Molybdenum Complexes Derived from 2-Hydroxy-5-nitrobenzaldehyde and Benzhydrazide as Potential Oxidation Catalysts and Semiconductors
Abstract
1. Introduction
2. Results and Discussion
2.1. Preparation, Spectroscopic Characterization, and Thermal Properties
2.2. Description of Molecular and Crystal Structure
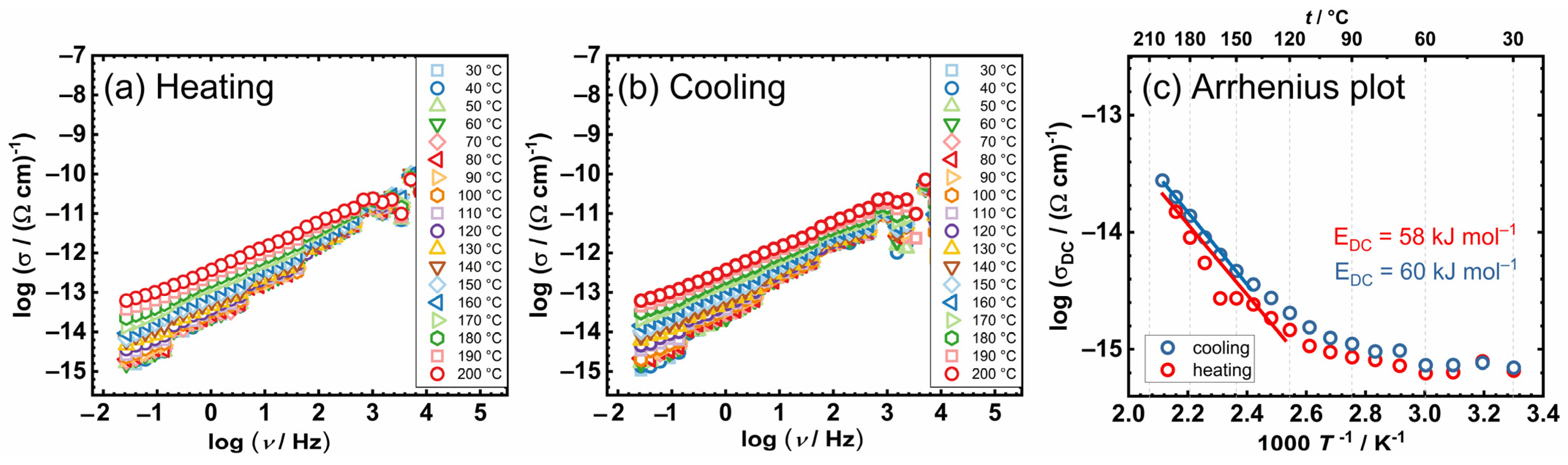
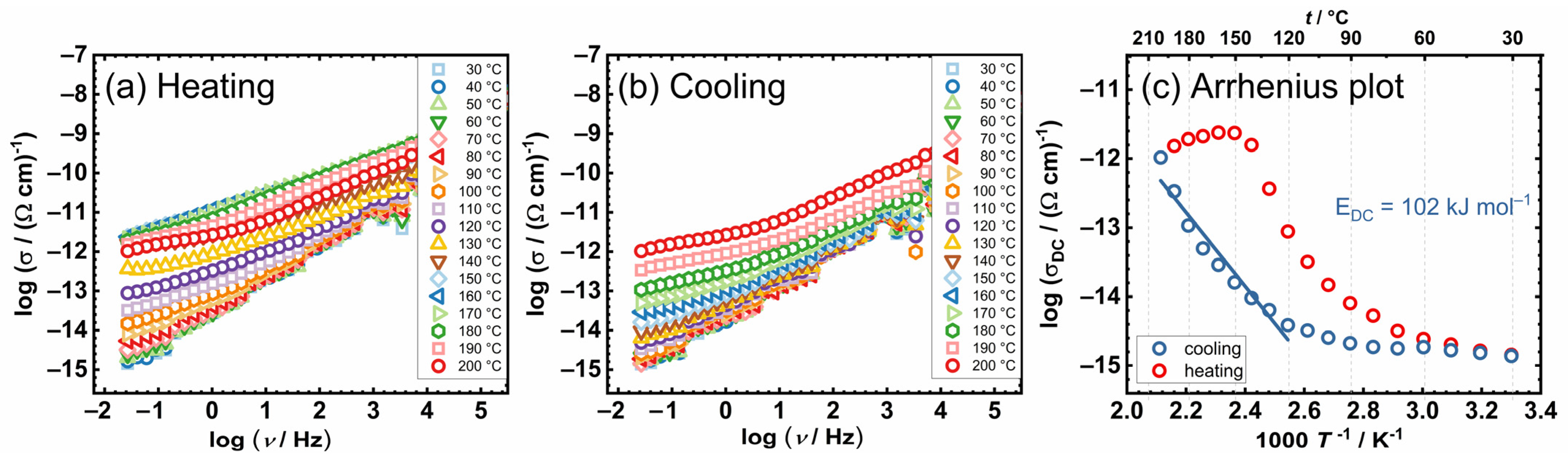
2.3. Electrical Properties Investigation
2.4. Catalytic Investigation
3. Materials and Methods
3.1. Materials
3.1.1. Preparation of the Starting Compounds
3.1.2. Synthesis of Molybdenum(VI) Complexes
3.1.3. Catalytic Protocol
3.2. Methods
4. Conclusions
Supplementary Materials
Author Contributions
Funding
Institutional Review Board Statement
Informed Consent Statement
Data Availability Statement
Acknowledgments
Conflicts of Interest
References
- Arora, T.; Devi, J.; Boora, A.; Taxak, B.; Rani, S. Synthesis and characterization of hydrazones and their transition metal complexes: Antimicrobial, antituberculosis and antioxidant activity. Res. Chem. Intermed. 2023, 49, 4819–4843. [Google Scholar] [CrossRef]
- Gazi, S.; Đokic, M.; Moeljadi, A.M.P.; Ganguly, R.; Hirao, H.; Soo, H.S. Kinetics and DFT Studies of Photoredox Carbon–Carbon Bond Cleavage Reactions by Molecular Vanadium Catalysts under Ambient Conditions. ACS Catal. 2017, 7, 4682–4691. [Google Scholar] [CrossRef]
- Chen, X.-C.; Wu, Q.-J.; Liang, Z.-Y.; Zhan, C.-R.; Liu, J.-B. Nickel and zinc complexes with a monodentate heterocycle and tridentate Schiff base ligands: Self-assembly to one- and two-dimensional supra molecular networks via hydrogen bonding. Acta Crystallogr. Sect. C Cryst. Struct. Commun. 2009, C65, m190–m194. [Google Scholar] [CrossRef] [PubMed]
- Sangeetha, N.R.; Pal, S. Syntheses and structures of square-pyramidal acetonitrile coordinated copper(II) complexes with N-(aroyl)-N′-(5-nitrosalicylidene)hydrazines. J. Chem. Cryst. 1999, 29, 287–293. [Google Scholar] [CrossRef]
- Sangeetha, N.R.; Baradi, K.; Gupta, R.; Pal, C.K.; Manivannan, V.; Pal, S. Synthesis, structure and properties of a dicopper(II) complex. Polyhedron 1999, 18, 1425–1429. [Google Scholar] [CrossRef]
- Raveendran, R.; Pal, S. Synthesis, structure and properties of di- and mononuclear ruthenium(III) complexes with N-(benzoyl)-N′-(salicylidene)hydrazine and its derivatives. Inorg. Chim. Acta 2006, 359, 3212–3220. [Google Scholar] [CrossRef]
- Xu, G.; Tang, B.-B.; Hao, L.; Liu, G.-L.; Li, H. Ligand-dependent assembly of dinuclear, linear tetranuclear and one-dimensional Zn(ii) complexes with an aroylhydrazone Schiff base. CrystEngComm 2017, 19, 781–787. [Google Scholar] [CrossRef]
- Li, A.-M. Synthesis and structures of two molybdenum(VI) complexes derived from similar benzohydrazone ligands with catalytic properties. J. Coord. Chem. 2014, 67, 1022–1031. [Google Scholar] [CrossRef]
- Odularu, A.T.; Ajibade, P.A.; Mbese, J.Z. Impact of Molybdenum Compounds as Anticancer Agents. Bioinorg. Chem. Appl. 2019, 2019, 6416198. [Google Scholar] [CrossRef]
- Sharma, B.; Shukla, S.; Rattan, R.; Fatima, M.; Goel, M.; Bhat, M.; Dutta, S.; Ranjan, R.K.; Sharma, M. Antimicrobial Agents Based on Metal Complexes: Present Situation and Future Prospects. Int. J. Biomater. 2022, 2022, 6819080. [Google Scholar] [CrossRef]
- Morlot, J.; Uyttebroeck, N.; Agustin, D.; Poli, R. Solvent-free epoxidation of olefins catalyzed by “[MoO2(SAP)]”: A new mode of tert-butylhydroperoxide activation. ChemCatChem 2013, 5, 601–611. [Google Scholar] [CrossRef]
- Pisk, J.; Prugovečki, B.; Matković-Čalogović, D.; Jednačak, T.; Novak, P.; Agustin, D.; Vrdoljak, V. Pyridoxal hydrazonato molybdenum(vi) complexes: Assembly, structure and epoxidation (pre)catalyst testing under solvent-free conditions. RSC Adv. 2014, 4, 39000–39010. [Google Scholar] [CrossRef]
- Vrdoljak, V.; Pisk, J.; Prugovečki, B.; Agustin, D.; Novak, P.; Matković-Čalogović, D. Dioxotungsten(vi) complexes with isoniazid-related hydrazones as (pre)catalysts for olefin epoxidation: Solvent and ligand substituent effects. RSC Adv. 2016, 6, 36384–36393. [Google Scholar] [CrossRef]
- Letizia, C.S.; Cocchiara, J.; Lalko, J.; Api, A.M. Fragrance material review on linalool. Food Chem. Toxicol. 2003, 41, 41943–41964. [Google Scholar] [CrossRef]
- Swift, K.A.D. Catalytic transformations of the major terpene feedstocks. Top. Catal. 2004, 27, 143–155. [Google Scholar] [CrossRef]
- Monteiro, J.L.F.; Veloso, C.O. Catalytic conversion of terpenes into fine chemicals. Top. Catal. 2004, 27, 169–180. [Google Scholar] [CrossRef]
- Speziali, M.G.; Robles-Dutenhefner, P.A.; Gusevskaya, E.V. Palladium-catalyzed oxidation of monoterpenes: Novel aerobic Pd (II)/Cu (II)-catalyzed oxidation of linalool under chloride-free nonacidic conditions. Organometallics 2007, 26, 4003–4009. [Google Scholar] [CrossRef]
- Speziali, M.G.; Costa, V.V.; Robles-Dutenhefner, P.A.; Gusevskaya, E.V. Aerobic palladium (II)/copper (II)-catalyzed oxidation of olefins under chloride-free nonacidic conditions. Organometallics 2009, 28, 3186–3192. [Google Scholar] [CrossRef]
- Vilanculo, C.B.; Da Silva, M.J.; Teixeira, M.G.; Villarreal, J.A. One-pot synthesis at room temperature of epoxides and linalool derivative pyrans in monolacunary Na 7 PW 11 O 39-catalyzed oxidation reactions by hydrogen peroxide. RSC Adv. 2020, 10, 7691–7697. [Google Scholar] [CrossRef]
- Haidar, A.A.H.; Agustin, D. Role of organic solvent and influence of oxidant in the oxidation of linalool catalyzed by molybdenum and vanadium complexes. Tetrahedron Green Chem 2023, 2, 100029. [Google Scholar] [CrossRef]
- Barsoukov, E.; Macdonald, J.R. Impedance Spectroscopy: Theory, Experiment, and Applications, 2nd ed.; John Wiley & Sons, Inc.: Hoboken, NJ, USA, 2005. [Google Scholar]
- Bonanos, N.; Pissis, P.; Macdonald, J.R. Impedance spectroscopy of dielectrics and electronic conductors. Charact. Mater. 2002, 1–14. [Google Scholar] [CrossRef]
- Macdonald, J.R. Impedance spectroscopy. Ann. Biomed. Eng. 1992, 20, 289–305. [Google Scholar] [CrossRef] [PubMed]
- Lacroix, P.G.; Averseng, F.; Malfant, I.; Nakatani, K. Synthesis, crystal structures, and molecular hyperpolarizabilities of a new Schiff base ligand, and its copper (II), nickel (II), and cobalt (II) metal complexes. Inorg. Chim. Acta 2004, 357, 3825–3835. [Google Scholar] [CrossRef]
- Sarkar, S.; Aydogdu, Y.; Dagdelen, F.; Bhaumik, B.B.; Dey, K. X-ray diffraction studies, thermal, electrical and optical properties of oxovanadium (IV) complexes with quadridentate schiff bases. Mater. Chem. Phys. 2004, 88, 357–363. [Google Scholar] [CrossRef]
- Sun, Z.Y.; Yuan, R.; Chai, Y.Q.; Xu, L.; Gan, X.X.; Xu, W.J. Study of a bis-furaldehyde Schiff base copper (II) complex as carrier for preparation of highly selective thiocyanate electrodes. Anal. Bioanal. Chem. 2004, 378, 490–494. [Google Scholar] [CrossRef] [PubMed]
- Sarjanović, J.; Topić, E.; Rubčić, M.; Dubraja, L.A.; Pavić, L.; Pisk, J. Evaluation of vanadium coordination compounds derived from simple acetic acid hydrazide as non-conventional semiconductors. J. Mat. Chem. C 2024, 12, 4013–4025. [Google Scholar] [CrossRef]
- Sarjanović, J.; Stojić, M.; Rubčić, M.; Pavić, L.; Pisk, J. Impedance Spectroscopy as a Powerful Tool for Researching Molybdenum-Based Materials with Schiff Base Hydrazones. Materials 2023, 16, 1064. [Google Scholar] [CrossRef] [PubMed]
- Cindrić, M.; Vrdoljak, V.; Strukan, N.; Kamenar, B. Synthesis and characterization of some mono- and dinuclear molybdenum(VI) thiosemicarbazonato complexes. Polyhedron 2005, 24, 369–376. [Google Scholar] [CrossRef]
- Vrdoljak, V.; Cindrić, M.; Milić, D.; Matković-Čalogović, D.; Novak, P.; Kamenar, B. Synthesis of five new molybdenum(VI) thiosemicarbazonato complexes. Crystal structures of salicylaldehyde and 3-methoxy-salicylaldehyde 4-methylthiosemicarbazones and their molybdenum(VI) complexes. Polyhedron 2005, 24, 1717–1726. [Google Scholar] [CrossRef]
- Pisk, J.; Bilić, L.; Đaković, M.; Cvijanović, D.; Damjanović, V.; Lovrić, J.; Rubčić, M.; Vrdoljak, V.; Cindrić, M. Design of mononuclear, binuclear and polynuclear molybdenum(VI) complexes based on ONO benzoylacetone derived enaminones and their in vitro biological activity. Polyhedron 2018, 145, 70–79. [Google Scholar] [CrossRef]
- Dinda, R.; Ghosh, S.; Falvello, L.R.; Tomas, M.; Mak, T.C.W. Synthesis, structure, and reactivity of some new dipyridyl and diamine-bridged dinuclear oxomolybdenum(VI) complexes. Polyhedron 2006, 25, 2375–2382. [Google Scholar] [CrossRef]
- Bafti, A.; Mandić, V.; Panžić, I.; Pavić, L.; Špada, V. CdSe QDs modified cellulose microfibrils for enhanced humidity sensing properties. Appl. Surf. Sci. 2022, 612, 155894. [Google Scholar] [CrossRef]
- Kojić, V.; Bohač, M.; Bafti, A.; Pavić, L.; Salamon, K.; Čižmar, T.; Gracin, D.; Juraić, K.; Leskovac, M.; Capan, I.; et al. Formamidinium Lead Iodide Perovskite Films with Polyvinylpyrrolidone Additive for Active Layer in Perovskite Solar Cells, Enhanced Stability and Electrical Conductivity. Materials 2021, 14, 4594. [Google Scholar] [CrossRef] [PubMed]
- Sklepić, K.; Tricot, G.; Mošner, P.; Koudelka, L.; Moguš-Milanković, A. Sodium Ion Conductivity in Mixed Former Na2O–P2O5–GeO2 and Na2O–B2O3– P2O5–GeO2 Glasses. J. Phys. Chem. C 2021, 125, 10593–10604. [Google Scholar] [CrossRef]
- Pavić, L.; Nikolić, J.; Graça, M.P.F.; Costa, B.F.; Valente, M.A.; Skoko, Ž.; Šantić, A.; Moguš-Milanković, A. Effect of controlled crystallization on polaronic transport in phosphate-based glass-ceramics. Int. J. Appl. Glass Sci. 2020, 11, 97–111. [Google Scholar] [CrossRef]
- Chen, G.J.-J.; McDonald, J.W.; Newton, W.E. Synthesis of molybdenum(IV) and molybdenum(V) complexes using oxo abstraction by phosphines. Mechanistic implications. Inorg. Chem. 1976, 15, 2612–2615. [Google Scholar] [CrossRef]
- Rigaku Oxford Diffraction. CrysAlisPro Software System; Versions 1.171.42.49, 1.171.41.92a, 1.171.41.93a and 1.171.42.53a; Rigaku Oxford Diffraction: Oxford, UK, 2020. [Google Scholar]
- Sheldrick, G.M. SHELXT-Integrated space-group and crystal-structure determination. Acta Cryst. A 2015, 71, 3–8. [Google Scholar] [CrossRef] [PubMed]
- Sheldrick, G.M. Crystal structure refinement with SHELXL. Acta Cryst. C 2015, 71, 3–8. [Google Scholar] [CrossRef] [PubMed]
- Dolomanov, O.V.; Bourhis, L.J.; Gildea, R.J.; Howard, J.A.K.; Puschmann, H. OLEX2: A complete structure solution, refinement and analysis program. J. Appl. Cryst. 2009, 42, 339–341. [Google Scholar] [CrossRef]
- Spek, A.L. Structure validation in chemical crystallography. Acta Cryst. Section D Biol. Crystallogr. 2009, D65, 148–155. [Google Scholar] [CrossRef]
- Macrae, C.F.; Sovago, I.; Cottrell, S.J.; Galek, P.T.A.; McCabe, P.; Pidcock, E.; Platings, M.; Shields, G.P.; Stevens, J.S.; Towler, M.; et al. Mercury 4.0: From visualization to analysis, design and prediction. J. Appl. Crystallogr. 2020, 53, 226–235. [Google Scholar] [CrossRef]
- WinFit, Version 3.2; Novocontrol Technologies GmbH & Co. KG: Hundsangen, Germany.








| Complex | Coordinated Solvent Loss/°C | Complex Decomposition/°C |
|---|---|---|
| [MoO2(L)(MeOH)] (1) | 148–180 | 331–442 |
| [MoO2(L)(H2O)] (2) | 143–167 | 332–441 |
| [(MoO2(L))2(4,4-bpy)] (3) | - | 326–452 |
| Complex | /(Ω cm)−1 a | EDC/kJ mol−1 (Heating Run) | EDC/kJ mol−1 (Cooling Run) |
|---|---|---|---|
| [MoO2(L)(MeOH)] (1) | 2.8 × 10−14 | 58.0 | 60.0 |
| [MoO2(L)(H2O)] (2) | 1.0 × 10−12 | - | 102.0 |
| [(MoO2(L))2(4,4-bpy)] (3) | 1.7 × 10−13 | 65.0 | 66.0 |
| Substrate | Catalytic Parameter | Catalysts | |
|---|---|---|---|
| [MoO2(L)(MeOH)] (1) | [MoO2(L)(H2O)] (2) | ||
| Cis-cyclooctene | Conversion a/% | 75 | 83 |
| Epoxide selectivity b/% | 65 | 73 | |
| Epoxide yield/% | 48 | 60 | |
| TOF20min c | 244 | 276 | |
| TON d | 299 | 323 | |
| Linalool | Conversion a/% | 43 | 92 |
| Furanoid selectivity b/% | 41 | 48 | |
| Furanoid yield/% | 18 | 44 | |
| Pyranoid selectivity b/% | 25 | 29 | |
| Pyranoid yield/% | 11 | 27 | |
| TOF20min c | 208 | 445 | |
| TON d | 173 | 367 | |
Disclaimer/Publisher’s Note: The statements, opinions and data contained in all publications are solely those of the individual author(s) and contributor(s) and not of MDPI and/or the editor(s). MDPI and/or the editor(s) disclaim responsibility for any injury to people or property resulting from any ideas, methods, instructions or products referred to in the content. |
© 2024 by the authors. Licensee MDPI, Basel, Switzerland. This article is an open access article distributed under the terms and conditions of the Creative Commons Attribution (CC BY) license (https://creativecommons.org/licenses/by/4.0/).
Share and Cite
Pisk, J.; Šušković, M.; Topić, E.; Agustin, D.; Judaš, N.; Pavić, L. Molybdenum Complexes Derived from 2-Hydroxy-5-nitrobenzaldehyde and Benzhydrazide as Potential Oxidation Catalysts and Semiconductors. Int. J. Mol. Sci. 2024, 25, 4859. https://doi.org/10.3390/ijms25094859
Pisk J, Šušković M, Topić E, Agustin D, Judaš N, Pavić L. Molybdenum Complexes Derived from 2-Hydroxy-5-nitrobenzaldehyde and Benzhydrazide as Potential Oxidation Catalysts and Semiconductors. International Journal of Molecular Sciences. 2024; 25(9):4859. https://doi.org/10.3390/ijms25094859
Chicago/Turabian StylePisk, Jana, Mia Šušković, Edi Topić, Dominique Agustin, Nenad Judaš, and Luka Pavić. 2024. "Molybdenum Complexes Derived from 2-Hydroxy-5-nitrobenzaldehyde and Benzhydrazide as Potential Oxidation Catalysts and Semiconductors" International Journal of Molecular Sciences 25, no. 9: 4859. https://doi.org/10.3390/ijms25094859
APA StylePisk, J., Šušković, M., Topić, E., Agustin, D., Judaš, N., & Pavić, L. (2024). Molybdenum Complexes Derived from 2-Hydroxy-5-nitrobenzaldehyde and Benzhydrazide as Potential Oxidation Catalysts and Semiconductors. International Journal of Molecular Sciences, 25(9), 4859. https://doi.org/10.3390/ijms25094859

