Silk-Corn Zein Alloy Materials: Influence of Silk Types (Mori, Thai, Muga, Tussah, and Eri) on the Structure, Properties, and Functionality of Insect–Plant Protein Blends
Abstract
1. Introduction
2. Results and Discussion
2.1. Structural Analysis
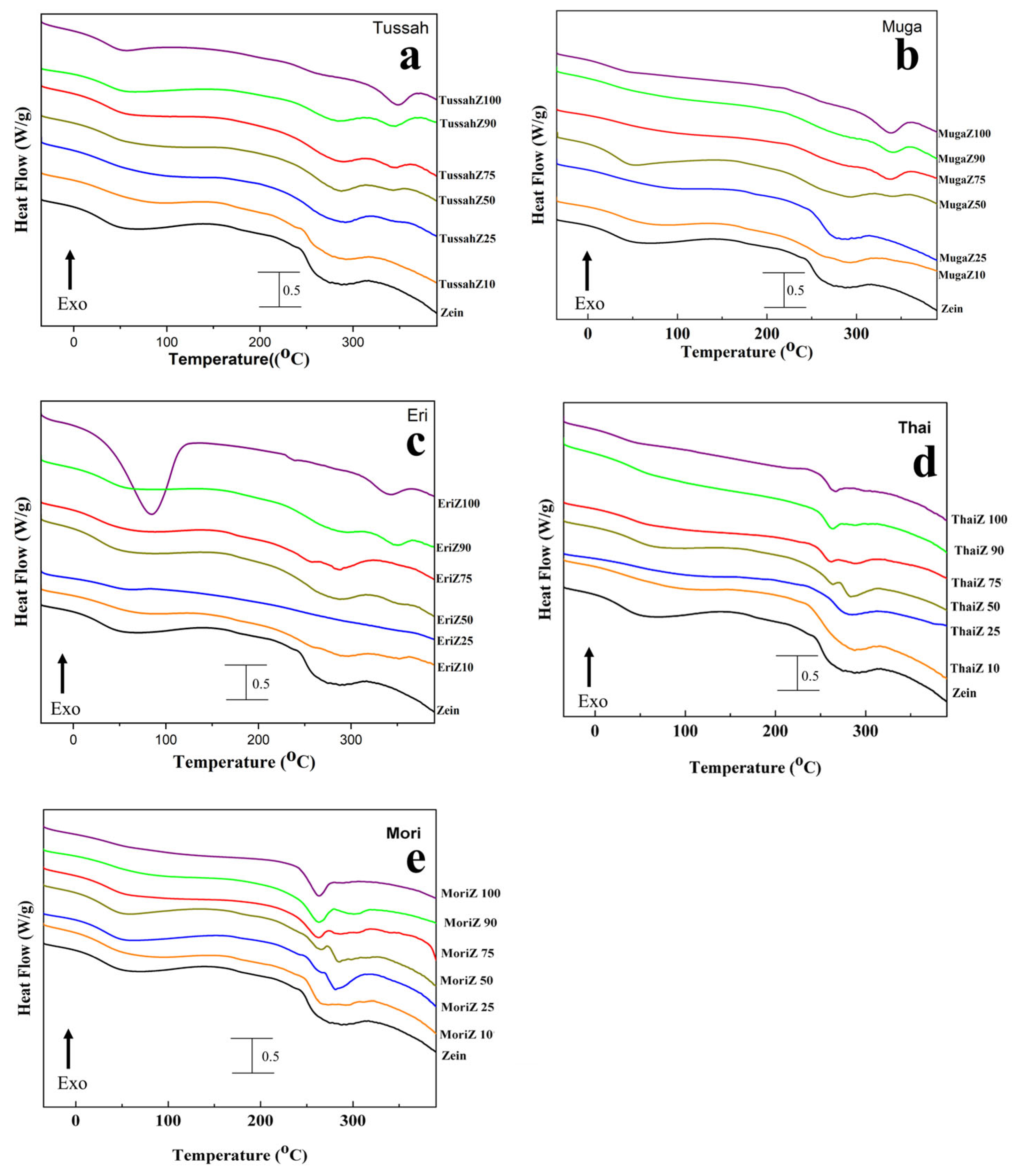
2.2. Thermal Analysis
2.3. Morphological Analysis
2.4. Mechanism of Interaction in the Silk–Zein Blends
3. Materials and Methods
3.1. Preparation of Materials
3.2. Fourier Transform Infrared Spectrometry (FTIR)
3.3. Scanning Electron Microscopy (SEM)
3.4. Temperature-Modulated Differential Scanning Calorimetry (TM-DSC)
4. Conclusions
Author Contributions
Funding
Institutional Review Board Statement
Informed Consent Statement
Data Availability Statement
Conflicts of Interest
References
- Liu, Q.; Wang, F.; Gu, Z.; Ma, Q.; Hu, X. Exploring the Structural Transformation Mechanism of Chinese and Thailand Silk Fibroin Fibers and Formic-Acid Fabricated Silk Films. Int. J. Mol. Sci. 2018, 19, 3309. [Google Scholar] [CrossRef] [PubMed]
- Zhang, Y.; Li, W.-Y.; Lan, R.; Wang, J.-Y. Quality Monitoring of Porous Zein Scaffolds: A Novel Biomaterial. Engineering 2017, 3, 130–135. [Google Scholar] [CrossRef]
- Liu, X.; Souzandeh, H.; Zheng, Y.; Xie, Y.; Zhong, W.-H.; Wang, C. Soy protein isolate/bacterial cellulose composite membranes for high efficiency particulate air filtration. Compos. Sci. Technol. 2017, 138, 124–133. [Google Scholar] [CrossRef]
- Waterhouse, A.; Wise, S.G.; Ng, M.K.C.; Weiss, A.S. Elastin as a Nonthrombogenic Biomaterial. Tissue Eng. Part B Rev. 2011, 17, 93–99. [Google Scholar] [CrossRef]
- Ramirez, D.O.S.; Carletto, R.A.; Tonetti, C.; Giachet, F.T.; Varesano, A.; Vineis, C. Wool keratin film plasticized by citric acid for food packaging. Food Packag. Shelf Life 2017, 12, 100–106. [Google Scholar] [CrossRef]
- Hu, X.; Raja, W.K.; An, B.; Tokareva, O.; Cebe, P.; Kaplan, D.L. Stability of Silk and Collagen Protein Materials in Space. Sci. Rep. 2013, 3, 3428. [Google Scholar] [CrossRef] [PubMed]
- Blessing, B.; Trout, C.; Morales, A.; Rybacki, K.; Love, S.A.; Lamoureux, G.; O’Malley, S.M.; Hu, X.; Salas-de la Cruz, D. Morphology and ionic conductivity relationship in silk/cellulose biocomposites. Polym. Int. 2019, 68, 1580–1590. [Google Scholar] [CrossRef]
- Sutherland, T.D.; Young, J.H.; Weisman, S.; Hayashi, C.Y.; Merritt, D.J. Insect Silk: One Name, Many Materials. Annu. Rev. Entomol. 2010, 55, 171–188. [Google Scholar] [CrossRef] [PubMed]
- Sousa, F.F.O.; Luzardo-Álvarez, A.; Blanco-Méndez, J.; Otero-Espinar, F.J.; Martín-Pastor, M.; Sández Macho, I. Use of 1H NMR STD, WaterLOGSY, and Langmuir monolayer techniques for characterization of drug–zein protein complexes. Eur. J. Pharm. Biopharm. 2013, 85, 790–798. [Google Scholar] [CrossRef] [PubMed]
- Paliwal, R.; Palakurthi, S. Zein in controlled drug delivery and tissue engineering. J. Control. Release 2014, 189, 108–122. [Google Scholar] [CrossRef] [PubMed]
- Argos, P.; Pedersen, K.; Marks, M.D.; Larkins, B.A. A structural model for maize zein proteins. J. Biol. Chem. 1982, 257, 9984–9990. [Google Scholar] [CrossRef] [PubMed]
- Matsushima, N.; Danno, G.-I.; Takezawa, H.; Izumi, Y. Three-dimensional structure of maize α-zein proteins studied by small-angle X-ray scattering. Biochim. Biophys. Acta (BBA)/Protein Struct. Mol. Enzymol. 1997, 1339, 14–22. [Google Scholar] [CrossRef]
- Matsuda, Y.; Suzuki, T.; Sato, E.; Sato, M.; Koizumi, S.; Unno, K.; Kato, T.; Nakai, K. Novel Preparation of Zein Microspheres Conjugated with PS-K Available for Cancer Immunotherapy. Chem. Pharm. Bull. 1989, 37, 757–759. [Google Scholar] [CrossRef] [PubMed]
- Suzuki, T.; Sato, E.; Matsuda, Y.; Tada, H.; Unno, K.; Kato, T. Preparation of Zein Microspheres Conjugated with Antitumor Drugs Available for Selective Cancer Chemotherapy and Development of a Simple Colorimetric Determination of Drugs in Microspheres. Chem. Pharm. Bull. 1989, 37, 1051–1054. [Google Scholar] [CrossRef] [PubMed]
- Fu, J.-X.; Wang, H.-J.; Zhou, Y.-Q.; Wang, J.-Y. Antibacterial activity of ciprofloxacin-loaded zein microsphere films. Mater. Sci. Eng. C 2009, 29, 1161–1166. [Google Scholar] [CrossRef]
- Liu, X.; Sun, Q.; Wang, H.; Zhang, L.; Wang, J.-Y. Microspheres of corn protein, zein, for an ivermectin drug delivery system. Biomaterials 2005, 26, 109–115. [Google Scholar] [CrossRef]
- Jiang, Q.; Yang, Y. Water-Stable Electrospun Zein Fibers for Potential Drug Delivery. J. Biomater. Sci. Polym. Ed. 2011, 22, 1393–1408. [Google Scholar] [CrossRef] [PubMed]
- Kamath, K.R.; Park, K. Biodegradable hydrogels in drug delivery. Adv. Drug Deliv. Rev. 1993, 11, 59–84. [Google Scholar] [CrossRef]
- Corradini, E.; Souto De Medeiros, E.; Carvalho, A.J.F.; Curvelo, A.A.S.; Mattoso, L.H.C. Mechanical and morphological characterization of starch/zein blends plasticized with glycerol. J. Appl. Polym. Sci. 2006, 101, 4133–4139. [Google Scholar] [CrossRef]
- Huang, W.; Zou, T.; Li, S.; Jing, J.; Xia, X.; Liu, X. Drug-Loaded Zein Nanofibers Prepared Using a Modified Coaxial Electrospinning Process. AAPS PharmSciTech 2013, 14, 675–681. [Google Scholar] [CrossRef] [PubMed]
- Yao, C.; Li, X.; Song, T.; Li, Y.; Pu, Y. Biodegradable nanofibrous membrane of zein/silk fibroin by electrospinning. Polym. Int. 2009, 58, 396–402. [Google Scholar] [CrossRef]
- Rudall, K.M.; Kenchington, W. Arthropod Silks: The Problem of Fibrous Proteins in Animal Tissues. Annu. Rev. Entomol. 1971, 16, 73–96. [Google Scholar] [CrossRef]
- Lucas, F.; Rudall, K.M. Extracellular fibrous proteins: The silks. Compr. Biochem. 1968, 26, 475–558. [Google Scholar]
- Hu, X.; Duki, S.; Forys, J.; Hettinger, J.; Buchicchio, J.; Dobbins, T.; Yang, C. Designing Silk-silk Protein Alloy Materials for Biomedical Applications. J. Vis. Exp. 2014, 90, e50891. [Google Scholar] [CrossRef]
- Wool, R.; Sun, X.S. Bio-Based Polymers and Composites; Elsevier Science: Amsterdam, The Netherlands, 2011. [Google Scholar]
- Fox, D.; Fylstra, P.; Hanley, M.; Henderson, W.A.; Trulove, P.C.; Bellayer, S.; Gilman, J.; De Long, H.C. The Preparation and Characterization of Bombyx Mori Silk Nanocomposites Using Ionic Liquids. ECS Trans. 2007, 3, 11. [Google Scholar] [CrossRef]
- Hu, X.; Cebe, P.; Weiss, A.S.; Omenetto, F.; Kaplan, D.L. Protein-based composite materials. Mater. Today 2012, 15, 208–215. [Google Scholar] [CrossRef]
- Defrates, K.; Markiewicz, T.; Callaway, K.; Xue, Y.; Stanton, J.; Salas-de La Cruz, D.; Hu, X. Structure–property relationships of Thai silk–microcrystalline cellulose biocomposite materials fabricated from ionic liquid. Int. J. Biol. Macromol. 2017, 104, 919–928. [Google Scholar] [CrossRef]
- Kundu, S.C.; Kundu, B.; Talukdar, S.; Bano, S.; Nayak, S.; Kundu, J.; Mandal, B.B.; Bhardwaj, N.; Botlagunta, M.; Dash, B.C.; et al. Nonmulberry silk biopolymers. Biopolymers 2012, 97, 455–467. [Google Scholar] [CrossRef]
- Hardy, J.G.; Römer, L.M.; Scheibel, T.R. Polymeric materials based on silk proteins. Polymer 2008, 49, 4309–4327. [Google Scholar] [CrossRef]
- Inoue, S.; Tanaka, K.; Arisaka, F.; Kimura, S.; Ohtomo, K.; Mizuno, S. Silk fibroin of Bombyx mori is secreted, assembling a high molecular mass elementary unit consisting of H-chain, L-chain, and P25, with a 6:6:1 molar ratio. J. Biol. Chem. 2000, 275, 40517–40528. [Google Scholar] [CrossRef] [PubMed]
- Zhuang, X.; Zhu, H.; Wang, F.; Hu, X. Revolutionizing wild silk fibers: Ultrasound enhances structure, properties, and regenerability of protein biomaterials in ionic liquids. Ultrason. Sonochem. 2024, 109, 107018. [Google Scholar] [CrossRef] [PubMed]
- Gogoi, D.; Choudhury, A.; Chutia, J.; Pal, A.; Dass, N.; Devi, D.; Patil, D. Enhancement of hydrophobicity and tensile strength of muga silk fiber by radiofrequency Ar plasma discharge. Appl. Surf. Sci. 2011, 258, 126–135. [Google Scholar] [CrossRef]
- Dutta, S.; Talukdar, B.; Bharali, R.; Rajkhowa, R.; Devi, D. Fabrication and characterization of biomaterial film from gland silk of muga and eri silkworms. Biopolymers 2013, 99, 326–333. [Google Scholar] [CrossRef] [PubMed]
- Ghalei, S.; Douglass, M.; Handa, H. Nitric Oxide-Releasing Nanofibrous Scaffolds Based on Silk Fibroin and Zein with Enhanced Biodegradability and Antibacterial Properties. ACS Biomater. Sci. Eng. 2022, 8, 3066–3077. [Google Scholar] [CrossRef] [PubMed] [PubMed Central]
- Zhang, F.; Lu, Q.; Yue, X.; Zuo, B.; Qin, M.; Li, F.; Kaplan, D.L.; Zhang, X. Regeneration of high-quality silk fibroin fiber by wet spinning from CaCl2–formic acid solvent. Acta Biomater. 2015, 12, 139–145. [Google Scholar] [CrossRef]
- Wang, F.; Yu, H.-Y.; Gu, Z.-G.; Si, L.; Liu, Q.-C.; Hu, X. Impact of calcium chloride concentration on structure and thermal property of Thai silk fibroin films. J. Therm. Anal. Calorim. 2017, 130, 851–859. [Google Scholar] [CrossRef]
- Corradini, E.; Curti, P.S.; Meniqueti, A.B.; Martins, A.F.; Rubira, A.F.; Muniz, E.C. Recent advances in food-packing, pharmaceutical and biomedical applications of zein and zein-based materials. Int. J. Mol. Sci. 2014, 15, 22438. [Google Scholar] [CrossRef] [PubMed] [PubMed Central]
- Gillgren, T.; Barker, S.A.; Belton, P.S.; Georget, D.M.R.; Stading, M. Plasticization of Zein: A Thermomechanical, FTIR, and Dielectric Study. Biomacromolecules 2009, 10, 1135–1139. [Google Scholar] [CrossRef]
- Hu, X.; Kaplan, D.; Cebe, P. Determining Beta-Sheet Crystallinity in Fibrous Proteins by Thermal Analysis and Infrared Spectroscopy. Macromolecules 2006, 39, 6161–6170. [Google Scholar] [CrossRef]
- Xue, Y.; Wang, F.; Torculas, M.; Lofland, S.; Hu, X. Formic Acid Regenerated Mori, Tussah, Eri, Thai, and Muga Silk Materials: Mechanism of Self-Assembly. ACS Biomater. Sci. Eng. 2019, 5, 6361–6373. [Google Scholar] [CrossRef] [PubMed]
- Wang, F.; Wolf, N.; Rocks, E.-M.; Vuong, T.; Hu, X. Comparative studies of regenerated water-based Mori, Thai, Eri, Muga and Tussah silk fibroin films. J. Therm. Anal. Calorim. 2015, 122, 1069–1076. [Google Scholar] [CrossRef]
- Hu, X.; Lu, Q.; Sun, L.; Cebe, P.; Wang, X.; Zhang, X.; Kaplan, D.L. Biomaterials from ultrasonication-induced silk fibroin-hyaluronic acid hydrogels. Biomacromolecules 2010, 11, 3178–3188. [Google Scholar] [CrossRef] [PubMed]
- Zhang, J.; Rajkhowa, R.; Li, J.L.; Liu, X.Y.; Wang, X.G. Silkworm cocoon as natural material and structure for thermal insulation. Mater. Des. 2013, 49, 842–849. [Google Scholar] [CrossRef]
- Goormaghtigh, E.; Cabiaux, V.; Ruysschaert, J.M. Secondary structure and dosage of soluble and membrane proteins by attenuated total reflection Fourier-transform infrared spectroscopy on hydrated films. Eur. J. Biochem. 1990, 193, 409–420. [Google Scholar] [CrossRef]
- Dong, A.; Huang, P.; Caughey, W.S. Protein secondary structures in water from second-derivative amide I infrared spectra. Biochemistry 1990, 29, 3303–3308. [Google Scholar] [CrossRef] [PubMed]
- Mouro, C.; Jung, C.; Bondon, A.; Simonneaux, G. Comparative Fourier transform infrared studies of the secondary structure and the CO heme ligand environment in cytochrome P-450cam and cytochrome P-420cam. Biochemistry 1997, 36, 8125–8134. [Google Scholar] [CrossRef]
- DeFrates, K.; Markiewicz, T.; Xue, Y.; Callaway, K.; Gough, C.; Moore, R.; Bessette, K.; Mou, X.; Hu, X. Air-jet spinning corn zein protein nanofibers for drug delivery: Effect of biomaterial structure and shape on release properties. Mater. Sci. Eng. C 2021, 118, 111419. [Google Scholar] [CrossRef] [PubMed]
- Xue, Y.; Jao, D.; Hu, W.; Hu, X. Silk-silk blend materials: A comparative study of Mori-Tussah, Mori-Muga, Mori-Eri, and Mori-Thai silk films. J. Therm. Anal. Calorim. 2017, 127, 915–921. [Google Scholar] [CrossRef]
- Reddy, M.S.B.; Ponnamma, D.; Choudhary, R.; Sadasivuni, K.K. A Comparative Review of Natural and Synthetic Biopolymer Composite Scaffolds. Polymers 2021, 13, 1105. [Google Scholar] [CrossRef] [PubMed] [PubMed Central]









| Sample | Silk Composition /wt% | Tg/°C | Degradation 1 Td/°C | Degradation 2 Td/°C | Reference |
|---|---|---|---|---|---|
| TussahZ 100 | 100 | 233.9 | 348.7 | N/A | [41] |
| TussahZ 90 | 90 | 179.9 | 294.1 | 344.5 | |
| TussahZ 75 | 75 | 178.6 | 290.8 | 346.4 | |
| TussahZ 50 | 50 | 177.6 | 289.2 | 346.4 | |
| TussahZ 25 | 25 | 177.4 | 287.5 | 346.4 | |
| TussahZ 10 | 10 | 177.2 | 280.69 | 344.8 | |
| MugaZ 100 | 100 | 214.7 | 341.3 | N/A | [41] |
| MugaZ 90 | 90 | 195.3 | 275.9 | 341.9 | |
| MugaZ 75 | 75 | 189.5 | 288.3 | 339.3 | |
| MugaZ 50 | 50 | 182.9 | 291.1 | 339.8 | |
| MugaZ 25 | 25 | 180.8 | 277.8 | N/A | |
| MugaZ 10 | 10 | 178.9 | 266.3 | 291.8 | |
| EriZ 100 | 100 | 238.1 | 346.2 | N/A | [41] |
| EriZ 90 | 90 | 185.3 | 294.1 | 349.3 | |
| EriZ 75 | 75 | 180.8 | 290.1 | N/A | |
| EriZ 50 | 50 | 178.9 | 287.5 | 350.6 | |
| EriZ 25 | 25 | 177.1 | 288.7 | 351.5 | |
| EriZ 10 | 10 | 174.1 | 287.3 | 353.4 | |
| ThaiZ 100 | 100 | 217.3 | 265.2 | N/A | [41] |
| ThaiZ 90 | 90 | 202.3 | 268.1 | N/A | |
| ThaiZ 75 | 75 | 194.2 | 268.3 | 288.2 | |
| ThaiZ 50 | 50 | 183.5 | 270.1 | 284.8 | |
| ThaiZ 25 | 25 | 176.8 | 283.5 | N/A | |
| ThaiZ 10 | 10 | 176.8 | 282.3 | N/A | |
| MoriZ 100 | 100 | 183.9 | 261.4 | N/A | [41] |
| MoriZ 90 | 90 | 183.1 | 263.3 | 298.3 | |
| MoriZ 75 | 75 | 182.1 | 265.4 | 289.8 | |
| MoriZ 50 | 50 | 181.3 | 268.3 | 285.1 | |
| MoriZ 25 | 25 | 180.1 | 262.1 | 283.0 | |
| MoriZ 10 | 10 | 179.2 | 249.1 | 278.8 | |
| Zein | 0 | 171.2 | 273.3 | 277.7 | [48] |
Disclaimer/Publisher’s Note: The statements, opinions and data contained in all publications are solely those of the individual author(s) and contributor(s) and not of MDPI and/or the editor(s). MDPI and/or the editor(s) disclaim responsibility for any injury to people or property resulting from any ideas, methods, instructions or products referred to in the content. |
© 2024 by the authors. Licensee MDPI, Basel, Switzerland. This article is an open access article distributed under the terms and conditions of the Creative Commons Attribution (CC BY) license (https://creativecommons.org/licenses/by/4.0/).
Share and Cite
Poluri, N.; Gough, C.R.; Sanderlin, S.; Velardo, C.; Barca, A.; Pinto, J.; Perrotta, J.; Cohen, M.; Hu, X. Silk-Corn Zein Alloy Materials: Influence of Silk Types (Mori, Thai, Muga, Tussah, and Eri) on the Structure, Properties, and Functionality of Insect–Plant Protein Blends. Int. J. Mol. Sci. 2025, 26, 186. https://doi.org/10.3390/ijms26010186
Poluri N, Gough CR, Sanderlin S, Velardo C, Barca A, Pinto J, Perrotta J, Cohen M, Hu X. Silk-Corn Zein Alloy Materials: Influence of Silk Types (Mori, Thai, Muga, Tussah, and Eri) on the Structure, Properties, and Functionality of Insect–Plant Protein Blends. International Journal of Molecular Sciences. 2025; 26(1):186. https://doi.org/10.3390/ijms26010186
Chicago/Turabian StylePoluri, Nagireddy, Christopher R. Gough, Steven Sanderlin, Christopher Velardo, Anthony Barca, Joseph Pinto, Joseph Perrotta, Maxwell Cohen, and Xiao Hu. 2025. "Silk-Corn Zein Alloy Materials: Influence of Silk Types (Mori, Thai, Muga, Tussah, and Eri) on the Structure, Properties, and Functionality of Insect–Plant Protein Blends" International Journal of Molecular Sciences 26, no. 1: 186. https://doi.org/10.3390/ijms26010186
APA StylePoluri, N., Gough, C. R., Sanderlin, S., Velardo, C., Barca, A., Pinto, J., Perrotta, J., Cohen, M., & Hu, X. (2025). Silk-Corn Zein Alloy Materials: Influence of Silk Types (Mori, Thai, Muga, Tussah, and Eri) on the Structure, Properties, and Functionality of Insect–Plant Protein Blends. International Journal of Molecular Sciences, 26(1), 186. https://doi.org/10.3390/ijms26010186

