Green Synthesis of Zinc Oxide Nanoparticles Using Aqueous Extract of Pavonia zeylanica to Mediate Photocatalytic Degradation of Methylene Blue: Studies on Reaction Kinetics, Reusability and Mineralization
Abstract
1. Introduction
2. Results and Discussion
2.1. Structural and Morphological Characterization of Green-Synthesized Pz-ZnO-NPs
2.2. Photocatalytic Degradation (PD) of MB by Pz-ZnO-NPs
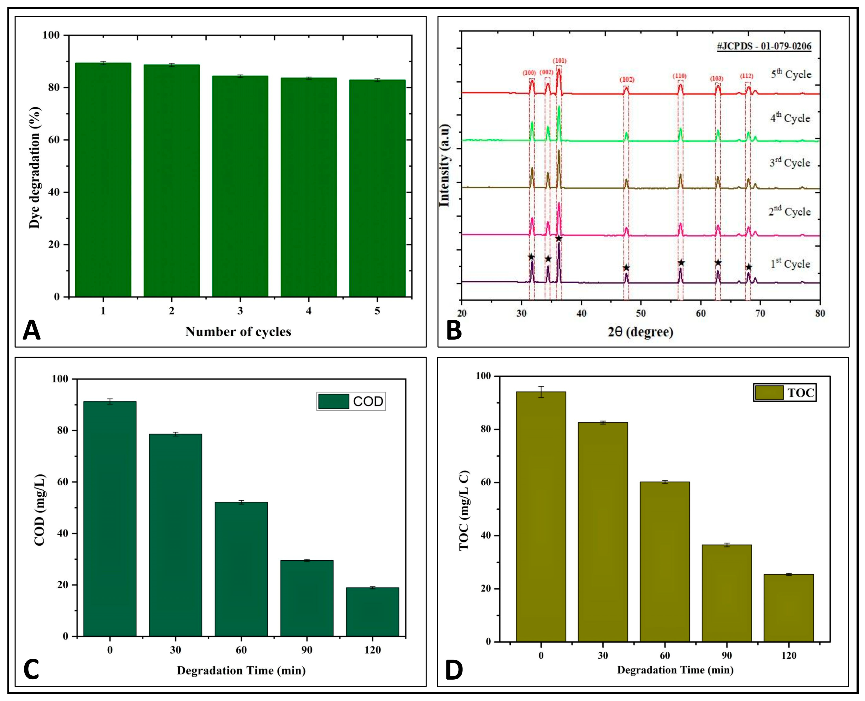
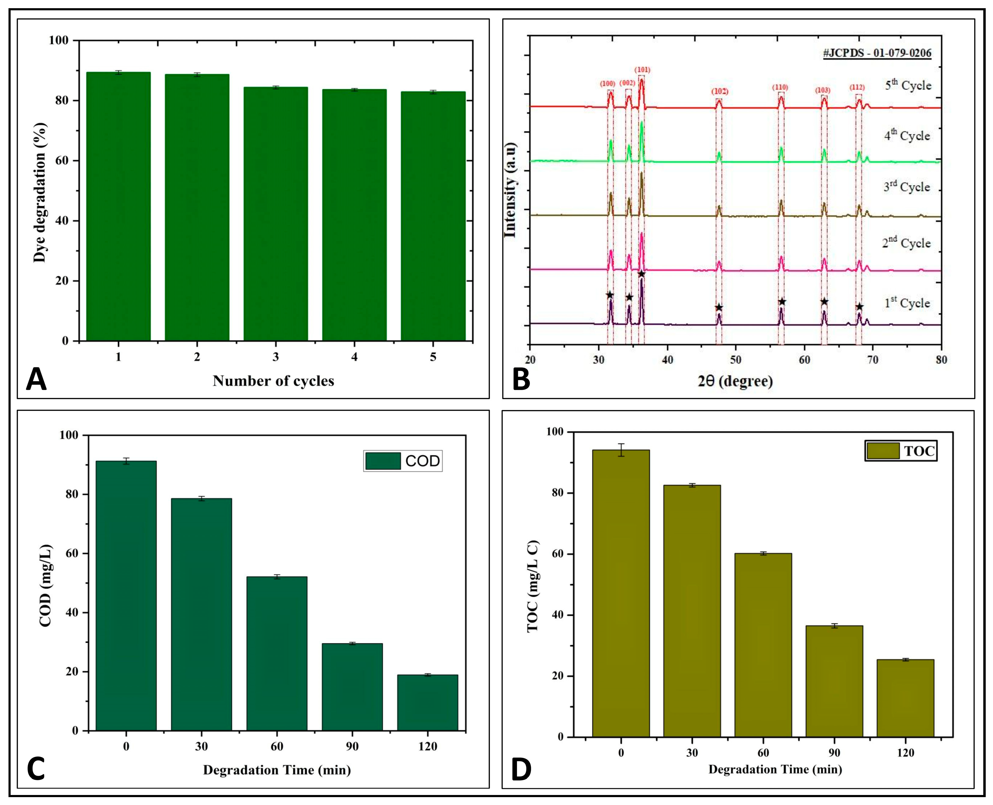
2.3. Reliability and Structural Durability of Pz-ZnO-NPs
2.4. Mineralization Properties of Pz-ZnO-NPs
2.5. Photocatalytic Mechanism
3. Materials and Methods
3.1. Green Synthesis of ZnO-NPs from Pavonia zeylanica
3.2. Structural and Morphological Characterization of Green-Synthesized Pz-ZnO-NPs
3.3. Photocatalytic Degradation by Pz-ZnO-NPs
3.4. Reliability and Structural Durability of Pz-ZnO Nanoparticles
3.5. Mineralization Properties of Pz-ZnO-NPs
3.6. Analytical Statistics
4. Conclusions
Supplementary Materials
Author Contributions
Funding
Institutional Review Board Statement
Informed Consent Statement
Data Availability Statement
Acknowledgments
Conflicts of Interest
References
- Bayda, S.; Adeel, M.; Tuccinardi, T.; Cordani, M.; Rizzolio, F. The History of Nanoscience and Nanotechnology: From Chemical–Physical Applications to Nanomedicine. Molecules 2020, 25, 112. [Google Scholar] [CrossRef]
- Murali, M.; Kalegowda, N.; Gowtham, H.G.; Ansari, M.A.; Alomary, M.N.; Alghamdi, S.; Shilpa, N.; Singh, S.B.; Thriveni, M.C.; Aiyaz, M.; et al. Plant-Mediated Zinc Oxide Nanoparticles: Advances in the New Millennium towards Understanding Their Therapeutic Role in Biomedical Applications. Pharmaceutics 2021, 13, 1662. [Google Scholar] [CrossRef] [PubMed]
- Bhardwaj, B.; Singh, P.; Kumar, A.; Kumar, S.; Budhwar, V. Eco-Friendly Greener Synthesis of Nanoparticles. Adv. Pharm. Bull. 2020, 10, 566–576. [Google Scholar] [CrossRef] [PubMed]
- Murali, M.; Thampy, A.; Anandan, S.; Aiyaz, M.; Shilpa, N.; Singh, S.B.; Gowtham, H.G.; Ramesh, A.M.; Rahdar, A.; Kyzas, G.Z. Competent antioxidant and antiglycation properties of zinc oxide nanoparticles (ZnO-NPs) phyto-fabricated from aqueous leaf extract of Boerhaaviaerecta L. Environ. Sci. Pollut. Res. 2023, 30, 56731–56742. [Google Scholar] [CrossRef]
- Osman, A.I.; Zhang, Y.; Farghali, M.; Rashwan, A.K.; Eltaweil, A.S.; El-Monaem, A.; Eman, M.; Mohamed, I.; Badr, M.M.; Ihara, I.; et al. Synthesis of green nanoparticles for energy, biomedical, environmental, agricultural, and food applications: A review. Environ. Chem. Lett. 2024, 22, 841–847. [Google Scholar] [CrossRef]
- Mahendra, C.; Murali, M.; Manasa, G.; Ponnamma, P.; Abhilash, M.R.; Lakshmeesha, T.R.; Satish, A.; Amruthesh, K.N.; Sudarshana, M.S. Antibacterial and antimitotic potential of bio-fabricated zinc oxide nanoparticles of Cochlospermumreligiosum (L.). Microb. Pathogen. 2017, 110, 620–629. [Google Scholar] [CrossRef]
- Raha, S.; Ahmaruzzaman, M. ZnO nanostructured materials and their potential applications: Progress, challenges and perspectives. Nanoscale Adv. 2022, 4, 1868–1925. [Google Scholar] [CrossRef]
- Ali, J.; Bibi, S.; Jatoi, W.B.; Tuzen, M.; Jakhrani, M.A.; Feng, X.; Saleh, T.A. Green synthesized zinc oxide nanostructures and their applications in dye-sensitized solar cells and photocatalysis: A review. Mater. Today Commun. 2023, 36, 106840. [Google Scholar] [CrossRef]
- Parihar, V.; Raja, M.; Paulose, R. A brief review of structural, electrical and electrochemical properties of zinc oxide nanoparticles. Rev. Adv. Mater. Sci. 2018, 53, 119–130. [Google Scholar] [CrossRef]
- Sha, R.; Basak, A.; Maity, P.C.; Badhulika, S. ZnO nano-structured based devices for chemical and optical sensing applications. Sen. Actuators Rep. 2022, 4, 100098. [Google Scholar] [CrossRef]
- Jha, S.; Rani, R.; Singh, S. Biogenic zinc oxide nanoparticles and their biomedical applications: A review. J. Inorg. Organomet. Polym. Mater. 2023, 33, 1437–1452. [Google Scholar] [CrossRef]
- Kalaimurugan, D.; Lalitha, K.; Durairaj, K.; Sivasankar, P.; Park, S.; Nithya, K.; Shivakumar, M.S.; Liu, W.C.; Balamuralikrishnan, B.; Venkatesan, S. Biogenic synthesis of ZnO nanoparticles mediated from Borassus flabellifer (Linn): Antioxidant, antimicrobial activity against clinical pathogens, and photocatalytic degradation activity with molecular modeling. Environ. Sci. Pollut. Res. 2022, 29, 86308–86319. [Google Scholar] [CrossRef] [PubMed]
- Murali, M.; Gowtham, H.G.; Shilpa, N.; Singh, S.B.; Aiyaz, M.; Sayyed, R.Z.; Shivamallu, C.; Achar, R.R.; Silina, E.; Stupin, V.; et al. Zinc oxide nanoparticles prepared through microbial mediated synthesis for therapeutic applications: A possible alternative for plants. Front. Microbiol. 2023, 14, 1227951. [Google Scholar] [CrossRef] [PubMed]
- Hosseingholian, S.K.A.; Gohari, S.D.; Feirahi, F.; Moammeri, F.; Mesbahian, G.; Moghaddam, Z.S.; Ren, Q. Recent advances in green synthesized nanoparticles: From production to application. Mater. Today Sustain. 2023, 24, 100500. [Google Scholar] [CrossRef]
- Al-darwesh, M.Y.; Ibrahim, S.S.; Mohammed, M.A. A Review on Plant extract mediated green synthesis of zinc oxide nanoparticles and their biomedical applications. Res. Chem. 2024, 7, 101368. [Google Scholar] [CrossRef]
- Anbuvannan, M.; Ramesh, M.; Viruthagiri, G.; Shanmugam, N.; Kannadasan, N.J.M.S. Anisochiluscarnosus leaf extract mediated synthesis of zinc oxide nanoparticles for antibacterial and photocatalytic activities. Mat. Sci. Semicond. Process. 2015, 39, 621–628. [Google Scholar] [CrossRef]
- Jayappa, M.D.; Ramaiah, C.K.; Kumar, M.A.P.; Suresh, D.; Prabhu, A.; Devasya, R.P.; Sheikh, S. Green synthesis of zinc oxide nanoparticles from the leaf, stem and in vitro grown callus of Mussaenda frondosa L.: Characterization and their applications. Appl. Nanosci. 2020, 10, 3057–3074. [Google Scholar] [CrossRef]
- Al-Radadi, N.S.; Faisal, S.; Alotaibi, A.; Ullah, R.; Hussain, T.; Rizwan, M.; Zaman, N.; Iqbal, M.; Iqbal, A.; Ali, Z. Zingiber officinale driven bioproduction of ZnO nanoparticles and their anti-inflammatory, anti-diabetic, anti-Alzheimer, anti-oxidant, and anti-microbial applications. Inorg. Chem. Commun. 2022, 140, 109274. [Google Scholar] [CrossRef]
- Nemati, S.; Hosseini, H.A.; Hashemzadeh, A.; Mohajeri, M.; Sabouri, Z.; Darroudi, M.; Oskuee, R.K. Cytotoxicity and photocatalytic applications of biosynthesized ZnO nanoparticles by Rheum turketanicum rhizome extract. Mater. Res. Exp. 2019, 6, 125016. [Google Scholar] [CrossRef]
- Kaliraj, L.; Ahn, J.C.; Rupa, E.J.; Abid, S.; Lu, J.; Yang, D.C. Synthesis of panos extract mediated ZnO nano-flowers as photocatalyst for industrial dye degradation by UV illumination. J. Photochem. Photobiol. B Biol. 2019, 199, 111588. [Google Scholar] [CrossRef]
- Rupa, E.J.; Kaliraj, L.; Abid, S.; Yang, D.C.; Jung, S.K. Synthesis of a zinc oxide nanoflowerphotocatalyst from sea buckthorn fruit for degradation of industrial dyes in wastewater treatment. Nanomaterials 2019, 9, 1692. [Google Scholar] [CrossRef] [PubMed]
- Anupama, C.; Kaphle, A.; Udayabhanu; Nagaraju, G. Aeglemarmelos assisted facile combustion synthesis of multifunctional ZnO nanoparticles: Study of their photoluminescence, photo catalytic and antimicrobial activities. J. Mat. Sci. Mat. Electron. 2018, 29, 4238–4249. [Google Scholar] [CrossRef]
- Kumar, J.U.; Krishna Chaitanya, M.J.; Semotiuk, A.J.; Krishna, V. Indigenous knowledge on medicinal plants used by ethnic communities of South India. Ethnobot. Res. Appl. 2019, 18, 1–112. Available online: https://ethnobotanyjournal.org/index.php/era/article/view/1291 (accessed on 10 October 2024).
- Albuquerque, J.B.L.D.; Silva, C.M.D.; Fernandes, D.A.; Souza, P.I.V.D.; Souza, M.D.F.V.D. Pavonia Cav. Species (Malvaceaesensulato) as source of new drugs: A review. Química Nova 2022, 45, 977–993. [Google Scholar] [CrossRef]
- Kumari, A.; Lalitha, K.G.; Venkatachalam, T.; Kalaiselvi, P.; Sethuraman, M.G. Anti-inflammatory and Antinociceptive activity of Pavonia zeylanica Linn. Asian J. Res. Pharm. Sci. 2011, 1, 113–116. [Google Scholar]
- Dhivya, S.M.; Kalaichelvi, K. Studies on Ethno-medicinal plants used by the Irulas tribes of Nellithurai Beat, Karamadai Range of Western Ghats, Tamil Nadu, India. Int. J. Chem. Pharmaceut. Sci. 2015, 3, 2116–2124. [Google Scholar]
- Murali, M.; Mahendra, C.; Nagabhushan; Rajashekar, N.; Sudarshana, M.S.; Raveesha, K.A.; Amruthesh, K.N. Antibacterial and antioxidant properties of biosynthesized zinc oxide nanoparticles from Ceropegia candelabrum L.—An endemic species. Spectrochim. Acta A Mol. Biomol. Spectrosc. 2017, 179, 104–109. [Google Scholar] [CrossRef]
- Dhananjay, P.; Abhilash, M.R.; Shilpa, N.; Hemanth Kumar, N.K.; Gowtham, H.G.; Aiyaz, M.; Brijesh Singh, S.; Malik, A.; Akhtar, S.; Murali, M. Solar irradiation driven catalytic dye degradation by novel biosynthesized zinc oxide nanoparticles (ZnO–NPs) from Barleriamysorensis: Kinetics, reusability and mineralization studies. J. Mol. Struct. 2024, 1303, 137549. [Google Scholar] [CrossRef]
- Chinnapaiyan, M.; Selvam, Y.; Bassyouni, F.; Ramu, M.; Sakkaraiveeranan, C.; Samickannian, A.; Govindan, G.; Palaniswamy, M.; Ramamurthy, U.; Abdel-Rehim, M. Nanotechnology, green synthesis and biological activity application of zinc oxide nanoparticles incorporated Argemonemexicana leaf extract. Molecules 2022, 27, 1545. [Google Scholar] [CrossRef]
- Nataraj, K.; Murali, M.; Satish, A.; Amruthesh, K.N. Structural characterization and biological properties of novel biosynthesized zinc oxide nanoparticles from the giant potato plant Ipomoea mauritiana Jacq. Biomass Convers. Bior. 2025, 15, 399–408. [Google Scholar] [CrossRef]
- Kegel, J.; Povey, I.M.; Pemble, M.E. Zinc oxide for solar water splitting: A brief review of the material’s challenges and associated opportunities. Nano Energy 2018, 54, 409–428. [Google Scholar] [CrossRef]
- Erhart, P.; Albe, K.; Klein, A. First-principles study of intrinsic point defects in ZnO: Role of band structure, volume relaxation, and finite-size effects. Phys. Rev. B Condens. Matter Mater. Phys. 2006, 73, 205203. [Google Scholar] [CrossRef]
- Alrajhi, A.H.; Ahmed, N.M.; Halim, M.M.; Altowyan, A.S.; Azmi, M.N.; Almessiere, M.A. Distinct optical and structural (nanoyarn and nanomat-like structure) characteristics of zinc oxide nanofilm derived by using Salvia officinalis leaves extract made without and with PEO polymer. Materials 2023, 16, 4510. [Google Scholar] [CrossRef] [PubMed]
- Khari, S.; Jamzad, M.; Kabiri Fard, H. Green synthesis of zinc oxide nanoparticles: A comparison. Green Chem. Lett. Rev. 2019, 12, 19–24. [Google Scholar] [CrossRef]
- Yadav, A.; Jangid, N.K.; Khan, A.U. Biogenic synthesis of ZnO nanoparticles from Evolvulus alsinoides plant extract. J. Umm. Al-Qura Univ. Appl. Sci. 2024, 10, 51–57. [Google Scholar] [CrossRef]
- Pillai, A.M.; Sivasankarapillai, V.S.; Rahdar, A.; Joseph, J.; Sadeghfar, F.; Rajesh, K.; Kyzas, G.Z. Green synthesis and characterization of zinc oxide nanoparticles with antibacterial and antifungal activity. J. Mol. Struct. 2020, 1211, 128107. [Google Scholar] [CrossRef]
- Chaudhuri, S.K.; Malodia, L. Biosynthesis of zinc oxide nanoparticles using leaf extract of Calotropis gigantea: Characterization and its evaluation on tree seedling growth in nursery stage. Appl. Nanosci. 2017, 7, 501–512. [Google Scholar] [CrossRef]
- Barzinjy, A.A.; Azeez, H.H. Green synthesis and characterization of zinc oxide nanoparticles using Eucalyptus globulus Labill. leaf extract and zinc nitrate hexahydrate salt. SN Appl. Sci. 2020, 2, 991. [Google Scholar] [CrossRef]
- Supin, K.K.; ParvathiNamboothiri, P.N.; Vasundhara, M. Enhanced photocatalytic activity in ZnO nanoparticles developed using novel Lepidagathis ananthapuramensis leaf extract. RSC Adv. 2023, 13, 1497–1515. [Google Scholar] [CrossRef]
- Abegunde, S.M.; Olasehinde, E.F.; Adebayo, M.A. Green synthesis of ZnO nanoparticles using Nauclea latifolia fruit extract for adsorption of Congo red. Hybrid Adv. 2024, 5, 100164. [Google Scholar] [CrossRef]
- Tanwar, N.; Dhiman, V.; Kumar, S.; Kondal, N. Plant extract mediated ZnO-NPs as photocatalyst for dye degradation: An overview. Mat. Today Proceed. 2022, 48, 1401–1406. [Google Scholar] [CrossRef]
- Ramesh, A.M.; Purushotham, D.; Kodandaram, A.; Shilpa, N.; Singh, S.B.; Aiyaz, M.; Gowtham, H.G.; Rahdar, A.; Kaviyarasu, K.; Murali, M. Visible light driven photocatalytic and competent antioxidant properties of phyto-fabricated zinc oxide nanoparticles (ZnO-NPs) from Borreriahispida. J. Mol. Struct. 2023, 1293, 136152. [Google Scholar] [CrossRef]
- Aliannezhadi, M.; Mirsanaee, S.Z.; Jamali, M.; ShariatmadarTehrani, F. The physical properties and photocatalytic activities of green synthesized ZnO nanostructures using different ginger extract concentrations. Sci. Rep. 2024, 14, 2035. [Google Scholar] [CrossRef] [PubMed]
- Khan, M.; Ware, P.; Shimpi, N. Synthesis of ZnO nanoparticles using peels of Passiflorafoetida and study of its activity as an efficient catalyst for the degradation of hazardous organic dye. SN Appl. Sci. 2021, 3, 528. [Google Scholar] [CrossRef]
- SaadAlgarni, T.; Abduh, N.A.; Al Kahtani, A.; Aouissi, A. Photocatalytic degradation of some dyes under solar light irradiation using ZnO nanoparticles synthesized from Rosmarinus officinalis extract. Green Chem. Lett. Rev. 2022, 15, 460–473. [Google Scholar] [CrossRef]
- Singh, K.; Singh, J.; Rawat, M. Green synthesis of zinc oxide nanoparticles using Punica granatum leaf extract and its application towards photocatalytic degradation of Coomassie brilliant blue R-250 dye. SN Appl. Sci. 2019, 1, 624. [Google Scholar] [CrossRef]
- Kader, D.A.; Rashid, S.O.; Omer, K.M. Green nanocomposite: Fabrication, characterization, and photocatalytic application of vitamin C adduct-conjugated ZnO nanoparticles. RSC Adv. 2023, 13, 9963–9977. [Google Scholar] [CrossRef] [PubMed]
- Shinde, S.S.; Shinde, P.S.; Bhosale, C.H.; Rajpure, K.Y. Zinc oxide mediated heterogeneous photocatalytic degradation of organic species under solar radiation. J. Photochem. Photobiol. B Biol. 2011, 104, 425–433. [Google Scholar] [CrossRef]
- Venkatesan, S.; Suresh, S.; Arumugam, J.; Ramu, P.; Pugazhenthiran, N.; Jothilakshmi, R.; Prabu, K.M. Sunlight assisted degradation of methylene blue dye by zinc oxide nanoparticles green synthesized using Vitex negundo plant leaf extract. Results Chem. 2024, 7, 101315. [Google Scholar] [CrossRef]
- Venkatesan, S.; Suresh, S.; Ramu, P.; Arumugam, J.; Thambidurai, S.; Pugazhenthiran, N. Methylene blue dye degradation potential of zinc oxide nanoparticles bioreduced using Solanumtrilobatum leaf extract. Results Chem. 2022, 4, 100637. [Google Scholar] [CrossRef]
- Batra, V.; Kaur, I.; Pathania, D.; Chaudhary, V. Efficient dye degradation strategies using green synthesized ZnO-based nanoplatforms: A review. Appl. Surf. Sci. Adv. 2022, 11, 100314. [Google Scholar] [CrossRef]
- Qumar, U.; Hassan, J.Z.; Bhatti, R.A.; Raza, A.; Nazir, G.; Nabgan, W.; Ikram, M. Photocatalysis vs adsorption by metal oxide nanoparticles. J. Mater. Sci. Technol. 2022, 131, 122–166. [Google Scholar] [CrossRef]
- Kamalian, P.; Khorasani, S.N.; Abdolmaleki, A.; Karevan, M.; Khalili, S.; Shirani, M.; Neisiany, R.E. Toward the development of polyethylene photocatalytic degradation. J. Polym. Eng. 2020, 40, 181–191. [Google Scholar] [CrossRef]
- Zhang, Y.; Zhou, B.; Chen, H.; Yuan, R. Heterogeneous photocatalytic oxidation for the removal of organophosphorus pollutants from aqueous solutions: A review. Sci. Total Environ. 2023, 856, 159048. [Google Scholar] [CrossRef]







Disclaimer/Publisher’s Note: The statements, opinions and data contained in all publications are solely those of the individual author(s) and contributor(s) and not of MDPI and/or the editor(s). MDPI and/or the editor(s) disclaim responsibility for any injury to people or property resulting from any ideas, methods, instructions or products referred to in the content. |
© 2025 by the authors. Licensee MDPI, Basel, Switzerland. This article is an open access article distributed under the terms and conditions of the Creative Commons Attribution (CC BY) license (https://creativecommons.org/licenses/by/4.0/).
Share and Cite
Purushotham, D.; Mavinakere Ramesh, A.; Shetty Thimmappa, D.; Kalegowda, N.; Hittanahallikoppal Gajendramurthy, G.; Kollur, S.P.; Mahadevamurthy, M. Green Synthesis of Zinc Oxide Nanoparticles Using Aqueous Extract of Pavonia zeylanica to Mediate Photocatalytic Degradation of Methylene Blue: Studies on Reaction Kinetics, Reusability and Mineralization. Int. J. Mol. Sci. 2025, 26, 4739. https://doi.org/10.3390/ijms26104739
Purushotham D, Mavinakere Ramesh A, Shetty Thimmappa D, Kalegowda N, Hittanahallikoppal Gajendramurthy G, Kollur SP, Mahadevamurthy M. Green Synthesis of Zinc Oxide Nanoparticles Using Aqueous Extract of Pavonia zeylanica to Mediate Photocatalytic Degradation of Methylene Blue: Studies on Reaction Kinetics, Reusability and Mineralization. International Journal of Molecular Sciences. 2025; 26(10):4739. https://doi.org/10.3390/ijms26104739
Chicago/Turabian StylePurushotham, Dhananjay, Abhilash Mavinakere Ramesh, Divakara Shetty Thimmappa, Nataraj Kalegowda, Gowtham Hittanahallikoppal Gajendramurthy, Shiva Prasad Kollur, and Murali Mahadevamurthy. 2025. "Green Synthesis of Zinc Oxide Nanoparticles Using Aqueous Extract of Pavonia zeylanica to Mediate Photocatalytic Degradation of Methylene Blue: Studies on Reaction Kinetics, Reusability and Mineralization" International Journal of Molecular Sciences 26, no. 10: 4739. https://doi.org/10.3390/ijms26104739
APA StylePurushotham, D., Mavinakere Ramesh, A., Shetty Thimmappa, D., Kalegowda, N., Hittanahallikoppal Gajendramurthy, G., Kollur, S. P., & Mahadevamurthy, M. (2025). Green Synthesis of Zinc Oxide Nanoparticles Using Aqueous Extract of Pavonia zeylanica to Mediate Photocatalytic Degradation of Methylene Blue: Studies on Reaction Kinetics, Reusability and Mineralization. International Journal of Molecular Sciences, 26(10), 4739. https://doi.org/10.3390/ijms26104739

