Next Article in Journal
Effect of Regulation of Chemerin/Chemokine-like Receptor 1/Stimulator of Interferon Genes Pathway on Astrocyte Recruitment to Aβ Plaques
Next Article in Special Issue
Synthesis of Natural and Sugar-Modified Nucleosides Using the Iodine/Triethylsilane System as N-Glycosidation Promoter
Previous Article in Journal
Molecular Biomarkers of Neurodegenerative Disorders: A Practical Guide to Their Appropriate Use and Interpretation in Clinical Practice
Previous Article in Special Issue
Synthesis of Enantiopure (S)-Atenolol by Utilization of Lipase-Catalyzed Kinetic Resolution of a Key Intermediate
 
 
Font Type:
Arial Georgia Verdana
Font Size:
Aa Aa Aa
Line Spacing:
Column Width:
Background:
Article

Stereoselective Synthesis and Catalytical Application of Perillaldehyde-Based 3-Amino-1,2-diol Regioisomers

1
Institute of Pharmacognosy, University of Szeged, H-6720 Szeged, Hungary
2
Institute of Pharmaceutical Chemistry, Interdisciplinary Excellence Center, University of Szeged, Eötvös utca 6, H-6720 Szeged, Hungary
3
Institute of Chemistry, Eötvös Loránd University, P.O. Box 32, H-1518 Budapest, Hungary
4
Department of Molecular and Analytical Chemistry, Interdisciplinary Excellence Centre, University of Szeged, Dóm Tér 7-8, H-6720 Szeged, Hungary
5
Department of Chemistry, University of Jyväskylä, P.O. Box 35, 40351 Jyväskylä, Finland
*
Author to whom correspondence should be addressed.
Int. J. Mol. Sci. 2024, 25(8), 4325; https://doi.org/10.3390/ijms25084325
Submission received: 10 March 2024 / Revised: 6 April 2024 / Accepted: 11 April 2024 / Published: 13 April 2024
(This article belongs to the Special Issue Recent Trends in Stereoselective Synthesis and Chiral Catalysis)

Abstract

A library of regioisomeric monoterpene-based aminodiols was synthesised and applied as chiral catalysts in the addition of diethylzinc to benzaldehyde. The synthesis of the first type of aminodiols was achieved starting from (−)-8,9-dihydroperillaldehyde via reductive amination, followed by Boc protection and dihydroxylation with the OsO4/NMO system. Separation of formed stereoisomers resulted in a library of aminodiol diastereoisomers. The library of regioisomeric analogues was obtained starting from (−)-8,9-dihydroperillic alcohol, which was transformed into a mixture of allylic trichloroacetamides via Overman rearrangement. Changing the protecting group to a Boc function, the protected enamines were subjected to dihydroxylation with the OsO4/NMO system, leading to a 71:16:13 mixture of diastereoisomers, which were separated, affording the three isomers in isolated form. The obtained primary aminodiols were transformed into secondary derivatives. The regioselectivity of the ring closure of the N-benzyl-substituted aminodiols with formaldehyde was also investigated, resulting in 1,3-oxazines in an exclusive manner. To explain the stability difference between diastereoisomeric 1,3-oxazines, a series of comparative theoretical modelling studies was carried out. The obtained potential catalysts were applied in the reaction of aromatic aldehydes and diethylzinc with moderate to good enantioselectivities (up to 94% ee), whereas the opposite chiral selectivity was observed between secondary aminodiols and their ring-closed 1,3-oxazine analogues.

1. Introduction

Chiral catalysis, that is, the development and application of new chiral catalysts, is an evergreen topic in the field of organic, applied, and pharmaceutical chemistry. In recent years, aminodiols and their N-heterocyclic analogues have proved to be important building blocks of new chiral catalysts or even complex bioactive molecules with significant biological activities [1,2,3,4]. Several aminodiol-based nucleoside analogues prepared recently have been shown to possess cardiovascular, cytostatic, and antiviral effects [5,6,7,8,9,10]. The Abbott aminodiol, a useful building block for the synthesis of the potent renin inhibitors Zankiren® and Enalkiren®, was introduced into the therapy of hypertension [11,12]. Aminodiols can also exert antidepressive activity. For example, (S,S)-reboxetine, a selective norepinephrine reuptake inhibitor, was approved in many countries for the treatment of unipolar depression [13]. Other aminodiols may serve as starting materials for the synthesis of biologically active natural compounds. For example, cytoxazone, a microbial metabolite isolated from Streptomyces species, is a selective modulator of the secretion of TH2 cytokine [14,15].
Besides their biological interest, aminodiols have also been applied as starting materials in asymmetric syntheses or as chiral auxiliaries and ligands in enantioselective transformations [1,16,17,18]. To develop new, efficient, and commercially available chiral catalysts, chiral natural products including (+)- and (−)-α-pinene [19,20], (−)-nopinone [21], (+)-carene [22,23], (+)-sabinol [24], (−)-pulegone [25], or camphore and fenchon [26] can serve as important starting materials for the synthesis of aminodiols. Monoterpene-based aminodiols have been demonstrated to be excellent chiral auxiliaries in a wide range of stereoselective transformations, including Grignard addition [27,28] and intramolecular radical cyclisation [29].
In the present study, our aim was to prepare a library of diastereoisomeric and regioisomeric analogues of 3-amino-1,2-diols derived from commercially available (−)-perillaldehyde as the chiral source. The study of the steric effect of both the aminodiol functionality and nitrogen substituents was also planned, applying the resulting trifunctional potential catalysts in the enantioselective addition of diethylzinc on benzaldehyde as a model reaction.

2. Results

2.1. Synthesis of Aminodiols via Reductive Amination of Perillaldehyde

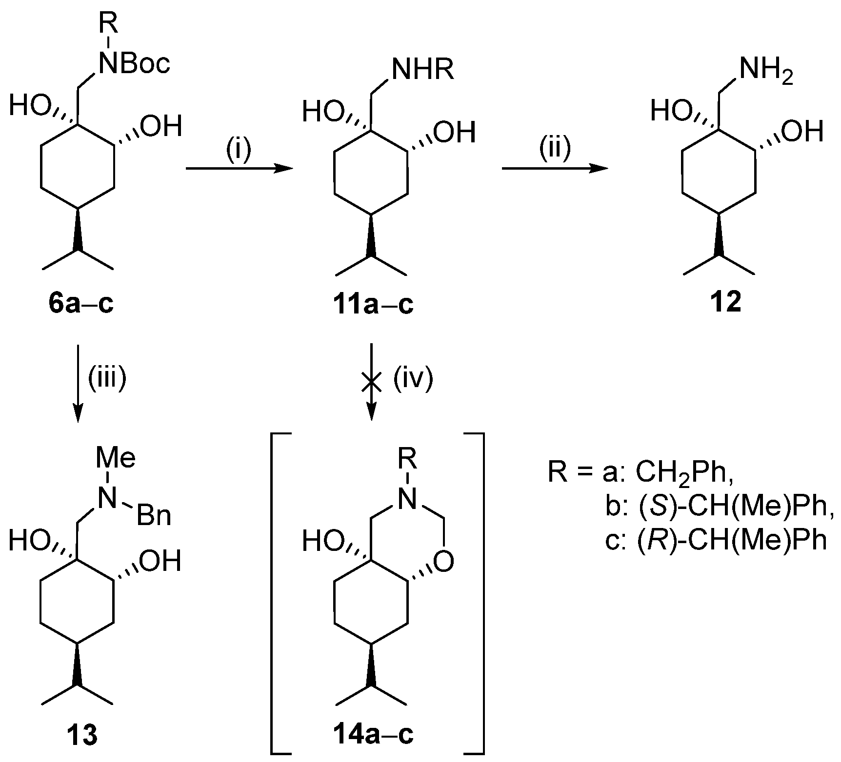
In our first approach, chiral aminodiols were synthesised from readily available (−)-(S)-peryllaldehyde 1, starting with a reduction according to a literature method using Pt/C catalyst in an n-hexane/EtOAc solvent system to obtain 2 [30]. 1H-NMR monitoring was applied during the reaction to set up the appropriate conditions to afford the desired product. The resulting aldehyde was transformed into allylamines in two steps by reductive amination with (S)- and (R)-1-phenylethylamine 3ac in good yield. The amine moieties were protected by the BOC (tert-butyloxycarbonyl) group, and 4ac were hydroxylated in a stereoselective manner with the OsO4/NMO catalytic system to produce cis-vicinal aminodiols 5ac (1S,2S) and 6ac (1R,2R), whereas the obtained diastereomers in 1:1 mixture were successfully separated by column chromatography (Scheme 1).
The protecting groups of 5ac were removed by TFA treatment, providing 7ac. Debenzylation of 7a was then carried out to reach primary aminodiol 8. LiAlH4 reduction of 5a resulted in N-methyl-N-benzyl derivative 9. Furthermore, the cyclisation reaction of 7ac was examined using formaldehyde as the aldehyde source. It is worth noting that in all cases, the six-membered 1,3-oxazine derivatives were reached, while the formation of a spirooxazolidine ring could not be determined in the crude product (Scheme 2).
The relative configuration of diastereoisomer 7a was determined by means of NOESY experiments: clear NOE signals were observed between the H-2 and H-4, H-2 and H-7, as well as the OH-1 and OH-2 protons (Figure 1). Debenzylation via hydrogenolysis of compounds 7a7c over Pd/C in MeOH resulted in primary aminodiol 8 yielding the same compound with a moderate yield (Scheme 3). Besides NOESY experiments, the structure was also elucidated by X-ray crystallography (Figure 1).
To compare the reactivity and ring closing ability of 7ac with their diastereoisomers, the above-mentioned reactions were accomplished with the (1R,2R) 6ac compounds as well. The deprotected 11ac, the N-methyl-N-benzyl 13, and the primary aminodiol 12 products were obtained similarly to the diastereoisomeric analogues, while in the case of ring closure with formaldehyde, no ring-closed product could be isolated (Scheme 3).
To rationalise the spectacular difference observed in the tendency of 7a and 11a to undergo formaldehyde-mediated annulation to form 1,3-oxazine, we carried out a series of comparative theoretical modelling studies (details can be found in Section 4). Although fused 1,3-oxazine 14a could not be isolated, presumably due to its decomposition during chromatographic purification on silica, the calculated changes in Gibbs free energy unambiguously indicate that both cyclisations (7a to 10a and 11a to 14a) are thermodynamically feasible processes (Figure 2). It must be noted here that cyclisation of 11a to 14a is accompanied by the inversion of the fused cyclohexane ring, forcing the bulky isopropyl group into an axial position of the resulting trans-fused rigid bicyclic framework.
Since TLC monitoring indicated the transitional formation of 14a, we assume that its isolation was prevented by a hydrolytic decomposition taking place on the acidic silica surface during the chromatographic purification of the crude product. This view gains support from the structural characteristics and energetic data of further comparative DFT modelling studies on the iminium-generating ring opening of the diastereomeric O-protonated oxazines 10a/OH+10a/Im+ and 14a/OH+14a/Im+ (Figure 3). The energetic results unambiguously show that both ring fissions are thermodynamically feasible. However, the second process is accompanied by the inversion of the cyclohexane ring with the reorientation of the isopropyl group into equatorial position and a significant spatial separation of the iminium moiety and the axially oriented hydroxyl group in 11a/Im+. The latter is expected to undergo precursor-regenerating hydrolysis (11a/Im+ + H2O → 11a + CH2O) rather than ring inversion-enabled recyclisation to 14a/OH+. On the other hand, upon neutralisation of the medium, sequential recyclisation and O-deprotonation of 7a/Im+ can be considered as a smooth chemical route proceeding via the interaction of proximal nucleophilic and electrophilic functional groups on the highly rigid cyclohexane ring to reconstruct the isolable fused oxazine 10a.
The aforementioned results, including the highly exothermic energetics disclosed for both ring-opening reactions analysed above, clearly indicate that formaldehyde-mediated annulations cannot proceed via iminium-type intermediates. Therefore, we propose here an alternative pathway for the formation of fused 1,3-oxazines as exemplified by theoretically modelling the one-step ring closure of the ring-inverted N-hydroxymethylated intermediate coupled to a four-membered water chain cluster (11a/hm/4H2O → 14a/4H2O, Figure 4). Accordingly, we assume that a H-bonded optimally arranged linear cluster of four water molecules strongly facilitates the kinetically and thermodynamically feasible one-step intramolecular SN2 reaction. It simultaneously activates the nucleophilic skeletal hydroxyl group and the leaving hydroxyl group in the pending hemiaminal residue by a concerted domino proton-migration along the H-bond-coupled chain of water molecules. As for the size of the linear H-bond transferring cluster, we found that it is the involvement of the four water molecules that allows the construction of such an ideal molecular architecture, which is suitable for undergoing ring closure via a concerted mechanism. It is also reasonable to rationalise the formation of 10a along this pathway. The validity of this and closely related reaction pathways is further supported by other well-documented examples [31,32].

2.2. Synthesis of Aminodiols via Overman Rearrangement of Perillyl Alcohol

(−)-(S)-Dihydroperyllaldehyde 2 proved to be an excellent starting material not only for the preparation of aminodiols 513 but also for the synthesis of regioisomeric 3-amino-1,2-diols, where the amino function is connected directly to the cyclohexane ring. Reduction of 2 served 8,9-dihydroperillic alcohol 15. The Overmann rearrangement of 15 led to the diastereoisomeric mixture of N-trichloroacetyl-protected allyl amines in a ratio of 1R:1S = 85:15 based on data determined by GC (Chirasil-DEX CB column) analysis of the crude product. The relative configuration of major product 18a, based on the NOESY spectra, was found to be similar to the literature example [20,33,34].
Since separation of the diastereomers was not feasible, the mixture of 16a and 16b was reacted in the following steps. The trichloroacetyl protecting group was exchanged for easily handlable Boc by alkaline hydrolysis followed by BOC2O treatment, affording 18a and 18b. Despite chromatographic efforts, the resulting diastereoisomers could not be separated. Therefore, the mixture of diastereoisomers was used in the next step (Scheme 4).
The relative configuration of major diastereoisomer 18a was determined by means of NOESY experiments. Clear NOE signals were observed between the H-2 and the methylene Ha, between NH and H-3ax and H-5, as well as between the H-3eq and the methylene Hb protons (Figure 5).
The mixture of allyl amines was dihydroxylated with the OsO4/NMO oxidiser system, resulting in a mixture of diasteroisomers (19ac) in a ratio 19a:19b:19c = 71:16:13. At this stage, isomer 19a could be isolated by column chromatography, while isomers 19b and 19c were obtained as an inseparable mixture (Scheme 5).
To isolate the other isomers too, acetal derivatives 20b and 20c were prepared with acetone from the two-component mixture, which allowed successful separation of 20b and 20c. BOC and acetal protective groups were removed in a single step under acidic conditions. The obtained relative configurations of epimers were determined via 2D NMR techniques (COSY, HMBC, HSQC, and NOESY) (Scheme 6 and Figure 6).
The stereostructures of 21a, 21b, and 21c and the two diastereomeric components 18a (major isomer) and 18b (minor isomer) were determined by 1H- and 13C-NMR spectroscopy. The assignment of the 1H- and 13C-NMR signals was supported by 2D-COSY, 2D-HSQC, 2D-HMBC, and 2D-NOESY experiments. The stereostructure of 18b/minor was identified on the basis of its separated diagnostic signals and cross peaks discernible in the 1D and 2D spectra registered on the isolated ca. 85/15 mixture (1H-NMR) of 18a/major and 18b/minor (see later). In accordance with the general expectations, the isopropyl group was in the equatorial position in all of these cyclohexane derivatives, as evidenced by the NOE interactions detected between the axially positioned proton pair 4Hα/6Hα. A further interaction involving 4Hα and 2Hα was in accordance with the equatorial position of the NH3+ group on the rigid, six-membered skeleton in 21c. Providing additional evidence for their relative configuration, characteristic NOE interactions in 21a and 21b were disclosed between 4Hα and the NH3+ group. In 18a/major, the axial position of the Boc-protected amino group was confirmed by the NOE interaction between the NH- and 4Hα protons. Providing further evidence for its stereostructure with the axially positioned Boc-protected amino group, further interactions were also detected in the NOESY spectrum of 18a/major between proton pairs HA/1Hβ and HB/3Hβ (Figure 5). The axial position of the hydroxymethyl group in 21b and 21c was confirmed by the NOE interaction of its protons with 5Hβ and 3Hβ. In 18b/minor, the equatorial position of the Boc-protected amino group was reflected in the NOE interaction detected between the axially positioned proton pair 1Hα/3Hα producing signals of well-resolved coupling patterns featuring significant splits due to characteristic 1,2-diaxial coupling interactions. Further supporting the relative configuration of the two diastereomers, the marked upfield shift of the 13C signal of terminal methylene (=CH2) in 18b/minor relative to that measured for 18a/major (104.9 ppm and 149.0 ppm, respectively) referred to a local steric congestion associated with the proximity of the bulky Boc-protected amino group and the exocyclic olefin residue on rigid ring system of 18b/minor (Figure 5).
Reduction of 19a, performed with LiAlH4, served the N-methylaminodiol 22, while deprotection of 19a and reductive alkylation of the formed 21a with benzaldehyde in the presence of NaBH4 provided N-benzyl derivative 23a. Ring closure of aminodiols with a secondary amino function was carried out with formaldehyde. Interestingly, only the six-membered 1,3-oxazoline ring systems 24 and 25a were formed in both cases (Scheme 7).
Similar to the above process, starting from the liberated base 21b, N-benzyl aminodiol 23b and its ring-closed 1,3-oxazoline ring system derivative 25b were produced (Scheme 8).

2.3. Application of Aminodiol Libraries as Catalysts in the Addition Reaction of Diethyzinc to Benzaldehyde

The prepared aminodiol derivatives were applied as chiral catalysts in the enantioselective addition of diethylzinc to benzaldehyde (26) as a model reaction, where (S)- and (R)-1-phenyl-1-propanol ((S)-27 and (R)-27) were formed as products (Scheme 9).
Our results are presented in Table 1. The enantiomeric ratio of the S and R isomers was determined by a chiral GC CHIRASIL-DEX CB column according to literature methods [35,36,37].
In these addition reactions, low to excellent catalytic activities were observed. Interestingly, aminodiol diastereoisomers provided opposite chiral induction, and 7ac isomers proved better catalysts with S selectivity than 11ac (best ee = 68% for 7a). The best catalytic activity was observed in the case of 10a, one of the 1,3-oxazoline N-benzyl derivatives, which afforded the best ee value (94% ee) with R selectivity (Table 1, entry 6, ee = 94%). Interestingly, oxazine 25a (ee = 62%, entry 21) promotes the R absolute configuration, whereas the diasteroisomer primer aminodiol 21b (ee = 60%, entry 15) provides the S configuration. Furthermore, all tested primer aminodiols (8, 12, 21a, 21b and 21c) promote the S configuration.
With the best catalyst for (S)-selectivity (7a) and for (R)-selectivity (10a), the diethylzinc addition reaction was extended to further aromatic aldehydes (Scheme 10). Our results are presented in Table 2. The enantiomeric purities of the 1-aryl-1-propanols obtained were determined by chiral HPLC analysis on a Chiralcel OD-H column (see Supporting Information Figures S147–S162), according to literature methods [23].

3. Discussion

Starting from natural (−)-(S)-peryllaldehyde (1), a monoterpene-based aminodiol library with five sub-libraries containing diastereo- and regioisomeric aminodiols was created, and the reaction of these aminodiols with formaldehyde resulted in bicyclic monoterpene-fused condensed 1,3-oxazines through stereochemistry-dependent ring closure. Molecular modelling was applied to explain this phenomenon. The aminodiols and their ring-closed derivatives were used as chiral catalysts in the enantioselective addition of diethylzinc to benzaldehyde from moderate to excellent activities. Comparing the regioisomers and diastereoisomers, aminodiols bearing vicinal hydroxyl groups on the cyclohexane skeleton with the (1S,2S,4S) configuration proved to be more efficient catalysts mainly with S selectivity. The ring closure of these aminodiols also showed the best but opposite (R) catalytic activity, when the obtained 1,3-oxazines 10ac were applied in the addition of diethylzinc to benzaldehyde. The catalytic activity study was extended by applying the best catalyst for meta and para substituted aromatic aldehydes and, in the case of p-tolylaldehy aminodiol, 7a gave (R) selectivity. It is interesting to note that in the same enantiomeric library, we could find catalysts for both (S) and (R) selectivities. The 1,3-oxazines obtained proved to be excellent catalysts in the additions of diethylzinc to aromatic aldehydes, probably as a consequence of their conformationally constrained structures. Regioisomeric aminodiols and 1,3-oxazines proved less effective catalysts in the applied model reaction with similar selectivities.

4. Materials and Methods

1H NMR and 13C NMR spectra were recorded with a Bruker Avance DRX 400 [400 and 100 MHz, respectively, δ = 0 ppm (tetramethylsilane)] and Bruker Avance DRX 500 [500 and 125 MHZ, respectively, δ = 0 ppm (tetramethylsilane)] (both Bruker Biospin, Karlsruhe, Baden Württemberg, Germany). Chemical shifts (δ) were expressed in ppm relative to tetramethylsilane as an internal reference. J values were given in Hz.. GC measurements were made with a PerkinElmer Autiosystem KL GC consisting of a flame ionisation detector and a Turbochrom Workstation data system (PerkinElmer Corporation, Norwalk, CT, USA). Separation of the enantiomers of the O-acetyl derivatives of 1-phenyl-1-propanol was performed on a CHIRASIL-DEX CB column (2500 × 0.265 mm inner diameter, Agilent Technologies, Inc., Santa Clara, CA, USA; see Supporting Information, Figures S147–S156). Chiral HPLC analysis was performed on a Chiralcel OD-H column (250 × 4.6 mm, see Supporting Information, Figures S157–S162). UV detection was monitored at 210 nm or at 254 nm.
Optical rotations were performed with a PerkinElmer 341 polarimeter (PerkinElmer Inc., Shelton, CT, USA). Melting points were determined with a Kofler apparatus (Nagema, Dresden, Germany). Chromatographic separations were performed with Merck Kieselgel 60 (230–400 mesh ASTM, Merck Co., Darmstadt, Germany). Reactions were monitored with Merck Kieselgel 60 F254-precoated TLC plates (0.25 mm thickness, Merck Co., Darmstadt, Germany). All 1H-, 13C- NMR, HMQC, HMBC, and NOESY spectra are found in the Supporting Information (see Figures S1–S144).
X-Ray structural determination of compound 7a was determined by a Rigaku Oxford Diffraction Supernova diffractometer ((Rigaku Oxford Diffraction, Yarnton, UK) using Cu Kα radiation. The CrysAlisPro software package (version: 1.171.37.35) was used for cell refinement and data reduction (see Supporting Information part, Table S1).
Starting materials: (−)-(S)-peryllaldehyde (1) was sourced commercially from Merck Co (Merck Co., Darmstadt, Germany). All chemicals and solvents were used as supplied. THF and toluene were dried over Na wire. (S)-4-Isopropylcyclohex-1-ene carbaldehyde (2) and (S)-4-isopropylcyclohex-1-ene-1-ylmethanol (15) were prepared according to literature procedures, and all spectroscopic data were similar to those reported therein [30].
General method for the reductive amination of 2 with amines
The appropriate benzylamine (1.05 equiv, 27.6 mmol) was added to a stirred solution of compound 2 (4.00 g, 26.28 mmol) in dry EtOH (200 mL). The mixture was stirred at room temperature for 1 h. Afterwards, the solvent was evaporated, and the residue was redissolved in dry EtOH (200 mL) and then stirred for an additional hour. NaBH4 (2.98 g, 78.84 mmol) was added in small portions to the reaction mixture, which was stirred at room temperature (for compound 3a) or under reflux (for compounds 3b and 3c) for 2 h. Next, the solvent was removed under vacuum, and the crude product was dissolved in ice-cold H2O (70 mL) and extracted with dichloromethane (DCM) (3 × 100 mL). The combined organic phase was dried (Na2SO4), filtered, and evaporated. The crude product was purified via column chromatography on silica gel by applying toluene/EtOH 9:1, and then hydrochloride salts of the compounds were formed to yield 3ac.
  • (S)-N-Benzyl-1-(4-Isopropylcyclohex-1-en-1-yl)methanamine hydrochloride 3a
Prepared with benzylamine according to the general method. Yield: 6.32 g (86%); white crystals; m.p.: 178–185 °C; [α ] 20 D = −92 (c 0.25, MeOH). 1H NMR (DMSO-d6, 400.1 MHz): δ = 0.86 (3H, d, J = 6.8 Hz), 0.87 (3H, d, J = 6.8 Hz), 1.10–1.27 (2H, m), 1.41–1.51 (1H, m), 1.67–1.79 (2H, m), 1.99–2.17 (3H, m), 3.39 (2H, br s), 4.04 (2H, br s), 5.80–5.85 (1H, m), 7.38–7.45 (3H, m), 7.55–7.61 (2H, m), 9.50 (2H, br s); 13C NMR (100.6 MHz, DMSO-d6): δ = 20.3, 20.6, 26.2, 28.0, 29.2, 31.2, 32.4, 39.8, 50.1, 52.3, 129.4, 129.7, 129.9, 130.4, 131.1, 132.8.; HR-MS (ESI): m/z calcd for C17H26N [M + H]+: 244.20598; found: 244.20532.
  • (S)-N-(((S)-4-Isopropylcyclohex-1-en-1-yl)methyl)-1-phenylethanamine hydrochloride 3b
Prepared with (S)-1-phenylethylamine according to the general method. Yield: 5.64 g (73%), white crystals, m.p.: 208–212 °C; [α ] 20 D = −43 (c 0.25, MeOH); 1H NMR (DMSO-d6, 400.1 MHz): δ = 0.85 (3H, d, J = 6.8 Hz), 0.86 (3H, d, J = 6.8 Hz), 1.08–1.24 (2H, m), 1.41–1.50 (1H, m), 1.56 (3H, d, J = 6.6 Hz), 1.64–1.77 (2H, m), 1.88–2.14 (3H, m), 3.08 (1H, d, J = 13.3 Hz), 3.24 (1H, d, J = 13.4 Hz), 4.13–4.26 (1H, m), 5.65–5.73 (1H, m), 7.34–7.46 (3H, m), 7.50–7.61 (2H, m), 9.24 (2H, br s); 13C NMR (100.6 MHz, DMSO-d6): δ = 20.3, 20.5, 20.6, 26.3, 28.0, 29.1, 32.4, 39.8, 51.3, 57.7, 128.6, 129.0, 129.4, 129.7, 138.4; HR-MS (ESI): m/z calcd for C18H28N [M + H]+: 258.22163; found: 258.22098.
  • (R)-N-(((S)-4-Isopropylcyclohex-1-en-1-yl)methyl)-1-phenylethanamine hydrochloride 3c
Prepared with (R)-1-phenylethylamine according to the general method. Yield: 5.10 g (66%), white crystals, m.p.: 204–206 °C; [α ] 20 D = −76 (c 0.25 MeOH); 1H NMR (DMSO-d6, 400.1 MHz): δ = 0.86 (3H, d, J = 6.7 Hz), 0.87 (3H, d, J = 6.7 Hz), 1.02–1.14 (1H, m), 1.16–1.26 (1H, m), 1.40–1.51 (1H, m), 1.61 (3H, d, J = 6.8 Hz), 1.63–1.75 (2H, m), 1.97–2.07 (3H, m), 3.11 (1H, d, J = 13.5 Hz), 3.27 (1H, d, J = 13.5 Hz), 4.26 (1H, dd, J = 6.8, 13.8 Hz), 5.66–5.73 (1H, m), 7.35–7.47 (3H, m), 7.56–7.65 (2H, m), 9.30 (1H, br s), 9.73 (1H, br s); 13C NMR (100.6 MHz, DMSO-d6): δ = 20.3, 20.6, 26.2, 28.0, 29.2, 31.2, 32.4, 39.8, 50.1, 52.3, 129.4, 129.7, 129.9, 130.4, 131.1, 132.8; HR-MS (ESI): m/z calcd for C18H28N [M + H]+: 258.22163; found: 258.22099.
General procedure for tert-butyloxycarbonyl (BOC) protection of compounds 3a–c
To a stirred solution of the liberated bases of allylamines 3ac (12 mmol) in dry THF (30 mL), di-tert-butyl dicarbonate (2.88 g, 13.2 mmol for 4a; 5.76 g, 26.4 mmol for 4b, and 3.56 g, 16.32 mmol for 4c), TEA (3.64 g 36 mmol), and a catalytic amount of DMAP (0.15 g, 1.2 mmol) were added. The mixture was stirred overnight at rt. After completion of the reaction, indicated by means of TLC, the solvent was evaporated. The crude product was purified by column chromatography on silica gel by using n-hexane/EtOAc 9:1 for 4a, n-hexane/EtOAc 19:1 for 4b, or n-hexane/Et2O 19:1 for 4c.
  • (S)-tert-Butyl benzyl((4-isopropylcyclohex-1-en-1-yl)methyl)carbamate 4a
Prepared from 3a according to the general method. Yield: product: 3.92 g (95%) (mixture of two rotamers in CDCl3); colourless oil, [α ] 20 D = −55 (c 0.25, MeOH). 1H NMR (CDCl3, 400.1 MHz): δ = 0.88 (3H, d, J = 6.8 Hz), 0.89 (3H, d, J = 6.8 Hz), 1.08–1.31 (2H, m), 1.40–1.51 (1H, m, overlapped with s), 1.46 (9H, s), 1.68–1.79 (2H, m), 1.82–2.08 (3H, m), 3.57–3.85 (2H, m), 4.26–4.46 (2H, m), 5.41–5.49 (1H, m), 7.16–7.34 (5H, m); 13C NMR (100.6 MHz, CDCl3): δ = 19.8, 19.9, 20.1, 24.1, 26.2, 26.9, 28.6, 28.9, 29.5, 31.3, 32.3, 33.0, 40.2, 44.3, 48.6, 49.1, 51.6, 51.9, 79.7, 124.3, 126.7, 127.1, 127.6, 128.2, 128.5, 133.7, 138.7, 156.1; HR-MS (ESI): m/z calcd for C18H26NO2 [M − CH(CH3)3 + H + H]+: 288.19581; found: 288.19506.
  • tert-Butyl (((S)-4-isopropylcyclohex-1-en-1-yl)methyl)((S)-1-phenylethyl)carbamate (4b)
Prepared from 3b according to the general method. Yield: 3.99 g (93%), colourless oil, [α ] 20 D = −120 (c 0.25, MeOH) 1H NMR (DMSO-d6, 400.1 MHz): δ = 0.83 (3H, d, J = 6.1 Hz), 0.84 (3H, d, J = 6.1 Hz), 0.93–0.95 (1H, m), 1.09–1.19 (1H, m), 1.33 (9H, s), 1.35–1.53 (2H, m), 1.46 (3H, d, J = 7.0 Hz), 1.56–1.70 (2H, m), 1.74–1.96 (3H, m), 3.60 (2H, br s), 5.35 (1H, s), 7.19–7.36 (5H, m); 13C NMR (100.6 MHz, DMSO-d6): δ = 17.9, 20.0, 20.2, 26.0, 26.8, 28.5, 28.6, 32.1, 32.8, 40.1, 44.0, 53.4, 79.0, 127.2, 127.3, 128.5, 135.2, 142.2, 155.4. HR-MS (ESI): m/z calcd for C19H28NO2 [M − CH(CH3)3 + H + H]+: 302.21146; found: 302.21089.
  • tert-Butyl (((S)-4-isopropylcyclohex-1-en-1-yl)methyl)((R)-1-phenylethyl)carbamate 4c
Prepared from 3c according to the general method. Yield: 3.86 g (90%) colourless oil, [α ] 20 D = +4 (c 0.25, MeOH) 1H NMR (DMSO-d6, 400.1 MHz): δ = 0.83 (3H, d, J = 6.1 Hz), 0.84 (3H, d, J = 6.1 Hz), 0.93–0.95 (1H, m), 1.09–1.19 (1H, m), 1.33 (9H, s), 1.35–1.53 (2H, m), 1.46 (3H, d, J = 7.0 Hz), 1.56–1.70 (2H, m), 1.74–1.96 (3H, m), 3.60 (2H, br s), 5.35 (1H, s), 7.19–7.36 (5H, m); 13C NMR (100.6 MHz, DMSO-d6): δ = 17.9, 20.0, 20.2, 26.0, 26.8, 28.5, 28.6, 32.1, 32.8, 40.1, 44.0, 53.4, 79.0, 127.2, 127.3, 128.5, 135.2, 142.2, 155.4. HR-MS (ESI): m/z calcd for C19H28NO2 [M -CH(CH3)3 + H + H]+: 302.21146; found: 302.21089.
General method for dihydroxylation of 4a–c
To a solution of 4ac (10 mmol) in acetone (50 mL), an aqueous solution of 4-methylmorpholine-4-oxide (NMO) (8.5 mL, 50% aqueous sol.) and a solution of OsO4 in tert-BuOH (4.5 mL, 2% tert-BuOH solution) were added in one portion. The mixture was stirred at room temperature overnight, and then quenched by the addition of a saturated aqueous solution of Na2SO3 (80 mL) and extracted with EtOAc (3 × 60 mL). The combined organic phase was dried, filtered, and evaporated. The products were purified by means of column chromatography on silica gel in n-hexane/EtOAc 4:1 mixture.
  • tert-Butyl benzyl(((1S,2S,4S)-1,2-dihydroxy-4-isopropylcyclohexyl)methyl)carbamate 5a
Prepared from 4a according to the general method. Yield: 0.95 g (25%) light yellow oil [α ] 20 D = −15 (c 0.25, MeOH) 1H NMR (DMSO-d6, 400.1 MHz): δ = 0.85 (3H, d, J = 6.0 Hz), 0.86 (3H, d, J = 6.0 Hz), 1.09–1.20 (1H, m), 1.34–1.71 (6H, m), 1.44 (9H, s), 1.80–1.87 (1H, m), 3.31 (3H, dd, overlapped with br s, J = 15.5, 35.6 Hz), 3.59–3.65 (1H, m), 4.33 (1H, br s), 4.50 (2H, br s), 7.15–7.37 (5H, m); 13C NMR (100.6 MHz, DMSO-d6): δ = 20.4, 20.5, 25.2, 28.4, 29.8, 30.1, 30.4, 32.2, 37.5, 53.4, 53. 6, 70.0, 74.8, 81.5, 127.2, 127.5, 128.8, 138.0, 154.6. HR-MS (ESI): m/z calcd for C22H36NO4 [M + H]+: 378.26389; found: 378.26325, calcd for C22H35NO4Na [M + Na]+: 400.24583; found: 400.24510.
  • tert-Butyl benzyl(((1R,2R,4S)-1,2-dihydroxy-4-isopropylcyclohexyl)methyl)carbamate 6a
Prepared from 4a according to the general method. Yield: 1.72 g (46%) white crystals, m.p. 103–106 °C; [α ] 20 D = −36 (c 0.25, MeOH); 1H NMR (CDCl3, 400.1 MHz): δ = 0.88 (6H, d, J = 6.8 Hz), 1.06–1.16 (1H, m), 1.24–1.55 (5H, m), 1.41 (9H, s), 1.70–1.79 (2H, m), 2.95 (1H, br s), 2.99 (1H, d, J = 15.1 Hz), 3.42 (1H, dt, J = 5.0, 11.5 Hz), 3.54 (1H, d, J = 14.7 Hz), 4.28 (2H, d, overlapped with br s, J = 15.1 Hz), 4.65 (1H, d, J = 15.1 Hz), 7.12–7.36 (5H, m); 13C NMR (100.6 MHz, CDCl3): δ = 20.2, 20.3, 24.3, 28.7, 32.6, 32.9, 34.2, 42.9, 53.8, 55.5, 71.8, 74.2, 81.6, 127.4, 127.7, 129.0, 138.3, 158.5. HR-MS (ESI): m/z calcd for C22H36NO4 [M + H]+: 378.26389; found: 378.26332, calcd for C22H35NO4Na [M + Na]+: 400.24583; found: 400.24518.
  • tert-Butyl (((1S,2S,4S)-1,2-dihydroxy-4-isopropylcyclohexyl)methyl)((S)-1-phenylethyl)carbamate 5b
Prepared from 4b according to the general method. Yield: 1.68 g (43%), oil, [α ] 20 D = +2 (c 0.26, MeOH); 1H NMR (CDCl3, 400.1 MHz): δ = 0.88 (3H, d, J = 6.8 Hz), 0.87 (3H, d, J = 6.2 Hz), 0.91–1.01 (1H, m), 1.23–1.46 (5H, m), 1.32 (9H, s), 1.68 (3H, d, J = 7.1 Hz), 1.69–1.77 (2H, m), 3.19 (1H, d, J = 14.8 Hz), 3.38 (1H, dd, J = 4.6, 11.3), 3.57 (1H, d, J = 14.8 Hz), 4.73 (1H, dd, J = 6.9, 14.1 Hz), 7.19–7.35 (5H, m); 13C NMR (100.6 MHz, CDCl3): δ = 19.6, 20.2, 20.3, 24.4, 28.6, 32.9, 33.0, 34.2, 42.9, 57.7, 58.9, 72.4, 73.5, 81.7, 126.5, 127.4, 128.7, 142.7, 158.8. HR-MS (ESI): m/z calcd for C23H38NO4 [M + H]+: 392.27954; found: 392.27903, calcd for C23H37NO4Na [M + Na]+: 414.26148; found: 414.26077.
  • tert-Butyl (((1R,2R,4S)-1,2-dihydroxy-4-isopropylcyclohexyl)methyl)((S)-1-phenylethyl)carbamate 6b
Prepared from 4b according to the general method. Yield: 1.58 g (38%), oil, [α ] 20 D = −5 (c 0.26, MeOH); 1H NMR (CDCl3, 400.1 MHz): δ = 0.79 (3H, d, J = 6.2 Hz), 1.02–1.14 (1H, m), 1.24–1.53 (5H, m), 1.30 (9H, s), 1.48–1.60 (2H, m), 1.65 (3H, d, J = 7.0 Hz), 1.74–1.82 (1H, m), 3.29 (1H, d, J = 14.8 Hz), 3.44 (1H, d, J = 14.8), 3.57–3.62 (1H, m), 4.81 (1H, dd, J = 6.9, 14.1 Hz), 7.21–7.36 (5H, m); 13C NMR (100.6 MHz, CDCl3): δ = 18.5, 20.8, 21.0, 25.0, 28.6, 30.1, 30.5, 32.6, 38.1, 54.9, 59.1, 70.8, 74.1, 81.8, 127.0, 127.5, 128.7, 142.4, 159.0. HR-MS (ESI): m/z calcd for C23H38NO4 [M + H]+: 392.27954; found: 392.27901, calcd for C23H37NO4Na [M + Na]+: 414.26148; found: 414.26077.
  • tert-Butyl (((1S,2S,4S)-1,2-dihydroxy-4-isopropylcyclohexyl)methyl)((R)-1-phenylethyl)carbamate (5c)
Prepared from 4c according to the general method. Yield: 1.92 g (48%) oil, [α ] 20 D = −18 (c 0.255, MeOH), 1H NMR (400.1 MHz, CDCl3): δ = 0.92 (6H, d, J = 6.8 Hz), 1.06–1.17 (1H, m), 1.34 (9H, s), 1.32–1.56 (7H, m), 1.72 (3H, d, J = 7.0 Hz), 1.73–1.81 (2H, m), 3.22 (1H, d, J = 14.6 Hz), 3.37–3.49 (2H, m), 3.60 (3H, d, J = 14.6 Hz), 4.77 (1H, q, J = 7.0, 13.8 Hz), 7.22–7.39 (5H, m). 13C NMR (100.6 MHz, CDCl3): δ = 19.8, 20.3, 20.5, 24.5, 28.8, 33.0, 33.1, 43.3, 43.1, 57.9, 59.1, 72.6, 73.7, 81.9, 126.7, 127.5, 128.9, 142.8, 158.9; HR-MS (ESI): m/z calcd for C23H38NO4 [M + H]+: 392.27954; found: 392.27901, calcd for C23H37NO4Na [M + Na]+: 414.26148; found: 414.26072.
  • tert-Butyl (((1R,2R,4S)-1,2-dihydroxy-4-isopropylcyclohexyl)methyl)((R)-1-phenylethyl)carbamate 6c
Prepared from 4c according to the general method. Yield: 1.88 g (48%), oil, [α ] 20 D = −15 (c 0.275, MeOH), 1H NMR (DMSO-d6, 400.1 MHz): mixture of two rotamers, δ = 0.88 (3H, d, J = 6.8 Hz), 0.87 (3H, d, J = 6.2 Hz), 0.91–1.01 (1H, m), 1.23–1.46 (5H, m), 1.32 (9H, s), 1.68 (3H, d, J = 7.1 Hz), 1.69–1.77 (2H, m), 3.19 (1H, d, J = 14.8 Hz), 3.38 (1H, dd, J = 4.6, 11.3), 3.57 (1H, d, J = 14.8 Hz), 4.73 (1H, dd, J = 6.9, 14.1 Hz), 7.19–7.35 (5H, m); 13C NMR (100.6 MHz, DMSO-d6): δ = 20.2, 20,3, 20.7, 20.8, 24.0, 25.3, 28.3, 30.7, 32.5, 33.2, 33.7, 42.6, 54.6, 69.7, 72.6, 74.4, 79.0, 79.2, 126.4, 126.7, 128.2, 128.3, 144.3, 156.1. HR-MS (ESI): m/z calcd for C23H38NO4 [M + H]+: 392.27954; found: 392.27882, calcd for C23H37NO4Na [M + Na]+: 414.26148; found: 414.26057.
General procedure for the Boc deprotection of 5a–c and 6a–c
To a stirred solution of compounds 5ac or 6ac (3 mmol) in Et2O (25 mL), an 18% aqueous solution of HCl (70 mL) was added and the mixture was stirred overnight. After the reaction was complete (indicated by TLC), the solvent was removed by vacuum evaporation. The resulting hydrochloride salt was filtered off and washed with Et2O.
  • (1S,2S,4S)-1-((Benzylamino)methyl)-4-isopropylcyclohexane-1,2-diol hydrochloride 7a
Prepared from 5a according to the general method. Yield: 0.83 g (88%); white crystals, m.p. 215–218 °C; [α ] 20 D = −5 (c 0.225, MeOH). 1H NMR (DMSO-d6, 400.1 MHz): δ = 0.84 (6H, d, J = 6.7 Hz, CHMe2), 1.01–1.12 (1H, m, H4β), 1.15–1.46 (5H, m, CH2(5), CHMe2, H4α, H6β), 1.48–1.56 (1H, m, 6Hα), 1.67–1.78 (1H, m, 3Hα), 2.73–2.83 (1H, m, CH2NH), 3.01–3.11 (1H, m, CH2NH), 3.37 (1H, dd, J = 4.4, 11.3 Hz, CHOH), 4.10–4.24 (2H, m, CH2Ph), 7.37–7.48 (3H, m, 3 × CHAr), 7.55–7.66 (2H, m, 2 × CHAr), 8.77 (1H, br s, NH2+), 9.15 (1H, br s, NH2+); 13C NMR (100.6 MHz, DMSO-d6): δ = 20.6 and 20.7 (CHMe2), 23.9 (C5), 32.8 (CHMe2), 33.9 (C3), 34.0 (C6), 42.5 (C4), 51.8 (CH2NH), 55.6 (CH2Ph), 71.1 (C1), 73.8 (C2), 129.5 (2 × CHAr), 129.8 (2 × CHAr), 131.1, 132.7 (CqAr). HR-MS (ESI): m/z calcd for C17H28NO2 [M + H]+: 278.21146; found: 278.21069.
  • (1S,2S,4S)-4-Isopropyl-1-((((S)-1-phenylethyl)amino)methyl)cyclohexane-1,2-diol hydrochloride 7b
Prepared from 5b according to the general method. Yield: 0.81 g (82%); white crystals, m.p. 205–207 °C; [α ] 20 D = +12 (c 0.255, MeOH). 1H NMR (DMSO-d6, 400.1 MHz): δ = 0.82 (6H, d, J = 6.7 Hz), 0.97–1.54 (7H, m), 1.64 (3H, d, J = 6.6 Hz), 1.77 (1H, d, J = 12.3 Hz), 2.43–2.51 (1H, m), 2.99–3.09 (1H, m), 3.32 (1H, d, J = 9.4 Hz), 3.37 (1H, br s,), 4.33–4.44 (1H, m), 4.67 (1H, s), 5.11 (1H, br s), 7.36–7.47 (3H, m), 7.60–7.67 (2H, m), 9.03 (1H, br s), 9.12 (1H, br s); 13C NMR (100.6 MHz, DMSO-d6): δ = 20.4, 20.5, 20.6, 23.8, 32.8, 33.8, 33.9, 42.5, 54.8, 59.4, 71.3, 73.3, 128.8, 129.6, 129.7, 138.1. HR-MS (ESI): m/z calcd for C18H30NO2 [M + H]+: 292.22711; found: 292.22641.
  • (1S,2S,4S)-4-Isopropyl-1-((((R)-1-phenylethyl)amino)methyl)cyclohexane-1,2-diol 7c
Prepared from 5c according to the general method. Yield: 0.73 g (84%), viscous oil; [α ] 20 D = −18 (c 0.26, MeOH). 1H NMR (DMSO-d6, 400.1 MHz): δ = 0.82 (6H, d, J = 6.7 Hz), 0.93–1.03 (1H, m), 1.30–1.54 (1H, m), 1.11 (1H, dt, J = 4.4, 12.9 Hz), 1.16–1.48 (7H, m), 1.26 (3H, d, J = 6.8 Hz), 2.29 (1H, d, J = 12.2 Hz), 2.48 (1H, d, J = 12.2 Hz), 3.30 (1H, dd, J = 4.3, 11.6 Hz), 3.67 (1H, q, J = 6.5, 12.9 Hz), 7.18–7.35 (5H, m); 13C NMR (100.6 MHz, DMSO-d6): δ = 20.2, 20.3, 23.9, 24.8, 32.5, 33.4, 34.3, 42.1, 57.4, 58.5, 71.4, 74.6, 126.9, 127.2, 128.8, 146.0. HR-MS (ESI): m/z calcd for C18H30NO2 [M + H]+: 292.22711; found: 292.22652.
  • (1R,2R,4S)-1-((Benzylamino)methyl)-4-isopropylcyclohexane-1,2-diol hydrochloride 11a
Prepared from 6a according to the general method. Yield: 0.91 g (97%); white crystals, m.p. 172–174 °C; [α ] 20 D = −13 (c 0.265, MeOH). 1H NMR (DMSO-d6, 400.1 MHz): δ = 0.78 (3H, d, J = 9.4 Hz, CHMe2), 0.80 (3H, d, J = 9.4 Hz, CHMe2), 0.96–1.08 (1H, m, H5α), 1.18–1.28 (1H, m, H6α), 1.30–1.54 (4H m, H5β, CHMe2, CH2(3)), 1,56–1.67 (2H, m, H4, H6β), 2.85 (2H, br s, CH2NH), 3.53 (1H, d, J = 3.3 Hz, H2), 4.15 (2H, s, CH2Ph), 4.80 (1H, br s, NH2+), 4.89 (1H, s, NH2+), 7.37–7.46 (3H, m, 3 × CHAr), 7.55–7.64 (2H, m, 2 × CHAr); 13C NMR (100.6 MHz, DMSO-d6): δ = 21.1 (CHMe2), 24.9 (C5), 30.2 (CHMe2), 30.6 (C3), 33.3 (C6), 37.8 (C4), 51.5 (CH2NH), 52.3 (CH2Ph), 70.0 (C2), 71.6 (C1), 129.5 (2 × CHAr), 129.8 (CHAr), 131.2 (2 × CHAr), 132.5 (CqAr). HR-MS (ESI): m/z calcd for C17H28NO2 [M + H]+: 278.21146; found: 278.21068.
  • (1R,2R,4S)-4-Isopropyl-1-((((S)-1-phenylethyl)amino)methyl)cyclohexane-1,2-diol hydrochloride 11b
Prepared from 6b according to the general method. Yield: 0.78 g (79%), white crystals. m.p. 172–174 °C, [α ] 20 D = −15 (c 0.26, MeOH) 1H NMR (DMSO-d6, 400.1 MHz): δ = 0.83 (3H, d, J = 6.6 Hz), 1.00–1.53 (7H, m), 1.63 (3H, d, J = 6.8 Hz), 1.66–1.76 (1H, m), 2.72–2.89 (1H, m), 3.28–3.38 (1H, m), 4.30–4.43 (1H, m), 4.61 (1H, s), 5.09 (1H, br s), 7.35–7.48 (3H, m), 7.55–7.65 (2H, m), 8.69 (1H, br s), 9.27 (1H, br s); 13C NMR (100.6 MHz, DMSO-d6): 20.2, 20.5, 20.7, 32.8, 33.8, 42.5, 54.7, 59.2, 71.1, 73.7, 128.8, 129.7, 129.8, 138.1. HR-MS (ESI): m/z calcd for C18H30NO2 [M + H]+: 292.22711; found: 292.22634.
  • (1R,2R,4S)-4-Isopropyl-1-((((R)-1-phenylethyl)amino)methyl)cyclohexane-1,2-diol hydrochloride 11c
Prepared from 6c according to the general method. Yield: 0.77 g (78%); white crystals m.p. 198–200 °C; [α ] 20 D = +6 (c 0.26, MeOH). 1H NMR (DMSO-d6, 400.1 MHz): δ = 0.76 (3H, d, J = 8.3 Hz), 0.78 (3H, d, J = 8.3 Hz), 0.98–1.14 (1H, m), 1.26–1.63 (6H, m), 1.65 (3H, d, J = 6.9 Hz), 2.51–2.60 (1H, m), 2.84–2.95 (1H, m), 3.37 (1H, br s), 3.45 (1H, br s), 4.30–4.41 (1H, m), 4.78 (1H, br s), 4.93 (1H, s), 7.35–7.47 (3H, m), 7.57–7.65 (2H, m), 8.67 (1H, br s), 9.35 (1H, br s); 13C NMR (100.6 MHz, DMSO-d6): δ = 20.2, 21.1, 24.9, 30.2, 30.6, 33.2, 37.7, 51.8, 59.0, 69.7, 71.6, 128.9, 129.7, 129.8, 138.0. HR-MS (ESI): m/z calcd for C18H30NO2 [M + H]+: 292.22711; found: 292.22647.
General procedure for debenzylation of 7a and 11a
To a stirred suspension of palladium-on-carbon (10% Pd/C, 0.10 g) in a mixture of n-hexane/EtOAc (24 mL) (1:2 mixture for 7a, 1:1 mixture for 11a), 7a or 11a (1.8 mmol) was added and the reaction mixture was stirred under a H2 atmosphere at room temperature and normal pressure. After the reaction was completed (monitored by TLC), the mixture was filtered through a short Celite pad, the solvent was concentrated, and the hydrochloride salts of compounds were formed.
  • (1S,2S,4S)-1-Aminomethyl-4-isopropylcyclohexane-1,2-diol hydrochloride 8
Prepared from 7a according to the general method. Yield: 0.14 g (35%); white crystals m.p. 136–137 °C; [α ] 20 D = −4 (c 0.265, MeOH). 1H NMR (DMSO-d6, 400.1 MHz): δ = 0.81 (6H, d, J = 6.8 Hz, CHMe2), 0.98–1.44 (6H, m, H3α, H(4), CH2(5), CHMe2, H6β), 1.46–1.54 (1H, m, H6α), 1.60–1.69 (1H, m, H3α), 2.57–2.69 (1H, m, CH2NH), 2.91–3.02 (1H, m, CH2NH), 3.28–3.38 (1H, m, overlapped with H2O, CHOH), 4.46 (1H, br s, CHOH), 4.93 (1H, br s, CqOH), 7.78 (3H, br s, NH3+); 13C NMR (100.6 MHz, DMSO-d6): δ = 20.6 and 20.7 (CHMe2), 24.0 (C3), 32.8 (CHMe2), 33.5 (C5), 34.0 (C6), 42.6 (C4), 47.9 (CH2NH), 70.9 (C1), 73.6 (C2). HR-MS (ESI): m/z calcd for C10H22NO2 [M + H]+: 188.16451; found: 188.16423.
  • (1R,2R,4S)-1-Aminomethyl-4-isopropylcyclohexane-1,2-diol hydrochloride 12
Prepared from 11a according to the general method. Yield: 0.18 g (45%); white crystals m.p. 176–178 °C; [α ] 20 D = −14 (c 0.265, MeOH). 1H NMR (DMSO-d6, 400.1 MHz,): δ = 0.82 (3H, d, J = 8.4 Hz, CHMe2), 0.84 (3H, d, J = 8.4 Hz, CHMe2), 1.04–1.18 (1H, m, CHMe2), 1.27–1.69 (7H, m, CH(4), CH2(3), CH2(5), CH2(6)), 2.80 (2H, br s, (CH2NH)), 3.54 (1H, br d, J = 3.7 Hz, CHOH), 4.69 (1H, br s, CHOH), 4.72 (1H, br s, CqOH), 7.83 (3H, br s, NH3+); 13C NMR (100.6 MHz, DMSO-d6): δ = 21.19 and 21.20 (CHMe2), 25.1 (C5), 30.2 (C3), 30.5 (CHMe2), 33.5 (C6), 37.8 (C4), 45.1 (CH2NH), 69.8 (C2), 71.4 (C1). HR-MS (ESI): m/z calcd for C10H22NO2 [M + H]+: 188.16451; found: 188.16419.
General procedure used to form the N-methyl derivatives of compounds 9 and 13
A solution of appropriate compound (5a or 6a) (1.00 g, 2.65 mmol) in dry THF (12 mL) was added to a stirred suspension of LiAlH4 (0.30 g, 7.95 mmol) in dry THF (15 mL) carefully at 0 °C. The mixture was stirred at reflux for 6 h. When the TLC indicated, a mixture of H2O (1 mL) and THF (16 mL) was added dropwise with cooling. The precipitated material was filtered off and washed with THF. The filtrate was dried (Na2SO4), filtered, and concentrated in a vacuum. The crude products were purified via column chromatography on silica gel by applying DCM/MeOH 19:1 (for compound 9) n-hexane/EtOAc 2:1 (for compound 13).
  • (1S,2S,4S)-1-((Benzyl(methyl)amino)methyl)-4-isopropylcyclohexane-1,2-diol (9)
Prepared from 5a according to the general method. Yield: 0.46 g (60%), colourless oil, [α ] 20 D = −44 (c 0.25, MeOH). 1H NMR (DMSO-d6, 400.1 MHz): δ = 0.84 (6H, d, J = 6.6 Hz), 0.77–0.87 (1H, m), 0.81–0.86 (1H, m), 0.98–1.09 (1H, m), 1.21–1.34 (5H, m), 1.37–1.57 (3H, m), 2.20 (3H, s), 2.41 (1H, d, J = 13.5 Hz), 2.53 (1H, d, J = 13.5 Hz), 3.39 (1H, dd, J = 4.4, 11.4 Hz), 3.50 (1H, d, J = 13.3 Hz), 3.67 (1H, d, J = 13.3 Hz), 3.72 (1H, br s), 5.06 (1H, br s), 7.21–7.26 (1H, m), 7.28–7.35 (4H, m); 13C NMR (100.6 MHz, DMSO-d6): δ = 20.2, 20.3, 23.9, 28.7, 32.5, 33.5, 34.2, 42.4, 44.6, 64.0, 66.3, 72.9, 73.5, 127.3, 128.6, 129.1, 139.9. HR-MS (ESI): m/z calcd for C18H30NO2 [M + H]+: 292.22711; found: 292.22635.
  • (1R,2R,4S)-1-((Benzyl(methyl)amino)methyl)-4-isopropylcyclohexane-1,2-diol 13
Prepared from 6a according to the general method. Yield: 0.45 g (58%), colourless oil, [α ] 20 D = −8 (c 0.25, MeOH). 1H NMR (DMSO-d6, 400.1 MHz): δ = 0.73 (3H, d, J = 9.0 Hz), 0.74 (3H, d, J = 9.0 Hz), 0.77–0.87 (1H, m), 0.99–1.07 (1H, m), 1.25–1.44 (4H, m), 1.49–1.56 (1H, m), 2.25 (3H, s), 2.37 (2H, dd, J = 1.0, 14.1 Hz), 3.48 (1H, d, J = 12.8 Hz), 3.56 (1H, d, J = 12.8 Hz), 3.59–3.63 (1H, m), 3.79 (1H, br s), 4.39 (1H, br s), 7.19–7.25 (1H, m), 7.27–7.33 (4H, m); 13C NMR (100.6 MHz, DMSO-d6): δ = 20.4, 20.5, 25.5, 30.9, 31.8, 33.0, 36.7, 45.1, 61.9, 64.0, 69.6, 73.9, 127.4, 128.5, 140.1. HR-MS (ESI): m/z calcd for C18H30NO2 [M + H]+: 292.22711; found: 292.22635.
General method for the preparation of 1,3 oxazines 10a–c
To a stirred solution of aminodiol (7ac) (0.15 g) in Et2O (6 mL), a 35% aqueous solution of formaldehyde (4.5 mL) was added. The reaction mixture was stirred at room temperature for 3 h, then extracted with a 10% aqueous solution of KOH (10 mL). The aqueous layer was extracted with Et2O (3 × 25 mL), and then the combined organic phase was washed with brine (3 × 25 mL). The organic layer was dried (NaSO4), filtered, and evaporated. The crude products were purified by column chromatography on silica gel by using an n-hexane/EtOAc 9:1 mixture for compound 10a and a 4:1 mixture for compounds 10b and 10c.
  • (4aS,7S,8aS)-3-Benzyl-7-isopropyloctahydro-2H-benzo[e][1,3]oxazin-4a-ol 10a
Prepared from 7a according to the general method. Yield: 0.11 g (70%); white crystals; m.p. 155–157 °C; [α ] 20 D = +38 (c 0.25, MeOH). 1H NMR (DMSO-d6, 400.1 MHz,): δ = 0.84 (3H, d, J = 6.8 Hz, CHMe2), 0.85 (3H, d, J = 6.8 Hz, CHMe2), 1.04–1.21 (2H, m, CH2(6)), 1.27–1.48 (6H, m, CH2(8), CHMe2, H7, CH2(5)), 2.18 (1H, d, J = 11.3 Hz, H4α), 2.63 (1H, d, J = 11.5 Hz, H4β), 3.14 (1H, dd, J = 4.8, 11.9 Hz, H8a), 3.58 (1H, d, J = 13.6 Hz, CH2Ph), 3.69 (1H, s, OH), 3.70 (1H, d, J = 13.8 Hz, CH2Ph), 3.80 (1H, d, J = 8.1 Hz, H2α), 4.36 (1H, dd, J = 1.2, 8.2 Hz, H2β), 7.20–7.27 (1H, m, CHAr), 7.29–7.37 (4H, m, 4 × CHAr); 13C NMR (100.6 MHz, DMSO-d6): δ = 20.5 and 20.7 (CHMe2), 24.1 (C6), 30.0 (C8), 33.0 (CHMe2), 33.5 (C5), 42.8 (C7), 57.3 (C4), 62.3 (CH2Ph), 67.2 (C4a), 82.1 (C8a), 85.5 (C2), 127.8 (CHAr), 129.0 (2 × CHAr), 129.5 (2 × CHAr), 139.0 (CqAr). HR-MS (ESI): m/z calcd for C18H28NO2 [M + H]+: 290.21146 found: 290.21090.
  • (4aS,7S,8aS)-7-Isopropyl-3-((S)-1-phenylethyl)octahydro-2H-benzo[e][1,3]oxazin-4a-ol 10b
Prepared from 7b according to the general method. Yield: 0.15 g (96%), [α ] 20 D = −19 (c 0.05, MeOH), 1H NMR (DMSO-d6, 400.1 MHz): δ = 0.83 (6H, dd, J = 1.2, 6.9 Hz), 1.00–1.18 (2H, m), 1.24 (1H, s), 1.27–1.35 (5H, m), 1.36–1.47 (3H, m), 2.00 (1H, d, J = 11.32 Hz), 2.68 (1H, dd, J = 1.6, 11.3 Hz), 3.04 (1H, dd, J = 4.7, 11.0 Hz), 3.57 (1H, d, J = 1.35 Hz), 3.70 (1H, d, J = 8.1 Hz), 3.81 (1H, q, J = 6.8, 13.5 Hz,), 7.19–7.26 (1H, m), 7.26–7.35 (4H, m); 13C NMR (100.6 MHz, DMSO-d6): δ = 20.4, 20.5, 20.7, 24.1, 30.0,32.9, 33.3, 42.8, 59.1, 60.0, 67.1, 82.1, 84.2, 86.4, 127.8, 128.2, 129.1, 143.8 HR-MS (ESI): m/z calcd for C19H30NO2 [M + H]+: 304.22711; found: 304.22631.
  • (4aS,7S,8aS)-7-Isopropyl-3-((R)-1-phenylethyl)octahydro-2H-benzo[e][1,3]oxazin-4a-ol 10c
Prepared from 7c according to the general method. Yield: 0.13 g (83%) [α ] 20 D = −28 (c 0.07, MeOH) 1H NMR (CDCl3, 400.1 MHz): δ = 0.88 (6H, dd, J = 2.4, 6.8 Hz), 1.09–1.18 (2H, m), 1.26 (1H, s), 1.36 (3H, d, J = 6.9 Hz), 1.42–152 (4H, m), 1.57 (dt, J = 3.7, 11.9 Hz), 1.65 (dt, J = 3.3, 13.5 Hz), 2.07 (1H, d, J = 10.6 Hz), 2.86 (1H, dd, J = 2.2, 10.6 Hz), 3.08 (1H, dd, J = 4.4, 11.4 Hz), 3.54 (1H, dd, J = 6.8, 13.5 Hz), 3.66 (1H, d, J = 7.8 Hz), 4.45 (1H, dd, J = 2.1, 7.8 Hz), 7.22–7.26 (1H, m), 7.27–7.35 (4H, m); 13C NMR (100.6 MHz, CDCl3): δ = 19.1, 19.7, 20.0, 23.8, 29.5, 32.5, 32.7, 59.6, 59.8, 66.7, 82.0, 84.4, 127.2, 127.3, 128.4, 142.8. HR-MS (ESI): m/z calcd for C19H30NO2 [M + H]+: 304.22711; found: 304.22646.
  • (S)-(4)-Isopropylcyclohex-1-ene-1-ylmethanol 15
To a solution of 2 (5.36 g, 35.2 mmol) in MeOH (110 mL), NaBH4 (3.99 g, 105.6 mmol) was added in small portions at 0 °C. The reaction mixture was stirred at room temperature for 1 h. When the reaction was completed (indicated by TLC), the solvent was evaporated. The residue was redissolved in water (100 mL) and extracted with DCM (3 × 100 mL). The combined organic phase was dried (Na2SO4), filtered, and concentrated to dryness. The crude product was used for the next step without further purification. Isolated product: 5.16 g (95%), light green transparent oil. All its spectroscopic data and physical properties agreed with those reported in the literature [30].
  • 2,2,2-Trichloro-N-((1R,5S)-5-isopropyl-2-metilenecyclohexyl)acetamide (intermediate) 16a and 2,2,2-trichloro-N-((1S,5S)-5-isopropyl-2-methylenecyclohexyl)acetamide 16b
To a solution of 15 (10.48 g, 67.9 mmol) in dry DCM (320 mL), 1,8-diazabicyclo [5.4.0]undec-7-ene (12.41 g, 81.5 mmol, 12.2 mL) was added applying an Ar atmosphere. Trichloroacetonitrile (10.3 mL, 97.4 mmol) was added in small portions to the reaction mixture, and it was stirred for 2 h at room temperature. Upon completion of the reaction (indicated by TLC), the solvent was evaporated. The crude product was purified via chromatography on silica gel by using DCM. The top one-third of the column was dry Na2SO4, and the bottom two-thirds of the column were silica gel. The fractions that contained the imidate intermediate were collected, and the solvent was evaporated. The slightly yellow oil product was dissolved in dry toluene (300 mL) and reacted in an autoclave at 130 °C in an Ar atmosphere for 24 h. When the reaction was completed, the mixture was extracted with a cold aqueous solution of HCl (5%, 3 × 100 mL), and the organic layer was dried, filtered, and evaporated. Based on 1H NMR measurements and GC determination (Chirasil-DEX CB column, 2 mL flow rate, 110 °C, Figure S145), the diastereomers formed a mixture with a ratio of 85:15. Although various column chromatography methods were carried out, the diastereomers were inseparable.
Yield: 14.52 g (72%) (two diastereomers); orange oil; [α ] 20 D = −33 (c 0.505, MeOH); 1H NMR (CDCl3, 500.2 MHz): δ = 0.87 (3H, d, J = 1.6 Hz, minor), 0.88 (3H, d, J = 1.6 Hz, minor), 0.90 (3H, d, J = 6.7 Hz, major), 0.92 (3H, d, J = 6.8 Hz, major), 0.97–1.08 (1H, m), 1.23–1.41 (2H, m), 1.49–1.63 (4H, m), 1.73–1.86 (2H, m), 1.90–1.98 (1H, m), 2.05–2.21 (2H, m), 2.35 (1H, dt, J = 4.3; 14.4 Hz, major), 2.50 (1H, dt, J = 3.3; 13.8 Hz, minor), 4.34–4.43 (1H, m, minor), 4.49–4.57 (1H, m, major), 4.71 (1H, s, minor), 4.81 (1H, s, minor), 4.88 (1H, s, major), 4.97 (1H, s, major), 6.66 (1H, br s, minor), 6.79 (1H, br s, major); 13C NMR (125.8 MHz, CDCl3): δ = 19.7, 19.8, 19.9, 20.0, 28.8, 29.4, 30.0, 30.7, 31.0, 32.2, 34.9, 37.6, 38.8, 43.1, 52.8, 53.5, 71.7, 74.3, 104.9, 111.4, 145.1, 147.4, 160.7, 161.0; HR-MS (ESI): m/z calcd for C12H19Cl3NO [M + H]+: 298.05322; found: 298.05359.
  • tert-Butyl ((1R,5S)-5-isopropyl-2-methylenecyclohexyl)carbamate 18a and tert-butyl ((1S,5S)-5-isopropyl-2-methylenecyclohexyl)carbamate 18b
To a solution of 16a and 16b (11.11 g, 37.2 mmol) in EtOH/DCM 2:1 (66 mL), an aqueous solution of NaOH (5M solution, 525.6 mL) was added. The reaction was stirred at 50 °C for 15 h. As the TLC indicated, the reaction was cooled to room temperature, then extracted with DCM (3 × 150 mL). The combined organic phase was washed with brine (100 mL), dried, filtered, and evaporated. The residue was dissolved in dry THF (100 mL), and then triethylamine (11.29 g, 111.6 mmol), DMAP (0.45 g, 3.72 mmol), and di-tert-butyl dicarbonate (8.93 g, 40.9 mmol) were added to the reaction mixture. The mixture was stirred at room temperature for 12 h. After that, the solvent was evaporated, and the crude product was purified via column chromatography on silica gel by applying n-hexane/Et2O 9:1. The diastereomers were still inseparable in this step. The ratio of the formed diastereomers remained 85:15 based on the determination by GC (Chirasil-DEX CB column, 2 mL flow rate, 160 °C, Figure S146).
Yield (for the mixture of isomers): 5.56 g (59%); colourless viscous oil; [α ] 20 D = −48 (c 0.250, MeOH); 1H NMR (DMSO-d6, 500.2 MHz) of 18a (major): δ = 0.79 and 0.78 (6H, overlapping d’s, J = 6.7 Hz, CHMe2), 1.06 (1H, qa, J = 12.3 Hz, 4Hβ), 1.25 (1H, m, 6Hβ), 1.32 (9H, s, CMe3), 1.41 (1H, oct, J = 6.7 Hz, CHMe2), 1.48 (1H, m, 5Hα), 1.56 (1H, m, 4Hα), 4.67 (1H, brs, HA); 1.61 (1H, br d, J = 12.2 Hz, 6Hα), 2.13 (1H, td, J = 4.3, 13.9 Hz, 3Hβ), 2.22 (m, 1H, 3Hα), 4.60 (1H, br s, HB); 4.03 (1H, br s, 1Hβ), 6.85 (1H, br s, NH). 13C-NMR (DMSO-d6, 125 MHz): δ = 20.3 and 20.4 (CHMe2), 28.7 (CMe3), 30.4 (4C), 30.5 (3C), 30.9 (CHMe2), 36.2 (6C), 37.7 (4C), 52.2 (1C), 78.0 (CMe3), 108.9 (=CH2), 149.0 (C2),155.3 (C=O).
18b/minor: 1H-NMR (DMSO-d6) separated diagnostic signals: δ = 0.94 (1H, qa, J = 10.6 Hz, 6Hβ), 1.92 (1H, ddd, J = 13.5 Hz, 3.9, 9.5 Hz, 3Hα), 2.32 (dt, J = 13.5 Hz and 4.2 Hz, 1H, 3Hβ), 3.78 (1H, br t, J = 8.5 Hz, 1Hα). 13C-NMR (DMSO-d6, 125 MHz) diagnostic signals separated in the 1D spectrum or identified on the basis of 2D-HSQC: δ = 34.3 (3C), 37.7 (6C, coalesced with 4C line of 18a/major), 53.1 (1C), 104.9 (=CH2), 149.7 (C2), 155.5 (C=O). HR-MS (ESI): m/z calcd for C11H20NO2 [M − CH(CH3)3 + H + H]+: 198.14886; found: 198.14866.
Dihydroxylation of compound mixture of 18a and 18b
To a solution of 18a and 18b (5.40 g, 21.3 mmol) in acetone (100 mL), 4-methylmorpholine-4-oxide (22.5 mL, 96 mmol, 50% aq. solution) and OsO4 (1.5 mL, 2.0% tert-BuOH solution) were added. The reaction mixture was stirred for 72 h at room temperature, then was quenched with a saturated aqueous solution of Na2SO3 (20 mL), and extracted with ethyl acetate (3 × 100 mL). The combined organic phase was dried, filtered, and concentrated to dryness. Based on the 1H NMR spectra, 19a, 19b, and 19c were formed in the ratio of 71:16:13. The crude product was purified by column chromatography on silica gel by using n-hexane/EtOAc 2:1). We found that 19a was successfully isolated, while 19a and 19b remained as a mixture. Total yield: 4.96 g (81%).
  • tert-Butyl ((1R,2S,5S)-2-hydroxy-2-hydroxymethyl-5-isopropylcyclohexyl)-carbamate 19a
Yield: 2.94 g (48%); white crystals; m.p.: 111–112 °C; [α ] 20 D = −41 (c 0.275, MeOH); 1H NMR (CDCl3, 500.2 MHz): δ = 0.89 (3H, d, J = 6.7 Hz), 0.90 (3H, d, J = 6.7 Hz), 0.97–1.08 (1H, m), 1.19–1.28 (1H, m), 1.39–1.60 (5H, m), 1.46 (9H, s), 1.88 (1H, dt, J = 4.1; 13.2 Hz), 3.08 (1H, d, J = 12.8 Hz), 3.47 (1H, d, J = 12.1 Hz), 3.60–3.66 (1H, m), 4.82 (1H, d, J = 8.1 Hz); 13C NMR (125.8 MHz, CDCl3): δ = 19.6, 20.0, 23.2, 23.4, 28.3, 28.5, 29.7, 32.5, 38.5, 50.1, 67.2, 72.5, 80.7, 157.4; HR-MS (ESI): m/z calcd for C17H26N [M + H]+: 436.2410; found: 258.22099.
  • (1R,2R,5S)- and (1S,2R,5S)-tert-Butyl 2-hydroxy-2-hydroxymethyl-5-isopropylcyclohexyl)carbamate mixture 19a and 19b
Compounds 19b and 19c (2.02 g (33%); white crystals; were used in acetal preparation without further separation. HR-MS (ESI): m/z calcd for C15H30NO4 [M + H]+: 288.21693; found: 288.21649, calcd for C15H29NO4Na [M + Na]+: 310.19888; found: 310.19816.
Acetal synthesis starting from 19b and 19c
To a solution of Boc-protected aminodiol mixture 19a and 19b (1.20 g, 4.2 mmol) in dry acetone (100 mL), 4-methylbenzene-1-sulfonic acid (0.10 g 0.6 mmol) was added and stirred at room temperature. When the TLC indicated, the solvent was concentrated in a vacuum. The crude product was purified by column chromatography on silica gel, applying n-hexane/EtOAc 1:1 and then n-hexane/EtOAc 9:1 to yield compounds 20b and 20c.
  • tert-Butyl ((5R,6R,8S)-8-isopropyl-2,2-dimethyl-1,3-dioxaspiro [4,5]decane-6-yl)carbamate 20b
Yield: 0.77 g (56%); white crystals; m.p.: 75–78 °C; [α ] 20 D = −9 (c 0.490, MeOH); 1H NMR (CDCl3, 500.2 MHz): δ = 0.87 (3H, d, J = 6.8 Hz), 0.90 (3H, d, J = 6.8 Hz), 1.11–1.31 (2H, m), 1.18–1.29 (1H, m), 1.34–1.43 (1H, m), 1.39 (3H, s), 1.41 (3H, s), 1.46 (9H, s), 1.49–1.76 (5H, m, 1.83–1.93 (1H, m), 3.66–3.73 (1H, m), 3.73 (1H, d, J = 8.4 Hz), 3.93 (1H, d, J = 8.8 Hz), 4.72 (1H, br d, J = 5.8 Hz); 13C NMR (125.8 MHz, DMSO-d6): δ = 20.4, 20.6, 25.5, 27.0, 27.2, 28.4, 29.5, 32.1, 32.6, 38.0, 51.2 72.2, 82.0, 109.3, 155.9; HR-MS (ESI): m/z calcd for C18H34NO4 [M + H]+: 328.24823; found: 328.24784.
  • tert-Butyl ((5R,6S,8S)-8-isopropyl-2,2-dimethyl-1,3-dioxaspiro [4,5]decane-6-yl)carbamate 20c
Yield: 0.24 g (18%); white crystals; m.p.: 167–168 °C; [α ] 20 D = +11 (c 0.255, MeOH); 1H NMR (DMSO-d6, 500.2 MHz), δ = 0.79–0.94 (2H, m), 0.81 (3H, d, J = 5.8 Hz), 0.83 (3H, d, J = 5.8 Hz), 1.09–1.19 (1H, m), 1.23 (3H, s), 1.26 (3H, s), 1.32–1.41 (1H, m), 1.37 (9H, s), 1.46 (1H, dt, J = 2.5, 12.9 Hz), 1.57–1.66 (2H, m), 1.75–1.80 (1H, m), 3.43–3.51 (1H, m), 3.62 (1H, d, J = 9.0 Hz), 4.07 (1H, d, J = 9.0 Hz), 6.56 (1H, br d, J = 9.5 Hz); 13C NMR (125.8 MHz, DMSO-d6): δ = 20.2, 20.4, 26.7, 27.3, 27.7, 28.8, 32.2, 35.2, 37.8, 42.8, 54.2, 67.3, 77.7, 84.0, 108.3, 155.5; HR-MS (ESI): m/z calcd for C18H34NO4 [M + H]+: 328.24823; found: 328.24781.
General procedure for the Boc and acetonide deprotection of compounds 19a, 20b, and 20c
To a stirred solution of compounds 19a, 20b, and 20c (0.70 mmol) in Et2O (6 mL), an aqueous solution of HCl (10%, 10 mL) was added. The reaction mixture was stirred vigorously for 24 h at room temperature. When the reaction was completed (indicated by TLC), it was extracted with Et2O (2 × 10 mL). The compounds were further purified as hydrochloride salts.
  • (1S,2R,4S)-2-Amino-1-hydroxymethyl-4-isopropylcyclohexanol hydrochloride 21a
Prepared from 19a according to the general method. Yield: 0.133 g (86%); white crystals, m.p.: 247–250 °C; [α ] 20 D = −16 (c 0.700, MeOH); 1H-NMR (DMSO-d6): δ = 0.78 and 0.79 (6H, overlapping d’s, J = 6.7 Hz, CHMe2), 1.27–1.30 (4H, m, 3Hα, 4Hβ and 5Hα and 6Hβ), 1.32–1.36 (2H, m, CHMe2 and 4Hα), 1.55–1.67 (2H, m, 3Hβ and 6Hα), 3.12 (m 1H, 1Hβ), 3.23 and 3.34 (2H, 2xd, J = 11.9 Hz, OCH2), 7.96 (3H, s, NH3+). The signals of the rapidly exchanging OH protons are merged in the broadened HDO signal of the solvent centred at c.a. 3.3 ppm. 13C-NMR (DMSO-d6): δ = 20.0 and 20.1 (CHMe2), 23.3 (C4), 28.5 (two coalesced lines (C3 and C6), 31.9 (CHMe2), 36.9 (C5), 52.0 (C1), 67.0 (OCH2), 70.5 (C2); HR-MS (ESI): m/z calcd for C10H22NO2 [M + H]+: 188.16451; found: 188.16451.
  • (1R,2R,4S)-2-Amino-1-hydroxymethyl-4-isopropylcyclohexanol hydrochloride 21b
Prepared from 20b according to the general method. Yield: 0.131 g (86%); white crystals m.p.: 142–143 °C; [α ] 20 D = −7 (c 0.260, MeOH); 1H-NMR (DMSO-d6): δ = 0.78 and 0.80 (overlapping d’s, J = 6.7 Hz, 6H, CHMe2), 1.17 (m, H4β), 1.29 (m, 1H, 5Hα), 1.38 (m, 1H, 3Hα), 1.44 (oct, J = 6.7 Hz, 1H, CHMe2), 1.52–1.55 (m, 3H, 3Hβ, 4Hα and 6Hβ), 1.72 (br d, J = 11.3 Hz, 1H, 6Hα), 3.19 (m 1H, 1Hβ), 3.29 and 3.36 (2 × d, J = 11.9 Hz, 2 × 1H, OCH2), 7.73 (s, 3H, NH3+). The signals of the rapidly exchanging OH protons are merged in the broadened HDO signal of the solvent centred at c.a. 3.3 ppm. 13C-NMR (DMSO-d6): δ = 20.78 and 20.80 (CHMe2), 24.0 (C4), 28.7 (C6), 28.8 (CHMe2), 29.4 (C3), 37.5 (C5), 50.1 (C1), 65.8 (OCH2), 71.0 (C2); HR-MS (ESI): m/z calcd for C10H22NO2 [M + H]+: 188.16451; found:188.16434.
  • (1R,2S,4S)-2-Amino-1-hydroxymethyl-4-isopropylcyclohexanol hydrochloride 21c
Prepared from 20c according to the general method. Yield: 0.124 g (80%); white crystals m.p.: 247–250 °C; [α ] 20 D = +8 (c 0.320, MeOH); 1H-NMR (DMSO-d6): δ = 0.79 (6H, d, J = 6.7 Hz, CHMe2), 0.99 (1H, qad, J = 12.8 Hz and 3.6 Hz, H4β), 1.22 (1H, m, 5Hα); 1.19 (1H, m, 3Hα), 1.26 (1H, qa, J = 11.9 Hz; 6Hβ), 1.41 (1H, oct, J = 6.7 Hz, CHMe2), 1.46 (1H, br d, J = 13.0 Hz, 4Hα), 1.79–1.83 (2H, m, 3Hβ and 6Hα), 2.93 (1H, m 1Hα), 3.39 and 3.60 (2H, 2xd, J = 11.7 Hz, OCH2), 4.96 (1H, br s, CH2OH), 5.00 (1H, s, OH), 7.85 (3H, s, NH3+); 13C-NMR (DMSO-d6): δ = 20.6 and 20.8 (CHMe2), 26.0 (C4), 31.0 (C6), 32.1 (CHMe2), 35.3 (C3), 42.4 (C5), 58.6 (C1), 62.6 (OCH2), 71.8 (C2); HR-MS (ESI): m/z calcd for C10H22NO2 [M + H]+: 188.16451; found: 188.16430.
General procedure for preparation of N-benzyl derivatives 23a and 23b
To a solution of primer aminodiol base form 21a or 21b (0.19 g, 1.0 mmol) in dry EtOH (20 mL), 0.11 g (1.05 mmol) benzaldehyde was added, and the reaction mixture was stirred at room temperature. When the reaction was completed (monitored by means of TLC, 1 h), the solvent was concentrated and the residue was dissolved in dry EtOH (20 mL) and stirred for 1 h, and then NaBH4 (0.11 g, 3.0 mmol) was added in small portions. When the reaction was completed (indicated by TLC), the solvent was concentrated to dryness; then, H2O (15 mL) was poured into the residue and extracted with DCM (3 × 25 mL). After drying (Na2SO4), filtration, and solvent evaporation, the crude product was purified via column chromatography by applying a CHCl3/MeOH 9:1 mixture.
  • (1S,2R,4S)-2-Benzylamino-1-hydroxymethyl-4-isopropylcyclohexanol 23a
Prepared from 21a according to the general method. Yield: 0.150 g (54%); light yellow oil; [α ] 20 D = −44 (c 0.405, MeOH); 1H NMR (DMSO-d6, 500.2 MHz): δ = 0.78 (3H, d, J = 6.8 Hz, CHMe2, 0.79 (3H, d, J = 6.8 Hz, CHMe2, 0.79–0.86 (1H, m, H5α), 1.02–1.13 (1H, m, CHMe2, 1.34–1.52 (5H, m H3α, H4, H5β, CH2(6)) 1.56–1.63 (1H, m H3β), 2.02 (1H, br s, OH), 2.60–2.66 (1H, m, H2), 3.30 (1H, d, J = 11.1 Hz, overlap with H2O sign, CH2OH), 3.39 (1H, d, J = 11.2 Hz, CH2OH, 3.60 (1H, d, J = 13.4 Hz, CH2Ph), 3.76 (1H, d, J = 13.2 Hz, CH2Ph), 4.15 (1H, s CH2OH, 4.58 (1H, br s, NH), 7.21–7.24 (1H, m, CHAr), 7.29–7.34 (4H, m, 4 × CHAr); 13C NMR (125.8 MHz, DMSO-d6): δ = 20.6 (CHMe2), 20.7 (CHMe2), 25.4 (C5), 29.0 (C3), 30.3 (CHMe2), 30.4 (C6), 37.0 (C4), 51.6 (CH2Ph), 56.6 (C2), 66.5 (CH2OH), 73.0 (C1), 127.0 (CHAr), 128.4 (2 × CHAr), 128.6 (2 × CHAr), 141.9 (CqAr); HR-MS (ESI): m/z calcd for C17H28NO2 [M + H]+: 278.21146; found: 278.21096.
  • (1R,2R,4S)-2-Benzylamino-1-hydroxymethyl-4-isopropylcyclohexanol 23b
Prepared from 21b according to the general method. Yield: 0.246 g (89%); light yellow oil; [α ] 20 D = −76 (c 0.245, MeOH); 1H NMR (DMSO-d6, 500.2 MHz): δ = 0.83 (6H, d, J = 5.6 Hz, 2 × CH2Me2) 1.22–1.42 (6H, m, H5α, CH2(3), H4, CH2(5)), 1.48–1.55 (1H, m, H5β), 1.59–1.67 (1H, m, H6α), 2.55–2.58 (1H, m, H6β), 3.29 (2H, dd, J = 10.8, 14.9 Hz CH2OH), 3.61 (1H, d, J = 13.8 Hz, CH2Ph), 3.77 (1H, d, J = 13.8 Hz, CH2Ph), 3.90 (1H, s, OH), 7.20–7.23 (1H, m, CHAr), 729–7.33 (4H, m, 4 × CHAr); 13C NMR (125.8 MHz, DMSO-d6): δ = 20.2 (CH2Me2), 20.3 (CH2Me2), 23.9 (C5), 27.4 (C3), 29.6 (CHMe2), 32.5, (C6), 36.4 (C4), 51.4 (CH2Ph), 59.2 (C2), 70.0 (CH2OH), 71.7 (C1), 127.0 (CHAr), 128.5 (2 × CHAr), 128.6 (2 × CHAr), 141.6 (CqAr); HR-MS (ESI): m/z calcd for C17H28NO2 [M + H]+: 278.21146; found: 278.21073.
  • (1S,2R,4S)-1-Hydroxymethyl-4-isopropyl-2-(methylamino)cyclohexanol-hydrocloride 22
To a suspension of LiAlH4 (0.18 g, 4.7 mmol) in dry THF (5 mL), a solution of compound 19a (0.45 g, 1.57 mmol) in dry THF (5 mL) was added dropwise and stirred for 2 h, and then the excess of LiAlH4 was quenched with a mixture of H2O (0.36 mL) and THF (5 mL) at 0 °C. The suspension was stirred for 1 h at room temperature and then filtered. The inorganic residue was washed with THF (3 × 30 mL), and then the organic layer was dried, filtered, and concentrated to dryness. As its hydrochloride salt, the crude product was crystallised using a solution of HCl (10%, in EtOH/Et2O).
Yield: 0.243 g (65%); white crystals m.p.: 155–157 °C; [α ] 20 D = −35 (c 0.265, MeOH); 1H NMR (DMSO-d6, 500.2 MHz): δ = 0.85 (3H, d, J = 7.1 Hz), 0.86 (3H, d, J = 7.1 Hz), 1.25–1.51 (5H, m), 1.63–1.77 (3H, m), 2.54 (3H, s), 3.07 (1H, br s), 3.38 (1H, d, J = 12.1 Hz), 3.49 (1H, d, J = 11.9 Hz), 4.89 (1H, s), 5.28 (1H, br s), 8.51 (2H, br s,); 13C NMR (125.8 MHz, DMSO-d6): δ = 20.1, 20.2, 23.3, 25.4, 29.3, 31.2, 32.6, 36.5, 60.8, 66.5, 70.8; HR-MS (ESI): m/z calcd for C11H24NO2 [M + H]+: 202.18016; found: 202.17983.
General method for ring closure of compounds 22, 23a, and 23b with formaldehyde
To a solution of aminodiol 22, 23a, and 23b (0.58 mmol) in Et2O (10 mL), an aqueous solution of formaldehyde (40%, 5 mL) was added, and the mixture was stirred at room temperature for 1 h. An aqueous solution of NaOH (5%) was added to the reaction mixture to make it alkaline and extracted with Et2O (3 × 20 mL). The combined organic phase was dried (Na2SO4), filtered, and evaporated in vacuo. The crude products were purified by column chromatography (toluene/EtOH 4:1).
  • (4aS,7S,8aR)-7-Isopropyl-1-methyloctahyro-1H-benzo[d][1,3]oxazine-4a-ol 24
Prepared from 22 according to the general method. Yield: 0.081 g (66%); brown oil; [α ] 20 D = −38 (c 0.280, MeOH); 1H NMR (DMSO-d6, 500.2 MHz): δ = 0.83 (6H, d, J = 6.5 Hz), 1.21–1.27 (1H, m), 1.30–1.41 (4H, m), 1.44–1.52 (1H, m), 1.62–1.68 (1H, m), 1.87–1.91 (1H, m), 1.97 (3H, s), 3.10 (1H, d, J = 10.5 Hz,), 3.40 (1H, d, J = 11.3 Hz), 3.41 (1H, d, J = 7.3 Hz), 4.27 (1H, d, J = 7.4 Hz), 4.41 (1H, s); 13C NMR (125.8 MHz, DMSO-d6): δ = 20.0, 20.2, 24.9, 26.1, 31.6, 32.4, 35.8, 36.1, 65.6, 67.7, 77.3, 87.6; HR-MS (ESI): m/z calcd for C12H24NO2 [M + H]+: 214.18016; found: 214.17979.
  • (4aS,7S,8aR)-1-Benzyl-7-isopropyloctahydro-1H-benzo[d][1,3]oxazine-4a-ol 25a
Prepared from 23a according to the general method. Yield: 0.149 g (89%); yellowish-brown transparent oil; [α ] 20 D = −45 (c 0.255, MeOH); 1H NMR (DMSO-d6, 500.2 MHz): δ = 0.77 (3H, d, J = 7.4 Hz, CHMe2), 0.79 (3H, d, J = 7.4 Hz, CHMe2), 1.22–1.50 (CH2(3, m, CH2(3), H7, CH2(5)), 1.52–1.60 (1H, m, H8α), 1.80–1.87 (1H, m H8β), 2.16–2.27 (2H, m H8a), 3.08 (1H, d, J = 14.3 Hz, H4α), 3.12 (1H, d, J = 10.6 Hz CH2Ph), 3.42 (1H, d, J = 10.5 Hz CH2Ph), 3.53 (1H, d, J = 7.8 Hz H2), 3.86 (1H, d, J = 14.3 Hz H4β), 4.20 (1H, d, J = 7.7 Hz H2), 4.47 (1H, s, OH), 7.21–7.35 (5H, m, 5 × CHAr); 13C NMR (125.8 MHz, DMSO-d6): δ = 20.0 (CH2Me2), 20.2 (CH2Me2), 25.0 (C5), 26.1 (C6), 31.6 (CHMe2), 32.1 (C5), 36.4 (C7), 52.0 (CH2Ph), 65.4 (C8a), 66.0 (C4a), 77.3 (C4), 85.2 (C2), 127.3 (CHAr), 128.7 (2 × CHAr), 128.8 (2 × CHAr), 139.2 (CqAr); HR-MS (ESI): m/z calcd for C18H28NO2 [M + H]+: 290.21146; found: 290.21082.
  • (4aR,7S,8aR)-1-Benzyl-7-isopropyloctahydro-1H-benzo[d][1,3]oxazine-4a-ol 25b
Prepared from 23b according to the general method. Yield: 0.134 g (80%); yellowish-brown transparent oil; [α ] 20 D = −21 (c 0.250, MeOH); 1H NMR (DMSO-d6, 500.2 MHz): δ = 0.79 (3H, d, J = 7.8 Hz), 0.83 (3H, d, J = 7.8 Hz), 1.20–1.53 (5H, m), 1.56–1.66 (1H, m), 1.79–1.87 (1H, m), 2.16–2.29 (2H, m), 3.09 (1H, d, J = 14.3 Hz), 3.12 (1H, d, J = 10.6 Hz), 3.42 (1H, d, J = 10.5 Hz), 3.53 (1H, d, J = 7.8 Hz), 3.86 (1H, d, J = 14.3 Hz), 4.20 (1H, d, J = 7.7 Hz), 4.47 (1H, s), 7.21–7.35 (5H, m); 13C NMR (125.8 MHz, DMSO-d6): δ = 20.0, 20.2, 25.0, 26.1, 31.6, 32.1, 36.4, 52.0, 65.4, 66.0, 77.3, 85.2, 127.3, 128.7, 128.8, 139.2; HR-MS (ESI): m/z calcd for C18H28NO2 [M + H]+: 290.21146; found: 290.21123.
General procedure for the reaction of benzaldehyde with diethylzinc in the presence of chiral catalysts.
A solution of Et2Zn in n-hexane (1M, 4.5 mL) was added to the appropriate catalyst (10 mol%) under an Ar atmosphere at room temperature. The reaction mixture was stirred for 20 min at room temperature, and then benzaldehyde (0.156 g, 153 μL, 1.5 mmol) was added. The mixture was stirred for a further 20 h at room temperature, then quenched with a saturated solution of NH4Cl (50 mL) and extracted with EtOAc (2 × 30 mL). The combined organic layer was dried (Na2SO4), filtered, and evaporated. The ee values and absolute configurations of the obtained secondary alcohols were determined by chiral-phase GC by using a CHIRASIL-DEX CB column, at 90 °C, after O-acetylation in an AcO2/4-dimethylaminopyridine/pyridine system.
Identification of 27bd was achieved by chiral HPLC analysis on a Chiralcel OD-H column and the data are as follows: 1-(4-tolyl)-1-propanol 27b V(n-hexane)/V(2-propanol) = 95:5, 0.5 mL/min, tR1 = 16.0 min for R-isomer, tR2 = 22.2 min for S-isomer. 1-(4-methoxyphenyl)-1-propanol 27c; V(n-hexane)/V(2-propanol) = 95:5, 0.7 mL/min, 210 nm, tR1 = 15.9 min for R-isomer, tR2 = 18.0 min for S-isomer. 1-(3-Methoxyphenyl)-1-propanol 27d; V(n-hexane)/V(2-propanol) = 98:2, 0.4 mL/min, 210 nm, tR1 = 74.9 min for R-isomer, tR2 = 77.8 min for S-isomer (Figures S157–S162).
DFT calculations on compounds 10a and 14a
All DFT calculations were carried out by Gaussian 09 Revision A.02 software (Gaussian Incorporation, Pittsburgh, PA, USA), package [Gaussian 09], using the M06-2X global hybrid DFT functional [38] and 6-31+G(d,p) basis set [39]. Structural optimisations and subsequent frequency calculations were supported by the IEFPCM solvent model [40] parameterised with the dielectric constant of water (ε = 78.4) to represent the approximate polarity of the experimental reaction conditions. The Gibbs free-energy values of optimised structures were obtained by correcting the computed total energy with zero-point vibrational energy (ZPE) and the calculated thermal corrections. The optimised structures are available from the authors.

Supplementary Materials

The following supporting information can be downloaded at: https://www.mdpi.com/article/10.3390/ijms25084325/s1, references [41,42,43,44] are cited in Supplementary Materials.

Author Contributions

Z.S. conceived and designed the experiments; M.B.H., I.U. and B.M. performed the experiments, analysed the data, and wrote the experimental part; A.C. investigated the structural determination of compounds by 2D NMR techniques and DFT calculations; M.H. performed the X-ray study and structural determination of compound 10a; Z.S. and A.C. discussed the results and contributed to writing the paper. All authors have read and agreed to the published version of the manuscript.

Funding

We are grateful for financial support from the Hungarian Research Foundation (NKFI K138871). Project no. TKP2021-EGA-32 has been implemented with the support provided by the Ministry of Innovation and Technology of Hungary from the National Research, Development and Innovation Fund, financed under the TKP2021-EGA funding scheme.

Institutional Review Board Statement

Not applicable.

Informed Consent Statement

Not applicable.

Data Availability Statement

No new data were created or analyzed in this study. Data sharing is not applicable to this article.

Acknowledgments

We are grateful for the high-resolution mass spectrometric analysis performed by Robert Berkecz.

Conflicts of Interest

The authors declare no conflicts of interest. The funders had no role in the design of the study; in the collection, analyses, or interpretation of data; in the writing of the manuscript; or in the decision to publish the results.

References

  1. Berkessel, A.; Gröger, H. Asymmetric Organocatalysis—From Biomimetic Concepts to Applications in Asymmetric Synthesis; Wiley-VCH: Weinheim, Germany, 2005; ISBN 3-527-30517-3. [Google Scholar]
  2. Lin, G.-Q.; You, Q.-D.; Cheng, J.-F. Chiral Drugs: Chemistry and Biological Action; John Wiley & Sons, Inc.: Hoboken, NJ, USA, 2011; ISBN 978-0-470-58720-1. [Google Scholar]
  3. Blicker, L.; González-Cano, R.; Laurini, E.; Nieto, F.R.; Schmidt, J.; Schepmann, D.; Pricl, S.; Wünsch, B. Conformationally Restricted σ1 Receptor Antagonists from (−)-Isopulegol. J. Med. Chem. 2023, 66, 4999–5020. [Google Scholar] [CrossRef] [PubMed]
  4. Liu, Q.; Xie, X.; Tang, M.; Tao, W.; Shi, T.; Zhang, Y.; Huang, T.; Zhao, Y.; Deng, Z.; Lin, S. One-Pot Asymmetric Synthesis of an Aminodiol Intermediate of Florfenicol Using Engineered Transketolase and Transaminase. ACS Catal. 2021, 11, 7477–7488. [Google Scholar] [CrossRef]
  5. Wróblewski, A.E.; Głowacka, I.E.; Piotrowska, D.G. 1′-Homonucleosides and Their Structural Analogues: A Review. Eur. J. Med. Chem. 2016, 118, 121–142. [Google Scholar] [CrossRef] [PubMed]
  6. Sadler, J.M.; Mosley, S.L.; Dorgan, K.M.; Zhou, Z.S.; Seley-Radtke, K.L. Synthetic Strategies toward Carbocyclic Purine–Pyrimidine Hybrid Nucleosides. Bioorg. Med. Chem. 2009, 17, 5520–5525. [Google Scholar] [CrossRef] [PubMed]
  7. Jacobson, K.A.; Tosh, D.K.; Toti, K.S.; Ciancetta, A. Polypharmacology of Conformationally Locked Methanocarba Nucleosides. Drug Discov. Today 2017, 22, 1782–1791. [Google Scholar] [CrossRef] [PubMed]
  8. Bamou, F.Z.; Le, T.M.; Tayeb, B.A.; Tahaei, S.A.S.; Minorics, R.; Zupkó, I.; Szakonyi, Z. Antiproliferative Activity of (−)-Isopulegol-based 1,3-Oxazine, 1,3-Thiazine and 2,4-Diaminopyrimidine Derivatives. ChemistryOpen 2022, 11, e202200169. [Google Scholar] [CrossRef] [PubMed]
  9. Chan, S.-H.; Leu, W.-J.; Swain, S.P.; Hsu, J.-L.; Hou, D.-R.; Guh, J.-H. Mechanistic Study of Triazole Based Aminodiol Derivatives in Leukemic Cells—Crosstalk between Mitochondrial Stress-Involved Apoptosis and Autophagy. Int. J. Mol. Sci. 2020, 21, 2470. [Google Scholar] [CrossRef] [PubMed]
  10. Wang, G.T.; Li, S.; Wideburg, N.; Krafft, G.A.; Kempf, D.J. Synthetic Chemical Diversity: Solid Phase Synthesis of Libraries of C2 Symmetric Inhibitors of HIV Protease Containing Diamino Diol and Diamino Alcohol Cores. J. Med. Chem. 1995, 38, 2995–3002. [Google Scholar] [CrossRef] [PubMed]
  11. Kleinert, H.; Rosenberg, S.; Baker, W.; Stein, H.; Klinghofer, V.; Barlow, J.; Spina, K.; Polakowski, J.; Kovar, P.; Cohen, J.; et al. Discovery of a Peptide-Based Renin Inhibitor with Oral Bioavailability and Efficacy. Science 1992, 257, 1940–1943. [Google Scholar] [CrossRef]
  12. Chandrasekhar, S.; Mohapatra, S.; Yadav, J.S. Practical Synthesis of Abbott Amino-Diol: A Core Unit of the Potent Renin Inhibitor Zankiren. Tetrahedron 1999, 55, 4763–4768. [Google Scholar] [CrossRef]
  13. Guzzo, L.; Castor, M.; Perez, A.; Duarte, I.; Romero, T. Natural Diterpenes from Coffee, Cafestol, and Kahweol Induce Peripheral Antinoceception by Adrenergic System Interaction. Planta Med. 2015, 82, 106–112. [Google Scholar] [CrossRef]
  14. Kakeya, H.; Morishita, M.; Koshino, H.; Morita, T.; Kobayashi, K.; Osada, H. Cytoxazone: A Novel Cytokine Modulator Containing a 2-Oxazolidinone Ring Produced by Streptomyces sp. J. Org. Chem. 1999, 64, 1052–1053. [Google Scholar] [CrossRef] [PubMed]
  15. Paraskar, A.S.; Sudalai, A. Enantioselective Synthesis of (−)-Cytoxazone and (+)-Epi-Cytoxazone, Novel Cytokine Modulators via Sharpless Asymmetric Epoxidation and l-Proline Catalyzed Mannich Reaction. Tetrahedron 2006, 62, 5756–5762. [Google Scholar] [CrossRef]
  16. El Alami, M.S.I.; El Amrani, M.A.; Agbossou-Niedercorn, F.; Suisse, I.; Mortreux, A. Chiral Ligands Derived from Monoterpenes: Application in the Synthesis of Optically Pure Secondary Alcohols via Asymmetric Catalysis. Chem. Eur. J. 2015, 21, 1398–1413. [Google Scholar] [CrossRef] [PubMed]
  17. Arimitsu, S.; Oshiro, K.; Endo, K.; Gima, E.; Poorsadeghi, S. Preparation of Enantiomerically Pure β,β-Diaryl β-Hydroxy-α-Amino Acids and Evaluation of Their Potential as Organocatalysts. Asian J. Org. Chem. 2020, 9, 238–241. [Google Scholar] [CrossRef]
  18. Rigo, D.; Carmo Dos Santos, N.A.; Perosa, A.; Selva, M. Concatenated Batch and Continuous Flow Procedures for the Upgrading of Glycerol-Derived Aminodiols via N-Acetylation and Acetalization Reactions. Catalysts 2020, 11, 21. [Google Scholar] [CrossRef]
  19. Cherng, Y.-J.; Fang, J.-M.; Lu, T.-J. Pinane-Type Tridentate Reagents for Enantioselective Reactions: Reduction of Ketones and Addition of Diethylzinc to Aldehydes. J. Org. Chem. 1999, 64, 3207–3212. [Google Scholar] [CrossRef] [PubMed]
  20. Csillag, K.; Németh, L.; Martinek, T.A.; Szakonyi, Z.; Fülöp, F. Stereoselective Synthesis of Pinane-Type Tridentate Aminodiols and Their Application in the Enantioselective Addition of Diethylzinc to Benzaldehyde. Tetrahedron Asymmetry 2012, 23, 144–150. [Google Scholar] [CrossRef]
  21. Raji, M.; Le, T.M.; Fülöp, F.; Szakonyi, Z. Synthesis and Investigation of Pinane-Based Chiral Tridentate Ligands in the Asymmetric Addition of Diethylzinc to Aldehydes. Catalysts 2020, 10, 474. [Google Scholar] [CrossRef]
  22. Szakonyi, Z.; Csillag, K.; Fülöp, F. Stereoselective Synthesis of Carane-Based Aminodiols as Chiral Ligands for the Catalytic Addition of Diethylzinc to Aldehydes. Tetrahedron Asymmetry 2011, 22, 1021–1027. [Google Scholar] [CrossRef]
  23. Szakonyi, Z.; Csőr, Á.; Csámpai, A.; Fülöp, F. Stereoselective Synthesis and Modelling-Driven Optimisation of Carane-Based Aminodiols and 1,3-Oxazines as Catalysts for the Enantioselective Addition of Diethylzinc to Benzaldehyde. Chem.-Eur. J. 2016, 22, 7163–7173. [Google Scholar] [CrossRef] [PubMed]
  24. Tashenov, Y.; Daniels, M.; Robeyns, K.; Van Meervelt, L.; Dehaen, W.; Suleimen, Y.; Szakonyi, Z. Stereoselective Syntheses and Application of Chiral Bi- and Tridentate Ligands Derived from (+)-Sabinol. Molecules 2018, 23, 771. [Google Scholar] [CrossRef] [PubMed]
  25. Minh Le, T.; Szakonyi, Z. Enantiomeric Isopulegol as the Chiral Pool in the Total Synthesis of Bioactive Agents. Chem. Rec. 2022, 22, e202100194. [Google Scholar] [CrossRef] [PubMed]
  26. Philipova, I.; Dimitrov, V.; Simova, S. Synthesis of New Enantiopure Aminodiols and Their Use as Ligands for the Addition of Diethylzinc to Benzaldehyde. Tetrahedron Asymmetry 1999, 10, 1381–1391. [Google Scholar] [CrossRef]
  27. Andrés, C.; Nieto, J.; Pedrosa, R.; Villamañán, N. Synthesis of Enantiopure Primary Amines by Stereoselective Ring Opening of Chiral Octahydro-1,3-Benzoxazines by Grignard and Organoaluminum Reagents. J. Org. Chem. 1996, 61, 4130–4135. [Google Scholar] [CrossRef]
  28. Alberola, A.; Andrés, C.; Pedrosa, R. Diastereoselective Ring Opening of 2-Substituted N-Benzyl-4,4,7α-Trimethyl-Trans-Octahydro-1,3-Benzoxazines by Grignard Reagents. Highly Enantioselective Synthesis of Primary Amines. Synlett 1990, 763–765. [Google Scholar] [CrossRef]
  29. Pedrosa, R.; Andrés, C.; Duque-Soladana, J.P.; Rosón, C.D. Regio- and Stereoselective 6-Exo-Trig Radical Cyclisations onto Chiral Perhydro-1,3-Benzoxazines: Synthesis of Enantiopure 3-Alkylpiperidines. Tetrahedron Asymmetry 2000, 11, 2809–2821. [Google Scholar] [CrossRef]
  30. Szakonyi, Z.; Sillanpää, R.; Fülöp, F. Stereoselective Synthesis of Perillaldehyde-Based Chiral β-Amino Acid Derivatives through Conjugate Addition of Lithium Amides. Beilstein J. Org. Chem. 2014, 10, 2738–2742. [Google Scholar] [CrossRef]
  31. Cao, J.; Wang, Z.X.; Gao, L.J.; Fu, F. Water-Assisted Isomerization of the [H, C, N, O] System. J. Mol. Model. 2015, 21, 66. [Google Scholar] [CrossRef]
  32. Kelemen, Á.A.; Perczel, A.; Horváth, D.; Jákli, I. Amide Isomerization Pathways: Electronic and Structural Background of Protonation- and Deprotonation-Mediated Cis-Trans Interconversions. J. Chem. Phys. 2023, 159, 154301. [Google Scholar] [CrossRef]
  33. Overman, L.E. Thermal and Mercuric Ion Catalyzed [3,3]-Sigmatropic Rearrangement of Allylic Trichloroacetimidates. 1,3 Transposition of Alcohol and Amine Functions. J. Am. Chem. Soc. 1974, 96, 597–599. [Google Scholar] [CrossRef]
  34. Geoghegan, K.; Evans, P. Double Reduction of Cyclic Aromatic Sulfonamides: Synthesis of (+)-Mesembrine and (+)-Mesembranol. J. Org. Chem. 2013, 78, 3410–3415. [Google Scholar] [CrossRef] [PubMed]
  35. Jimeno, C.; Pastó, M.; Riera, A.; Pericàs, M.A. Modular Amino Alcohol Ligands Containing Bulky Alkyl Groups as Chiral Controllers for Et2 Zn Addition to Aldehydes: Illustration of a Design Principle. J. Org. Chem. 2003, 68, 3130–3138. [Google Scholar] [CrossRef] [PubMed]
  36. Tanaka, T.; Yasuda, Y.; Hayashi, M. New Chiral Schiff Base as a Tridentate Ligand for Catalytic Enantioselective Addition of Diethylzinc to Aldehydes. J. Org. Chem. 2006, 71, 7091–7093. [Google Scholar] [CrossRef] [PubMed]
  37. Bamou, F.Z.; Le, T.M.; Volford, B.; Szekeres, A.; Szakonyi, Z. Synthesis and Application of 1,2-Aminoalcohols with Neoisopulegol-Based Octahydrobenzofuran Core. Molecules 2019, 25, 21. [Google Scholar] [CrossRef] [PubMed]
  38. Zhao, Y.; Truhlar, D.G. The M06 Suite of Density Functionals for Main Group Thermochemistry, Thermochemical Kinetics, Noncovalent Interactions, Excited States, and Transition Elements: Two New Functionals and Systematic Testing of Four M06 Functionals and 12 Other Functionals. Theor. Chem. Account. 2008, 119, 525. [Google Scholar] [CrossRef]
  39. Frisch, M.J.; Trucks, G.W.; Schlegel, H.B.; Scuseria, G.E.; Robb, M.A.; Cheeseman, J.R.; Scalmani, G.; Barone, V.; Petersson, G.A.; Nakatsuji, H.; et al. Gaussian 09, Revision A.02; Gaussian, Inc.: Wallingford, CT, USA, 2016. [Google Scholar]
  40. Tomasi, J.; Mennucci, B.; Cancès, E. The IEF Version of the PCM Solvation Method: An Overview of a New Method Addressed to Study Molecular Solutes at the QM Ab Initio Level. J. Mol. Struct. 1999, 464, 211–226. [Google Scholar] [CrossRef]
  41. Rikagu Oxford Diffraction. CrysAlisPro, v. 1.171.37.35; Rikagu Oxford Diffraction Inc.: Yarnton, UK, 2014. [Google Scholar]
  42. Sheldrick, G.M. SHELXT–Integrated space-group and crystal-structure determination. Acta Cryst. 2015, A71, 3–8. [Google Scholar] [CrossRef]
  43. Sheldrick, G.M. Crystal structure refinement with SHELXL. Acta Cryst. 2015, C71, 3–8. [Google Scholar]
  44. Hübschle, C.B.; Sheldrick, G.M.; Dittrich, B.J. A Qt graphical user interface for SHELXL. Appl. Cryst. 2011, 44, 1281–1284. [Google Scholar] [CrossRef]
Scheme 1. Synthesis of BOC-protected aminodiols. (i) (1) 1.05 eq. R-NH2 (R = a: CH2Ph, b: CH(Me)Ph (S), c: CH(Me)(R)), dry EtOH, rt, 2 h; (2) 3 eq. NaBH4, dry EtOH, rt, 2 h, 66–86%; (ii) Boc2O, TEA, DMAP, THF; rt, 90–95%; (iii) 50% NMO/H2O, cat. 2% OsO4 in tert-BuOH, acetone/H2O, rt, 2 h, 25–48%, 5:6 = 1:1.
Scheme 1. Synthesis of BOC-protected aminodiols. (i) (1) 1.05 eq. R-NH2 (R = a: CH2Ph, b: CH(Me)Ph (S), c: CH(Me)(R)), dry EtOH, rt, 2 h; (2) 3 eq. NaBH4, dry EtOH, rt, 2 h, 66–86%; (ii) Boc2O, TEA, DMAP, THF; rt, 90–95%; (iii) 50% NMO/H2O, cat. 2% OsO4 in tert-BuOH, acetone/H2O, rt, 2 h, 25–48%, 5:6 = 1:1.
Ijms 25 04325 sch001
Scheme 2. Preparation of aminodiol derivatives starting from 5ac: (i) Et2O, 18% HCl, overnight,, 82–88%; (ii) 10% Pd/C, n-hexane/EtOAc 1:2 mixture, 1 atm, H2, rt, 5 h, 35%; (iii) R = Bn, 3 eq. LiAlH4, THF, reflux, 6 h, 60%; (iv) 35% aq. CH2O, Et2O, rt, 3 h 70–96%.
Scheme 2. Preparation of aminodiol derivatives starting from 5ac: (i) Et2O, 18% HCl, overnight,, 82–88%; (ii) 10% Pd/C, n-hexane/EtOAc 1:2 mixture, 1 atm, H2, rt, 5 h, 35%; (iii) R = Bn, 3 eq. LiAlH4, THF, reflux, 6 h, 60%; (iv) 35% aq. CH2O, Et2O, rt, 3 h 70–96%.
Ijms 25 04325 sch002
Scheme 3. Preparation of aminodiol derivatives starting from 6ac: (i) TFA, DCM, rt, 2 h, 78–97%; (ii) 10 % Pd/C, n-hexane/EtOAc 1:1 mixture, 1 atm, H2, rt, 5 h, 45%; (iii) R = Bn, 3 eq. LiAlH4, THF, reflux, 6 h, 58%; (iv) 35% aq. CH2O, Et2O, rt, 3 h—product could not be isolated.
Scheme 3. Preparation of aminodiol derivatives starting from 6ac: (i) TFA, DCM, rt, 2 h, 78–97%; (ii) 10 % Pd/C, n-hexane/EtOAc 1:1 mixture, 1 atm, H2, rt, 5 h, 45%; (iii) R = Bn, 3 eq. LiAlH4, THF, reflux, 6 h, 58%; (iv) 35% aq. CH2O, Et2O, rt, 3 h—product could not be isolated.
Ijms 25 04325 sch003
Figure 1. Structural determination of aminodiol 7a by X-ray crystallography and NOESY experiments.
Figure 1. Structural determination of aminodiol 7a by X-ray crystallography and NOESY experiments.
Ijms 25 04325 g001
Figure 2. Calculated thermodynamic data of formaldehyde-mediated cyclisation reactions of diastereomeric aminodiols 7a and 14a.
Figure 2. Calculated thermodynamic data of formaldehyde-mediated cyclisation reactions of diastereomeric aminodiols 7a and 14a.
Ijms 25 04325 g002
Figure 3. Calculated thermodynamics of acid-promoted iminium-generating ring opening of O-protonated diastereomeric cyclohexane-fused 1,3-oxazines 10a/OH+ and 14a/OH+, as assumed to be effected during chromatographic workup on silica. The highly exothermic energetics disclosed for both ring-opening reactions analysed here clearly indicate that formaldehyde-mediated annulations cannot proceed via iminium intermediates.
Figure 3. Calculated thermodynamics of acid-promoted iminium-generating ring opening of O-protonated diastereomeric cyclohexane-fused 1,3-oxazines 10a/OH+ and 14a/OH+, as assumed to be effected during chromatographic workup on silica. The highly exothermic energetics disclosed for both ring-opening reactions analysed here clearly indicate that formaldehyde-mediated annulations cannot proceed via iminium intermediates.
Ijms 25 04325 g003
Figure 4. Calculated kinetics and thermodynamics of the cyclisation of the ring-inverted N-hydroxymethyl derivative 11a taking place with the SN2 reaction promoted by a cascade of proton shifts along the H-bond-connected cluster chain of four water molecules.
Figure 4. Calculated kinetics and thermodynamics of the cyclisation of the ring-inverted N-hydroxymethyl derivative 11a taking place with the SN2 reaction promoted by a cascade of proton shifts along the H-bond-connected cluster chain of four water molecules.
Ijms 25 04325 g004
Scheme 4. Synthesis of the regioisomer allylamines via Overman rearrangement: (i) NaBH4, MeOH, 0 °C to rt, 1 h, 95%; (ii) (1) CCl3CN, dry DCM, DBU, Ar atm, 0 °C to rt, 2 h; (2) toluene, Ar atm, 130 °C, 24 h, 72%, de = 70% for 16a; (iii) (1) 5M NaOH/H2O, EtOH/DCM 2/1, 50 °C, 15 h; (iv) Boc2O, cat. DMAP, THF, TEA, rt, 12 h, 59%.
Scheme 4. Synthesis of the regioisomer allylamines via Overman rearrangement: (i) NaBH4, MeOH, 0 °C to rt, 1 h, 95%; (ii) (1) CCl3CN, dry DCM, DBU, Ar atm, 0 °C to rt, 2 h; (2) toluene, Ar atm, 130 °C, 24 h, 72%, de = 70% for 16a; (iii) (1) 5M NaOH/H2O, EtOH/DCM 2/1, 50 °C, 15 h; (iv) Boc2O, cat. DMAP, THF, TEA, rt, 12 h, 59%.
Ijms 25 04325 sch004
Figure 5. Structural determination of the diastereoisomers 18a and 18b by NOESY experiments.
Figure 5. Structural determination of the diastereoisomers 18a and 18b by NOESY experiments.
Ijms 25 04325 g005
Scheme 5. Dihydroxylation of the protected allylamine mixture (i) 50% NMO/H2O, cat. 2% OsO4 in tert-BuOH, rt, 72 h, 19a: 48%, 19b and 19c: 33%.
Scheme 5. Dihydroxylation of the protected allylamine mixture (i) 50% NMO/H2O, cat. 2% OsO4 in tert-BuOH, rt, 72 h, 19a: 48%, 19b and 19c: 33%.
Ijms 25 04325 sch005
Scheme 6. Separation of 19b and 19c via formation of acetonides. Reactions and conditions: (i) (a) dry acetone, cat. PTSA, Ar atm, rt; (b) flash chromatography, 20b: 56%, 20c: 18%; (ii) 10% HCl, Et2O, rt, 24 h, 21b: 86%, 21c: 80%.
Scheme 6. Separation of 19b and 19c via formation of acetonides. Reactions and conditions: (i) (a) dry acetone, cat. PTSA, Ar atm, rt; (b) flash chromatography, 20b: 56%, 20c: 18%; (ii) 10% HCl, Et2O, rt, 24 h, 21b: 86%, 21c: 80%.
Ijms 25 04325 sch006
Figure 6. Structural determination of diastereoisomers 21ac by NOESY experiments.
Figure 6. Structural determination of diastereoisomers 21ac by NOESY experiments.
Ijms 25 04325 g006
Scheme 7. Preparation of aminodiol library. Reactions and conditions: (i) 3 eq. LiAlH4, THF, rt, 2 h, 65%; (ii) 40% CH2O, Et2O, rt, 1 h, 66%; (iii) 10% HCl, Et2O, rt, 24 h, 86%; (iv) (1) benzaldehyde, dry EtOH, rt, 2 h; (2) NaBH4, EtOH, rt, 6 h, 54%; (v) 40% CH2O sol., Et2O, rt, 1 h, 89%.
Scheme 7. Preparation of aminodiol library. Reactions and conditions: (i) 3 eq. LiAlH4, THF, rt, 2 h, 65%; (ii) 40% CH2O, Et2O, rt, 1 h, 66%; (iii) 10% HCl, Et2O, rt, 24 h, 86%; (iv) (1) benzaldehyde, dry EtOH, rt, 2 h; (2) NaBH4, EtOH, rt, 6 h, 54%; (v) 40% CH2O sol., Et2O, rt, 1 h, 89%.
Ijms 25 04325 sch007
Scheme 8. Synthesis of aminodiol library. Reaction conditions: (i) (1) PhCHO, dry EtOH, rt, 2 h; (2) NaBH4, dry EtOH, rt, 6 h, 89% overall; (ii) 40% CH2O, Et2O, rt, 1 h, 80%.
Scheme 8. Synthesis of aminodiol library. Reaction conditions: (i) (1) PhCHO, dry EtOH, rt, 2 h; (2) NaBH4, dry EtOH, rt, 6 h, 89% overall; (ii) 40% CH2O, Et2O, rt, 1 h, 80%.
Ijms 25 04325 sch008
Scheme 9. Model reaction of diethylzinc with benzaldehyde 26a. Reactions and conditions: (i) Et2Zn, 10 mol% catalyst, n-hexane, Ar atm., rt, 20 h, 51–92%.
Scheme 9. Model reaction of diethylzinc with benzaldehyde 26a. Reactions and conditions: (i) Et2Zn, 10 mol% catalyst, n-hexane, Ar atm., rt, 20 h, 51–92%.
Ijms 25 04325 sch009
Scheme 10. Model reaction of diethylzinc with aromatic aldehydes. Reactions and conditions: Et2Zn, 10 mol% catalyst, n-hexane, Ar atm., rt, 20 h, b: 4-MeC6H4, c: (4-MeO)C6H4, d: (3-MeO)C6H4, 80–90%.
Scheme 10. Model reaction of diethylzinc with aromatic aldehydes. Reactions and conditions: Et2Zn, 10 mol% catalyst, n-hexane, Ar atm., rt, 20 h, b: 4-MeC6H4, c: (4-MeO)C6H4, d: (3-MeO)C6H4, 80–90%.
Ijms 25 04325 sch010
Table 1. Addition of diethylzinc to benzaldehyde 26a, catalysed by aminodiol derivatives.
Table 1. Addition of diethylzinc to benzaldehyde 26a, catalysed by aminodiol derivatives.
EntryLigand aYield b [%]ee c [%]Configuration of Major Isomer d
17a8768S
27b8060S
37c8035S
489070S
598960R
610a8594R
710b8881R
810c8486R
911a7726R
1011b8568R
1111c8642S
12128810S
13138928S
1421a924S
1521b9154S
1621c6712S
17227520S
1823a510-
1923b7118R
20248220R
2125a7862R
2225b898R
a 10 mol%. b Yields were measured after silica column chromatography. c Determined on the crude product by GC (Chirasil-DEX CB column). d Determined by comparing the Rt of the GC analysis and the optical rotations with literature data.
Table 2. Addition of diethylzinc to aromatic aldehydes 26bd, catalysed by aminodiol derivatives.
Table 2. Addition of diethylzinc to aromatic aldehydes 26bd, catalysed by aminodiol derivatives.
EntryRLigand aYield b [%]ee c [%]Configuration of Major Isomer d
14-MeC6H47a8089R
2(4-MeO)C6H47a8552S
3(3-MeO)C6H47a8742S
44-MeC6H410a9095.5R
5(4-MeO)C6H410a8995R
6(3-MeO)C6H410a8699R
a 10 mol%. b Yields were measured after silica column chromatography. c Determined on the crude product by chiral HPLC analysis on a Chiralcel OD-H column. d Determined by comparing the Rt of the HPLC analysis and the optical rotations with literature data [23].
Disclaimer/Publisher’s Note: The statements, opinions and data contained in all publications are solely those of the individual author(s) and contributor(s) and not of MDPI and/or the editor(s). MDPI and/or the editor(s) disclaim responsibility for any injury to people or property resulting from any ideas, methods, instructions or products referred to in the content.

Share and Cite

MDPI and ACS Style

Háznagy, M.B.; Csámpai, A.; Ugrai, I.; Molnár, B.; Haukka, M.; Szakonyi, Z. Stereoselective Synthesis and Catalytical Application of Perillaldehyde-Based 3-Amino-1,2-diol Regioisomers. Int. J. Mol. Sci. 2024, 25, 4325. https://doi.org/10.3390/ijms25084325

AMA Style

Háznagy MB, Csámpai A, Ugrai I, Molnár B, Haukka M, Szakonyi Z. Stereoselective Synthesis and Catalytical Application of Perillaldehyde-Based 3-Amino-1,2-diol Regioisomers. International Journal of Molecular Sciences. 2024; 25(8):4325. https://doi.org/10.3390/ijms25084325

Chicago/Turabian Style

Háznagy, Márton Benedek, Antal Csámpai, Imre Ugrai, Barnabás Molnár, Matti Haukka, and Zsolt Szakonyi. 2024. "Stereoselective Synthesis and Catalytical Application of Perillaldehyde-Based 3-Amino-1,2-diol Regioisomers" International Journal of Molecular Sciences 25, no. 8: 4325. https://doi.org/10.3390/ijms25084325

APA Style

Háznagy, M. B., Csámpai, A., Ugrai, I., Molnár, B., Haukka, M., & Szakonyi, Z. (2024). Stereoselective Synthesis and Catalytical Application of Perillaldehyde-Based 3-Amino-1,2-diol Regioisomers. International Journal of Molecular Sciences, 25(8), 4325. https://doi.org/10.3390/ijms25084325

Note that from the first issue of 2016, this journal uses article numbers instead of page numbers. See further details here.

Article Metrics

Back to TopTop