–species comparisons—Investigating AID polymorphisms in non-human primates to identify conserved regulatory motifs or compensatory mechanisms.
- Vaccine design—Harnessing AID’s role in SHM to engineer B-cells for broader antibody responses in vaccines or infectious disease models.
Author Contributions
Funding
Data Availability Statement
Conflicts of Interest
References
- Di Noia, J.M.; Neuberger, M.S. Molecular Mechanisms of Antibody Somatic Hypermutation. Annu. Rev. Biochem. 2007, 76, 1–22. [Google Scholar] [CrossRef] [PubMed]
- Tonegawa, S. Somatic Generation of Antibody Diversity. Nature 1983, 302, 575–581. [Google Scholar] [CrossRef] [PubMed]
- Chaudhuri, J.; Alt, F.W. Class-Switch Recombination: Interplay of Transcription, DNA Deamination and DNA Repair. Nat. Rev. Immunol. 2004, 4, 541–552. [Google Scholar] [CrossRef] [PubMed]
- Butler, J.E. Immunoglobulin Diversity, B-Cell and Antibody Repertoire Development Inlarge Farm Animals. Rev. Sci. Tech. l’OIE 1998, 17, 43–70. [Google Scholar] [CrossRef]
- Seo, H.; Hirota, K.; Ohta, K. Molecular Mechanisms of Avian Immunoglobulin Gene Diversification and Prospect for Industrial Applications. Front. Immunol. 2024, 15, 1453833. [Google Scholar] [CrossRef]
- Lieber, M.R.; Yu, K.; Raghavan, S.C. Roles of Nonhomologous DNA End Joining, V(D)J Recombination, and Class Switch Recombination in Chromosomal Translocations. DNA Repair 2006, 5, 1234–1245. [Google Scholar] [CrossRef]
- Zhang, X.; Zhang, Y.; Wang, C.; Wang, X. TET (Ten-Eleven Translocation) Family Proteins: Structure, Biological Functions and Applications. Signal Transduct. Target. Ther. 2023, 8, 297. [Google Scholar] [CrossRef]
- Ismail, J.N.; Ghannam, M.; Al Outa, A.; Frey, F.; Shirinian, M. Ten-Eleven Translocation Proteins and Their Role beyond DNA Demethylation—What We Can Learn from the Fly. Epigenetics 2020, 15, 1139–1150. [Google Scholar] [CrossRef]
- Prasad, R.; Yen, T.J.; Bellacosa, A. Active DNA Demethylation—The Epigenetic Gatekeeper of Development, Immunity, and Cancer. Adv. Genet. 2021, 2, e10033. [Google Scholar] [CrossRef]
- Wu, X.; Zhang, Y. TET-Mediated Active DNA Demethylation: Mechanism, Function and Beyond. Nat. Rev. Genet. 2017, 18, 517–534. [Google Scholar] [CrossRef]
- Muramatsu, M.; Sankaranand, V.S.; Anant, S.; Sugai, M.; Kinoshita, K.; Davidson, N.O.; Honjo, T. Specific Expression of Activation-Induced Cytidine Deaminase (AID), a Novel Member of the RNA-Editing Deaminase Family in Germinal Center B Cells. J. Biol. Chem. 1999, 274, 18470–18476. [Google Scholar] [CrossRef] [PubMed]
- Greeve, J. Expression of Activation-Induced Cytidine Deaminase in Human B-Cell Non-Hodgkin Lymphomas. Blood 2003, 101, 3574–3580. [Google Scholar] [CrossRef] [PubMed]
- Hardianti, M.S.; Tatsumi, E.; Syampurnawati, M.; Furuta, K.; Saigo, K.; Nakamachi, Y.; Kumagai, S.; Ohno, H.; Tanabe, S.; Uchida, M.; et al. Activation-Induced Cytidine Deaminase Expression in Follicular Lymphoma: Association between AID Expression and Ongoing Mutation in FL. Leukemia 2004, 18, 826–831. [Google Scholar] [CrossRef]
- Smit, L.A.; Bende, R.J.; Aten, J.; Guikema, J.E.J.; Aarts, W.M.; van Noesel, C.J.M. Expression of Activation-Induced Cytidine Deaminase Is Confined to B-Cell Non-Hodgkin’s Lymphomas of Germinal-Center Phenotype. Cancer Res. 2003, 63, 3894–3898. [Google Scholar]
- McCarthy, H.; Wierda, W.G.; Barron, L.L.; Cromwell, C.C.; Wang, J.; Coombes, K.R.; Rangel, R.; Elenitoba-Johnson, K.S.J.; Keating, M.J.; Abruzzo, L.V. High Expression of Activation-Induced Cytidine Deaminase (AID) and Splice Variants Is a Distinctive Feature of Poor-Prognosis Chronic Lymphocytic Leukemia. Blood 2003, 101, 4903–4908. [Google Scholar] [CrossRef]
- Ramiro, A.R.; Jankovic, M.; Eisenreich, T.; Difilippantonio, S.; Chen-Kiang, S.; Muramatsu, M.; Honjo, T.; Nussenzweig, A.; Nussenzweig, M.C. AID Is Required for C-Myc/IgH Chromosome Translocations In Vivo. Cell 2004, 118, 431–438. [Google Scholar] [CrossRef]
- Robbiani, D.F.; Bothmer, A.; Callen, E.; Reina-San-Martin, B.; Dorsett, Y.; Difilippantonio, S.; Bolland, D.J.; Chen, H.T.; Corcoran, A.E.; Nussenzweig, A.; et al. AID Is Required for the Chromosomal Breaks in C-Myc That Lead to c-Myc/IgH Translocations. Cell 2008, 135, 1028–1038. [Google Scholar] [CrossRef]
- Greisman, H.A.; Lu, Z.; Tsai, A.G.; Greiner, T.C.; Yi, H.S.; Lieber, M.R. IgH Partner Breakpoint Sequences Provide Evidence That AID Initiates t(11;14) and t(8;14) Chromosomal Breaks in Mantle Cell and Burkitt Lymphomas. Blood 2012, 120, 2864–2867. [Google Scholar] [CrossRef]
- Lohr, J.G.; Stojanov, P.; Lawrence, M.S.; Auclair, D.; Chapuy, B.; Sougnez, C.; Cruz-Gordillo, P.; Knoechel, B.; Asmann, Y.W.; Slager, S.L.; et al. Discovery and Prioritization of Somatic Mutations in Diffuse Large B-Cell Lymphoma (DLBCL) by Whole-Exome Sequencing. Proc. Natl. Acad. Sci. USA 2012, 109, 3879–3884. [Google Scholar] [CrossRef]
- Pasqualucci, L.; Bereshchenko, O.; Niu, H.; Klein, U.; Basso, K.; Guglielmino, R.; Cattoretti, G.; Dalla-Favera, R. Molecular Pathogenesis of Non-Hodgkin’s Lymphoma: The Role of Bcl-6. Leuk. Lymphoma 2003, 44, S5–S12. [Google Scholar] [CrossRef]
- Pasqualucci, L.; Neumeister, P.; Goossens, T.; Nanjangud, G.; Chaganti, R.S.K.; Küppers, R.; Dalla-Favera, R. Hypermutation of Multiple Proto-Oncogenes in B-Cell Diffuse Large-Cell Lymphomas. Nature 2001, 412, 341–346. [Google Scholar] [CrossRef] [PubMed]
- Revy, P.; Muto, T.; Levy, Y.; Geissmann, F.; Plebani, A.; Sanal, O.; Catalan, N.; Forveille, M.; Dufourcq-Lagelouse, R.; Gennery, A.; et al. Activation-Induced Cytidine Deaminase (AID) Deficiency Causes the Autosomal Recessive Form of the Hyper-IgM Syndrome (HIGM2). Cell 2000, 102, 565–575. [Google Scholar] [CrossRef] [PubMed]
- Liu, X.; Jian, X.; Boerwinkle, E. DbNSFP: A Lightweight Database of Human Nonsynonymous SNPs and Their Functional Predictions. Hum. Mutat. 2011, 32, 894–899. [Google Scholar] [CrossRef]
- Liu, X.; Li, C.; Mou, C.; Dong, Y.; Tu, Y. DbNSFP v4: A Comprehensive Database of Transcript-Specific Functional Predictions and Annotations for Human Nonsynonymous and Splice-Site SNVs. Genome Med. 2020, 12, 103. [Google Scholar] [CrossRef]
- Vaser, R.; Adusumalli, S.; Leng, S.N.; Sikic, M.; Ng, P.C. SIFT Missense Predictions for Genomes. Nat. Protoc. 2016, 11, 1–9. [Google Scholar] [CrossRef]
- Adzhubei, I.A.; Schmidt, S.; Peshkin, L.; Ramensky, V.E.; Gerasimova, A.; Bork, P.; Kondrashov, A.S.; Sunyaev, S.R. A Method and Server for Predicting Damaging Missense Mutations. Nat. Methods 2010, 7, 248–249. [Google Scholar] [CrossRef]
- Choi, Y.; Chan, A.P. PROVEAN Web Server: A Tool to Predict the Functional Effect of Amino Acid Substitutions and Indels. Bioinformatics 2015, 31, 2745–2747. [Google Scholar] [CrossRef]
- Dong, C.; Wei, P.; Jian, X.; Gibbs, R.; Boerwinkle, E.; Wang, K.; Liu, X. Comparison and Integration of Deleteriousness Prediction Methods for Nonsynonymous SNVs in Whole Exome Sequencing Studies. Hum. Mol. Genet. 2015, 24, 2125–2137. [Google Scholar] [CrossRef]
- Jagadeesh, K.A.; Wenger, A.M.; Berger, M.J.; Guturu, H.; Stenson, P.D.; Cooper, D.N.; Bernstein, J.A.; Bejerano, G. M-CAP Eliminates a Majority of Variants of Uncertain Significance in Clinical Exomes at High Sensitivity. Nat. Genet. 2016, 48, 1581–1586. [Google Scholar] [CrossRef]
- Ioannidis, N.M.; Rothstein, J.H.; Pejaver, V.; Middha, S.; McDonnell, S.K.; Baheti, S.; Musolf, A.; Li, Q.; Holzinger, E.; Karyadi, D.; et al. REVEL: An Ensemble Method for Predicting the Pathogenicity of Rare Missense Variants. Am. J. Hum. Genet. 2016, 99, 877–885. [Google Scholar] [CrossRef]
- Rentzsch, P.; Witten, D.; Cooper, G.M.; Shendure, J.; Kircher, M. CADD: Predicting the Deleteriousness of Variants throughout the Human Genome. Nucleic Acids Res. 2019, 47, D886–D894. [Google Scholar] [CrossRef] [PubMed]
- Quang, D.; Chen, Y.; Xie, X. DANN: A Deep Learning Approach for Annotating the Pathogenicity of Genetic Variants. Bioinformatics 2015, 31, 761–763. [Google Scholar] [CrossRef] [PubMed]
- Berezin, C.; Glaser, F.; Rosenberg, J.; Paz, I.; Pupko, T.; Fariselli, P.; Casadio, R.; Ben-Tal, N. ConSeq: The Identification of Functionally and Structurally Important Residues in Protein Sequences. Bioinformatics 2004, 20, 1322–1324. [Google Scholar] [CrossRef] [PubMed]
- Sievers, F.; Wilm, A.; Dineen, D.; Gibson, T.J.; Karplus, K.; Li, W.; Lopez, R.; McWilliam, H.; Remmert, M.; Söding, J.; et al. Fast, Scalable Generation of High-quality Protein Multiple Sequence Alignments Using Clustal Omega. Mol. Syst. Biol. 2011, 7, 539. [Google Scholar] [CrossRef]
- Rubio, M.A.T.; Pastar, I.; Gaston, K.W.; Ragone, F.L.; Janzen, C.J.; Cross, G.A.M.; Papavasiliou, F.N.; Alfonzo, J.D. An Adenosine-to-Inosine TRNA-Editing Enzyme That Can Perform C-to-U Deamination of DNA. Proc. Natl. Acad. Sci. USA 2007, 104, 7821–7826. [Google Scholar] [CrossRef]
- Conticello, S.G.; Langlois, M.; Yang, Z.; Neuberger, M.S. DNA Deamination in Immunity: AID in the Context of Its APOBEC Relatives. Adv. Immunol. 2007, 94, 37–73. [Google Scholar]
- Salter, J.D.; Bennett, R.P.; Smith, H.C. The APOBEC Protein Family: United by Structure, Divergent in Function. Trends Biochem. Sci. 2016, 41, 578–594. [Google Scholar] [CrossRef]
- Ta, V.-T.; Nagaoka, H.; Catalan, N.; Durandy, A.; Fischer, A.; Imai, K.; Nonoyama, S.; Tashiro, J.; Ikegawa, M.; Ito, S.; et al. AID Mutant Analyses Indicate Requirement for Class-Switch-Specific Cofactors. Nat. Immunol. 2003, 4, 843–848. [Google Scholar] [CrossRef]
- Ito, S.; Nagaoka, H.; Shinkura, R.; Begum, N.; Muramatsu, M.; Nakata, M.; Honjo, T. Activation-Induced Cytidine Deaminase Shuttles between Nucleus and Cytoplasm like Apolipoprotein B MRNA Editing Catalytic Polypeptide 1. Proc. Natl. Acad. Sci. USA 2004, 101, 1975–1980. [Google Scholar] [CrossRef]
- Conticello, S.G.; Ganesh, K.; Xue, K.; Lu, M.; Rada, C.; Neuberger, M.S. Interaction between Antibody-Diversification Enzyme AID and Spliceosome-Associated Factor CTNNBL1. Mol. Cell 2008, 31, 474–484. [Google Scholar] [CrossRef]
- Delker, R.K.; Zhou, Y.; Strikoudis, A.; Stebbins, C.E.; Papavasiliou, F.N. Solubility-Based Genetic Screen Identifies RING Finger Protein 126 as an E3 Ligase for Activation-Induced Cytidine Deaminase. Proc. Natl. Acad. Sci. USA 2013, 110, 1029–1034. [Google Scholar] [CrossRef] [PubMed]
- Okazaki, I.; Okawa, K.; Kobayashi, M.; Yoshikawa, K.; Kawamoto, S.; Nagaoka, H.; Shinkura, R.; Kitawaki, Y.; Taniguchi, H.; Natsume, T.; et al. Histone Chaperone Spt6 Is Required for Class Switch Recombination but Not Somatic Hypermutation. Proc. Natl. Acad. Sci. USA 2011, 108, 7920–7925. [Google Scholar] [CrossRef] [PubMed]
- Conticello, S.G. The AID/APOBEC Family of Nucleic Acid Mutators. Genome Biol. 2008, 9, 229. [Google Scholar] [CrossRef] [PubMed]
- Papavasiliou, F.N.; Schatz, D.G. The Activation-Induced Deaminase Functions in a Postcleavage Step of the Somatic Hypermutation Process. J. Exp. Med. 2002, 195, 1193–1198. [Google Scholar] [CrossRef]
- Mu, Y.; Prochnow, C.; Pham, P.; Chen, X.S.; Goodman, M.F. A Structural Basis for the Biochemical Behavior of Activation-Induced Deoxycytidine Deaminase Class-Switch Recombination-Defective Hyper-IgM-2 Mutants. J. Biol. Chem. 2012, 287, 28007–28016. [Google Scholar] [CrossRef]
- Betts, L.; Xiang, S.; Short, S.A.; Wolfenden, R.; Carter, C.W. Cytidine Deaminase. The 2·3 Å Crystal Structure of an Enzyme: Transition-State Analog Complex. J. Mol. Biol. 1994, 235, 635–656. [Google Scholar] [CrossRef]
- Pham, P.; Afif, S.A.; Shimoda, M.; Maeda, K.; Sakaguchi, N.; Pedersen, L.C.; Goodman, M.F. Structural Analysis of the Activation-Induced Deoxycytidine Deaminase Required in Immunoglobulin Diversification. DNA Repair 2016, 43, 48–56. [Google Scholar] [CrossRef]
- Qiao, Q.; Wang, L.; Meng, F.-L.; Hwang, J.K.; Alt, F.W.; Wu, H. AID Recognizes Structured DNA for Class Switch Recombination. Mol. Cell 2017, 67, 361–373.e4. [Google Scholar] [CrossRef]
- Shivarov, V.; Shinkura, R.; Honjo, T. Dissociation of in Vitro DNA Deamination Activity and Physiological Functions of AID Mutants. Proc. Natl. Acad. Sci. USA 2008, 105, 15866–15871. [Google Scholar] [CrossRef]
- Pham, P.; Smolka, M.B.; Calabrese, P.; Landolph, A.; Zhang, K.; Zhou, H.; Goodman, M.F. Impact of Phosphorylation and Phosphorylation-Null Mutants on the Activity and Deamination Specificity of Activation-Induced Cytidine Deaminase. J. Biol. Chem. 2008, 283, 17428–17439. [Google Scholar] [CrossRef]
- Wang, M.; Rada, C.; Neuberger, M.S. Altering the Spectrum of Immunoglobulin V Gene Somatic Hypermutation by Modifying the Active Site of AID. J. Exp. Med. 2010, 207, 141–153. [Google Scholar] [CrossRef] [PubMed]
- Kohli, R.M.; Abrams, S.R.; Gajula, K.S.; Maul, R.W.; Gearhart, P.J.; Stivers, J.T. A Portable Hot Spot Recognition Loop Transfers Sequence Preferences from APOBEC Family Members to Activation-Induced Cytidine Deaminase. J. Biol. Chem. 2009, 284, 22898–22904. [Google Scholar] [CrossRef]
- Geisberger, R.; Huemer, M.; Gassner, F.J.; Zaborsky, N.; Egle, A.; Greil, R. Lysine Residue at Position 22 of the AID Protein Regulates Its Class Switch Activity. PLoS ONE 2012, 7, e30667. [Google Scholar] [CrossRef]
- Chaudhuri, J.; Khuong, C.; Alt, F.W. Replication Protein A Interacts with AID to Promote Deamination of Somatic Hypermutation Targets. Nature 2004, 430, 992–998. [Google Scholar] [CrossRef]
- Pasqualucci, L.; Kitaura, Y.; Gu, H.; Dalla-Favera, R. PKA-Mediated Phosphorylation Regulates the Function of Activation-Induced Deaminase (AID) in B Cells. Proc. Natl. Acad. Sci. USA 2006, 103, 395–400. [Google Scholar] [CrossRef]
- Basu, U.; Chaudhuri, J.; Alpert, C.; Dutt, S.; Ranganath, S.; Li, G.; Schrum, J.P.; Manis, J.P.; Alt, F.W. The AID Antibody Diversification Enzyme Is Regulated by Protein Kinase A Phosphorylation. Nature 2005, 438, 508–511. [Google Scholar] [CrossRef]
- McBride, K.M.; Gazumyan, A.; Woo, E.M.; Barreto, V.M.; Robbiani, D.F.; Chait, B.T.; Nussenzweig, M.C. Regulation of Hypermutation by Activation-Induced Cytidine Deaminase Phosphorylation. Proc. Natl. Acad. Sci. USA 2006, 103, 8798–8803. [Google Scholar] [CrossRef]
- McBride, K.M.; Gazumyan, A.; Woo, E.M.; Schwickert, T.A.; Chait, B.T.; Nussenzweig, M.C. Regulation of Class Switch Recombination and Somatic Mutation by AID Phosphorylation. J. Exp. Med. 2008, 205, 2585–2594. [Google Scholar] [CrossRef]
- Gazumyan, A.; Timachova, K.; Yuen, G.; Siden, E.; Di Virgilio, M.; Woo, E.M.; Chait, B.T.; Reina San-Martin, B.; Nussenzweig, M.C.; McBride, K.M. Amino-Terminal Phosphorylation of Activation-Induced Cytidine Deaminase Suppresses c- Myc/IgH Translocation. Mol. Cell. Biol. 2011, 31, 442–449. [Google Scholar] [CrossRef]
- Zhu, Y.; Nonoyama, S.; Morio, T.; Muramatsu, M.; Honjo, T.; Mizutani, S. Type Two Hyper-IgM Syndrome Caused by Mutation in Activation-Induced Cytidine Deaminase. J. Med. Dent. Sci. 2003, 50, 41–46. [Google Scholar]
- Barreto, V.; Reina-San-Martin, B.; Ramiro, A.R.; McBride, K.M.; Nussenzweig, M.C. C-Terminal Deletion of AID Uncouples Class Switch Recombination from Somatic Hypermutation and Gene Conversion. Mol. Cell 2003, 12, 501–508. [Google Scholar] [CrossRef] [PubMed]
- Imai, K.; Zhu, Y.; Revy, P.; Morio, T.; Mizutani, S.; Fischer, A.; Nonoyama, S.; Durandy, A. Analysis of Class Switch Recombination and Somatic Hypermutation in Patients Affected with Autosomal Dominant Hyper-IgM Syndrome Type 2. Clin. Immunol. 2005, 115, 277–285. [Google Scholar] [CrossRef] [PubMed]
- Doi, T.; Kato, L.; Ito, S.; Shinkura, R.; Wei, M.; Nagaoka, H.; Wang, J.; Honjo, T. The C-Terminal Region of Activation-Induced Cytidine Deaminase Is Responsible for a Recombination Function Other than DNA Cleavage in Class Switch Recombination. Proc. Natl. Acad. Sci. USA 2009, 106, 2758–2763. [Google Scholar] [CrossRef] [PubMed]
- Durandy, A.; Peron, S.; Taubenheim, N.; Fischer, A. Activation-Induced Cytidine Deaminase: Structure–Function Relationship as Based on the Study of Mutants. Hum. Mutat. 2006, 27, 1185–1191. [Google Scholar] [CrossRef]
- Shinkura, R.; Ito, S.; Begum, N.A.; Nagaoka, H.; Muramatsu, M.; Kinoshita, K.; Sakakibara, Y.; Hijikata, H.; Honjo, T. Separate Domains of AID Are Required for Somatic Hypermutation and Class-Switch Recombination. Nat. Immunol. 2004, 5, 707–712. [Google Scholar] [CrossRef]
- Caratão, N.; Cortesão, C.S.; Reis, P.H.; Freitas, R.F.; Jacob, C.M.A.; Pastorino, A.C.; Carneiro-Sampaio, M.; Barreto, V.M. A Novel Activation-Induced Cytidine Deaminase (AID) Mutation in Brazilian Patients with Hyper-IgM Type 2 Syndrome. Clin. Immunol. 2013, 148, 279–286. [Google Scholar] [CrossRef]
- Pejaver, V.; Byrne, A.B.; Feng, B.-J.; Pagel, K.A.; Mooney, S.D.; Karchin, R.; O’Donnell-Luria, A.; Harrison, S.M.; Tavtigian, S.V.; Greenblatt, M.S.; et al. Calibration of Computational Tools for Missense Variant Pathogenicity Classification and ClinGen Recommendations for PP3/BP4 Criteria. Am. J. Hum. Genet. 2022, 109, 2163–2177. [Google Scholar] [CrossRef]
- Quartier, P.; Bustamante, J.; Sanal, O.; Plebani, A.; Debré, M.; Deville, A.; Litzman, J.; Levy, J.; Fermand, J.-P.; Lane, P.; et al. Clinical, Immunologic and Genetic Analysis of 29 Patients with Autosomal Recessive Hyper-IgM Syndrome Due to Activation-Induced Cytidine Deaminase Deficiency. Clin. Immunol. 2004, 110, 22–29. [Google Scholar] [CrossRef]
- Prochnow, C.; Bransteitter, R.; Klein, M.G.; Goodman, M.F.; Chen, X.S. The APOBEC-2 Crystal Structure and Functional Implications for the Deaminase AID. Nature 2007, 445, 447–451. [Google Scholar] [CrossRef]
- Minegishi, Y.; Lavoie, A.; Cunningham-Rundles, C.; Bédard, P.-M.; Hébert, J.; Côté, L.; Dan, K.; Sedlak, D.; Buckley, R.H.; Fischer, A.; et al. Mutations in Activation-Induced Cytidine Deaminase in Patients with Hyper IgM Syndrome. Clin. Immunol. 2000, 97, 203–210. [Google Scholar] [CrossRef]
- Trotta, L.; Hautala, T.; Hämäläinen, S.; Syrjänen, J.; Viskari, H.; Almusa, H.; Lepisto, M.; Kaustio, M.; Porkka, K.; Palotie, A.; et al. Enrichment of Rare Variants in Population Isolates: Single AICDA Mutation Responsible for Hyper-IgM Syndrome Type 2 in Finland. Eur. J. Hum. Genet. 2016, 24, 1473–1478. [Google Scholar] [CrossRef]






| Residue | Location | Effect | Ref. |
|---|---|---|---|
| Investigation of functionally significant amino acid residues (artificial mutant forms) | |||
| M6A N7A R8A R9A K10A | Spt6 interaction site | disrupted interaction with Spt6; reduced CSR and SHM activity (excluding R8A) | [42] |
| Y13H V18R V18R/R19V W20K G23S | NLS | conservation of CSR activity and loss of SHM activity and ability to enter the nucleus (excluding G23S) | [65] |
| S3A S3D | phosphorylation sites | increased CSR and SHM activity | [59] |
| T27A S38A S38D S41A S41D S43A S43D Y184A T27A/S38A S38A/T140A | phosphorylation sites | conservation of deamination activity towards ssDNA for T27A, S38A, S38D, S43A, S43D and Y184A, loss of CSR-activity for T27A, S38A and S38D, reduced ability to undergo phosphorylation, disrupted interaction with RPA for T27A and S38A; according to other sources, decrease of deamination activity for S38A, S41A and S41D | [55,56,57,58] |
| A39G/T40G/S41Q/F42V | CTNNBL1 interaction site | disrupted interaction with CTNNBL1, compromised ability to potentiate IgV gene diversification with conserved deamination activity | [40] |
| H56R/E58Q H56Y H56R E58K C87R | catalytic center | loss of deamination activity; loss of CSR and SHM activity for H56Y and C87R; loss of deamination activity with conserved ability to bind ssDNA for H56R and E58K | [38,44,45] |
| N51A Y114A | active site | decreased deamination activity; decreased CSR and SHM activity for N51A | [47,49] |
| F115A C116A E117A R119A K120A E122A | loop 7 (β4–α4) | no effect on deamination activity | [47] |
| R171A Q175A R178A | helix α6 | decreased deamination activity | [47] |
| K52A | loop 3 (β2–α2) | decreased deamination activity | [47,49] |
| D45A/N51A R50A/N51A D45A/R50A/N51A | loop β2–α2 | complete loss of deamination activity; decreased CSR and SHM activity | [49] |
| G47A H48A L49A R50A | loop β2–α2 | decreased deamination activity; conserved CSR activity for H48A, L49A and R50A and decreased CSR activity for G47A; decreased SHM activity | [49] |
| G54A C55A D45A/R50A | loop β2–α2 | decreased deamination activity; conserved CSR activity for G54A and C55A and decreased CSR activity for D45A/R50A; decreased SHM activity | [49] |
| D45A S53A D45A/F46A | loop β2–α2 | no effect on deamination activity; decreased CSR and SHM activity for D45A and D45A/F46A, conserved CSR and SHM activity for S53A | [49] |
| K22E/R24S/R25E R50E/R52E | DNA-binding site, loops α1–β1, β2–α2 и β4–α4 | complete loss of deamination activity on DNA substrates with one or two single-stranded overhangs; lack of CSR activity | [48] |
| R171E R174E R174S R171D/R174E R177D/R178E | “assistant patch”, helix α6 | significantly reduced deamination activity on DNA substrates with two single-stranded overhangs; conserved activity on substrates with one single-stranded overhang; lack of CSR activity | [48] |
| L189A F193A L196A L198A | NES | disrupted nuclear export of AID; significantly reduced CSR activity with increased SHM activity | [63] |
| L172A R190A D191A A192G R194A T195A G197A | C-terminus | no effect on AID activity | [63] |
| Investigation of natural AID polymorphic variants | |||
| R24W | NLS | disrupted transport of AID into the nucleus, loss of CSR and SHM activity | [38,39] |
| M6T | NLS | loss of deamination, CSR and SHM activity | [45,64] |
| S3G K10R | NLS | partially conserved CSR and SHM activity | [38] |
| F11L | NLS | loss of deamination activity | [45] |
| F15L | NLS | partially conserved deamination activity and ability to bind ssDNA, no effect on subcellular localization | [45,66] |
| S83P S85N A111E R112C R112H L113P R174S | protein surface | partially conserved deamination activity for R174S and R112C with decreased affinity for the substrate; loss of deamination activity for S83P, S85N, A111E, R112H and L113P; unaffected affinity for the substrate for R112H and L113P | [47] |
| S43P W80R L98R L106P I136K M139T F151S | partially conserved deamination activity for S43P and L98R; loss of deamination activity for W80R, L106P, I136K, M139T and F151S; increased affinity for the substrate for S43P | [45] | |
| M139V | loop 9 (β5–α5) inside the protein globule | putative change in AID’s three-dimensional structure, loss of CSR and SHM activity, disrupted transport into the nucleus and binding to Spt6 | [38,39,42] |
| R190 * | NES | conserved SHM activity and loss of CSR activity | [38,61,62] |
| SNP | ConSurf Conservation Score 1 | Buried/ Exposed 2 | Functional/ Structural 3 | SIFT4G | PolyPhen-2 HDIV | PolyPhen-2 HVAR | PROVEAN | MetaSVM | MetaLR | M-CAP | REVEL | CADD | Ref. |
|---|---|---|---|---|---|---|---|---|---|---|---|---|---|
| M6T | 6 | E | D | B | B | D | T | T | D | [45,64] | |||
| K10R | 6 | E | T | B | B | N | T | T | D | B | B | [38,42] | |
| F15L | 9 | B | S | D | P | B | D | T | T | D | P | [45,66] | |
| K16Q | 4 | E | T | D | P | N | D | D | D | P | |||
| R24W | 7 | E | T | D | D | D | D | D | D | P | P | [22,38,39,42,45,64,68] | |
| 39R24Q | 7 | E | D | D | D | N | T | D | D | P | |||
| E26A | 5 | E | T | D | D | D | T | T | D | P | P | ||
| Y28H | 7 | B | D | D | D | D | D | D | D | P | P | ||
| Y31C | 7 | B | D | D | P | D | D | D | D | P | P | ||
| R50C | 4 | E | T | D | D | D | T | T | D | P | |||
| R50G | 4 | E | T | D | D | D | D | D | D | P | |||
| E58K | 9 | E | F | D | D | D | D | T | T | D | P | P | [45] |
| L60P | 5 | B | T | D | P | D | T | T | D | P | P | ||
| R77H | 4 | E | D | D | D | D | T | T | D | P | |||
| T79P | 9 | B | S | T | D | D | D | D | D | D | P | P | |
| T79S | 9 | B | S | D | D | D | D | D | D | D | P | P | |
| T79I | 9 | B | S | D | D | D | D | T | T | D | P | P | |
| W80R | 7 | B | D | D | D | D | D | D | D | P | P | [22,38,45,64,68,69] | |
| S83P | 9 | B | S | D | D | D | D | D | D | D | P | P | [45,64] |
| W84G | 9 | B | S | D | D | D | D | D | D | D | P | P | |
| W84R | 9 | B | S | D | D | D | D | D | T | D | P | P | |
| S85R | 9 | E | F | D | D | D | D | D | D | D | P | ||
| S85N | 9 | E | F | D | D | D | D | D | D | D | P | P | [45,64] |
| P86L | 9 | E | F | D | D | D | D | D | D | D | P | P | |
| C87S | 9 | B | S | D | D | D | D | D | D | D | P | P | [45,64] |
| C87R | 9 | B | S | D | D | D | D | D | D | D | P | P | [38,45,64,68] |
| A91P | 9 | B | S | D | P | P | D | D | D | D | P | P | |
| A91V | 9 | B | S | D | D | P | D | T | T | D | P | P | |
| A91T | 9 | B | S | D | P | P | D | D | T | D | P | ||
| F97V | 8 | B | D | D | D | D | D | T | D | P | P | ||
| N103S | 8 | E | F | D | D | D | D | T | T | D | P | ||
| L106P | 9 | B | S | D | D | D | D | D | D | D | P | P | [22,45,64,68,69] |
| F109S | 6 | B | D | D | D | D | T | T | D | P | P | ||
| A111E | 8 | B | D | D | P | D | T | T | D | P | P | [45,64] | |
| A111V | 8 | B | D | D | P | D | T | T | D | P | P | ||
| R112C | 9 | E | F | D | D | D | D | D | D | D | P | P | [38,45,69,70] |
| L113P | 9 | B | S | D | D | D | D | D | D | D | P | P | [45,64] |
| Y114D | 8 | B | D | D | D | D | D | D | D | P | P | ||
| G125R | 8 | B | D | D | D | D | D | D | D | P | P | ||
| G125E | 8 | B | D | D | D | D | D | D | D | P | P | ||
| L126P | 9 | B | S | D | D | D | D | D | D | D | P | P | |
| R127W | 7 | E | D | D | D | D | T | T | D | ||||
| L129P | 9 | B | S | D | B | B | D | D | D | D | P | ||
| L129V | 9 | B | S | D | P | P | D | D | D | D | |||
| G133R | 8 | E | F | D | D | D | D | D | D | D | P | ||
| V134M | 7 | B | D | P | P | N | D | T | D | P | |||
| I136K | 6 | B | D | P | P | D | T | T | D | P | [45] | ||
| M139T | 9 | B | S | D | D | D | D | D | D | D | P | P | [45,64,69,71] |
| M139V | 9 | B | S | D | D | D | D | D | D | D | P | [22,38,39,42,45,64,68] | |
| M139I | 9 | B | S | D | D | D | D | D | D | D | P | P | |
| D143V | 7 | E | D | D | D | D | T | T | D | P | P | ||
| D143Y | 7 | E | D | D | D | D | D | D | No data | P | P | ||
| Y144H | 7 | B | D | D | P | D | T | T | D | P | |||
| Y144C | 7 | B | D | P | P | D | T | T | D | P | |||
| Y146C | 5 | E | D | D | D | D | T | T | D | P | P | ||
| Y146F | 5 | E | D | D | D | D | T | T | D | P | |||
| C147F | 8 | B | D | D | D | D | D | D | D | P | P | ||
| C147Y | 8 | B | D | D | D | D | D | D | D | P | P | ||
| W148C | 9 | B | S | D | D | D | D | D | D | D | P | P | |
| T150A | 7 | E | D | P | P | D | T | T | D | P | |||
| F151S | 9 | B | S | D | D | D | D | D | D | D | P | P | [22,45,64,68,69] |
| V152L | 9 | E | F | D | D | D | N | D | D | D | P | P |
Disclaimer/Publisher’s Note: The statements, opinions and data contained in all publications are solely those of the individual author(s) and contributor(s) and not of MDPI and/or the editor(s). MDPI and/or the editor(s) disclaim responsibility for any injury to people or property resulting from any ideas, methods, instructions or products referred to in the content. |
© 2025 by the authors. Licensee MDPI, Basel, Switzerland. This article is an open access article distributed under the terms and conditions of the Creative Commons Attribution (CC BY) license (https://creativecommons.org/licenses/by/4.0/).
Share and Cite
Koveshnikova, E.A.; Kuznetsova, A.A. Insights on SNPs of Human Activation-Induced Cytidine Deaminase AID. Int. J. Mol. Sci. 2025, 26, 6107. https://doi.org/10.3390/ijms26136107
Koveshnikova EA, Kuznetsova AA. Insights on SNPs of Human Activation-Induced Cytidine Deaminase AID. International Journal of Molecular Sciences. 2025; 26(13):6107. https://doi.org/10.3390/ijms26136107
Chicago/Turabian StyleKoveshnikova, Ekaterina A., and Aleksandra A. Kuznetsova. 2025. "Insights on SNPs of Human Activation-Induced Cytidine Deaminase AID" International Journal of Molecular Sciences 26, no. 13: 6107. https://doi.org/10.3390/ijms26136107
APA StyleKoveshnikova, E. A., & Kuznetsova, A. A. (2025). Insights on SNPs of Human Activation-Induced Cytidine Deaminase AID. International Journal of Molecular Sciences, 26(13), 6107. https://doi.org/10.3390/ijms26136107

