Total Synthesis of the Sex Pheromone of Clania variegata Snellen and Its Stereoisomers
Abstract
1. Introduction
2. Results and Discussion
2.1. Retrosynthetic Analysis of Sex Pheromone of Clania vartegata Snell 1a
2.2. Synthesis of Chiral Tosylate (R)-8
2.3. Synthesis of Chiral Alcohols (R)-13 and (S)-13
2.4. Synthesis of Chiral Acids (3R,13R)-16 and (3R,13S)-16
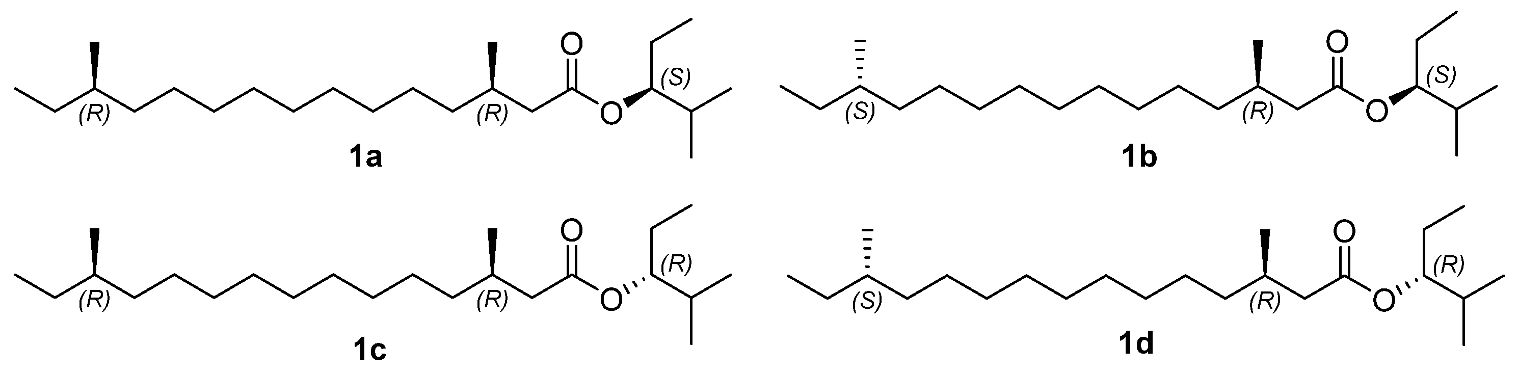
2.5. Synthesis of Sex Pheromone of Clania vartegata Snell 1a and Its Stereoisomers 1c–1d
3. Materials and Methods
3.1. Synthesis of Chiral Acid (3R,13R)-16
3.1.1. Synthesis of (4R,14R)-4,14-dimethylhexadec-1-ene ((4R,14R)-15)
3.1.2. Synthesis of (3R,13R)-3,13-dimethylpentadecanoic Acid ((3R,13R)-16)
3.2. Synthesis of Chiral Acid (3R,13S)-16
3.2.1. Synthesis of (4R,14S)-4,14-dimethylhexadec-1-ene ((4R,14S)-15)
3.2.2. Synthesis of (3R,13S)-3,13-dimethylpentadecanoic Acid ((3R,13S)-16)
3.3. Synthesis of Sex Pheromone of Clania vartegata Snell 1a and Its Stereoisomers 1c–1d
3.3.1. Synthesis of (S)-2-methylpentan-3-yl (3R,13R)-3,13-dimethylpentadecanoate (1a)
3.3.2. Synthesis of (S)-2-methylpentan-3-yl (3R,13S)-3,13-dimethylpentadecanoate (1b)
3.3.3. Synthesis of (R)-2-methylpentan-3-yl (3R,13R)-3,13-dimethylpentadecanoate (1c)
3.3.4. Synthesis of (R)-2-methylpentan-3-yl (3R,13S)-3,13-dimethylpentadecanoate (1d)
4. Conclusions
Supplementary Materials
Author Contributions
Funding
Institutional Review Board Statement
Informed Consent Statement
Data Availability Statement
Acknowledgments
Conflicts of Interest
References
- Yoshioka, T.; Tsubota, T.; Tashiro, K.; Jouraku, A.; Kameda, T. A study of the extraordinarily strong and tough silk produced by bagworms. Nat. Commun. 2019, 10, 1469. [Google Scholar] [CrossRef]
- Chen, S.-C.; Zhao, F.-H.; Jiang, H.-Y.; Hu, X.; Wang, X.-Q. The complete mitochondrial genome of the bagworm from a tea plantation in China, Eumeta variegata (Lepidoptera: Psychidae). Mitochondrial DNA. Part B Resour. 2021, 6, 875–877. [Google Scholar] [CrossRef] [PubMed]
- Jeong, J.S.; Kim, M.J.; Kim, S.S.; Kim, I. Complete mitochondrial genome of the female-wingless bagworm moth, Eumeta variegata Snellen, 1879 (Lepidoptera: Psychidae). Mitochondrial DNA. Part B Resour. 2018, 3, 1037–1039. [Google Scholar] [CrossRef] [PubMed]
- Lelana, N.E.; Utami, S.; Ujang Wawan, D.; Hani Sitti, N.; Darwo; Asmaliyah; Haneda, N.F.; Arinana; Wida, D.; Illa, A. Bagworms in Indonesian plantation forests: Species composition, pest status, and factors that contribute to outbreaks. Diversity 2022, 14, 471. [Google Scholar] [CrossRef]
- Arakawa, K.; Kono, N.; Ohtoshi, R.; Nakamura, H.; Tomita, M. The complete mitochondrial genome of Eumeta variegata (Lepidoptera: Psychidae). Mitochondrial DNA. Part B Resour. 2018, 3, 812–813. [Google Scholar] [CrossRef] [PubMed]
- Zhang, L.H. Study on the identification and occurrence of Clania variegata Snellen. J. Anhui Agric. Sci. 2010, 38, 8499–8500. [Google Scholar]
- Gries, R.; Khaskin, G.; Tan, Z.-X.; Zhao, B.-G.; King, G.G.S.; Miroshnychenko, A.; Lin, G.-Q.; Rhainds, M.; Gries, G. (1S)-1-ethyl-2-methylpropyl 3,13-dimethylpentadecanoate: Major sex pheromone component of paulownia bagworm, Clania variegata. J. Chem. Ecol. 2006, 32, 1673–1685. [Google Scholar] [CrossRef] [PubMed]
- Kono, N.; Nakamura, H.; Tateishi, A.; Numata, K.; Arakawa, K. The balance of crystalline and amorphous regions in the fibroin structure underpins the tensile strength of bagworm silk. Zool. Lett. 2021, 7, 11. [Google Scholar] [CrossRef] [PubMed]
- Kono, N.; Nakamura, H.; Ohtoshi, R.; Tomita, M.; Numata, K.; Arakawa, K. The bagworm genome reveals a unique fibroin gene that provides high tensile strength. Commun. Biol. 2019, 2, 148. [Google Scholar] [CrossRef]
- Rizvi, S.A.H.; George, J.; Reddy, G.V.P.; Zeng, X.; Guerrero, A. Latest developments in insect sex pheromone research and its application in agricultural pest management. Insects 2021, 12, 484. [Google Scholar] [CrossRef]
- Souza, J.P.A.; Bandeira, P.T.; Bergmann, J.; Zarbin, P.H.G. Recent advances in the synthesis of insect pheromones: An overview from 2013 to 2022. Nat. Prod. Rep. 2023, 40, 866–889. [Google Scholar] [CrossRef] [PubMed]
- Mori, K.; Tashiro, T. Synthesis of all the four stereoisomers of (1’S)-1-ethyl-2-methylpropyl 3,13-dimethylpentadecanoate, the major component of the sex pheromone of paulownia bagworm, Clania variegata. Tetrahedron Lett. 2009, 50, 3266–3269. [Google Scholar] [CrossRef]
- Mori, K.; Tashiro, T.; Zhao, B.; Suckling, D.M.; El-Sayed, A.M. Pheromone synthesis. Part 243: Synthesis and biological evaluation of (3R,13R,1’S)-1’-ethyl-2’-methylpropyl 3,13-dimethylpentadecanoate, the major component of the sex pheromone of paulownia bagworm, Clania variegata, and its stereoisomers. Tetrahedron 2010, 66, 2642–2653. [Google Scholar] [CrossRef]
- Taguri, T.; Yamamoto, M.; Fujii, T.; Muraki, Y.; Ando, T. Synthesis of four stereoisomers of (S)-2-methylpent-3-yl 3,13-dimethylpentadecanoate, a sex pheromone of the bagworm moth Clania variegata, using stereospecific inversion of secondary sulfonates as a key step. Eur. J. Org. Chem. 2013, 2013, 6924–6933. [Google Scholar] [CrossRef]
- Sun, Z.-F.; Zhou, L.-N.; Zhang, T.; Du, Z.-T. Stereoselective synthesis of the paulownia bagworm sex pheromone. Chin. Chem. Lett. 2017, 28, 558–562. [Google Scholar] [CrossRef]
- Allu, S.R.; Banne, S.; Jiang, J.; Qi, N.; Guo, J.; He, Y. A unified synthetic approach to optically pure curvularin-type metabolites. J. Org. Chem. 2019, 84, 7227–7237. [Google Scholar] [CrossRef] [PubMed]
- Sargent, B.T.; Alexanian, E.J. Cobalt-catalyzed aminocarbonylation of alkyl tosylates: Stereospecific synthesis of amides. Angew. Chem. Int. Ed. 2019, 58, 9533–9536. [Google Scholar] [CrossRef]
- Mori, K.; Akasaka, K. Pheromone synthesis. Part 256: Synthesis of the four stereoisomers of 5,11-dimethylpentacosane, a new sex pheromone component of the male Galleria mellonella (L.), with high stereochemical purities as determined by the derivatization-HPLC analysis of the eight stereoisomers of 5,11-dimethyl-8-pentacosanol. Tetrahedron 2015, 71, 4102–4115. [Google Scholar]
- Horner, J.H.; Newcomb, M. (ω-2,ω-2,ω-3,ω-3)-Tetradeuterio-fatty acids for mechanistic studies of enzyme-catalyzed hydroxylation reactions. J. Label. Compd. Radiopharm. 2012, 55, 406–410. [Google Scholar] [CrossRef]
- Koppenhoefer, B.; Schurig, V. (S)-2-Chloroalkanoic acids of high enantiomeric purity from (S)-2-amino acids: (S)-2-chloropropanoic acid. Org. Synth. 1988, 66, 151–156. [Google Scholar]
- Hattori, H.; Roesslein, J.; Caspers, P.; Zerbe, K.; Miyatake-Ondozabal, H.; Ritz, D.; Rueedi, G.; Gademann, K. Total synthesis and biological evaluation of the glycosylated macrocyclic antibiotic mangrolide A. Angew. Chem. Int. Ed. 2018, 57, 11020–11024. [Google Scholar] [CrossRef] [PubMed]
- Koppenhoefer, B.; Schurig, V. (R)-Alkyloxiranes of high enantiomeric purity from (S)-2-chloroalkanoic acids via (S)-chloro-1-alkanols: (R)-methyloxirane. Org. Synth. 1988, 66, 160–172. [Google Scholar]
- Sunagawa, S.; Yamada, H.; Naito, M.; Yasui, E.; Mizukami, M.; Miyashita, M.; Nagumo, S. Synthetic study of arenicolide C: Stereoselective synthesis of the C19-C36 segment. Tetrahedron Lett. 2015, 56, 6693–6695. [Google Scholar] [CrossRef]
- Montes Vidal, D.; von Rymon-Lipinski, A.-L.; Ravella, S.; Groenhagen, U.; Herrmann, J.; Zaburannyi, N.; Zarbin, P.H.G.; Varadarajan, A.R.; Ahrens, C.H.; Weisskopf, L.; et al. Long-chain alkyl cyanides: Unprecedented volatile compounds released by pseudomonas and micromonospora bacteria. Angew. Chem. Int. Ed. 2017, 56, 4342–4346. [Google Scholar] [CrossRef] [PubMed]
- Yang, D.; Zhang, C. Ruthenium-catalyzed oxidative cleavage of olefins to aldehydes. J. Org. Chem. 2001, 66, 4814–4818. [Google Scholar] [CrossRef]
- Nicolaou, K.C.; Sun, Y.-P.; Guduru, R.; Banerji, B.; Chen, D.Y.K. Total synthesis of the originally proposed and revised structures of palmerolide A and isomers thereof. J. Am. Chem. Soc. 2008, 130, 3633–3644. [Google Scholar] [CrossRef]






Disclaimer/Publisher’s Note: The statements, opinions and data contained in all publications are solely those of the individual author(s) and contributor(s) and not of MDPI and/or the editor(s). MDPI and/or the editor(s) disclaim responsibility for any injury to people or property resulting from any ideas, methods, instructions or products referred to in the content. |
© 2024 by the authors. Licensee MDPI, Basel, Switzerland. This article is an open access article distributed under the terms and conditions of the Creative Commons Attribution (CC BY) license (https://creativecommons.org/licenses/by/4.0/).
Share and Cite
Wang, X.; Wu, J.; Wang, J.; Liu, D.; Bian, Q.; Zhong, J. Total Synthesis of the Sex Pheromone of Clania variegata Snellen and Its Stereoisomers. Int. J. Mol. Sci. 2024, 25, 4893. https://doi.org/10.3390/ijms25094893
Wang X, Wu J, Wang J, Liu D, Bian Q, Zhong J. Total Synthesis of the Sex Pheromone of Clania variegata Snellen and Its Stereoisomers. International Journal of Molecular Sciences. 2024; 25(9):4893. https://doi.org/10.3390/ijms25094893
Chicago/Turabian StyleWang, Xueyang, Jianwei Wu, Jianan Wang, Dan Liu, Qinghua Bian, and Jiangchun Zhong. 2024. "Total Synthesis of the Sex Pheromone of Clania variegata Snellen and Its Stereoisomers" International Journal of Molecular Sciences 25, no. 9: 4893. https://doi.org/10.3390/ijms25094893
APA StyleWang, X., Wu, J., Wang, J., Liu, D., Bian, Q., & Zhong, J. (2024). Total Synthesis of the Sex Pheromone of Clania variegata Snellen and Its Stereoisomers. International Journal of Molecular Sciences, 25(9), 4893. https://doi.org/10.3390/ijms25094893
