Structure–Function Analysis of the Essential Mycobacterium tuberculosis P450 Drug Target, CYP121A1
Abstract
1. Introduction
2. Results and Discussion
2.1. CYP121A1 Is a Highly Rigid Enzyme
2.2. Active Site Analysis Revealed Unusual Features and Key Amino Acids Governing the Structure and Function of CYP121A1
2.3. The Binding of cYY Reveals Unique Structural Aspects of CYP121A1
2.4. CYP121A1 Performs Novel Catalytic Reactions
2.4.1. C-C Intramolecular Coupling
2.4.2. C-H Hydroxylation and C-O Cleavage
2.5. CYP121A1 and Fluconazole Interactions Revealed a New Azole Drug–P450 Binding Mode
2.6. The Presence of the DKP Ring, Tyrosyl Side Chains, and the Substrate’s Configuration Impact the Enzymatic Activity of CYP121A1
2.7. Analogs of cYY with Methyl and Halogen Groups Reveal the CYP121A1 Substrate Specificity
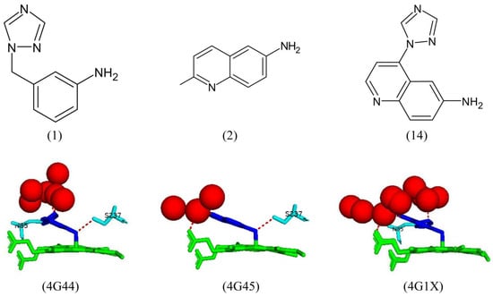
2.8. Fragment-Based Chemical Library Approaches Design Potential Potent CYP121A1 Inhibitors
2.8.1. Designing Inhibitors That Coordinate with the Heme Iron
2.8.2. Substitutions of Aromatic Rings Revealed Binding Hotspots within the CYP121A1 Active Site
2.9. Y-Shaped Imidazole and Lipophilic Pyrazole Derivatives Potentially Bind and Block the Substrate Access Channel of CYP121A1
2.10. Direct Coordination with the Sixth Water Ligand Could Be a Strategy to Inhibit CYP121A1
2.11. Compounds in the Distal Region of the Heme May Disrupt the Hydrogen-Bonded Network of CYP121A1
3. Materials and Methods
3.1. Retrieving of CYP121A1 Member’s Structures
3.2. CYP121A1 Active Site Analysis
3.3. Analysis of Ligand Interactions in Closed Conformation PDB Files Using PyMOL
3.4. Annotation of P450 Characteristic Secondary Structures and Substrate Recognition Sites (SRSs)
4. Conclusions
Supplementary Materials
Author Contributions
Funding
Institutional Review Board Statement
Informed Consent Statement
Data Availability Statement
Conflicts of Interest
References
- WHO. Global Tuberculosis Report; WHO: Geneva, Switzerland, 2023; ISBN 978-92-4-008385-1. [Google Scholar]
- Tiemersma, E.W.; van der Werf, M.J.; Borgdorff, M.W.; Williams, B.G.; Nagelkerke, N.J. Natural history of tuberculosis: Duration and fatality of untreated pulmonary tuberculosis in HIV negative patients: A systematic review. PLoS ONE 2011, 6, e17601. [Google Scholar] [CrossRef] [PubMed]
- Cole, S.T.; Brosch, R.; Parkhill, J.; Garnier, T.; Churcher, C.; Harris, D.; Gordon, S.V.; Eiglmeier, K.; Gas, S.; Barry, C.E., 3rd; et al. Deciphering the biology of Mycobacterium tuberculosis from the complete genome sequence. Nature 1998, 393, 537–544. [Google Scholar] [CrossRef] [PubMed]
- Ngcobo, P.E.; Nkosi, B.V.Z.; Chen, W.; Nelson, D.R.; Syed, K. Evolution of cytochrome P450 enzymes and their redox partners in Archaea. Int. J. Mol. Sci. 2023, 24, 4161. [Google Scholar] [CrossRef] [PubMed]
- Lepesheva, G.I.; Friggeri, L.; Waterman, M.R. CYP51 as drug targets for fungi and protozoan parasites: Past, present and future. Parasitology 2018, 145, 1820–1836. [Google Scholar] [CrossRef] [PubMed]
- Jawallapersand, P.; Mashele, S.S.; Kovačič, L.; Stojan, J.; Komel, R.; Pakala, S.B.; Kraševec, N.; Syed, K. Cytochrome P450 monooxygenase CYP53 family in fungi: Comparative structural and evolutionary analysis and its role as a common alternative anti-fungal drug target. PLoS ONE 2014, 9, e107209. [Google Scholar] [CrossRef] [PubMed]
- Ortiz de Montellano, P.R. Potential drug targets in the Mycobacterium tuberculosis cytochrome P450 system. J. Inorg. Biochem. 2018, 180, 235–245. [Google Scholar] [CrossRef] [PubMed]
- McLean, K.J.; Carroll, P.; Lewis, D.G.; Dunford, A.J.; Seward, H.E.; Neeli, R.; Cheesman, M.R.; Marsollier, L.; Douglas, P.; Smith, W.E. Characterization of active site structure in CYP121: A cytochrome P450 essential for viability of Mycobacterium tuberculosis H37Rv. J. Biol. Chem. 2008, 283, 33406–33416. [Google Scholar] [CrossRef] [PubMed]
- Nguyen, R.C.; Yang, Y.; Wang, Y.; Davis, I.; Liu, A. Substrate-Assisted Hydroxylation and O-Demethylation in the Peroxidase-like Cytochrome P450 Enzyme CYP121. ACS Catal. 2020, 10, 1628–1639. [Google Scholar] [CrossRef] [PubMed]
- Belin, P.; Le Du, M.H.; Fielding, A.; Lequin, O.; Jacquet, M.; Charbonnier, J.B.; Lecoq, A.; Thai, R.; Courçon, M.; Masson, C.; et al. Identification and structural basis of the reaction catalyzed by CYP121, an essential cytochrome P450 in Mycobacterium tuberculosis. Proc. Natl. Acad. Sci. USA 2009, 106, 7426–7431. [Google Scholar] [CrossRef]
- Gondry, M.; Sauguet, L.; Belin, P.; Thai, R.; Amouroux, R.; Tellier, C.; Tuphile, K.; Jacquet, M.; Braud, S.; Courçon, M.; et al. Cyclodipeptide synthases are a family of tRNA-dependent peptide bond–forming enzymes. Nat. Chem. Biol. 2009, 5, 414–420. [Google Scholar] [CrossRef]
- Zondo, N.M.; Padayachee, T.; Nelson, D.R.; Syed, K. Saprophytic to Pathogenic Mycobacteria: Loss of Cytochrome P450s Vis a Vis Their Prominent Involvement in Natural Metabolite Biosynthesis. Int. J. Mol. Sci. 2023, 24, 149. [Google Scholar] [CrossRef] [PubMed]
- Ngcobo, N.S.; Chiliza, Z.E.; Chen, W.; Yu, J.-H.; Nelson, D.R.; Tuszynski, J.A.; Preto, J.; Syed, K. Comparative analysis, structural insights, and substrate/drug Interaction of CYP128A1 in Mycobacterium tuberculosis. Int. J. Mol. Sci. 2020, 21, 4816. [Google Scholar] [CrossRef]
- Leys, D.; Mowat, C.G.; McLean, K.J.; Richmond, A.; Chapman, S.K.; Walkinshaw, M.D.; Munro, A.W. Atomic structure of Mycobacterium tuberculosis CYP121 to 1.06 A reveals novel features of cytochrome P450. J. Biol. Chem. 2003, 278, 5141–5147. [Google Scholar] [CrossRef] [PubMed]
- Dornevil, K.; Davis, I.; Fielding, A.J.; Terrell, J.R.; Ma, L.; Liu, A. Cross-linking of dicyclotyrosine by the cytochrome P450 enzyme CYP121 from Mycobacterium tuberculosis proceeds through a catalytic shunt pathway. J. Biol. Chem. 2017, 292, 13645–13657. [Google Scholar] [CrossRef]
- Dumas, V.G.; Defelipe, L.A.; Petruk, A.A.; Turjanski, A.G.; Marti, M.A. QM/MM study of the C—C coupling reaction mechanism of CYP121, an essential cytochrome p450 of Mycobacterium tuberculosis. Proteins Struct. Funct. Bioinform. 2014, 82, 1004–1021. [Google Scholar] [CrossRef]
- Chenge, J.T.; Swami, S.; McLean, K.J.; Kavanagh, M.E.; Coyne, A.G.; Rigby, S.E.; Cheesman, M.R.; Girvan, H.M.; Levy, C.W.; Rupp, B. Structural characterization and ligand/inhibitor identification provide functional insights into the Mycobacterium tuberculosis cytochrome P450 CYP126A1. J. Biol. Chem. 2017, 292, 1310–1329. [Google Scholar] [CrossRef]
- Seward, H.E.; Roujeinikova, A.; McLean, K.J.; Munro, A.W.; Leys, D. Crystal structure of the Mycobacterium tuberculosis P450 CYP121-fluconazole complex reveals new azole drug-P450 binding mode. J. Biol. Chem. 2006, 281, 39437–39443. [Google Scholar] [CrossRef] [PubMed]
- Padayachee, T.; Lamb, D.C.; Nelson, D.R.; Syed, K. Structure-Function Analysis of the Biotechnologically Important Cytochrome P450 107 (CYP107) Enzyme Family. Biomolecules 2023, 13, 1733. [Google Scholar] [CrossRef]
- Berman, H.M.; Westbrook, J.; Feng, Z.; Gilliland, G.; Bhat, T.N.; Weissig, H.; Shindyalov, I.N.; Bourne, P.E. The Protein Data Bank. Nucleic Acids Res. 2000, 28, 235–242. [Google Scholar] [CrossRef]
- Urban, P.; Lautier, T.; Pompon, D.; Truan, G. Ligand Access Channels in Cytochrome P450 Enzymes: A Review. Int. J. Mol. Sci. 2018, 19, 1617. [Google Scholar] [CrossRef]
- Ahmed, S.; Smith, J.; Nicholls, P.; Whomsley, R.; Cariuk, P. Synthesis and biological evaluation of imidazole based compounds as cytochrome P-450 inhibitors. Drug Des. Discov. 1995, 13, 27–41. [Google Scholar] [PubMed]
- Denisov, I.G.; Frank, D.J.; Sligar, S.G. Cooperative properties of cytochromes P450. Pharmacol. Ther. 2009, 124, 151–167. [Google Scholar] [CrossRef]
- Produst, L.; Poulos, T.; Waterman, M. Crystal structure of cytochrome P450 14a-sterol demethylase (CYP51) from Mycobacterium tuberculosis in complex with azole inhibitors. Proc. Natl. Acad. Sci. USA 2001, 98, 3068–3073. [Google Scholar] [CrossRef]
- Cupp-Vickery, J.R.; Garcia, C.; Hofacre, A.; McGee-Estrada, K. Ketoconazole-induced conformational changes in the active site of cytochrome P450eryF. J. Mol. Biol. 2001, 311, 101–110. [Google Scholar] [CrossRef]
- Zhao, Y.; White, M.A.; Muralidhara, B.; Sun, L.; Halpert, J.R.; Stout, C.D. Structure of microsomal cytochrome P450 2B4 complexed with the antifungal drug bifonazole: Insight into P450 conformational plasticity and membrane interaction. J. Biol. Chem. 2006, 281, 5973–5981. [Google Scholar] [CrossRef]
- Fonvielle, M.; Le Du, M.H.; Lequin, O.; Lecoq, A.; Jacquet, M.; Thai, R.; Dubois, S.; Grach, G.; Gondry, M.; Belin, P. Substrate and reaction specificity of Mycobacterium tuberculosis cytochrome P450 CYP121: Insights from biochemical studies and crystal structures. J. Biol. Chem. 2013, 288, 17347–17359. [Google Scholar] [CrossRef]
- Rajput, S.; McLean, K.J.; Poddar, H.; Selvam, I.R.; Nagalingam, G.; Triccas, J.A.; Levy, C.W.; Munro, A.W.; Hutton, C.A. Structure-Activity Relationships of cyclo(l-Tyrosyl-l-tyrosine) Derivatives Binding to Mycobacterium tuberculosis CYP121: Iodinated Analogues Promote Shift to High-Spin Adduct. J. Med. Chem. 2019, 62, 9792–9805. [Google Scholar] [CrossRef] [PubMed]
- Kavanagh, M.E.; Coyne, A.G.; McLean, K.J.; James, G.G.; Levy, C.W.; Marino, L.B.; de Carvalho, L.P.; Chan, D.S.; Hudson, S.A.; Surade, S.; et al. Fragment-Based Approaches to the Development of Mycobacterium tuberculosis CYP121 Inhibitors. J. Med. Chem. 2016, 59, 3272–3302. [Google Scholar] [CrossRef] [PubMed]
- Hudson, S.A.; McLean, K.J.; Surade, S.; Yang, Y.Q.; Leys, D.; Ciulli, A.; Munro, A.W.; Abell, C. Application of fragment screening and merging to the discovery of inhibitors of the Mycobacterium tuberculosis cytochrome P450 CYP121. Angew. Chem. (Int. Ed. Engl.) 2012, 51, 9311–9316. [Google Scholar] [CrossRef]
- Taban, I.M.; Elshihawy, H.; Torun, B.; Zucchini, B.; Williamson, C.J.; Altuwairigi, D.; Ngu, A.S.T.; McLean, K.J.; Levy, C.W.; Sood, S.; et al. Novel Aryl Substituted Pyrazoles as Small Molecule Inhibitors of Cytochrome P450 CYP121A1: Synthesis and Antimycobacterial Evaluation. J. Med. Chem. 2017, 60, 10257–10267. [Google Scholar] [CrossRef]
- Kishk, S.M.; McLean, K.J.; Sood, S.; Smith, D.; Evans, J.W.D.; Helal, M.A.; Gomaa, M.S.; Salama, I.; Mostafa, S.M.; de Carvalho, L.P.S.; et al. Design and Synthesis of Imidazole and Triazole Pyrazoles as Mycobacterium Tuberculosis CYP121A1 Inhibitors. ChemistryOpen 2019, 8, 995–1011. [Google Scholar] [CrossRef] [PubMed]
- Brengel, C.; Thomann, A.; Schifrin, A.; Allegretta, G.; Kamal, A.A.M.; Haupenthal, J.; Schnorr, I.; Cho, S.H.; Franzblau, S.G.; Empting, M.; et al. Biophysical Screening of a Focused Library for the Discovery of CYP121 Inhibitors as Novel Antimycobacterials. ChemMedChem 2017, 12, 1616–1626. [Google Scholar] [CrossRef] [PubMed]
- Walter, I.; Adam, S.; Gentilini, M.V.; Kany, A.M.; Brengel, C.; Thomann, A.; Sparwasser, T.; Köhnke, J.; Hartmann, R.W. Structure-Activity Relationship and Mode-Of-Action Studies Highlight 1-(4-Biphenylylmethyl)-1H-imidazole-Derived Small Molecules as Potent CYP121 Inhibitors. ChemMedChem 2021, 16, 2786–2801. [Google Scholar] [CrossRef] [PubMed]
- Kavanagh, M.E.; Gray, J.L.; Gilbert, S.H.; Coyne, A.G.; McLean, K.J.; Davis, H.J.; Munro, A.W.; Abell, C. Substrate Fragmentation for the Design of M. tuberculosis CYP121 Inhibitors. ChemMedChem 2016, 11, 1924–1935. [Google Scholar] [CrossRef] [PubMed]
- Frederickson, M.; Selvam, I.R.; Evangelopoulos, D.; McLean, K.J.; Katariya, M.M.; Tunnicliffe, R.B.; Campbell, B.; Kavanagh, M.E.; Charoensutthivarakul, S.; Blankley, R.T.; et al. A new strategy for hit generation: Novel in cellulo active inhibitors of CYP121A1 from Mycobacterium tuberculosis via a combined X-ray crystallographic and phenotypic screening approach (XP screen). Eur. J. Med. Chem. 2022, 230, 114105. [Google Scholar] [CrossRef] [PubMed]
- Binkowski, T.A.; Naghibzadeh, S.; Liang, J. CASTp: Computed Atlas of Surface Topography of proteins. Nucleic Acids Res. 2003, 31, 3352–3355. [Google Scholar] [CrossRef]
- Schrödinger, L.D.W. The PyMOL Molecular Graphics System; Version 2.0; 2020. [Google Scholar]
- Graham, S.E.; Peterson, J.A. How similar are P450s and what can their differences teach us? Arch. Biochem. Biophys. 1999, 369, 24–29. [Google Scholar] [CrossRef]
- Gotoh, O. Substrate recognition sites in cytochrome P450 family 2 (CYP2) proteins inferred from comparative analyses of amino acid and coding nucleotide sequences. J. Biol. Chem. 1992, 267, 83–90. [Google Scholar] [CrossRef]






















| Conformation | Number of Crystal Structures | Amino Acids Part of the Active Site (Number of Amino Acids) | Conserved Amino Acid Residues (Number of Amino Acids) | Unique Amino Acids (Number of Amino Acids) |
|---|---|---|---|---|
| Open | 9 | Leu55, Met62, Val83, Asn85, Met86, Ile102, His146, Thr229, Phe230, Ala233, Gly234, Ser237, Thr238, Phe241, Leu274, Asn277, Ser279, Phe280, Leu284, Pro285, Arg286, Leu309, Leu336, Ala337, Phe338, Gly339, Gln342, His343, Phe344, Cys345, Pro346, Gly347, Ser348, Leu350, Gly351, Arg386 (36) | Leu55, Met62, Asn85, Met86, Ile102, His146, Phe230, Ala233, Gly234, Ser237, Thr238, Phe241, Leu274, Asn277, Ser279, Phe280, Leu284, Pro285, Arg286, Leu309, Leu336, Ala337, Phe338, Gly339, Gln342, His343, Phe344, Cys345, Pro346, Gly347, Leu350, Gly351, Arg386 (33) | None |
| Closed | 44 | Leu55, Met62, Val82, Val83, Asn85, Met86, Ile89, Arg95, Ile102, Leu145, His146, Val149, Leu150, Thr229, Phe230, Ala233, Gly234, Val235, Ser237, Thr238, Phe241, Leu274, Asn277, Ser279, Phe280, Leu284, Pro285, Arg286, Leu309, Leu336, Ala337, Phe338, Gly339, Arg340, Gln342, His343, Phe344, Cys345, Pro346, Gly347, Ser348, Leu350, Gly351, Arg352, His354, Ala355, Arg386 (47) | Met62, Met86, Ile102, His146, Phe230, Ala233, Gly234, Ser237, Thr238, Phe241, Leu274, Phe280, Leu284, Arg286, Leu309, Leu336, Ala337, Phe338, Gly339, Gln342, His343, Phe344, Cys345, Pro346, Gly347, Leu350, Gly351 (27) | Val82, Ile89, Arg95, Leu145, Val149, Leu150, Val235, Arg340, Arg352, His354, Ala355 (11) |
| PDB Code | Amino Acid Residues |
|---|---|
| 1N4G | Thr77, Val78, Ala167, Phe168, Trp182, Val228, Thr229, Gly232, Ala233, Gly234 |
| 2IJ7 (B) | Met62, Thr77, Val78, Val82, Val83, Asn84, Asn85, Met86, Ala167, Phe168, Thr229, Ala233, Ser237, Phe280, Gln385, Arg386 |
| 2IJ7 (C) | Met62, Thr77, Val78, Val82, Val83, Asn84, Asn85, Met86, Ala167, Phe168, Thr229, Ala233, Ser237, Phe280, Gln385, Arg386 |
| 2IJ7 (D) | Met62, Thr77, Val78, Val82, Val83, Asn84, Asn85, Met86, Ala167, Phe168, Thr229, Ala233, Ser237, Phe280, Gln385, Arg386 |
| 2IJ7 (A) | Met62, Thr77, Val78, Val82, Val83, Asn84, Asn85, Met86, Ala167, Phe168, Thr229, Ala233, Ser237, Phe280, Gln385, Arg386 |
| 2IJ7 (E) | Met62, Thr77, Val78, Val82, Val83, Asn84, Asn85, Met86, Ala167, Phe168, Thr229, Ala233, Ser237, Phe280, Gln385, Arg386 |
| 3G5H | Met62, Thr77, Val78, Val82, Val83, Asn85, Ala167, Phe168, Trp182, Val228, Thr229, Gly232, Ala233, Phe280, Gln385, Arg386 |
| 4G1X | Met62, Asn85, Thr229, Phe230, Ala233, Ser237, Phe280, Cys345, Arg386 |
| 4G2G | Thr77, Val78, Val82, Asn85, Leu164, Ala167, Phe168, Trp182, Asp185, Val228, Thr229, Gly232, Ala233, Gln385 |
| 4G44 | Asn85, Thr229, Phe230, Ala233, Ser237, Phe280, Cys345, Arg386 |
| 4G45 | Met62, Val83, Ala233, Ser237, Phe280, Cys345, Arg386 |
| 4G46 | Thr77, Val78, Val82, Val83, Ala167, Phe168, Trp182, Val228, Thr229, Gln385 |
| 4G47 | Thr77, Val78, Val82, Asn85, Ser163, Leu164, Ala167, Phe168, Trp182, Asp185, Val228, Thr229, Gly232, Ala233, Gln385 |
| 4G48 | Thr77, Val78, Val82, Val83, Asn85, Leu164, Ala167, Phe168, Trp182, Asp185, Val228, Thr229, Gly232, Ala233, Gln385 |
| 4ICT | Met62, Thr77, Val78, Val82, Val83, Asn85, Ala167, Phe168, Trp182, Val228, Thr229, Gly232, Ala233, Gln385, Arg386 |
| 4IPS | Met62, Thr65, Leu73, Asn74, Thr77, Val78, Val82, Val83, Asn85, Met86, Ala167, Phe168, Trp182, Val228, Thr229, Gly232, Ala233, Pro285, Gln385 |
| 4IPW | Met62, Thr77, Val78, Val82, Val83, Asn85, Ala167, Phe168, Trp182, Val228, Thr229, Gly232, Ala233, Phe280, Gln385, Arg386 |
| 4IQ7 | Met62, Thr77, Val78, Val82, Val83, Asn85, Met86, Ala167, Phe168, Trp182, Val228, Thr229, Gly232, Ala233, Ser237, Phe280, Gln385, Arg386 |
| 4IQ9 | Met62, Thr77, Val78, Val82, Val83, Asn85, Ala167, Phe168, Trp182, Val228, Thr229, Gly232, Ala233, Ser237, Phe280, Gln385, Arg386 |
| 5EDT | Thr77, Val78, Leu159, Ser163, Ala167, Phe168, Ala178, Asn181, Trp182, Asp185, Val228, Thr229, Gly232, Ala233 |
| 5IBD | Met62, Leu76, Thr77, Val78, Val82, Val83, Asn85, Ala167, Phe168, Trp182, Val228, Thr229, Gly232, Ala233, Ser237, Phe280, Cys345, Gln385, Arg386 |
| 5IBE | Met62, Leu76, Thr77, Val78, Val82, Val83, Asn85, Ala167, Phe168, Trp182, Thr229, Ala233, Ser237, Phe280, Cys345, Gln385, Arg386 |
| 5IBF1 | Met62, Leu76, Val78, Val82, Val83, Asn85, Thr229, Ala233, Ser237, Phe280, Cys345, Arg386 |
| 5IBF2 | Thr77, Val78, Ser163, Leu164, Ala167, Phe168, Ala178, Lys179, Asn181, Trp182, Asp185, Val228, Thr229, Gly232, Ala233, Gln385 |
| 5IBG1 | Thr77, Val78, Val82, Leu164, Ala167, Phe168, Trp182, Val228, Thr229, Gly232, Ala233, Ser237, Phe280, Cys345, Gln385, Arg386 |
| 5IBG2 | Leu76, Val78, Pro79, Pro80, Ala178, Lys179, Trp182, Asp183 |
| 5IBH | Asn74, Ala75, Leu76, Thr77, Val78, Val82, Val83, Asn85, Leu164, Ala167, Phe168, Trp182, Asp185, Val228, Thr229, Gly232, Ala233, Gln385 |
| 5IBI | Thr65, Arg72, Leu76, Thr77, Val78, Val82, Val83, Asn85, Leu164, Ala167, Phe168, Trp182, Asp185, Val228, Thr229, Gly232, Ala233, Pro285, Gln385 |
| 5IBJ | Thr77, Val78, Val82, Val83, Asn85, Leu160, Ser163, Leu164, Ala167, Phe168, Asn181, Trp182, Asp185, Val228, Thr229, Gly232, Ala233 |
| 5OP9 | Met62, Ala75, Leu76, Thr77, Val78, Val82, Val83, Asn85, Met86, Ser163, Leu164, Ala167, Phe168, Trp182, Asp185, Val228, Thr229, Gly232, Ala233, Gln385 |
| 5OPA | Thr77, Val78, Val82, Val83, Asn85, Met86, Ser163, Leu164, Ala167, Phe168, Trp182, Asp185, Val228, Thr229, Gly232, Ala233, Gln385 |
| 6GEO | Met62, Asn74, Ala75, Leu76, Thr77, Val78, Val82, Val83, Asn85, Met86, Ser163, Leu164, Ala167, Phe168, Trp182, Asp185, Val228, Thr229, Phe230, Phe231, Gly232, Ala233, Gln385 |
| 6GEQ | Met62, Thr65, Arg72, Leu73, Asn74, Leu76, Thr77, Val78, Val82, Val83, Asn85, Ser163, Leu164, Ala167, Phe168, Ala178, Asn181, Trp182, Asp185, Val228, Thr229, Phe230, Gly232, Ala233, Pro285, Gln385 |
| 6RQ0 | Met62, Thr77, Val78, Val82, Val83, Asn85, Ala167, Phe168, Trp182, Val228, Thr229, Gly232, Ala233, Phe280, Gln385, Arg386 |
| 6RQ1 | Met62, Thr77, Val78, Val82, Val83, Asn85, Ala167, Phe168, Trp182, Val228, Thr229, Gly232, Ala233, Ser237, Phe280, Gln385, Arg386 |
| 6RQ3 | Met62, Thr77, Val78, Val82, Val83, Asn85, Ala167, Phe168, Trp182, Thr229, Ala233, Ser237, Phe280, Gln385, Arg386 |
| 6RQ5 | Met62, Thr77, Val78, Val82, Val83, Asn85, Ala167, Phe168, Trp182, Val228, Thr229, Gly232, Ala233, Phe280, Gln385, Arg386 |
| 6RQ6 | Met62, Thr77, Val78, Val82, Val83, Asn85, Ala167, Phe168, Trp182, Val228, Thr229, Gly232, Ala233, Phe280, Gln385, Arg386 |
| 6RQ8 | Met62, Thr77, Val78, Val82, Val83, Asn85, Ala167, Phe168, Trp182, Val228, Thr229, Gly232, Ala233, Ser237, Phe280, Gln385, Arg386 |
| 6RQ9 | Met62, Thr77, Val78, Val82, Val83, Asn85, Ala167, Phe168, Trp182, Val228, Thr229, Gly232, Ala233, Ser237, Phe280, Gln385, Arg386 |
| 6RQB | Met62, Thr77, Val78, Val82, Val83, Asn85, Ala167, Phe168, Trp182, Val228, Thr229, Gly232, Ala233, Ser237, Phe280, Gln385, Arg386 |
| 6RQD | Met62, Thr77, Val78, Val82, Val83, Asn85, Ala167, Phe168, Trp182, Val228, Thr229, Gly232, Ala233, Ser237, Phe280, Gln385, Arg386 |
| 6TE7 | Thr77, Val78, Val82, Val83, Asn85, Ser163, Leu164, Ile166, Ala167, Phe168, Ala178, Asn181, Trp182, Asp185, Val228, Thr229, Gly232, Ala233, Gln385, Arg386 |
| 6TET | Met62, Thr77, Val78, Asn85, Ser163, Leu164, Ala167, Phe168, Ala178, Asn181, Trp182, Asp185, Val228, Thr229, Phe230, Gly232, Ala233, Ile236, Ser237, Phe280, Leu284, Gln385, Arg386 |
| 6TEV | Met62, Thr77, Val78, Asn85, Leu160, Ser163, Leu164, Ala167, Phe168, Ala178, Asn181, Trp182, Asp185, Val228, Thr229, Phe230, Phe231, Gly232, Ala233, Ile236, Ser237, Phe280, Gln385, Arg386 |
| 6UPG | Met62, Thr77, Val78, Val82, Val83, Asn85, Ala167, Phe168, Trp182, Val228, Thr229, Gly232, Ala233, Ser237, Phe280, Gln385, Arg386 |
| 6UPI | Met62, Thr77, Val78, Val82, Val83, Asn85, Met86, Ala167, Phe168, Trp182, Val228, Thr229, Gly232, Ala233, Ser237, Phe280, Gln385, Arg386 |
| 7NQM | Met62, Asn74, Thr77, Val78, Val82, Val83, Asn84, Asn85, Met86, Leu164, Ala167, Phe168, Trp182, Val228, Thr229, Phe230, Gly232, Ala233, Pro285, Arg286, His343, Arg386 |
| 7NQN | Met62, Thr77, Val78, Val82, Val83, Asn85, Met86, Leu160, Ser163, Leu164, Ile166, Ala167, Phe168, Ala177, Ala178, Lys179, Asn181, Trp182, Asp185, Val228, Thr229, Phe230, Phe231, Gly232, Ala233, Arg386 |
| 7NQO | Met62, Thr65, Leu76, Thr77, Val78, Val82, Val83, Asn85, Met86, Ala167, Phe168, Trp182, Val228, Thr229, Phe230, Gly232, Ala233, Ile236, Ser237, Phe280, Leu284, Pro285, Arg286, Gln385, Arg386 |
Disclaimer/Publisher’s Note: The statements, opinions and data contained in all publications are solely those of the individual author(s) and contributor(s) and not of MDPI and/or the editor(s). MDPI and/or the editor(s) disclaim responsibility for any injury to people or property resulting from any ideas, methods, instructions or products referred to in the content. |
© 2024 by the authors. Licensee MDPI, Basel, Switzerland. This article is an open access article distributed under the terms and conditions of the Creative Commons Attribution (CC BY) license (https://creativecommons.org/licenses/by/4.0/).
Share and Cite
Padayachee, T.; Lamb, D.C.; Nelson, D.R.; Syed, K. Structure–Function Analysis of the Essential Mycobacterium tuberculosis P450 Drug Target, CYP121A1. Int. J. Mol. Sci. 2024, 25, 4886. https://doi.org/10.3390/ijms25094886
Padayachee T, Lamb DC, Nelson DR, Syed K. Structure–Function Analysis of the Essential Mycobacterium tuberculosis P450 Drug Target, CYP121A1. International Journal of Molecular Sciences. 2024; 25(9):4886. https://doi.org/10.3390/ijms25094886
Chicago/Turabian StylePadayachee, Tiara, David C. Lamb, David R. Nelson, and Khajamohiddin Syed. 2024. "Structure–Function Analysis of the Essential Mycobacterium tuberculosis P450 Drug Target, CYP121A1" International Journal of Molecular Sciences 25, no. 9: 4886. https://doi.org/10.3390/ijms25094886
APA StylePadayachee, T., Lamb, D. C., Nelson, D. R., & Syed, K. (2024). Structure–Function Analysis of the Essential Mycobacterium tuberculosis P450 Drug Target, CYP121A1. International Journal of Molecular Sciences, 25(9), 4886. https://doi.org/10.3390/ijms25094886

