Fructosyl Amino Oxidase as a Therapeutic Enzyme in Age-Related Macular Degeneration
Abstract
1. Introduction
2. Results
2.1. Autofluorescence Kinetics of FAOD Treatment on Retina Suspensions
2.2. Human Retina
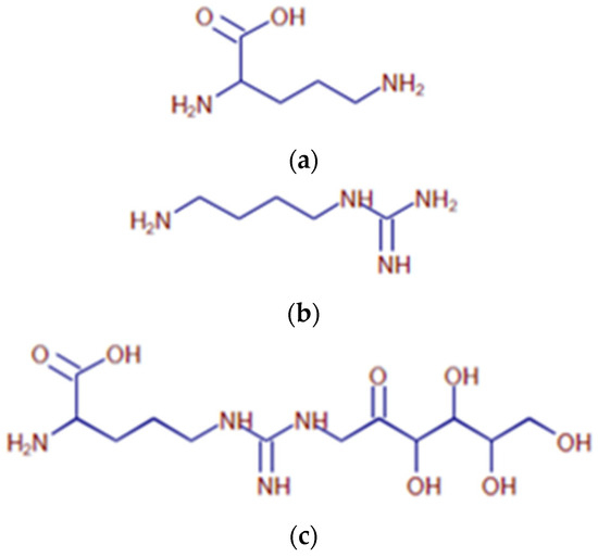
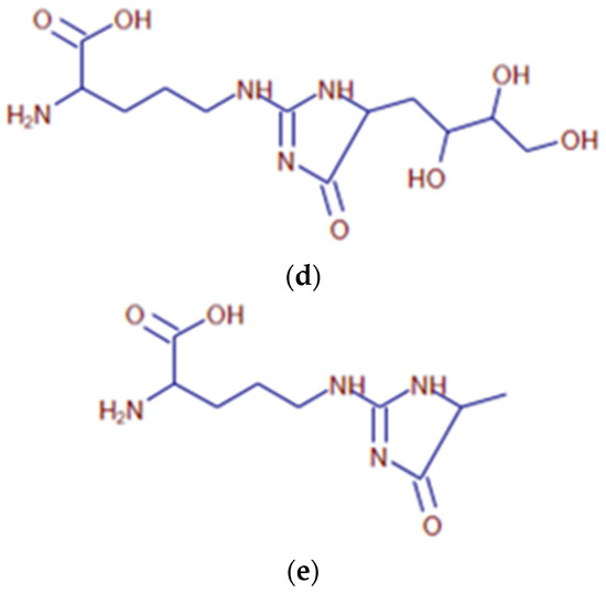
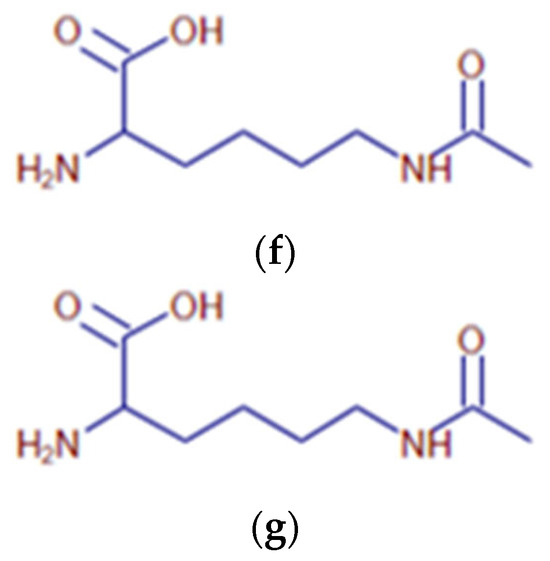
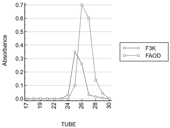
2.3. Comparison between FAOD and F3K
3. Discussion
4. Materials and Methods
4.1. FAOD and FAOD Mutant
4.1.1. Retina Material
4.1.2. Infrared Spectroscopy of Human Retina
4.1.3. Autofluorescence Measurement of AGEs
4.1.4. Gel Permeation Chromatography
4.1.5. UHPLC-HRMS Analysis of AGEs
4.1.6. Light Microscopy
4.1.7. Statistical Analysis
5. Patents
Supplementary Materials
Author Contributions
Funding
Institutional Review Board Statement
Informed Consent Statement
Data Availability Statement
Conflicts of Interest
References
- Wong, W.L.; Su, X.; Li, X.; Cheung, C.M.; Klein, R.; Cheng, C.Y.; Wong, T.Y. Global prevalence of age-related macular degeneration and disease burden projection for 2020 and 2040: A systematic review and meta-analysis. Lancet Glob. Health. 2014, 2, e106–e116. [Google Scholar] [CrossRef] [PubMed]
- Granstam, E.; Aurell, S.; Sjövall, K.; Paul, A. Switching anti-VEGF agent for wet AMD: Evaluation of impact on visual acuity, treatment frequency and retinal morphology in a real-world clinical setting. Graefe’s Arch. Clin. Exp. Ophthalmol. 2021, 259, 2085–2093. [Google Scholar] [CrossRef] [PubMed]
- Glenn, J.V.; Stitt, A.W. The role of advanced glycation end products in retinal ageing and disease. Biochim. Biophys. Acta. 2009, 1790, 1109–1116. [Google Scholar] [CrossRef] [PubMed]
- Crabb, J.W.; Miyagi, M.; Gu, X.; Shadrach, K.; West, K.A.; Sakaguchi, H.; Kamei, M.; Hasan, A.; Yan, L.; Rayborn, M.E.; et al. Drusen proteome analysis: An approach to the etiology of age-related macular degeneration. Proc. Natl. Acad. Sci. USA 2002, 99, 14682–14687. [Google Scholar] [CrossRef] [PubMed]
- Stitt, A.W. The Maillard Reaction in Eye Diseases. Ann. N. Y. Acad. Sci. 2005, 1043, 582–597. [Google Scholar] [CrossRef] [PubMed]
- Sergi, D.; Boulestin, H.; Campbell, F.M.; Williams, L.M. The Role of Dietary Advanced Glycation End Products in Metabolic Dysfunction. Mol. Nutr. Food Res. 2021, 65, e1900934. [Google Scholar] [CrossRef] [PubMed]
- Tessier, F.J. The Maillard Reaction in the Human Body. The Main Discoveries and Factors That Affect Glycation. Pathol. Biol. 2010, 58, 214–219. [Google Scholar] [CrossRef] [PubMed]
- Ruiz, H.H.; Ramasamy, R.; Schmidt, A.M. Advanced Glycation End Products: Building on the Concept of the “Common Soil” in Metabolic Disease. Endocrinology 2020, 161, bqz006. [Google Scholar] [CrossRef]
- Chaudhuri, J.; Bains, Y.; Guha, S.; Kahn, A.; Hall, D.; Bose, N.; Gugliucci, A.; Kapahi, P. The Role of Advanced Glycation End Products in Aging and Metabolic Diseases: Bridging Association and Causality. Cell Metab. 2018, 28, 337–352. [Google Scholar] [CrossRef]
- Bejarano, E.; Taylor, A. Too Sweet: Problems of Protein Glycation in the Eye. Exp. Eye Res. 2019, 178, 255–262. [Google Scholar] [CrossRef]
- Stitt, A.W. Advanced Glycation: An Important Pathological Event in Diabetic and Age Related Ocular Disease. Br. J. Ophthalmol. 2001, 85, 746–753. [Google Scholar] [CrossRef] [PubMed]
- Hollyfield, J.G.; Salomon, R.G.; Crabb, J.W. Proteomic approaches to understanding age-related macular degeneration. Adv. Exp. Med. Biol. 2003, 533, 83–89. [Google Scholar] [CrossRef]
- Sparrow, J.R.; Duncker, T. Fundus Autofluorescence and RPE Lipofuscin in Age-Related macular degeneration. J. Clin. Med. 2014, 3, 1302–1321. [Google Scholar] [CrossRef]
- Delori, F.C.; Goger, D.G.; Dorey, C.K. Age-related accumulation and spatial distribution of lipofuscin in RPE of normal subjects. Investig. Ophthalmol. Vis. Sci. 2001, 42, 1855–1866. [Google Scholar]
- De Bruyne, S.; van Schie, L.; Himpe, J.; De Somer, F.; Everaert, I.; Derave, W.; Van den Broecke, C.; Huizing, M.; Bostan, N.; Speeckaert, M.; et al. A potential role for fructosamine-3-kinase in cataract treatment. Int. J. Mol. Sci. 2021, 22, 3841. [Google Scholar] [CrossRef]
- Ferri, S.; Kim, S.; Tsugawa, W.; Sode, K. Review of fructosyl amino acid oxidase engineering research; a glimpse into the future of hemoglobin A1c biosensing. J. Diabetes Sci. Technol. 2009, 3, 585–592. [Google Scholar] [CrossRef]
- Lin, Z.; Zheng, J. Occurrence, characteristics, and applications of fructosyl amine oxidases (amadoriases). Appl. Microbiol. Biotechnol. 2010, 86, 1613–1619. [Google Scholar] [CrossRef] [PubMed]
- Collard, F.; Zhang, J.; Nemet, I.; Qanungo, K.R.; Monnier, V.M.; Yee, V.C. Crystal Structure of the Deglycating Enzyme Fructosamine Oxidase (Amadoriase II). J. Biol. Chem. 2008, 283, 27007–27016. [Google Scholar] [CrossRef] [PubMed]
- Liu, L.; Hood, S.; Wang, Y.; Bezverkov, R.; Dou, C.; Datta, A.; Yuan, C. Direct enzymatic assay for %HbA1c in human whole blood samples. Clin. Biochem. 2008, 41, 576–583. [Google Scholar]
- Delanghe, J.R.; Beeckman, J.; Beerens, K.; Himpe, J.; Bostan, N.; Speeckaert, M.M.; Notebaert, M.; Huizing, M.; Van Aken, E. Topical application of deglycating enzymes as an alternative non-invasive treatment for presbyopia. Int. J. Mol. Sci. 2023, 24, 7343. [Google Scholar] [CrossRef]
- De Decker, I.; Notebaert, M.; Speeckaert, M.M.; Claes, K.E.Y.; Blondeel, P.; Van Aken, E.; Van Dorpe, J.; De Somer, F.; Heintz, M.; Monstrey, S.; et al. Enzymatic deglycation of the skin by means of combined use of fructosamine-3-kinase and fructosyl amino-acid oxidase. Int. J. Mol. Sci. 2023, 24, 8981. [Google Scholar] [CrossRef] [PubMed]
- Minnaert, A.-K.; van Schie, L.; Grootaert, H.; Himpe, J.; Devos, S.; Weyts, W.; De Keersmacker, H.; Braeckmans, K.; Van Aken, E.; Delanghe, J.; et al. Yeast-produced fructosamine-3-kinase retains mobility after intravitreal injection and topical application in human and bovine eyes as determined by fluorescence correlation spectroscopy. Int. J. Pharmaceutics 2022, 621, 121772. [Google Scholar] [CrossRef]
- De Bruyne, S.; Vandenbroecke, C.; Vrielinck, H.; Khelifi, S.; De Wever, O.; Bracke, K.; Huizing, M.; Bostan, N.; Himpe, J.; Speeckaert, M.; et al. Fructosamine-3-Kinase as a Potential Treatment Option for Age-Related Macular Degeneration. J. Clin. Med. 2020, 9, 2869. [Google Scholar] [CrossRef]
- Kang, C.; Wu, H.-L.; Zhou, C.; Xiang, S.-X.; Zhang, X.-H.; Yu, Y.-J.; Yu, R.-Q. Quantitative fluorescence kinetic analysis of NADH and FAD in human plasma using three- and four-way calibration methods capable of providing the second-order advantage. Anal. Chim. Acta 2016, 910, 36–44. [Google Scholar] [CrossRef]
- Nagaraj, R.H.; Linetsky, M.; Stitt, A.W. The Pathogenic Role of Maillard Reaction in the Aging Eye. Amino Acids. 2012, 42, 1205–1220. [Google Scholar] [CrossRef] [PubMed]
- Benhar, I.; London, A.; Schwartz, M. The Privileged Immunity of Immune Privileged Organs: The Case of the Eye. Front. Immunol. 2012, 3, 296. [Google Scholar] [CrossRef] [PubMed]
- Glenn, J.V.; Beattie, J.R.; Barrett, L.; Frizzell, N.; Thorpe, S.R.; Boulton, M.E.; McGarvey, J.J.; Stitt, A.W. Confocal Raman microscopy can quantify advanced glycation end product (AGE) modifications in Bruch’s membrane leading to accurate, nondestructive prediction of ocular aging. FASEB J. 2007, 21, 3542–3552. [Google Scholar] [CrossRef] [PubMed]
- Hammes, H.-P.; Alt, A.; Niwa, T.; Clausen, J.T.; Bretzel, R.G.; Brownlee, M.; Schleicher, E.D. Differential accumulation of advanced glycation end products in the course of diabetic retinopathy. Diabetologia 1999, 42, 728–736. [Google Scholar] [CrossRef] [PubMed]
- Ebrahem, Q.; Renganathan, K.; Sears, J.; Vasanji, A.; Gu, X.; Lu, L.; Salomon, R.G.; Crabb, J.W.; Anand-Apte, B. Carboxyethylpyrrole oxidative protein modifications stimulate neovascularization: Implications for age-related macular degeneration. Proc. Natl. Acad. Sci. USA 2006, 103, 13480–13484. [Google Scholar] [CrossRef]
- Yoon, K.D.; Yamamoto, K.; Ueda, K.; Zhou, J.; Sparrow, J.R. A novel source of methylglyoxal and glyoxal in Retina: Implications for age-related macular degeneration. PLoS ONE 2012, 7, e41309. [Google Scholar] [CrossRef]
- Fernandez, D.C.; Bhargava, R.; Hewitt, S.M.; Levin, I.W. Infrared spectroscopic imaging for histopathologic recognition. Nat. Biotechnol. 2005, 23, 469–474. [Google Scholar] [CrossRef] [PubMed]
- Varma, V.K.; Kajdacsy-Balla, A.; Akkina, S.K.; Setty, S.; Walsh, M.J. A label-free approach by infrared spectroscopic imaging for interrogating the biochemistry of diabetic nephropathy progression. Kidney Int. 2016, 89, 1153–1159. [Google Scholar] [CrossRef] [PubMed]
- De Bruyne, S.; Speeckaert, M.M.; Delanghe, J.R. Applications of mid-infrared spectroscopy in the clinical laboratory setting. Crit. Rev. Clin. Lab. Sci. 2018, 55, 1–20. [Google Scholar] [CrossRef] [PubMed]
- Roe, J.H. A Colorimetric method for the determination of fructose in blood and urine. J. Biol. Chem. 1934, 107, 15–22. [Google Scholar] [CrossRef]








| # | RT (min) | [M + H]+ m/z | Molecular Formula | Annotation |
|---|---|---|---|---|
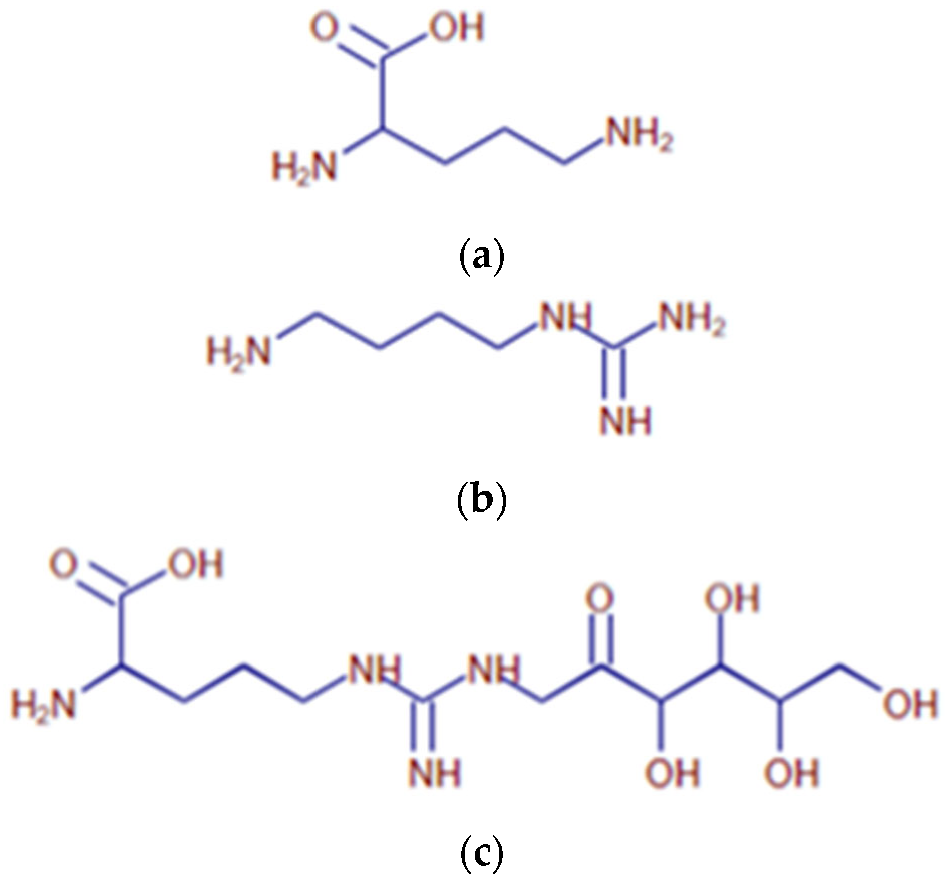
| L1 | 0.85 | 309.16554 | C12 H24 N2 O7 | Fructosyl-lysine/Glucosyl-lysine |
| - | 0.85 | 147.11260 | C6 H14 N2 O2 | Lysine |
| L2 | 0.89 | 219.13387 | C9 H18 N2 O4 | Carboxyethyllysine |
| L3 | 0.91 | 205.11825 | C8 H16 N2 O4 | Carboxymethyllysine |
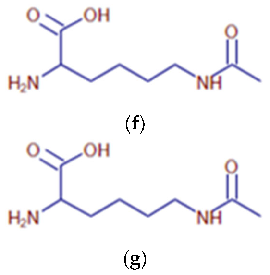
| L5 | 0.96 | 189.12335 | C8 H16 N2 O3 | Acetyllysine |
| L6 | 0.98 | 175.10778 | C7 H14 N2 O3 | Formyllysine |
| L10 | 1.07 | 219.13388 | C9 H18 N2 O4 | Carboxyethyllysine |
| L11 | 1.09 | 189.12332 | C8 H16 N2 O3 | Acetyllysine |
| Compound # | RT (min) | [M + H]+ m/z | Assigned Molecular Formula |
|---|---|---|---|
| A1 | 0.82 | 133.09695 | C5 H12 N2 O2 |
| A2 | 0.83 | 131.12904 | C5 H14 N4 |
| - | 0.86 | 175.11854 | C6 H14 N4 O2 |
| A3 | 0.88 | 337.17098 | C12 H24 N4 O7 |
| A4 | 0.88 | 319.16064 | C12 H22 N4 O6 |
| # | [M = H] m/z | Molecular Formula | Annotation | FAOD | F3K |
|---|---|---|---|---|---|
| A1 | 133.09695 | C5H12N2O2 | ornithine | STRONG | WEAK |
| A3 | 337.17098 | C12H24N4O7 | Fructosyl-arginine/glucosylarginine | STRONG | NOT ACTIVE |
| A4 | 319.16064 | C12H22N4O6 | Imidazolone A | STRONG | NOT ACTIVE |
| L1 | 309.16554 | C12H24N2O7 | Fryctosyl-lysine/glucosyl-lysine | STRONG | WEAK |
| L2 | 219.13387 | C9H18N2O4 | carboxyethyllysine | STRONG | WEAK |
| L3 | 205.11825 | C8H16N2O4 | carboxymethyllysine | STRONG | WEAK |
| Formed products | |||||
| A9 | 351.15047 | C12H22N4O8 | Product from arginine, 3-deoxyglycosone and glyoxal | VERY STRONG | Not detected |
| A2 | 131.12904 | C5H14N4 | agmatine | STRONG | Variable (depending on starting mixture) |
Disclaimer/Publisher’s Note: The statements, opinions and data contained in all publications are solely those of the individual author(s) and contributor(s) and not of MDPI and/or the editor(s). MDPI and/or the editor(s) disclaim responsibility for any injury to people or property resulting from any ideas, methods, instructions or products referred to in the content. |
© 2024 by the authors. Licensee MDPI, Basel, Switzerland. This article is an open access article distributed under the terms and conditions of the Creative Commons Attribution (CC BY) license (https://creativecommons.org/licenses/by/4.0/).
Share and Cite
Delanghe, J.R.; Diana Di Mavungu, J.; Beerens, K.; Himpe, J.; Bostan, N.; Speeckaert, M.M.; Vrielinck, H.; Vral, A.; Van Den Broeke, C.; Huizing, M.; et al. Fructosyl Amino Oxidase as a Therapeutic Enzyme in Age-Related Macular Degeneration. Int. J. Mol. Sci. 2024, 25, 4779. https://doi.org/10.3390/ijms25094779
Delanghe JR, Diana Di Mavungu J, Beerens K, Himpe J, Bostan N, Speeckaert MM, Vrielinck H, Vral A, Van Den Broeke C, Huizing M, et al. Fructosyl Amino Oxidase as a Therapeutic Enzyme in Age-Related Macular Degeneration. International Journal of Molecular Sciences. 2024; 25(9):4779. https://doi.org/10.3390/ijms25094779
Chicago/Turabian StyleDelanghe, Joris R., Jose Diana Di Mavungu, Koen Beerens, Jonas Himpe, Nezahat Bostan, Marijn M. Speeckaert, Henk Vrielinck, Anne Vral, Caroline Van Den Broeke, Manon Huizing, and et al. 2024. "Fructosyl Amino Oxidase as a Therapeutic Enzyme in Age-Related Macular Degeneration" International Journal of Molecular Sciences 25, no. 9: 4779. https://doi.org/10.3390/ijms25094779
APA StyleDelanghe, J. R., Diana Di Mavungu, J., Beerens, K., Himpe, J., Bostan, N., Speeckaert, M. M., Vrielinck, H., Vral, A., Van Den Broeke, C., Huizing, M., & Van Aken, E. (2024). Fructosyl Amino Oxidase as a Therapeutic Enzyme in Age-Related Macular Degeneration. International Journal of Molecular Sciences, 25(9), 4779. https://doi.org/10.3390/ijms25094779

