Advancements in Synthetic Strategies and Biological Effects of Ciprofloxacin Derivatives: A Review
Abstract
1. Introduction
2. Modification of Ciprofloxacin Structure
| Type of Modifications | Outcomes | Bibliography |
|---|---|---|
| Modification of the C-3 carboxylic acid group | Induced apoptosis in cancerous estrogen-negative cells (MDA-MB-231) | [40] |
| Anti-MRSA activity decreased dramatically (MIC: >201 μg/mL) | [41] | |
| The introduction of an ester group (methyl, ethyl, or propyl ester) in place of the original carboxyl group of ciprofloxacin may have greater penetration and higher efficacy in the treatment of bacterial infections of skin and soft tissues and consequently have substantial potential for the clinical treatment of MRSA and MSSA infection | [42] | |
| Substitution of the carboxylic group of the quinolones by 1,2,4-triazolyl, 1,3,4-oxadiazolyl, a-amino ester or hydrazide derivatives of aldehyde sugars do not influence the antibacterial activity | [43] | |
| Modification of the C-7 position | Has shown remarkably broad cytotoxicity against cancer cells HT29, HCT116, and SW620, rivaling or even surpassing the effect of cisplatin. It has the potential to enhance obesity treatment by inhibiting fat absorption throughout the gastrointestinal tract | [44] |
| Suppression of SARS-CoV-2 viral replication and the virus’s M proenzyme both in vitro and in silico in a dose-dependent manner | [24] | |
| Displays significant cytotoxic activity against U-87 and MCF-7 cancer cell lines | [45] | |
| Enhances the antibacterial activity and influences the interaction with the enzyme DNA gyrase | [46] | |
| Showed high antiproliferative activities against prostate PC3 cancer cells | [47] | |
| Demonstrated comparable or superior antibacterial activity compared to ciprofloxacin against A. baumannii and B. cereus 138® | [48] |
3. Biological Activities of Ciprofloxacin Derivatives
3.1. Antibacterial Activity
3.2. Anticancer
3.3. Antiviral
3.4. Antimalarial Activity
4. Conclusions and Future Directions
Author Contributions
Funding
Institutional Review Board Statement
Informed Consent Statement
Data Availability Statement
Conflicts of Interest
References
- Kanth, S.; Malgar Puttaiahgowda, Y.; Gupta, S.T.S. Recent advancements and perspective of ciprofloxacin-based antimicrobial polymers. J. Biomater. Sci. Polym. Ed. 2023, 34, 918–949. [Google Scholar] [CrossRef]
- Marei, N.; Elwahy, A.H.M.; Salah, T.A.; El Sherif, Y.; El-Samie, E.A. Enhanced antibacterial activity of Egyptian local insects’ chitosan-based nanoparticles loaded with ciprofloxacin-HCl. Int. J. Biol. Macromol. 2019, 126, 262–272. [Google Scholar] [CrossRef]
- Cacicedo, M.L.; Pacheco, G.; Islan, G.A.; Alvarez, V.A.; Barud, H.S.; Castro, G.R. Chitosan-bacterial cellulose patch of ciprofloxacin for wound dressing: Preparation and characterization studies. Int. J. Biol. Macromol. 2020, 147, 1136–1145. [Google Scholar] [CrossRef] [PubMed]
- Zhang, G.F.; Liu, X.; Zhang, S.; Pan, B.; Liu, M.L. Ciprofloxacin derivatives and their antibacterial activities. Eur. J. Med. Chem. 2018, 146, 599–612. [Google Scholar] [CrossRef] [PubMed]
- Emami, S.; Abbas, F.; Alireza, S. Quinolones: Recent structural and clinical developments. Iran. J. Pharm. Res. 2011, 3, 123–136. [Google Scholar]
- Sharma, P.C.; Jain, A.; Jain, S.; Pahwa, R.; Yar, M.S. Ciprofloxacin: Review on developments in synthetic, analytical, and medicinal aspects. J. Enzym. Inhib. Med. Chem. 2010, 25, 577–589. [Google Scholar] [CrossRef]
- Contardi, M.; Heredia-Guerrero, J.A.; Perotto, G.; Valentini, P.; Pompa, P.P.; Spanò, R.; Goldoni, L.; Bertorelli, R.; Athanassiou, A.; Bayer, I.S. Transparent ciprofloxacin-povidone antibiotic films and nanofiber mats as potential skin and wound care dressings. Eur. J. Pharm. Sci. 2017, 104, 133–144. [Google Scholar] [CrossRef] [PubMed]
- Ayati Najafabadi, S.A.; Shirazaki, P.; Zargar Kharazi, A.; Varshosaz, J.; Tahriri, M.; Tayebi, L. Evaluation of sustained ciprofloxacin release of biodegradable electrospun gelatin/poly(glycerol sebacate) mat membranes for wound dressing applications. Asia-Pac. J. Chem. Eng. 2018, 13, e2255. [Google Scholar] [CrossRef]
- Roy, D.C.; Tomblyn, S.; Burmeister, D.M.; Wrice, N.L.; Becerra, S.C.; Burnett, L.R.; Saul, J.M.; Christy, R.J. Ciprofloxacin-Loaded Keratin Hydrogels Prevent Pseudomonas aeruginosa Infection and Support Healing in a Porcine Full-Thickness Excisional Wound. Adv. Wound Care 2015, 4, 457–468. [Google Scholar] [CrossRef]
- Bisacchi, G.S. Origins of the Quinolone Class of Antibacterials: An Expanded “Discovery Story”. J. Med. Chem. 2015, 58, 4874–4882. [Google Scholar] [CrossRef]
- Coba-Males, M.A.; Lavecchia, M.J.; Alcívar-León, C.D.; Santamaría-Aguirre, J. Novel Fluoroquinolones with Possible Antibacterial Activity in Gram-Negative Resistant Pathogens: In Silico Drug Discovery. Molecules 2023, 28, 6929. [Google Scholar] [CrossRef] [PubMed]
- Dhiman, P.; Arora, N.; Thanikachalam, P.V.; Monga, V. Recent advances in the synthetic and medicinal perspective of quinolones: A review. Bioorg. Chem. 2019, 92, 103291. [Google Scholar] [CrossRef] [PubMed]
- Chen, H.; Xing, X.; Tan, H.; Jia, Y.; Zhou, T.; Chen, Y.; Ling, Z.; Hu, X. Covalently antibacterial alginate-chitosan hydrogel dressing integrated gelatin microspheres containing tetracycline hydrochloride for wound healing. Mater. Sci. Eng. C 2017, 70, 287–295. [Google Scholar] [CrossRef] [PubMed]
- Evranos, B.; Aycan, D.; Alemdar, N. Production of ciprofloxacin loaded chitosan/gelatin/bone ash wound dressing with improved mechanical properties. Carbohydr. Polym. 2019, 222, 115007. [Google Scholar] [CrossRef]
- Knoll, K.E.; Lindeque, Z.; Adeniji, A.A.; Oosthuizen, C.B.; Lall, N.; Loots, D.T. Elucidating the antimycobacterial mechanism of action of decoquinate derivative rmb041 using metabolomics. Microorganisms 2021, 9, 1158. [Google Scholar] [CrossRef] [PubMed]
- Mohammed, H.H.H.; Abdelhafez, E.S.M.N.; Abbas, S.H.; Moustafa, G.A.I.; Hauk, G.; Berger, J.M.; Mitarari, S.; Arai, M.; Abde El-Baky, R.M.; Abuo-Rahma, G.E.A. Design, synthesis and molecular docking of new N-4-piperazinyl ciprofloxacin-triazole hybrids with potential antimicrobial activity. Bioorg. Chem. 2019, 88, 102952. [Google Scholar] [CrossRef] [PubMed]
- Alsayed, S.S.; Lun, S.; Payne, A.; Bishai, W.R.; Gunosewoyo, H. Facile Synthesis and Antimycobacterial Activity of Isoniazid, Pyrazinamide and Ciprofloxacin Derivatives. Chem. Biol. Drug Des. 2015, 176, 139–148. [Google Scholar] [CrossRef]
- Qin, X.; Jiang, B.; Song, H.; Du, N.; Zhang, Y.; Zhong, X.; Wu, J.; Xue, T.; Liu, M.; Wang, A.; et al. Design, synthesis and anti-TB and anti-bacterial activity of Ciprofloxacin derivatives containing N-(amino)piperazine moieties. Med. Chem. Res. 2023, 32, 556–570. [Google Scholar] [CrossRef]
- Xu, Z.; Gao, C.; Ren, Q.C.; Song, X.F.; Feng, L.S.; Lv, Z.S. Recent advances of pyrazole-containing derivatives as anti-tubercular agents. Eur. J. Med. Chem. 2017, 139, 429–440. [Google Scholar] [CrossRef]
- Hu, Y.Q.; Xu, Z.; Zhang, S.; Wu, X.; Ding, J.W.; Lv, Z.S.; Feng, L.S. Recent developments of coumarin-containing derivatives and their anti-tubercular activity. Eur. J. Med. Chem. 2017, 136, 122–130. [Google Scholar] [CrossRef]
- Ptaszyńska, N.; Gucwa, K.; Olkiewicz, K.; Heldt, M.; Serocki, M.; Stupak, A.; Martynow, D.; Debowski, D.; Giltlin-Domagalska, A.; Lica, J.; et al. Conjugates of ciprofloxacin and levofloxacin with cell-penetrating peptide exhibit antifungal activity and mammalian cytotoxicity. Int. J. Mol. Sci. 2020, 21, 4696. [Google Scholar] [CrossRef] [PubMed]
- Rabbani, M.G.; Islam, M.R. Synthesis and Characterization of Some Mannich Base Analogues of Ciprofloxacin: Antibacterial, Antifungal, and Cytotoxic Activities. J. Sci. Res. 2021, 13, 545–559. [Google Scholar] [CrossRef]
- Abou Taleb, S.; Darwish, A.B.; Abood, A.; Mohamed, A.M. Investigation of a new horizon antifungal activity with enhancing the antimicrobial efficacy of ciprofloxacin and its binary mixture via their encapsulation in nanoassemblies: In vitro and in vivo evaluation. Drug Dev. Res. 2020, 81, 374–388. [Google Scholar] [CrossRef] [PubMed]
- Alaaeldin, R.; Mustafa, M.; Abuo-Rahma, G.E.D.A.; Fathy, M. In vitro inhibition and molecular docking of a new ciprofloxacin-chalcone against SARS-CoV-2 main protease. Fundam. Clin. Pharmacol. 2022, 36, 160–170. [Google Scholar] [CrossRef] [PubMed]
- Scroggs, S.L.P.; Offerdahl, D.K.; Flather, D.P.; Morris, C.N.; Kendall, B.L.; Broeckel, R.M.; Beare, P.A.; Bloom, M.A. Fluoroquinolone antibiotics exhibit low antiviral activity against SARS-CoV-2 and MERS-CoV. Viruses 2021, 13, 8. [Google Scholar] [CrossRef] [PubMed]
- Marciniec, K.; Beberok, A.; Pęcak, P.; Boryczka, S.; Wrześniok, D. Ciprofloxacin and moxifloxacin could interact with SARS-CoV-2 protease: Preliminary in silico analysis. Pharmacol. Rep. 2020, 72, 1553–1561. [Google Scholar] [CrossRef]
- Bradfute, S.B.; Ye, C.; Clarke, E.C.; Kumar, S.; Timmins, G.S.; Deretic, V. Ambroxol and Ciprofloxacin Show Activity Against SARS-CoV2 in Vero E6 Cells at Clinically-Relevant Concentrations. bioRxiv 2020. [Google Scholar] [CrossRef]
- Hu, Y.Q.; Gao, C.; Zhang, S.; Xu, L.; Xu, Z.; Feng, L.S.; Wu, X.; Zhao, F. Quinoline hybrids and their antiplasmodial and antimalarial activities. Eur. J. Med. Chem. 2017, 139, 22–47. [Google Scholar] [CrossRef] [PubMed]
- Chrzanowska, A.; Roszkowski, P.; Bielenica, A.; Olejarz, W.; Stępień, K.; Struga, M. Anticancer and antimicrobial effects of novel ciprofloxacin fatty acids conjugates. Eur. J. Med. Chem. 2020, 185, 111810. [Google Scholar] [CrossRef]
- Akhtar, R.; Yousaf, M.; Naqvi, S.A.R.; Irfan, M.; Zahoor, A.F.; Hussain, A.I.; Chatha, S.A. Synthesis of ciprofloxacin-based compounds: A review. Synth. Commun. 2016, 46, 1849–1879. [Google Scholar] [CrossRef]
- Sengupta, S.; Chattopadhyay, M.K.; Grossart, H.P. The multifaceted roles of antibiotics and antibiotic resistance in nature. Front. Microbiol. 2013, 4, 47. [Google Scholar] [CrossRef]
- Spellberg, B.; Gilbert, D.N. The future of antibiotics and resistance: A tribute to a career of leadership by John Bartlett. Clin. Infect. Dis. 2014, 59, S71–S75. [Google Scholar] [CrossRef] [PubMed]
- Abdel-Aziz, M.; Park, S.E.; Abuo-Rahma, G.E.D.A.A.; Sayed, M.A.; Kwon, Y. Novel N-4-piperazinyl-ciprofloxacin-chalcone hybrids: Synthesis, physicochemical properties, anticancer and topoisomerase i and II inhibitory activity. Eur. J. Med. Chem. 2013, 69, 427–438. [Google Scholar] [CrossRef] [PubMed]
- Wang, R.; Yin, X.; Zhang, Y.; Yan, W. Design, synthesis and antimicrobial evaluation of propylene-tethered ciprofloxacin-isatin hybrids. Eur. J. Med. Chem. 2018, 156, 580–586. [Google Scholar] [CrossRef] [PubMed]
- Dana, S.; Valissery, P.; Kumar, S.; Gurung, S.K.; Mondal, N.; Dhar, S.K.; Mukhopadhyay, P. Synthesis of Novel Ciprofloxacin-Based Hybrid Molecules toward Potent Antimalarial Activity. ACS Med. Chem. Lett. 2020, 11, 1450–1456. [Google Scholar] [CrossRef] [PubMed]
- Cardoso-Ortiz, J.; Leyva-Ramos, S.; Baines, K.M.; Gómez-Durán, C.F.A.; Hernández-López, H.; Palacios-Can, F.J.; Valcarcel-Gamiño, J.A.; Leyva-Peralta, M.A.; Razo-Hernández, R.S. Novel ciprofloxacin and norfloxacin-tetrazole hybrids as potential antibacterial and antiviral agents: Targeting S. aureus topoisomerase and SARS-CoV-2-MPro. J. Mol. Struct. 2023, 1274, 134507. [Google Scholar] [CrossRef] [PubMed]
- Castro, W.; Navarro, M.; Biot, C. Medicinal potential of ciprofloxacin and its derivatives. Future Med. Chem. 2013, 5, 81–96. [Google Scholar] [CrossRef]
- Mohammed, H.H.H.; Abuo-Rahma, G.E.D.A.A.; Abbas, S.H.; Abdelhafez, E.S.M.N. Current Trends and Future Directions of Fluoroquinolones. Curr. Med. Chem. 2018, 26, 3132–3149. [Google Scholar] [CrossRef]
- Ahadi, H.; Emami, S. Modification of 7-piperazinylquinolone antibacterials to promising anticancer lead compounds: Synthesis and in vitro studies. Eur. J. Med. Chem. 2020, 187, 111970. [Google Scholar] [CrossRef]
- Ahmed, S.; Jayathuna, M.A.; Mahendiran, D.; Bharathi, S.; Rahiman, A.K. Heteroleptic silver(I), nickel(II), and copper(II) complexes of N4-substituted thiosemicarbazones and ciprofloxacin: Theoretical, in vitro anti-proliferative, and in silico molecular modeling and pharmacokinetics studies. Appl. Organomet. Chem. 2022, 36, e6782. [Google Scholar] [CrossRef]
- Garza, I.; Wallace, M.J.; Fernando, D.; Singh, A.; Lee, R.E.; Gerding, J.S.; Franklin, C.; Yendapally, R. Synthesis and Evaluation of Thiazolidine Amide and N-Thiazolyl Amide Fluoroquinolone Derivatives. Arch. Pharm. 2017, 350, e1700029. [Google Scholar] [CrossRef] [PubMed]
- Bartzatt, R.L.G.; Cirillo, S.D.; Cirillo, J. Design of Ciprofloxacin Derivatives that Inhibit Growth of Methicillin Resistant Staphylococcus aureus (MRSA) and Methicillin Susceptible Staphylococcus aureus (MSSA). Med. Chem. 2010, 6, 51–56. [Google Scholar] [CrossRef] [PubMed]
- Al-Soud, Y.A.; Al-Masoudi, N.A. A New Class of Dihaloquinolones Bearing N′-Aldehydoglycosylhydrazides, Mercapto-1,2,4-triazole, Oxadiazoline and α-Amino Ester Precursors: Synthesis and Antimicrobial Activity. J. Braz. Chem. Soc. 2003, 14, 790–796. [Google Scholar] [CrossRef]
- De Chimie, R.R.; Triazoquinolones, N.S. In vitro Modulation of Pancreatic Lipase and Proliferation of Obesity Related-colorectal Cancer Cell Line Panel by Novel Synthetic Triazoquinolones. Rev. Roum. Chim. 2016, 61, 871–879. [Google Scholar]
- Al-Taweel, S.; Al-Saraireh, Y.; Al-Trawneh, S.; Alshahateet, S.; Al-Tarawneh, R.; Ayed, N.; Alkhojah, M.; Wisam, A.K.; Zereini, W.; Al-Qaralleh, O. Synthesis and biological evaluation of ciprofloxacin-1,2,3-triazole hybrids as antitumor, antibacterial, and antioxidant agents. Heliyon 2023, 9, e22592. [Google Scholar] [CrossRef] [PubMed]
- Hryhoriv, H.; Mariutsa, I.; Kovalenko, S.M.; Georgiyants, V.; Perekhoda, L.; Filimonova, N.; Geyderikh, O.; Sidorenko, L. The Search for New Antibacterial Agents among 1,2,3-Triazole Functionalized Ciprofloxacin and Norfloxacin Hybrids: Synthesis, Docking Studies, and Biological Activity Evaluation. Sci. Pharm. 2022, 90, 2. [Google Scholar] [CrossRef]
- Struga, M.; Roszkowski, P.; Bielenica, A.; Otto-Ślusarczyk, D.; Stȩpień, K.; Stefańska, J.; Zabost, A.; Augustynowicz-Kopeć, E.; Koliński, M.; Kmiecik, S.; et al. N-Acylated Ciprofloxacin Derivatives: Synthesis and In Vitro Biological Evaluation as Antibacterial and Anticancer Agents. ACS Omega 2023, 8, 18663–18684. [Google Scholar] [CrossRef] [PubMed]
- Lukin, A.; Chudinov, M.; Vedekhina, T.; Rogacheva, E.; Kraeva, L.; Bakulina, O.; Krasavin, M. Exploration of Spirocyclic Derivatives of Ciprofloxacin as Antibacterial Agents. Molecules 2022, 27, 4864. [Google Scholar] [CrossRef]
- Hu, Y.Q.; Zhang, S.; Xu, Z.; Lv, Z.S.; Liu, M.L.; Feng, L.S. 4-Quinolone hybrids and their antibacterial activities. Eur. J. Med. Chem. 2017, 141, 335–345. [Google Scholar] [CrossRef]
- Shafran, N.; Shafran, I.; Ben-Zvi, H.; Sofer, S.; Sheena, L.; Krause, I.; Shlomai, A.; Goldberg, E.; Sklan, E.H. Secondary bacterial infection in COVID-19 patients is a stronger predictor for death compared to influenza patients. Sci. Rep. 2021, 11, 12703. [Google Scholar] [CrossRef]
- Tay, S.B.; Yew, W.S. Development of quorum-based anti-virulence therapeutics targeting Gram-negative bacterial pathogens. Int. J. Mol. Sci. 2013, 14, 16570–16599. [Google Scholar] [CrossRef] [PubMed]
- Mirzaie, A.; Peirovi, N.; Akbarzadeh, I.; Moghtaderi, M.; Heidari, F.; Yeganeh, F.E.; Noorbazargan, H.; Mirzazadeh, S.; Bakhtiari, R. Preparation and optimization of ciprofloxacin encapsulated niosomes: A new approach for enhanced antibacterial activity, biofilm inhibition and reduced antibiotic resistance in ciprofloxacin-resistant methicillin-resistance Staphylococcus aureus. Bioorg. Chem. 2020, 103, 104231. [Google Scholar] [CrossRef] [PubMed]
- Oladipo, A.O.; Oladipo, O.G.; Bezuidenhout, C.C. Multi-drug resistance traits of methicillin-resistant Staphylococcus aureus and other Staphylococcal species from clinical and environmental sources. J. Water Health 2019, 17, 930–943. [Google Scholar] [CrossRef] [PubMed]
- Ghafelehbashi, R.; Akbarzadeh, I.; Tavakkoli Yaraki, M.; Lajevardi, A.; Fatemizadeh, M.; Heidarpoor Saremi, L. Preparation, physicochemical properties, in vitro evaluation and release behavior of cephalexin-loaded niosomes. Int. J. Pharm. 2019, 569, 118580. [Google Scholar] [CrossRef] [PubMed]
- Lopes, E.; Conceição, T.; Poirel, L.; de Lencastre, H.; Aires-De-Sousa, M. Epidemiology and antimicrobial resistance of methicillin-resistant Staphylococcus aureus isolates colonizing pigs with different exposure to antibiotics. PLoS ONE 2019, 14, e0225497. [Google Scholar] [CrossRef]
- Jia, Y.; Zhao, L. The antibacterial activity of fluoroquinolone derivatives: An update (2018–2021). Eur. J. Med. Chem. 2021, 224, 113741. [Google Scholar] [CrossRef]
- Yang, P.; Luo, J.; Wang, Z.; Zhang, L.; Xie, X.B.; Shi, Q.; Zhang, X. Synthesis and in vitro antibacterial activity of N-acylarylhydrazone-ciprofloxacin hybrids as novel fluoroquinolone derivatives. J. Mol. Struct. 2022, 1262, 133007. [Google Scholar] [CrossRef]
- Osman, E.O.; Attia, H.; Samir, R.; Mahmoud, Z. Design, synthesis, and antibacterial activity of a new series of ciprofloxacin-thiadiazole hybrid. J. Mol. Struct. 2023, 1282, 135135. [Google Scholar] [CrossRef]
- Farooqi, S.I.; Arshad, N.; Channar, P.A.; Perveen, F.; Saeed, A.; Larik, F.A.; Javeed, A. Synthesis, theoretical, spectroscopic and electrochemical DNA binding investigations of 1,3,4-thiadiazole derivatives of ibuprofen and ciprofloxacin: Cancer cell line studies. J. Photochem. Photobiol. B Biol. 2018, 189, 104–118. [Google Scholar] [CrossRef]
- Dong, J.; Pei, Q.; Wang, P.; Ma, Q.; Hu, W. Optimized POCl3-assisted synthesis of 2-amino-1,3,4-thiadiazole/1,3,4-oxadiazole derivatives as anti-influenza agents. Arab. J. Chem. 2022, 15, 103712. [Google Scholar] [CrossRef]
- Sahu, S.; Sahu, T.; Kalyani, G.; Gidwani, B. Synthesis and evaluation of antimicrobial activity of 1,3,4-thiadiazole analogues for potential scaffold. J. Pharmacopunct. 2021, 24, 32–40. [Google Scholar] [CrossRef] [PubMed]
- Yang, S.J.; Lee, S.H.; Kwak, H.J.; Gong, Y.D. Regioselective Synthesis of 2-Amino-Substituted 1,3,4-Oxadiazole and 1,3,4-Thiadiazole Derivatives via Reagent-Based Cyclization of Thiosemicarbazide Intermediate. J. Org. Chem. 2013, 78, 438–444. [Google Scholar] [CrossRef] [PubMed]
- Rani, B.L.; Kumaronda, R. Synthesis, characterization and biological evaluation of [2-(Substituted Aryl)-3-[5-(substituted Phenyl)-1,3,4-Thiadiazole]-4-Oxo-Thiazolidines. Eur. J. Biomed. 2016, 3, 288–292. [Google Scholar]
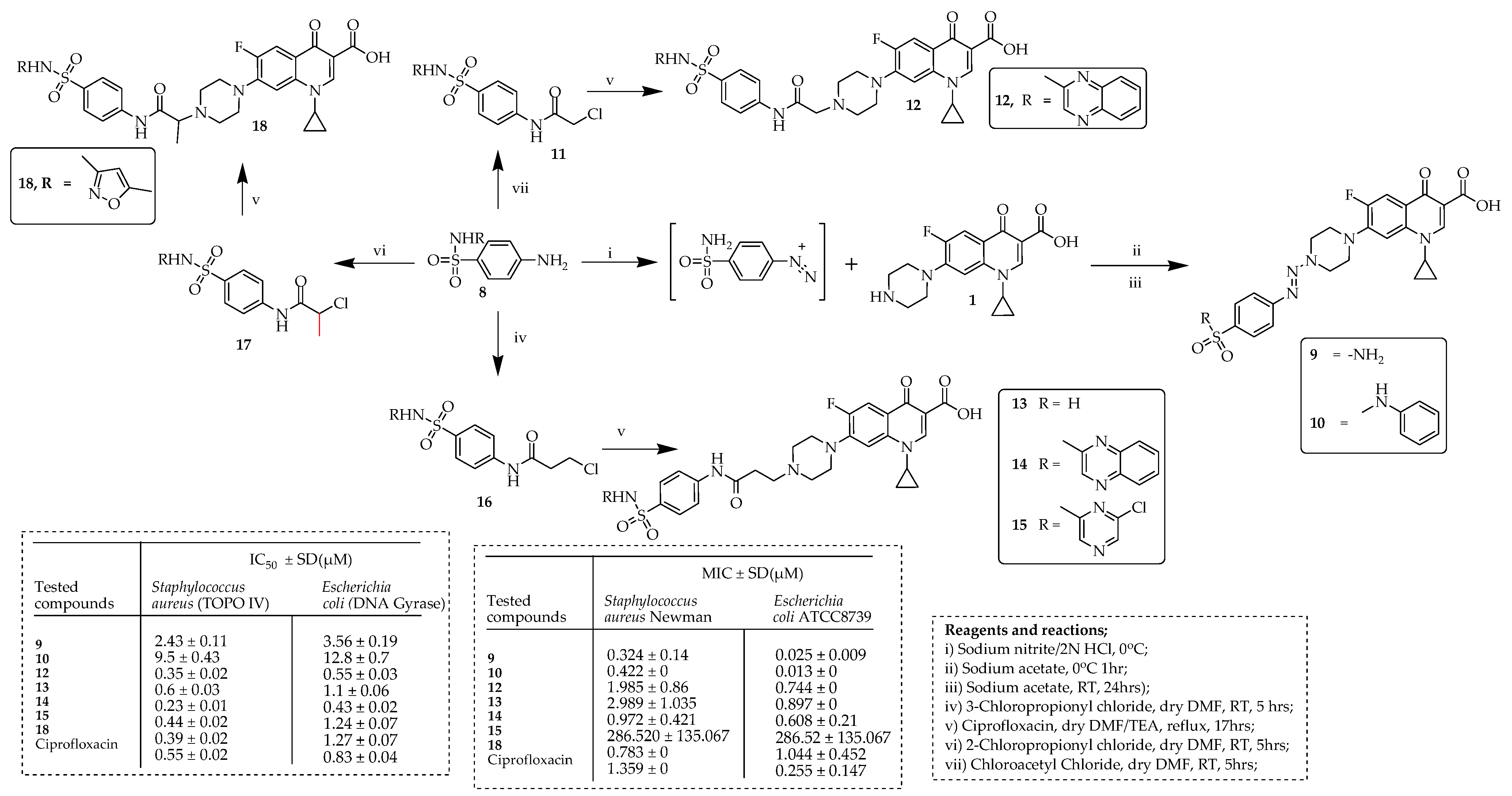
- Ibrahim, N.M.; Fahim, S.H.; Hassan, M.; Farag, A.E.; Georgey, H.H. Design and synthesis of ciprofloxacin-sulfonamide hybrids to manipulate ciprofloxacin pharmacological qualities: Potency and side effects. Eur. J. Med. Chem. 2022, 228, 114021. [Google Scholar] [CrossRef]
- Abdelhafez, E.M.; Elgedamy, A.; Shoman, M. Antimicrobial Activity of New Amide/thioamides Derivatives of Ciprofloxacin. J. Adv. Biomed. Pharm. Sci. 2023, 6, 12–15. [Google Scholar] [CrossRef]
- Al-Wahaibi, L.H.; Amer, A.A.; Marzouk, A.A.; Gomaa, H.A.M.; Youssif, B.G.M.; Abdelhamid, A.A. Design, synthesis, and antibacterial screening of some novel heteroaryl-based ciprofloxacin derivatives as DNA gyrase and topoisomerase iv inhibitors. Pharmaceuticals 2021, 14, 399. [Google Scholar] [CrossRef]
- Jha, K.K.; Samad, A.; Kumar, Y.; Shaharyar, M.; Khosa, R.L.; Jain, J.; Kumar, V.; Singh, P. Design, synthesis and biological evaluation of 1,3,4-oxadiazole derivatives. Eur. J. Med. Chem. 2010, 45, 4963–4967. [Google Scholar] [CrossRef]
- Alsughayer, A.; Elassar, A.Z.A.; Hasan, A.A.; Al Sagheer, F. Antibiotic resistance and drug modification: Synthesis, characterization and bioactivity of newly modified potent ciprofloxacin derivatives. Bioorg. Chem. 2021, 108, 104658. [Google Scholar] [CrossRef]
- Kumar, T.S.; Guo, X.; Huang, Y.; Zhou, X.; Xu, H.H.K.; Ren, B.; Peng, X.; Weir, M.D.; Li, M.; Cheng, L. The inhibitory effect of quaternary ammonium salt on bacteria in root canal. Sci. Rep. 2019, 9, 12463. [Google Scholar] [CrossRef]
- Szostek, T.; Szulczyk, D.; Szymańska-majchrzak, J.; Koliński, M.; Kmiecik, S.; Otto-Ślusarczyk, D.; Zawodnik, A.; Rajkowska, E.; Chaniewicz, K.; Struga, M.; et al. Design and Synthesis of Menthol and Thymol Derived Ciprofloxacin: Influence of Structural Modifications on the Antibacterial Activity and Anticancer Properties. Int. J. Mol. Sci. 2022, 23, 6600. [Google Scholar] [CrossRef]
- Zhang, Y.B.; Feng, L.S.; You, X.F.; Guo, Q.; Guo, H.Y.; Liu, M.L. Synthesis and In Vitro Antibacterial Activity of 7-(3-Alkoxyimino-4-methyl-4-methylaminopiperidin-1-yl)-fluoroquinolone Derivatives. Arch. Pharm. 2010, 343, 143–151. [Google Scholar] [CrossRef] [PubMed]
- Huang, X.; Bao, Y.; Zhu, S.; Zhang, X.; Lan, S.; Wang, T. Synthesis and biological evaluation of levofloxacin core-based derivatives with potent antibacterial activity against resistant Gram-positive pathogens. Bioorg. Med. Chem. Lett. 2015, 25, 3928–3932. [Google Scholar] [CrossRef] [PubMed]
- Huang, X.; Chen, K. An Efficient and Scalable Synthesis of Quinolone 006. Chem. Pharm. Bull. 2019, 67, 481–486. [Google Scholar] [CrossRef] [PubMed]
- Pedrood, K.; Azizian, H.; Montazer, M.N.; Moazzam, A.; Asadi, M.; Montazeri, H.; Biglar, M.; Zamani, M.; Larijani, B.; Zomorodian, K.; et al. Design and synthesis of new N-thioacylated ciprofloxacin derivatives as urease inhibitors with potential antibacterial activity. Sci. Rep. 2022, 12, 13827. [Google Scholar] [CrossRef]
- Aziz, H.A.; El-Saghier, A.M.M.; Badr, M.; Abuo-Rahma, G.E.D.A.; Shoman, M.E. Thiazolidine-2,4-dione-linked ciprofloxacin derivatives with broad-spectrum antibacterial, MRSA and topoisomerase inhibitory activities. Mol. Divers. 2022, 26, 1743–1759. [Google Scholar] [CrossRef] [PubMed]
- Sergio, M.; Palma, A. Optimized Synthesis and Characterization of Thiazolidine-2,4-Dione for Pharmaceutical Application. MOJ Bioorg. Org. Chem. 2017, 1, 00022. [Google Scholar]
- Aziz, H.A.; Moustafa, G.A.I.; Abbas, S.H.; Hauk, G.; Krishna, V.S.; Sriram, D.; Berger, J.M.; Abuo-Rahma, G.E.D.A. New fluoroquinolones/nitric oxide donor hybrids: Design, synthesis and antitubercular activity. Med. Chem. Res. 2019, 28, 1272–1283. [Google Scholar] [CrossRef]
- Kalam, F.A.; Jadhav, K.S.; Patil, R.H.; Shinde, D.B.; Arote, R.B.; Sangshetti, J.N. Biphenyl tetrazole-thiazolidinediones as novel bacterial peptide deformylase inhibitors: Synthesis, biological evaluations and molecular docking study. Biomed. Pharmacother. 2016, 83, 1146–1153. [Google Scholar]
- Abdel-Rahman, I.M.; Mustafa, M.; Mohamed, S.A.; Yahia, R.; Abdel-Aziz, M.; Abuo-Rahma, G.E.D.A.; Hayallah, A.M. Novel Mannich bases of ciprofloxacin with improved physicochemical properties, antibacterial, anticancer activities and caspase-3 mediated apoptosis. Bioorg. Chem. 2021, 107, 104629. [Google Scholar] [CrossRef]
- Mohammed, H.H.H.; Ali, D.M.E.; Badr, M.; Habib, A.G.K.; Mahmoud, A.M.; Farhan, S.M.; Gany, S.S.H.A.E.; Mohamad, S.A.; Hayallah, A.M.; Abbas, S.H.; et al. Synthesis and molecular docking of new N4-piperazinyl ciprofloxacin hybrids as antimicrobial DNA gyrase inhibitors. Mol. Divers. 2023, 27, 1751–1765. [Google Scholar] [CrossRef]
- Mohammed, H.H.H.; Abbas, S.H.; Hayallah, A.M.; Abuo-Rahma, G.E.D.A.; Mostafa, Y.A. Novel urea linked ciprofloxacin-chalcone hybrids having antiproliferative topoisomerases I/II inhibitory activities and caspases-mediated apoptosis. Bioorg. Chem. 2021, 106, 104422. [Google Scholar] [CrossRef] [PubMed]
- Kaur, H.; Balzarini, J.; De Kock, C.; Smith, P.J.; Chibale, K.; Singh, K. Synthesis, antiplasmodial activity and mechanistic studies of pyrimidine-5-carbonitrile and quinoline hybrids. Eur. J. Med. Chem. 2015, 101, 52–62. [Google Scholar] [CrossRef]
- Zhou, W.; Ma, L.; Ding, L.; Guo, Q.; He, Z.; Yang, J. Potent 5-Cyano-6-Phenyl-Pyrimidin-Based Derivatives Targeting DCN1-UBE2M Interaction. J. Med. Chem. 2019, 62, 5382–5403. [Google Scholar] [CrossRef] [PubMed]
- Mustafa, G.; Zia-Ur-Rehman, M.; Sumrra, S.H.; Ashfaq, M.; Zafar, W.; Ashfaq, M. A critical review on recent trends on pharmacological applications of pyrazolone endowed derivatives. J. Mol. Struct. 2022, 1262, 133044. [Google Scholar] [CrossRef]
- Yadav, V.; Talwar, P. Repositioning of fluoroquinolones from antibiotic to anti-cancer agents: An underestimated truth. Biomed. Pharmacother. 2019, 111, 934–946. [Google Scholar] [CrossRef] [PubMed]
- Koziel, R.; Szczepanowska, J.; Magalska, A.; Piwocka, K.; Duszynski, J.; Zablocki, K. Ciprofloxacin inhibits proliferation and promotes generation of aneuploidy in Jurkat cells. J. Physiol. Pharmacol. 2010, 61, 233–239. [Google Scholar] [PubMed]
- Zandi, A.; Zanjani, T.M.; Ziai, S.A.; Poul, Y.K.; Hoseini, M.H.M. Evaluation of the cytotoxic effects of ciprofloxacin on human glioblastoma A-172 cell line. Middle East J. Cancer 2017, 8, 119–126. [Google Scholar]
- Ahadi, H.; Shokrzadeh, M.; Hosseini-khah, Z.; Ghassemi, N. Synthesis and biological assessment of ciprofloxacin-derived 1,3,4-thiadiazoles as anticancer agents. Bioorg. Chem. 2020, 105, 104383. [Google Scholar] [CrossRef] [PubMed]
- Somekh, E.; Douer, D.; Shaked, N.; Rubinstein, E. In Vitro Effects of Ciprofloxacin and Pefloxacin on Growth of Normal Human Hematopoletic. J. Pharmacol. Exp. Ther. 1989, 248, 415–418. [Google Scholar]
- Beberok, A.; Wrześniok, D.; Rok, J.; Rzepka, Z.; Respondek, M.; Buszman, E. Ciprofloxacin triggers the apoptosis of human triple-negative breast cancer MDA-MB-231 cells via the p53/Bax/Bcl-2 signaling pathway. Int. J. Oncol. 2018, 52, 1727–1737. [Google Scholar] [CrossRef]
- Aranha, O.; Wood, D.P.; Sarkar, F.H. Ciprofloxacin mediated cell growth inhibition, S/G2-M cell cycle arrest, and apoptosis in a human transitional cell carcinoma of the bladder cell line. Clin. Cancer Res. 2000, 6, 891–900. [Google Scholar] [PubMed]
- Herald, C.; Occur, M.; Ganslmayer, M.; Gerauer, H.; Hahn, E.G.; Schuppan, D. Ciprofloxacin induces apoptosis and inhibits proliferation of human colorectal carcinoma cells. Br. J. Cancer 2002, 86, 443–448. [Google Scholar] [CrossRef] [PubMed]
- Smart, D.J.; Halicka, H.D.; Traganos, F.; Darzynkiewicz, Z.; Williams, G.M. Ciprofloxacin-induced G2 arrest and apoptosis in TK6 lymphoblastoid cells is not dependent on DNA double-strand break formation. Cancer Biol. Ther. 2008, 7, 113–119. [Google Scholar] [CrossRef]
- LeonidasA, B.; Kolios, G.; Valatas, V.; Notas, G.; Ioannis, D.; Pelagiadis, I.; Manousou, P.; Klironomos, S.; Mouzas, I.A.; Kouroumalis, E. Ciprofloxacin decreases survival in HT-29 cells via the induction of TGF-b1 secretion and enhances the anti-proliferative effect of 5-fluorouraci. Br. J. Pharmacol. 2009, 157, 362–370. [Google Scholar]
- Perucca, P.; Savio, M.; Cazzalini, O.; Mocchi, R.; Maccario, C.; Sommatis, S.; Ferraro, D.; Pizzala, R.; Pretali, L.; Fasani, E.; et al. Structure-activity relationship and role of oxygen in the potential antitumour activity of fluoroquinolones in human epithelial cancer cells. J. Photochem. Photobiol. B Biol. 2014, 140, 57–68. [Google Scholar] [CrossRef] [PubMed]
- Phiboonchaiyanan, P.P.; Kiratipaiboon, C.; Chanvorachote, P. Ciprofloxacin mediates cancer stem cell phenotypes in lung cancer cells through caveolin-1-dependent mechanism. Chem. Biol. Interact. 2016, 250, 1–11. [Google Scholar] [CrossRef]
- Kassab, A.E.; Gedawy, E.M. Novel ciprofloxacin hybrids using biology-oriented drug synthesis (BIODS) approach: Anticancer activity, effects on cell cycle profile, caspase-3 mediated apoptosis, topoisomerase II inhibition, and antibacterial activity. Eur. J. Med. Chem. 2018, 150, 403–418. [Google Scholar] [CrossRef]
- Swedan, H.K.; Kassab, A.E.; Gedawy, E.M.; Elmeligie, S.E. Design, synthesis, and biological evaluation of novel ciprofloxacin derivatives as potential anticancer agents targeting topoisomerase II enzyme. J. Enzym. Inhib. Med. Chem. 2023, 38, 118–137. [Google Scholar] [CrossRef] [PubMed]
- Akhtar, R.; Noreen, R.; Raza, Z.; Rasul, A.; Zahoor, A.F. Synthesis, Anticancer Evaluation, and In Silico Modeling Study of Some N-Acylated Ciprofloxacin Derivatives. Russ. J. Org. Chem. 2022, 58, 541–548. [Google Scholar] [CrossRef]
- Cormier, R.; Burda, W.N.; Harrington, L.; Edlinger, J.; Kodigepalli, K.M.; Thomas, J.; Kapolka, R.; Roma, G.; Anderson, B.E.; Turos, E.; et al. Studies on the antimicrobial properties of N-acylated ciprofloxacins. Bioorg. Med. Chem. Lett. 2012, 22, 6513–6520. [Google Scholar] [CrossRef][Green Version]
- Faiz, S.; Zahoor, A.F.; Ajmal, M.; Kamal, S.; Ahmad, S.; Abdelgawad, A.M.; Elnaggar, M.E. Design, Synthesis, Antimicrobial Evaluation, and Laccase Catalysis Effect of Novel Benzofuran–Oxadiazole and Benzofuran–Triazole Hybrids. J. Heterocycl. Chem. 2019, 56, 2839–2852. [Google Scholar] [CrossRef]
- Shahzadi, I.; Zahoor, M.A.F.; Rasul, A.; Rasool, N.; Raza, Z.; Faisal, S.; Parveen, B.; Kamal, S.; Zia-Ur-Rehman, M.; Zahid, F.M. Synthesis, anticancer, and computational studies of 1,3,4-oxadiazole-purine derivatives. J. Heterocycl. Chem. 2020, 57, 2782–2794. [Google Scholar] [CrossRef]
- Alaaeldin, R.; Abdel-Rahman, I.M.; Ali, F.E.M.; Bekhit, A.A.; Elhamadany, E.Y.; Zhao, Q.L.; Cui, Z.G.; Fathy, M. Dual Topoisomerase I/II Inhibition-Induced Apoptosis and Necro-Apoptosis in Cancer Cells by a Novel Ciprofloxacin Derivative via RIPK1/RIPK3/MLKL Activation. Molecules 2022, 27, 7993. [Google Scholar] [CrossRef]
- Karki, R.; Song, C.; Kadayat, T.M.; Magar, T.B.T.; Bist, G.; Shrestha, A.; Na, Y.; Kwon, Y.; Lee, E.S. Topoisomerase I and II inhibitory activity, cytotoxicity, and structure-activity relationship study of dihydroxylated 2,6-diphenyl-4-aryl pyridines. Bioorg. Med. Chem. 2015, 23, 3638–3654. [Google Scholar] [CrossRef] [PubMed]
- Fathy, M.; Sun, S.; Zhao, Q.L.; Abdel-Aziz, M.; Abuo-Rahma, G.E.D.A.; Awale, S.; Nikaido, T. A New Ciprofloxacin-derivative Inhibits Proliferation and Suppresses the Migration Ability of HeLa Cells. Anticancer Res. 2020, 40, 5025–5033. [Google Scholar] [CrossRef] [PubMed]
- Shahzad, S.A.; Sarfraz, A.; Yar, M.; Khan, Z.A.; Naqvi, S.A.R.; Naz, S.; Khan, N.A.; Farooq, U.; Batool, R.; Ali, M. Synthesis, evaluation of thymidine phosphorylase and angiogenic inhibitory potential of ciprofloxacin analogues: Repositioning of ciprofloxacin from antibiotic to future anticancer drugs. Bioorg. Chem. 2020, 100, 103876. [Google Scholar] [CrossRef] [PubMed]
- Fallica, A.N.; Barbaraci, C.; Amata, E.; Pasquinucci, L.; Turnaturi, R.; Dichiara, M.; Intagliata, S.; Gariboldi, M.B.; Marras, E.; Orlandi, V.T.; et al. Nitric Oxide Photo-Donor Hybrids of Ciprofloxacin and Norfloxacin: A Shift in Activity from Antimicrobial to Anticancer Agents. J. Med. Chem. 2021, 64, 11597–11613. [Google Scholar] [CrossRef] [PubMed]
- Ezelarab, H.A.A.; Hassan, H.A.; Abuo-Rahma, G.E.D.A.; Abbas, S.H. Design, synthesis, and biological investigation of quinoline/ciprofloxacin hybrids as antimicrobial and anti-proliferative agents. J. Iran. Chem. Soc. 2022, 20, 683–700. [Google Scholar] [CrossRef]
- Kaoud, T.S.; Mohassab, A.M.; Hassan, H.A.; Yan, C.; Van Ravenstein, S.X.; Abdelhamid, D.; Dalby, K.N.; Abdel-Aziz, M. NO-releasing STAT3 inhibitors suppress BRAF-mutant melanoma growth. Eur. J. Med. Chem. 2020, 186, 111885. [Google Scholar] [CrossRef]
- Hofny, H.A.; Mohamed, M.F.A.; Gomaa, H.A.M.; Abdel-Aziz, S.A.; Youssif, B.G.M.; El-koussi, N.A.; Aboraia, A.S. Design, synthesis, and antibacterial evaluation of new quinoline-1,3,4-oxadiazole and quinoline-1,2,4-triazole hybrids as potential inhibitors of DNA gyrase and topoisomerase IV. Bioorg. Chem. 2021, 112, 104920. [Google Scholar] [CrossRef]
- Mohassab, A.M.; Hassan, H.A.; Abdelhamid, D.; Abdel-Aziz, M.; Dalby, K.N.; Kaoud, T.S. Novel quinoline incorporating 1,2,4-triazole/oxime hybrids: Synthesis, molecular docking, anti-inflammatory, COX inhibition, ulceroginicity and histopathological investigations. Bioorg. Chem. 2017, 75, 242–259. [Google Scholar] [CrossRef]
- Samir, M.; Ramadan, M.; Abdelrahman, M.H.; Abdelbaset, M.S.; Abourehab, M.A.S.; Abdel-Aziz, M.; Abuo-Rahma, G.E.-D.A. 3,7-bis-benzylidene hydrazide ciprofloxacin derivatives as promising antiproliferative dual TOP I & TOP II isomerases inhibitors. Bioorg. Chem. 2021, 110, 104698. [Google Scholar]
- Pasternak, J.; Rajtar, B.; Stec, A.; Polz-Dacewicz, M. Antiviral activity of ciprofloxacin on BK virus in an in vitro culture—Pilot study. J. Pre-Clin. Clin. Res. 2017, 11, 116–119. [Google Scholar] [CrossRef][Green Version]
- Ahmed, A.; Daneshtalab, M. Nonclassical biological activities of quinolone derivatives. J. Pharm. Pharm. Sci. 2011, 15, 52–72. [Google Scholar]
- Marra, R.K.F.; Kümmerle, A.E.; Guedes, G.P.; Barros, C.d.S.; Gomes, R.S.P.; Cirne-Santos, C.C.; Paixão, I.C.N.; Neves, A.P. Quinolone-N-acylhydrazone hybrids as potent Zika and Chikungunya virus inhibitors. Bioorg. Med. Chem. Lett. 2020, 30, 126881. [Google Scholar] [CrossRef] [PubMed]
- Scroggs, S.L.P.; Andrade, C.C.; Chinnasamy, R.; Azar, S.R.; Schirtzinger, E.E.; Garcia, E.I.; Arterburn, J.B.; Hanley, K.A.; Rossi, S.L. Old drugs with new tricks: Efficacy of fluoroquinolones to suppress replication of flaviviruses. Viruses 2020, 12, 1022. [Google Scholar] [CrossRef] [PubMed]
- Scroggs, S.L.P.; Gass, J.T.; Chinnasamy, R.; Widen, S.G.; Azar, S.R.; Rossi, S.L.; Arterburn, J.B.; Vasilakis, N.; Hanley, K.A. Evolution of resistance to fluoroquinolones by dengue virus serotype 4 provides insight into mechanism of action and consequences for viral fitness. Virology 2021, 552, 94–106. [Google Scholar] [CrossRef]
- Xu, Y.P.; Qiu, Y.; Zhang, B.; Chen, G.; Chen, Q.; Wang, M.; Mo, F.; Xu, J.; Wu, J.; Zhang, R.-R.; et al. Zika virus infection induces RNAi-mediated antiviral immunity in human neural progenitors and brain organoids. Cell Res. 2019, 29, 265–273. [Google Scholar] [CrossRef] [PubMed]
- Yamaya, M.; Nishimura, H.; Hatachi, Y.; Yasuda, H.; Deng, X.; Sasaki, T.; Mizuta, K.; Kubo, H.; Nagatomi, R. Levofloxacin inhibits rhinovirus infection in primary cultures of human tracheal epithelial cells. Antimicrob. Agents Chemother. 2012, 56, 4052–4061. [Google Scholar] [CrossRef]
- Alavala, R.; Kulandaivelu, U.; Bonagiri, P.; Boyapati, S.; Jayaprakash, V.T.; Subramaniam, A. Synthesis and Antiviral Activity of Dihydropyrimidines-Ciprofloxacin Mannich bases against Various Viral Strains. Anti-Infect. Agents 2015, 13, 154–165. [Google Scholar] [CrossRef]
- Isloor, A.M.; Kalluraya, B.; Shetty, P. Regioselective reaction: Synthesis, characterization and pharmacological studies of some new Mannich bases derived from 1,2,4-triazoles. Eur. J. Med. Chem. 2009, 44, 3784–3787. [Google Scholar] [CrossRef]
- Lingappa, B.; Girisha, K.S.; Kalluraya, B.; Satheesh Rai, N.; Kumari, N.S. Regioselective reaction: Synthesis of novel Mannich bases derived from 3-(4,6-disubstituted-2-thiomethylpyrimidyl)-4-amino-5-mercapto-1,2-4-triazoles and their antimicrobial properties. Indian J. Chem-Sect. B Org. Med. Chem. 2008, 47, 1858–1864. [Google Scholar]
- Shah, T.B.; Gupte, A.; Patel, M.R.; Chaudhari, V.S.; Patel, H.; Patel, V.C. Synthesis and in vitro study of biological activity of heterocyclic N-Mannich bases of 3,4-dihydropyrimidine-2(1H)-thiones. Indian J. Chem-Sect. B Org. Med. Chem. 2010, 49, 578–586. [Google Scholar] [CrossRef]
- Sriram, D.; Yogeeswari, P.; Basha, J.S.; Radha, D.R.; Nagaraja, V. Synthesis and antimycobacterial evaluation of various 7-substituted ciprofloxacin derivatives. Bioorg. Med. Chem. 2005, 13, 5774–5778. [Google Scholar] [CrossRef] [PubMed]
- Price, K.E. Antimalarial Drug Discovery: Exploring the MEP Pathway; The University of Liverpool: Liverpool, UK, 2016. [Google Scholar]
- Anquetin, G.; Greiner, J.; Mahmoudi, N.; Santillana-Hayat, M.; Gozalbes, R.; Farhati, K.; Derouin, F.; Aubry, A.; Cambau, E.; Vierling, P. Design, synthesis and activity against Toxoplasma gondii, Plasmodium spp., and Mycobacterium tuberculosis of new 6-fluoroquinolones. Eur. J. Med. Chem. 2006, 41, 1478–1493. [Google Scholar] [CrossRef] [PubMed]
- Ajima, U.; Onah, J.O.; Wannang, N.N. Synthesis and antiplasmodial evaluation of a ciprofloxacin-dihydroartemisinin conjugate. J. Appl. Pharm. Sci. 2019, 9, 61–67. [Google Scholar]
- Vamvoukaki, G.; Antoniou, A.I.; Baltas, M.; Mouray, E.; Charneau, S.; Grellier, P.; Athanassopoulos, C.M. Synthesis of Novel Artemisinin, Ciprofloxacin, and Norfloxacin Hybrids with Potent Antiplasmodial Activity. Antibiotics 2024, 13, 142. [Google Scholar] [CrossRef]
































| Cancer Cells | Dose and Time | Mode of Anticancer Activity | Mechanism of Action | Bibliography |
|---|---|---|---|---|
| Leukemia (K562) | >50 μg/mL | Inhibits proliferation and colony formation | [89] | |
| Breast (MDA MB-231) | 0–1.0 μmol/mL (0–72 h) | Apoptosis, S-phase arrest | Oxidative stress, p53 (↑), Bax:Bcl2 (↓) | [90] |
| Bladder cancer (HTB9) | 50–400 μg/mL | Apoptosis, S-/G2-phase arrest | Cytochrome c release (↑), Bax:Bcl2 (↑), p21 (↓), Caspase3 (↑), pCDK2 (↓), Cyclin B/E (↓), CDK2 (↑) | [91] |
| CC-531, SW-403, HT-29 (colorectal carcinoma) | 200–500 μg/mL (24 h) | Apoptosis | Bax:Bcl2 (↑), Caspase-3, -8, -9 (↑) | [92] |
| TK6, WTK1, NH32 (lymphoblastoid cells) | 100 μg/mL (24–48 h) | G2-phase arrest and apoptosis | γH2AX (↑), Csp3 (↑), stabilized TopoIIα (↑) | [93] |
| HT29, Caco-2 (colon cancer) | 100 μg/mL (6 days) | S-phase arrest | TGFβ1 (↑) | [94] |
| HeLa, A431 (epidermoid carcinoma) | 3.5 W/cm2 UVA (30 min) + 100 μg/mL (24 h) | Apoptosis, S-/G2-phase arrest | DNA plasmid photocleavage via carbocation | [95] |
| H460 (lung cancer) | 10 μg/mL (0–7 days) | Cancer stem cells | CD133 (↑), CD44 (↑), ABCG2 (↑), Oct4 (↑), Sox2 (↓), AKT (↑), ALH1A1 (↑), Slug (↓), Nanog (↑), Snail (↓), Cav-1 (↑), ERK (↑) | [96] |
| Cancer Cells | Normal Cells | ||||||||
|---|---|---|---|---|---|---|---|---|---|
| HepG2 | SW620 | SW480 | HCT116 | HaCaT | |||||
| Compounds | SI | IC50 | SI | IC50 | SI | IC50 | SI | IC50 | IC50 |
| 32 | 1.5 | 16.5 ± 0.4 | 0.9 | 26.7 ± 0.2 | 0.7 | 36.0 ± 2.9 | 0.8 | 32.3 ± 1.5 | 25.7 ± 3.0 |
| 33 | 1.2 | 36.8 ± 3.8 | 1.2 | 38.6 ± 3.8 | 1.5 | 30.3 ± 1.2 | 1.7 | 27.1 ± 3.1 | 45.5 ± 5.1 |
| 36 | 1.9 | 53.7 ± 0.9 | 2.6 | 38.1 ± 2.5 | 2.2 | 46.2 ± 1.8 | 3.4 | 29.5 ± 2.1 | >100 |
| 41 | 1.9 | 51.3 ± 4.1 | 2.2 | 43.5 ± 7.5 | 2.9 | 33.7 ± 6.6 | 2.5 | 39.1 ± 5.8 | >100 |
| 42 | 1.4 | 43.4 ± 3.1 | 0.9 | 61.8 ± 0.1 | 1.7 | 33.7 ± 3.5 | 2.0 | 28.6 ± 0.1 | 59.1 ± 3.1 |
| 46 | 1.5 | 41.8 ± 2.5 | 1.3 | 49.6 ± 7.0 | 2.2 | 29.5 ± 1.9 | 2.1 | 30.5 ± 2.3 | 64.9 ± 5.1 |
| Doxorubicin | 1.0 | >100 | 1.0 | >100 | 2.0 | >100 | 1.0 | >100 | >100 |
Disclaimer/Publisher’s Note: The statements, opinions and data contained in all publications are solely those of the individual author(s) and contributor(s) and not of MDPI and/or the editor(s). MDPI and/or the editor(s) disclaim responsibility for any injury to people or property resulting from any ideas, methods, instructions or products referred to in the content. |
© 2024 by the authors. Licensee MDPI, Basel, Switzerland. This article is an open access article distributed under the terms and conditions of the Creative Commons Attribution (CC BY) license (https://creativecommons.org/licenses/by/4.0/).
Share and Cite
Khwaza, V.; Mlala, S.; Aderibigbe, B.A. Advancements in Synthetic Strategies and Biological Effects of Ciprofloxacin Derivatives: A Review. Int. J. Mol. Sci. 2024, 25, 4919. https://doi.org/10.3390/ijms25094919
Khwaza V, Mlala S, Aderibigbe BA. Advancements in Synthetic Strategies and Biological Effects of Ciprofloxacin Derivatives: A Review. International Journal of Molecular Sciences. 2024; 25(9):4919. https://doi.org/10.3390/ijms25094919
Chicago/Turabian StyleKhwaza, Vuyolwethu, Sithenkosi Mlala, and Blessing A. Aderibigbe. 2024. "Advancements in Synthetic Strategies and Biological Effects of Ciprofloxacin Derivatives: A Review" International Journal of Molecular Sciences 25, no. 9: 4919. https://doi.org/10.3390/ijms25094919
APA StyleKhwaza, V., Mlala, S., & Aderibigbe, B. A. (2024). Advancements in Synthetic Strategies and Biological Effects of Ciprofloxacin Derivatives: A Review. International Journal of Molecular Sciences, 25(9), 4919. https://doi.org/10.3390/ijms25094919

