MicroRNA Expression Profiles in Human Samples and Cell Lines Revealed Nine miRNAs Associated with Cisplatin Resistance in High-Grade Serous Ovarian Cancer
Abstract
1. Introduction
2. Results
2.1. MiRNA Profiles in Ovarian Cancer FFPE Samples and HGSOC Cells
2.2. Effects of miRNA Inhibitors (OMIs) on Cell Proliferation and Invasion
2.3. Bioinformatic Analysis of miRNA-Regulated Genes
2.4. Validation of the miRNA-Predicted Genes by Western Blots
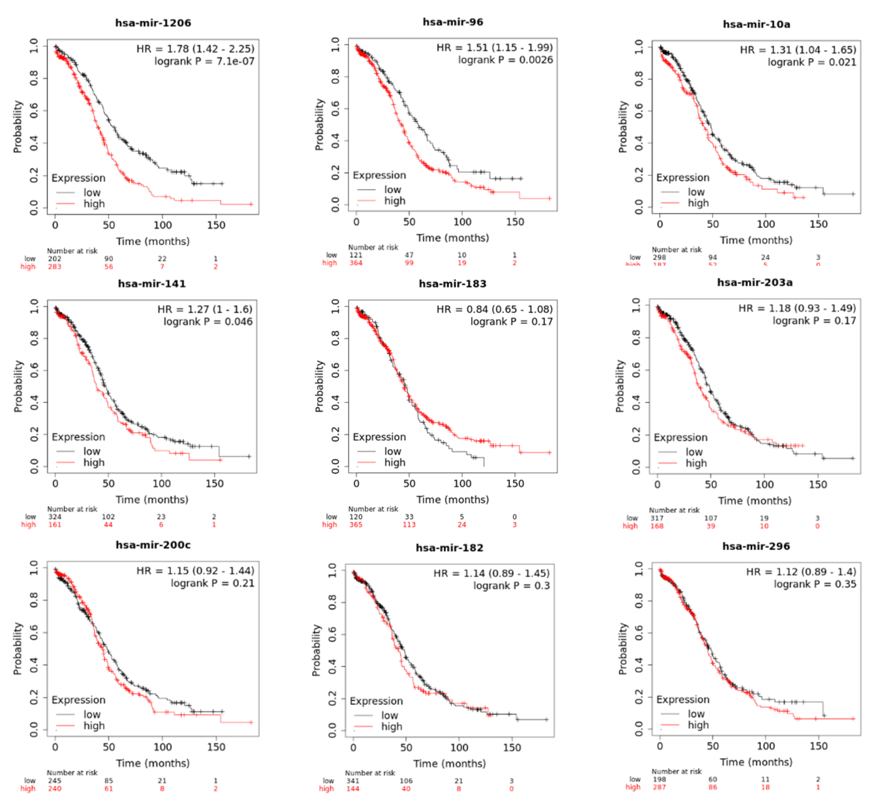
2.5. Kaplan-Meier Survival Analysis
3. Discussion
4. Materials and Methods
4.1. Cell Lines and Cell Culture Maintenance
4.2. Description of Patient Samples and RNA Isolation from Paraffin Samples and Cell Lines
4.3. MiRNA Expression Profiles Using NanoString Technology
4.4. Transient Transfection of Oligonucleotide miRNA Inhibitors (OMIs)
4.5. Clonogenic and Migration Assays
4.6. Bioinformatic Analysis for miRNA Target Prediction and Pathway Construction
4.7. Western Blot Analysis
4.8. Kaplan–Meyer (KM) Survival Analysis
4.9. Statistical Analysis
5. Conclusions
Supplementary Materials
Author Contributions
Funding
Institutional Review Board Statement
Informed Consent Statement
Data Availability Statement
Acknowledgments
Conflicts of Interest
References
- Bray, F.; Ferlay, J.; Soerjomataram, I.; Siegel, R.L.; Torre, L.A.; Jemal, A. Global Cancer Statistics 2018: GLOBOCAN Estimates of Incidence and Mortality Worldwide for 36 Cancers in 185 Countries. CA A Cancer J. Clin. 2018, 68, 394–424. [Google Scholar] [CrossRef]
- DeSantis, C.E.; Lin, C.C.; Mariotto, A.B.; Siegel, R.L.; Stein, K.D.; Kramer, J.L.; Alteri, R.; Robbins, A.S.; Jemal, A. Cancer Treatment and Survivorship Statistics, 2014. CA A Cancer J. Clin. 2014, 64, 252–271. [Google Scholar] [CrossRef] [PubMed]
- Rojas, V.; Hirshfield, K.M.; Ganesan, S.; Rodriguez-Rodriguez, L. Molecular Characterization of Epithelial Ovarian Cancer: Implications for Diagnosis and Treatment. Int. J. Mol. Sci. 2016, 17, 2113. [Google Scholar] [CrossRef] [PubMed]
- Di Leva, G.; Garofalo, M.; Croce, C.M. MicroRNAs in Cancer. Annu. Rev. Pathol. Mech. Dis. 2014, 9, 287–314. [Google Scholar] [CrossRef]
- Bartel, D.P. MicroRNAs: Target Recognition and Regulatory Functions. Cell 2009, 136, 215–233. [Google Scholar] [CrossRef] [PubMed]
- Kinose, Y.; Sawada, K.; Nakamura, K.; Kimura, T. The Role of MicroRNAs in Ovarian Cancer. BioMed Res. Int. 2014, 2014, 249393. [Google Scholar] [CrossRef] [PubMed]
- Imbar, T.; Eisenberg, I. Regulatory Role of microRNAs in Ovarian Function. Fertil. Steril. 2014, 101, 1524–1530. [Google Scholar] [CrossRef] [PubMed]
- Liu, L.J.; Sun, X.Y.; Yang, C.X.; Zou, X.Y. MiR-10a-5p Restrains the Aggressive Phenotypes of Ovarian Cancer Cells by Inhibiting HOXA1. Kaohsiung J. Med. Sci. 2021, 37, 276–285. [Google Scholar] [CrossRef]
- Tu, J.; Cheung, H.-H.; Lu, G.; Chen, Z.; Chan, W.-Y. MicroRNA-10a Promotes Granulosa Cells Tumor Development via PTEN-AKT/Wnt Regulatory Axis. Cell Death Dis. 2018, 9, 1076. [Google Scholar] [CrossRef]
- Chen, S.F.; Liu, Z.; Chaurasiya, S.; Dellinger, T.H.; Lu, J.; Wu, X.; Qin, H.; Wang, J.; Fong, Y.; Yuan, Y.C. Identification of Core Aberrantly Expressed microRNAs in Serous Ovarian Carcinoma. Oncotarget 2018, 9, 20451–20466. [Google Scholar] [CrossRef]
- Liu, B.; Zhang, J.; Yang, D. MiR-96-5p Promotes the Proliferation and Migration of Ovarian Cancer Cells by Suppressing Caveolae1. J. Ovarian Res. 2019, 12, 57. [Google Scholar] [CrossRef]
- Zhao, J.; Liu, L.; Zhao, W.; Lv, C.; Zhang, N.; Jia, X.; Zhang, Z. miR-141-3p Accelerates Ovarian Cancer Progression and Promotes M2-like Macrophage Polarization by Targeting the Keap1-Nrf2 Pathway. Open Med. 2023, 18, 20230729. [Google Scholar] [CrossRef]
- Ye, Q.; Lei, L.E.I.; Shao, L.; Shi, J.; Jia, J.U.N.; Tong, X. MicroRNA-141 Inhibits Epithelial-Mesenchymal Transition, and Ovarian Cancer Cell Migration and Invasion. Mol. Med. Rep. 2017, 16, 6743–6749. [Google Scholar] [CrossRef] [PubMed]
- Mo, Y.; Leung, L.L.; Mak, C.S.L.; Wang, X.; Chan, W.S.; Hui, L.M.N.; Tang, H.W.M.; Siu, M.K.Y.; Sharma, R.; Xu, D.; et al. Tumor—Secreted Exosomal miR-141 Activates Tumor—Stroma Interactions and Controls Premetastatic Niche Formation in Ovarian Cancer Metastasis. Mol. Cancer 2023, 22, 4. [Google Scholar] [CrossRef] [PubMed]
- Fitriawan, A.S.; Kartika, A.I.; Chasanah, S.N.; Aryandono, T.; Haryana, S.M. Expression of Circulating microRNA-141 in Epithelial Ovarian Cancer. Malays. J. Med. Sci. 2020, 27, 27–38. [Google Scholar] [CrossRef]
- Shi, L.; Sun, H.; Zeng, J.; Liang, Z.; Lin, Y.; Huang, S.; Zeng, J.; Yang, L.; Chen, H.; Luo, J.; et al. Evaluation of miR-141-3p over-Expression in Ovarian Cancer. Electron. J. Biotechnol. 2022, 58, 14–24. [Google Scholar] [CrossRef]
- Liu, Z.; Liu, J.; Segura, M.F.; Shao, C.; Lee, P.; Gong, Y.; Hernando, E.; Wei, J.J. MiR-182 Overexpression in Tumourigenesis of High-Grade Serous Ovarian Carcinoma. J. Pathol. 2012, 228, 204–215. [Google Scholar] [CrossRef] [PubMed]
- Vilming Elgaaen, B.; Olstad, O.K.; Haug, K.B.F.; Brusletto, B.; Sandvik, L.; Staff, A.C.; Gautvik, K.M.; Davidson, B. Global miRNA Expression Analysis of Serous and Clear Cell Ovarian Carcinomas Identifies Differentially Expressed miRNAs Including miR-200c-3p as a Prognostic Marker. BMC Cancer 2014, 14, 80. [Google Scholar] [CrossRef] [PubMed]
- Zhou, J.; Zhang, C.; Zhou, B.; Jiang, D. MiR-183 Modulated Cell Proliferation and Apoptosis in Ovarian Cancer through the TGF-β/Smad4 Signaling Pathway. Int. J. Mol. Med. 2019, 43, 1734–1746. [Google Scholar] [CrossRef]
- Chen, H.; Zhang, L.; Zhang, L.; Du, J.; Wang, H.; Wang, B. MicroRNA-183 Correlates Cancer Prognosis, Regulates Cancer Proliferation and Bufalin Sensitivity in Epithelial Ovarian Caner. Am. J. Transl. Res. 2016, 8, 1748–1755. [Google Scholar]
- Ferneza, S.; Fetsych, M.; Shuliak, R.; Makukh, H.; Volodko, N.; Yarema, R.; Fetsych, T. Clinical Significance of microRNA-200 and Let-7 Families Expression Assessment in Patients with Ovarian Cancer. Ecancermedicalscience 2021, 15, 1249. [Google Scholar] [CrossRef] [PubMed]
- Koutsaki, M.; Libra, M.; Spandidos, D.A.; Zaravinos, A. The miR-200 Family in Ovarian Cancer. Oncotarget 2017, 8, 66629–66640. [Google Scholar] [CrossRef] [PubMed]
- Ankasha, S.J.; Shafiee, M.N.; Wahab, N.A.; Ali, R.A.R.; Mokhtar, N.M. Oncogenic Role of Mir-200c-3p in High-Grade Serous Ovarian Cancer Progression via Targeting the 3′-Untranslated Region of Dlc1. Int. J. Environ. Res. Public Health 2021, 18, 5741. [Google Scholar] [CrossRef] [PubMed]
- Xiaohong, Z.; Lichun, F.; Na, X.; Kejian, Z.; Xiaolan, X.; Shaosheng, W. MiR-203 Promotes the Growth and Migration of Ovarian Cancer Cells by Enhancing Glycolytic Pathway. Tumor Biol. 2016, 37, 14989–14997. [Google Scholar] [CrossRef]
- Liu, H.Y.; Zhang, Y.Y.; Zhu, B.L.; Feng, F.Z.; Zhang, H.T.; Yan, H.; Zhou, B. MiR-203a-3p Regulates the Biological Behaviors of Ovarian Cancer Cells through Mediating the Akt/GSK-3β/Snail Signaling Pathway by Targeting ATM. J. Ovarian Res. 2019, 12, 60. [Google Scholar] [CrossRef] [PubMed]
- Yan, W.; Chen, J.; Chen, Z.; Chen, H. Deregulated miR-296/S100A4 Axis Promotes Tumor Invasion by Inducing Epithelial-Mesenchymal Transition in Human Ovarian Cancer. Am. J. Cancer Res. 2016, 6, 260–269. [Google Scholar] [PubMed]
- Wang, Z.Z.; Luo, Y.R.; Du, J.; Yu, Y.; Yang, X.Z.; Cui, Y.J.; Jin, X.F. MiR-296-5p Inhibits Cell Invasion and Migration of Esophageal Squamous Cell Carcinoma by Downregulating STAT3 Signaling. Eur. Rev. Med. Pharmacol. Sci. 2019, 23, 5206–5214. [Google Scholar] [CrossRef] [PubMed]
- Zhu, L.; Deng, H.; Hu, J.; Huang, S.; Xiong, J.; Deng, J. The Promising Role of miR-296 in Human Cancer. Pathol. Res. Pract. 2018, 214, 1915–1922. [Google Scholar] [CrossRef] [PubMed]
- Sun, L.; Ke, M.; Yin, M.; Zeng, Y.; Ji, Y.; Hu, Y.; Fu, S.; Zhang, C. Extracellular Vesicle-Encapsulated microRNA-296-3p from Cancer-Associated Fibroblasts Promotes Ovarian Cancer Development through Regulation of the PTEN/AKT and SOCS6/STAT3 Pathways. Cancer Sci. 2024, 115, 155–169. [Google Scholar] [CrossRef]
- Gutierrez-Camino, A.; Oosterom, N.; Den Hoed, M.A.H.; Lopez-Lopez, E.; Martin-Guerrero, I.; Pluijm, S.M.F.; Pieters, R.; De Jonge, R.; Tissing, W.J.E.; Heil, S.G.; et al. The miR-1206 microRNA Variant Is Associated with Methotrexate-Induced Oral Mucositis in Pediatric Acute Lymphoblastic Leukemia. Pharmacogenetics Genom. 2017, 27, 303–306. [Google Scholar] [CrossRef]
- Zhou, Y.; Liu, H.; Wang, R.; Zhang, M. Circ_0043256 Upregulates KLF2 Expression by Absorbing miR-1206 to Suppress the Tumorigenesis of Lung Cancer. Thorac. Cancer 2023, 14, 683–699. [Google Scholar] [CrossRef] [PubMed]
- Marí-Alexandre, J.; Carcelén, A.P.; Agababyan, C.; Moreno-Manuel, A.; García-Oms, J.; Calabuig-Fariñas, S.; Gilabert-Estellés, J. Interplay between microRNAs and Oxidative Stress in Ovarian Conditions with a Focus on Ovarian Cancer and Endometriosis. Int. J. Mol. Sci. 2019, 20, 5322. [Google Scholar] [CrossRef] [PubMed]
- Ying, H.; Xu, H.; Lv, J.; Ying, T.; Yang, Q. MicroRNA Signatures of Platinum-Resistance in Ovarian Cancer. Eur. J. Gynaecol. Oncol. 2015, 36, 16–20. [Google Scholar] [CrossRef] [PubMed]
- Nguyen, V.H.L.; Yue, C.; Du, K.Y.; Salem, M.; O’Brien, J.; Peng, C. The Role of microRNAs in Epithelial Ovarian Cancer Metastasis. Int. J. Mol. Sci. 2020, 21, 7093. [Google Scholar] [CrossRef] [PubMed]
- Kumar, V.; Gupta, S.; Varma, K.; Sachan, M. microRNA as Biomarker in Ovarian Cancer Management: Advantages and Challenges. DNA Cell Biol. 2020, 39, 2103–2124. [Google Scholar] [CrossRef] [PubMed]
- Alshamrani, A.A. Roles of microRNAs in Ovarian Cancer Tumorigenesis: Two Decades Later, What Have We Learned? Front. Oncol. 2020, 10, 1084. [Google Scholar] [CrossRef] [PubMed]
- Loginov, V.I.; Pronina, I.V.; Burdennyy, A.M.; Filippova, E.A.; Kazubskaya, T.P.; Kushlinsky, D.N.; Utkin, D.O.; Khodyrev, D.S.; Kushlinskii, N.E.; Dmitriev, A.A.; et al. Novel miRNA Genes Deregulated by Aberrant Methylation in Ovarian Carcinoma Are Involved in Metastasis. Gene 2018, 662, 28–36. [Google Scholar] [CrossRef] [PubMed]
- Zhai, H.; Sui, M.; Jiang, L.; Hu, J.; Jiang, X.; Yuan, Y.; Li, M.; Yu, Z.; Hu, S. MiR-296 Promotes Colorectal Cancer Cells Growth through Regulating NF-κB. Int. J. Clin. Exp. Pathol. 2016, 9, 4391–4396. [Google Scholar]
- Johnson, D.G.; Schneider-broussard, R. Role of e2f in cell cycle control and cancer. Front. Biosci. 1998, 3, 447–458. [Google Scholar] [CrossRef]
- Kotnik, E.N.; Mullen, M.M.; Spies, N.C.; Li, T.; Inkman, M.; Zhang, J.; Martins-Rodrigues, F.; Hagemann, I.S.; McCourt, C.K.; Thaker, P.H.; et al. Genetic Characterization of Primary and Metastatic High-Grade Serous Ovarian Cancer Tumors Reveals Distinct Features Associated with Survival. Commun. Biol. 2023, 6, 688. [Google Scholar] [CrossRef]
- Rahimi, H.R.; Mojarrad, M.; Moghbeli, M. MicroRNA-96: A Therapeutic and Diagnostic Tumor Marker. Iran. J. Basic Med. Sci. 2022, 25, 3–13. [Google Scholar] [CrossRef]
- Li, X.L.; Hara, T.; Choi, Y.; Subramanian, M.; Francis, P.; Bilke, S.; Walker, R.L.; Pineda, M.; Zhu, Y.; Yang, Y.; et al. A P21-ZEB1 Complex Inhibits Epithelial-Mesenchymal Transition through the MicroRNA 183-96-182 Cluster. Mol. Cell. Biol. 2014, 34, 533–550. [Google Scholar] [CrossRef] [PubMed]
- Article, O. ZEB1 Promotes Chemoresistance to Cisplatin in Ovarian Cancer Cells by Suppressing SLC3A2. Chemotherapy 2018, 725000, 262–271. [Google Scholar] [CrossRef]
- Wang, W.; Yin, Y.; Shan, X.; Zhou, X.; Liu, P.; Cao, Q.; Zhu, D.; Zhang, J.Y.; Zhu, W. The Value of Plasma-Based MicroRNAs as Diagnostic Biomarkers for Ovarian Cancer. Am. J. Med. Sci. 2019, 358, 256–267. [Google Scholar] [CrossRef] [PubMed]
- Benson, E.A.; Skaar, T.C.; Liu, Y.; Nephew, K.P.; Matei, D. Carboplatin with Decitabine Therapy, in Recurrent Platinum Resistant Ovarian Cancer, Alters Circulating miRNAs Concentrations: A Pilot Study. PLoS ONE 2015, 10, 0141279. [Google Scholar] [CrossRef] [PubMed]
- Vu, T.T.; Stölzel, F.; Wang, K.W.; Röllig, C.; Tursky, M.L.; Molloy, T.J.; Ma, D.D. miR-10a as a Therapeutic Target and Predictive Biomarker for MDM2 Inhibition in Acute Myeloid Leukemia. Leukemia 2021, 35, 1933–1948. [Google Scholar] [CrossRef]
- Huang, T.; Ren, K.; Ding, G.; Yang, L.; Wen, Y.; Peng, B.; Wang, G.; Wang, Z. MiR-10a Increases the Cisplatin Resistance of Lung Adenocarcinoma Circulating Tumor Cells via Targeting PIK3CA in the PI3K/Akt Pathway. Oncol. Rep. 2020, 43, 1906–1914. [Google Scholar] [CrossRef]
- Sun, W.; Ma, Y.; Chen, P.; Wang, D. MicroRNA-10a Silencing Reverses Cisplatin Resistance in the A549/Cisplatin Human Lung Cancer Cell Line via the Transforming Growth Factor-β/Smad2/STAT3/STAT5 Pathway. Mol. Med. Rep. 2015, 11, 3854–3859. [Google Scholar] [CrossRef] [PubMed]
- Yu, T.; Liu, L.; Li, J.; Yan, M.; Lin, H.; Liu, Y.; Chu, D.; Tu, H.; Gu, A.; Yao, M. MiRNA-10a Is Upregulated in NSCLC and May Promote Cancer by Targeting PTEN. Oncotarget 2015, 6, 30239–30250. [Google Scholar] [CrossRef]
- Gao, Y.; Feng, B.; Han, S.; Zhang, K.; Chen, J.; Li, C.; Wang, R.; Chen, L. The Roles of MicroRNA-141 in Human Cancers: From Diagnosis to Treatment. Cell. Physiol. Biochem. 2016, 38, 427–448. [Google Scholar] [CrossRef] [PubMed]
- Yang, G.; Lu, Z.; Meng, F.; Wan, Y.; Zhang, L.; Xu, Q.; Wang, Z. Circulating miR-141 as a Potential Biomarker for Diagnosis, Prognosis and Therapeutic Targets in Gallbladder Cancer. Sci. Rep. 2022, 12, 10072. [Google Scholar] [CrossRef] [PubMed]
- Zuo, Q.F.; Zhang, R.; Li, B.S.; Zhao, Y.L.; Zhuang, Y.; Yu, T.; Gong, L.; Li, S.; Xiao, B.; Zou, Q.M. MicroRNA-141 Inhibits Tumor Growth and Metastasis in Gastric Cancer by Directly Targeting Transcriptional Co-Activator with PDZ-Binding Motif, TAZ. Cell Death Dis. 2015, 6, e1623. [Google Scholar] [CrossRef] [PubMed]
- Van Jaarsveld, M.T.M.; Helleman, J.; Boersma, A.W.M.; Van Kuijk, P.F.; Van Ijcken, W.F.; Despierre, E.; Vergote, I.; Mathijssen, R.H.J.; Berns, E.M.J.J.; Verweij, J.; et al. miR-141 Regulates KEAP1 and Modulates Cisplatin Sensitivity in Ovarian Cancer Cells. Oncogene 2013, 32, 4284–4293. [Google Scholar] [CrossRef]
- Mateescu, B.; Batista, L.; Cardon, M.; Gruosso, T.; De Feraudy, Y.; Mariani, O.; Nicolas, A.; Meyniel, J.P.; Cottu, P.; Sastre-Garau, X.; et al. miR-141 and miR-200a Act on Ovarian Tumorigenesis by Controlling Oxidative Stress Response. Nat. Med. 2011, 17, 1627–1635. [Google Scholar] [CrossRef] [PubMed]
- Zhong, X.; Zhang, C. Regulatory Role of PTEN and microRNA-141 in Papillary Thyroid Cancer. Biotechnol. Biotechnol. Equip. 2020, 34, 706–771. [Google Scholar] [CrossRef]
- Cao, D.; Di, M.; Liang, J.; Shi, S.; Tan, Q.; Wang, Z. MicroRNA-183 in Cancer Progression. J. Cancer 2020, 11, 1315–1324. [Google Scholar] [CrossRef] [PubMed]
- Sarver, A.L.; Li, H.; Subramanian, S. MicroRNA miR-183 Functions as an Oncogene by Targeting the Transcription Factor EGR1 and Promoting Tumor Cell Migration. Cancer Res. 2010, 70, 9570–9580. [Google Scholar] [CrossRef] [PubMed]
- Mohammaddoust, S.; Sadeghizadeh, M. Mir-183 Functions as an Oncogene via Decreasing PTEN in Breast Cancer Cells. Sci. Rep. 2023, 13, 8086. [Google Scholar] [CrossRef] [PubMed]
- Farhan, M.; Silva, M.; Xingan, X.; Huang, Y.; Zheng, W. Role of FOXO Transcription Factors in Cancer Metabolism and Angiogenesis. Cells 2020, 9, 1586. [Google Scholar] [CrossRef]
- Liu, L.; Yi, J.; Yuan, J.; Yao, T.; Lin, Z.; Ning, Y.; Zeng, Z. FOXO1 Overexpression Is Correlated with Poor Prognosis in Epithelial Ovarian Cancer. Cancer Biomark. 2020, 28, 1–8. [Google Scholar] [CrossRef]
- Han, G.H.; Chay, D.B.; Nam, S.; Cho, H.; Chung, J.Y.; Kim, J.H. Prognostic Implications of Forkhead Box Protein O1 (FOXO1) and Paired Box 3 (PAX3) in Epithelial Ovarian Cancer. BMC Cancer 2019, 19, 1202. [Google Scholar] [CrossRef] [PubMed]
- Zheng, M.; Jiang, Y.P.; Chen, W.; Li, K.D.; Liu, X.; Gao, S.Y.; Feng, H.; Wang, S.S.; Jiang, J.; Ma, X.R.; et al. Snail and Slug Collaborate on EMT and Tumor Metastasis through Mir-101-Mediated EZH2 Axis in Oral Tongue Squamous Cell Carcinoma. Oncotarget 2015, 6, 6794–6810. [Google Scholar] [CrossRef] [PubMed]
- Jin, Y.; Chen, L.; Li, L.; Huang, G.; Huang, H.; Tang, C. SNAI2 Promotes the Development of Ovarian Cancer through Regulating Ferroptosis. Bioengineered 2022, 13, 6451–6463. [Google Scholar] [CrossRef] [PubMed]
- Zhang, Y.; Zheng, Y.; Zhu, G. MiR-203a-3p Targets PTEN to Promote Hepatocyte Proliferation by Regulating PI3K/Akt Pathway in BRL-3A Cells. Biosci. Biotechnol. Biochem. 2020, 84, 725–733. [Google Scholar] [CrossRef] [PubMed]
- Kumar, S.; Nag, A.; Mandal, C. A Comprehensive Review on miR-200c, A Promising Cancer Biomarker with Therapeutic Potential. Current Drug Targets 2015, 16, 1381–1403. [Google Scholar] [CrossRef]
- Sulaiman, S.A.; Ab Mutalib, N.S.; Jamal, R. MiR-200c Regulation of Metastases in Ovarian Cancer: Potential Role in Epithelial and Mesenchymal Transition. Front. Pharmacol. 2016, 7, 271. [Google Scholar] [CrossRef] [PubMed]
- Sameti, P.; Tohidast, M.; Amini, M.; Bahojb Mahdavi, S.Z.; Najafi, S.; Mokhtarzadeh, A. The Emerging Role of MicroRNA-182 in Tumorigenesis; a Promising Therapeutic Target. Cancer Cell Int. 2023, 23, 134. [Google Scholar] [CrossRef]
- Zhang, C.Y.; Chen, C.Y.; Wen, H.X.; Song, Z.F.; Hu, P.P. MiR-182-5p Enhances Cisplatin Resistance in Epithelial Ovarian Cancer by Downregulating GRB2. Eur. J. Gynaecol. Oncol. 2021, 42, 353–359. [Google Scholar] [CrossRef]
- Lee, H.; Shin, C.H.; Kim, H.R.; Choi, K.H.; Kim, H.H. MicroRNA-296-5p Promotes Invasiveness through Downregulation of Nerve Growth Factor Receptor and Caspase-8. Mol. Cells 2017, 40, 254–261. [Google Scholar] [CrossRef]
- Noriega-Rivera, R.; Rivera-Serrano, M.; Rabelo-Fernandez, R.J.; Pérez-Santiago, J.; Valiyeva, F.; Vivas-Mejía, P.E. Upregulation of the Long Noncoding RNA CASC10 Promotes Cisplatin Resistance in High-Grade Serous Ovarian Cancer. Int. J. Mol. Sci. 2022, 23, 7737. [Google Scholar] [CrossRef]
- Kern, F.; Aparicio-Puerta, E.; Li, Y.; Fehlmann, T.; Kehl, T.; Wagner, V.; Ray, K.; Ludwig, N.; Lenhof, H.P.; Meese, E.; et al. miRTargetLink 2.0—Interactive miRNA Target Gene and Target Pathway Networks. Nucleic Acids Res. 2021, 49, W409–W416. [Google Scholar] [CrossRef] [PubMed]
- Licursi, V.; Conte, F.; Fiscon, G.; Paci, P. MIENTURNET: An Interactive Web Tool for microRNA-Target Enrichment and Network-Based Analysis. BMC Bioinform. 2019, 20, 545. [Google Scholar] [CrossRef] [PubMed]
- Győrffy, B. Discovery and ranking of the most robust prognostic biomarkers in serous ovarian cancer. GeroScience 2023, 45, 1889–1898. [Google Scholar] [CrossRef] [PubMed]




| miRNA | Fold Change | p-Value |
|---|---|---|
| hsa-miR-200c-3p | 33.0 | 0.00252 |
| hsa-miR-141-3p | 98.8 | 0.00436 |
| hsa-miR-98-3p | 2.39 | 0.00514 |
| hsa-miR-200b-3p | 37.6 | 0.00814 |
| hsa-miR-135b-5p | 170 | 0.00937 |
| hsa-miR-320b | 2.29 | 0.00946 |
| hsa-miR-370-5p | 2.00 | 0.01036 |
| hsa-miR-106b-5p | 12.4 | 0.01097 |
| hsa-miR-3918 | 2.00 | 0.01170 |
| hsa-miR-589-5p | 2.83 | 0.01292 |
| hsa-miR-512-3p | 2.33 | 0.01355 |
| hsa-miR-3928-3p | 1.63 | 0.01417 |
| hsa-miR-183-5p | 6.19 | 0.01444 |
| hsa-miR-93-5p | 7.46 | 0.01588 |
| hsa-miR-515-5p | 1.83 | 0.01588 |
| hsa-miR-577 | 1.81 | 0.01878 |
| hsa-miR-625-5p | 2.52 | 0.01906 |
| hsa-miR-92b-3p | 4.26 | 0.02038 |
| hsa-miR-200a-3p | 41.0 | 0.02094 |
| hsa-miR-96-5p | 6.08 | 0.02227 |
| hsa-miR-182-5p | 6.10 | 0.02455 |
| hsa-miR-106a-5p-hsa-miR-17-5p | 9.15 | 0.02534 |
| hsa-miR-561-5p | 2.20 | 0.02576 |
| hsa-miR-619-3p | 1.97 | 0.02578 |
| hsa-miR-449a | 4.89 | 0.02582 |
| hsa-miR-663a | 5.83 | 0.02603 |
| hsa-miR-92a-3p | 6.85 | 0.02633 |
| hsa-miR-3180-5p | 1.82 | 0.02675 |
| hsa-miR-548d-3p | 1.76 | 0.02793 |
| hsa-miR-1206 | 3.07 | 0.02866 |
| hsa-miR-484 | 3.10 | 0.02937 |
| hsa-miR-651-5p | 1.88 | 0.02942 |
| hsa-miR-429 | 19.9 | 0.03255 |
| hsa-miR-596 | 4.70 | 0.03294 |
| hsa-miR-146b-5p | 7.93 | 0.03301 |
| hsa-miR-18a-5p | 5.74 | 0.03313 |
| hsa-miR-874-5p | 2.61 | 0.03319 |
| hsa-miR-610 | 2.01 | 0.03324 |
| hsa-miR-203a-3p | 10.0 | 0.03339 |
| hsa-miR-20a-5p-hsa-miR-20b-5p | 7.55 | 0.03394 |
| hsa-miR-107 | 5.04 | 0.03397 |
| hsa-miR-2117 | 1.98 | 0.03617 |
| hsa-miR-371a-5p | 1.91 | 0.03699 |
| hsa-miR-323b-3p | 1.76 | 0.03715 |
| hsa-miR-1287-3p | 1.91 | 0.03891 |
| hsa-miR-221-3p | 7.35 | 0.03926 |
| hsa-miR-1244 | 1.48 | 0.03953 |
| hsa-miR-548j-3p | 1.67 | 0.04000 |
| hsa-miR-30a-5p | 4.02 | 0.04031 |
| hsa-miR-3136-5p | 1.75 | 0.04063 |
| hsa-miR-25-3p | 5.52 | 0.04103 |
| hsa-miR-378i | 4.71 | 0.04129 |
| hsa-miR-205-5p | 59.1 | 0.04227 |
| hsa-miR-421 | 2.14 | 0.04259 |
| hsa-miR-885-5p | 5.30 | 0.04286 |
| hsa-miR-563 | 1.55 | 0.04344 |
| hsa-miR-181b-5p-hsa-miR-181d-5p | 2.61 | 0.04368 |
| hsa-miR-378 g | 3.56 | 0.04439 |
| hsa-miR-935 | 1.73 | 0.04492 |
| hsa-miR-320c | 1.93 | 0.04554 |
| hsa-miR-31-5p | 5.58 | 0.04563 |
| hsa-miR-425-5p | 4.97 | 0.04713 |
| hsa-miR-30a-3p | 2.08 | 0.04768 |
| hsa-miR-509-5p | 1.87 | 0.04870 |
| hsa-miR-130b-3p | 4.42 | 0.04879 |
| hsa-miR-30d-5p | 2.86 | 0.04933 |
| hsa-miR-4286 | 76.4 | 0.04982 |
| hsa-miR-1915-3p | 6.88 | 0.04983 |
| hsa-miR-2682-5p | −1.47 | 0.05006 |
| hsa-miR-130a-3p | 5.11 | 0.05084 |
| hsa-miR-524-3p | 1.46 | 0.05111 |
| hsa-miR-1234-3p | 1.74 | 0.05119 |
| hsa-miR-296-5p | 7.06 | 0.05225 |
| hsa-miR-10a-5p | 4.83 | 0.05258 |
| hsa-miR-15b-5p | 8.15 | 0.05283 |
| hsa-miR-876+2:77-3p | 1.63 | 0.05330 |
| miRNA | OV-90cis vs. OV-90 | OVCAR3CIS vs. OVCAR3 | ||||
|---|---|---|---|---|---|---|
| Fold Change | Behavior | p-Value | Fold Change | Behavior | p-Value | |
| hsa-miR-200c-3p | 14.0 | + | 0.01608 | 39.2 | + | 0.00427 |
| hsa-miR-132-3p | 67.6 | + | 0.01120 | 5.75 | + | 0.01266 |
| hsa-miR-218-5p | 28.7 | + | 0.00014 | 5.14 | + | 0.01897 |
| hsa-miR-9-5p | 27.7 | + | 0.00281 | 13.9 | + | 0.00289 |
| hsa-miR-335-5p | −4.52 | − | 0.01551 | −61.4 | − | 0.00318 |
| hsa-let7b-5p | 2.28 | + | 0.01706 | 7.45 | + | 0.00387 |
| hsa-miR-10a-5p | 3.08 | + | 0.00360 | 13.0 | + | 0.00498 |
| hsa-miR-141-3p | 7.51 | + | 0.01200 | 12.6 | + | 0.00570 |
| hsa-miR-296-5p | 12.5 | + | 0.00772 | 20.8 | + | 0.00892 |
| hsa-miR-125a-5p | −2.45 | − | 0.02778 | −1.73 | − | 0.03998 |
| hsa-miR-15a-5p | −2.61 | − | 0.00682 | −2.09 | − | 0.01410 |
| hsa-miR-363-3p | 3.15 | + | 0.00154 | 2.38 | + | 0.02799 |
| hsa-miR-183-5p | 3.07 | + | 0.00478 | 3.96 | + | 0.00300 |
| hsa-miR-126-3p | −6.14 | − | 0.01289 | −2.04 | − | 0.00524 |
| hsa-miR-222-3p | −7.58 | − | 0.00417 | −4.33 | − | 0.01030 |
| hsa-miR-181a-5p | −11.2 | − | 0.00105 | −2.46 | − | 0.01301 |
| hsa-miR-221-3p | −7.83 | − | 0.00298 | −10.6 | − | 0.00036 |
| hsa-miR-301a-3p | −3.21 | − | 0.00849 | −2.12 | − | 0.02403 |
| hsa-miR-96-5p | 2.96 | + | 0.01047 | 3.58 | + | 0.03423 |
| hsa-miR-548b-3p | 3.54 | + | 0.02254 | 5.78 | + | 0.00339 |
| hsa-miR-30e-5p | −1.63 | − | 0.02687 | −1.95 | − | 0.02206 |
| hsa-miR-26b-5p | −2.16 | − | 0.04543 | −2.33 | − | 0.03164 |
| hsa-miR-18b-5p | 4.80 | + | 0.01187 | 1.72 | + | 0.00754 |
| hsa-miR-203a-3p | 3.39 | + | 0.00476 | 3.80 | + | 0.01210 |
| hsa-miR-182-5p | 2.88 | + | 0.02711 | 5.24 | + | 0.03883 |
| hsa-miR-299-3p | −1.50 | − | 0.02384 | −1.96 | − | 0.04486 |
| hsa-miR-598-3p | 2.09 | + | 0.00867 | 1.70 | + | 0.01196 |
| hsa-miR-92a.1-5p | −1.74 | − | 0.02790 | −2.40 | − | 0.03960 |
| hsa-miR-1206 | 2.07 | + | 0.03833 | 2.88 | + | 0.04735 |
| miRNA | Expression/Biological Role | References |
|---|---|---|
| miR-10a-5p |
Increased levels correlated with malignant granulosa cell tumors in ovarian cancer. Knockout reduced aggressive phenotype by regulating PTEN, Akt, and Wnt pathways in granulosa cell tumor, a type of ovarian cancer. Increased in most cancers but decreased in ovarian cancer. | [8,9] |
| miR-96-5p | Elevated levels in OC tissues and cell lines correlate with increased proliferation and migration. Increased levels associated with reduced overall survival (OS) in serous ovarian carcinoma (SOC). Increased levels reported in both primary and metastatic SOC cases. | [10,11] |
| miR-141-3p | Elevated levels of miR-141 are common in OC tissues compared to noncancerous tissue. Knockdown decreased proliferation, migration, invasion, and tumor progression in OC cells. Implicated in angiogenesis, drug resistance, and metastatic colonization in OC. Paradoxically, high levels inhibited epithelial to mesenchymal transition (EMT), leading to decreased invasion and migration in the SKOV3 cells. | [12,13,14,15,16] |
| miR-182-5p | Overexpressed in HGSOC and clear cell ovarian carcinoma (CCC) when compared to ovarian surface epithelium (OSE). Elevated levels are detected in serous tubal intraepithelial carcinoma (STIC), precursor lesions associated with HGSOC. Elevated levels linked to increased tumor transformation, enhanced invasiveness, and metastasis in vitro and in vivo. | [17,18] |
| miR-183-5p | Overexpressed in OC tumor samples, with higher expression in patients at advanced clinical stages. Proposed as a potential biomarker for epithelial ovarian cancer (EOC). Inhibition associated with reduced cell viability and invasion, along with the induction of apoptosis. | [19,20] |
| miR-200c-3p | Overexpressed in OC tumors. Overexpression promotes metastasis and invasion by regulating EMT. Proposed as a biomarker for both HGSOC and non-HGSOC as it was detected in serum exosomes. In most studies, its overexpression is linked to poor prognosis, although inconsistent results have been reported. Upregulation increases the sensitivity of OC cells to taxanes, but contradictory results are reported with cisplatin. | [21,22,23] |
| miR-203a |
Contrasting results regarding its expression in OC. Reduced levels observed in OC tissues compared to adjacent normal tissues. Elevated expression decreased cell migration and mouse survival but promoted a metastatic phenotype in vivo. Increased levels decreased cell proliferation, migration, and invasion, while enhancing apoptosis of OC cells via the Akt/GSK-3β/Snail pathway. | [24,25] |
| miR-296-5p | High levels in EOC cells reduced EMT-related proteins. Increased levels were associated with tumorigenicity and increased tumor growth. Elevated levels enhanced proliferation, migration, invasion, and drug resistance in OC cells by targeting PTEN. | [26,27,28,29] |
| miR-1206 |
Elevated levels in lung cancer tissues correlated with increased cell proliferation, blood vessel formation, migration, and invasion, while reduced apoptosis.
Proposed as a potential biomarker for lymphoblastic leukemia. | [30,31] |
| Gene Symbol | Number of Interactions | miRNA 1 | miRNA 2 | miRNA 3 | miRNA 4 |
|---|---|---|---|---|---|
| PTEN | 4 | hsa-miR-200c-3p | hsa-miR-141-3p | hsa-miR-182-5p | hsa-miR-10a-5p |
| ZEB1 | 4 | hsa-miR-200c-3p | hsa-miR-141-3p | hsa-miR-96-5p | hsa-miR-183-5p |
| FOXO1 | 4 | hsa-miR-200c-3p | hsa-miR-182-5p | hsa-miR-96-5p | hsa-miR-183-5p |
| SNAI1 | 4 | hsa-miR-203a-3p | hsa-miR-182-5p | hsa-miR-96-5p | hsa-miR-183-5p |
| ZEB2 | 3 | hsa-miR-200c-3p | hsa-miR-141-3p | hsa-miR-203a-3p | |
| E2F3 | 3 | hsa-miR-200c-3p | hsa-miR-141-3p | hsa-miR-203a-3p | |
| VEGFA | 3 | hsa-miR-200c-3p | hsa-miR-203a-3p | hsa-miR-296-5p | |
| BDNF | 3 | hsa-miR-10a-5p | hsa-miR-182-5p | hsa-miR-96-5p | |
| BM1 | 3 | hsa-miR-200c-3p | hsa-miR-203a-3p | hsa-miR-183-5p | |
| RECK | 3 | hsa-miR-96-5p | hsa-miR-182-5p | hsa-miR-183-5p | |
| GSK3B | 3 | hsa-miR-96-5p | hsa-miR-182-5p | hsa-miR-183-5p | |
| SMAD4 | 3 | hsa-miR-203a-3p | hsa-miR-182-5p | hsa-miR-183-5p | |
| TP53 | 2 | hsa-miR-182-5p | hsa-miR-96-5p |
| Gene Symbol | Number of Interactions | miRNA 1 | miRNA 2 | miRNA 3 | miRNA 4 | miRNA 5 |
|---|---|---|---|---|---|---|
| ZEB1 | 5 | hsa-miR-141-3p | hsa-miR-200c-3p | hsa-miR-183-5p | hsa-miR-96-5p | hsa-miR-203a-3p |
| IGF1R | 5 | hsa-miR-183-5p | hsa-miR-182-5p | hsa-miR-96-5p | hsa-miR-141-3p | hsa-miR-203a-3p |
| PTEN | 4 | hsa-miR-141-3p | hsa-miR-182-5p | hsa-miR-10a-5p | hsa-miR-200c-3p | |
| MALT1 | 4 | hsa-miR-200c-3p | hsa-miR-141-3p | hsa-miR-96-5p | hsa-miR-182-5p | |
| TP53INP1 | 4 | hsa-miR-182-5p | hsa-miR-200c-3p | hsa-miR-1206 | hsa-miR-96-5p | |
| E2F3 | 4 | hsa-miR-203a-3p | hsa-miR-141-3p | hsa-miR-200c-3p | hsa-miR-1206 | |
| FOXO1 | 4 | hsa-miR-182-5p | hsa-miR-96-5p | hsa-miR-183-5p | hsa-miR-200c-3p | |
| SNAI1 | 4 | hsa-miR-182-5p | hsa-miR-203a-3p | hsa-miR-183-5p | hsa-miR-96-5p | |
| GSK3B | 4 | hsa-miR-183-5p | hsa-miR-96-5p | hsa-miR-182-5p | hsa-miR-203a-3p | |
| TRIP71 | 4 | hsa-miR-182-5p | hsa-miR-96-5p | hsa-miR-183-5p | hsa-miR-203a-3p | |
| GATA6 | 4 | hsa-miR-183-5p | hsa-miR-141-3p | hsa-miR-200c-3p | hsa-miR-203a-3p | |
| NUFIP2 | 4 | hsa-miR-183-5p | hsa-miR-182-5p | hsa-miR-203a-3p | hsa-miR-200c-3p | |
| XIAP | 4 | hsa-miR-200c-3p | hsa-miR-96-5p | hsa-miR-183-5p | hsa-miR-10a-5p |
Disclaimer/Publisher’s Note: The statements, opinions and data contained in all publications are solely those of the individual author(s) and contributor(s) and not of MDPI and/or the editor(s). MDPI and/or the editor(s) disclaim responsibility for any injury to people or property resulting from any ideas, methods, instructions or products referred to in the content. |
© 2024 by the authors. Licensee MDPI, Basel, Switzerland. This article is an open access article distributed under the terms and conditions of the Creative Commons Attribution (CC BY) license (https://creativecommons.org/licenses/by/4.0/).
Share and Cite
Flores-Colón, M.; Rivera-Serrano, M.; Reyes-Burgos, V.G.; Rolón, J.G.; Pérez-Santiago, J.; Marcos-Martínez, M.J.; Valiyeva, F.; Vivas-Mejía, P.E. MicroRNA Expression Profiles in Human Samples and Cell Lines Revealed Nine miRNAs Associated with Cisplatin Resistance in High-Grade Serous Ovarian Cancer. Int. J. Mol. Sci. 2024, 25, 3793. https://doi.org/10.3390/ijms25073793
Flores-Colón M, Rivera-Serrano M, Reyes-Burgos VG, Rolón JG, Pérez-Santiago J, Marcos-Martínez MJ, Valiyeva F, Vivas-Mejía PE. MicroRNA Expression Profiles in Human Samples and Cell Lines Revealed Nine miRNAs Associated with Cisplatin Resistance in High-Grade Serous Ovarian Cancer. International Journal of Molecular Sciences. 2024; 25(7):3793. https://doi.org/10.3390/ijms25073793
Chicago/Turabian StyleFlores-Colón, Marienid, Mariela Rivera-Serrano, Víctor G. Reyes-Burgos, José G. Rolón, Josué Pérez-Santiago, María J. Marcos-Martínez, Fatima Valiyeva, and Pablo E. Vivas-Mejía. 2024. "MicroRNA Expression Profiles in Human Samples and Cell Lines Revealed Nine miRNAs Associated with Cisplatin Resistance in High-Grade Serous Ovarian Cancer" International Journal of Molecular Sciences 25, no. 7: 3793. https://doi.org/10.3390/ijms25073793
APA StyleFlores-Colón, M., Rivera-Serrano, M., Reyes-Burgos, V. G., Rolón, J. G., Pérez-Santiago, J., Marcos-Martínez, M. J., Valiyeva, F., & Vivas-Mejía, P. E. (2024). MicroRNA Expression Profiles in Human Samples and Cell Lines Revealed Nine miRNAs Associated with Cisplatin Resistance in High-Grade Serous Ovarian Cancer. International Journal of Molecular Sciences, 25(7), 3793. https://doi.org/10.3390/ijms25073793

