Design and Synthesis of New GS-6207 Subtypes for Targeting HIV-1 Capsid Protein
Abstract
1. Introduction
2. Results and Discussion
2.1. Design of Novel PF74/GS-6207 Molecular Hybrids 5 and 6
2.2. Molecular Docking Analysis
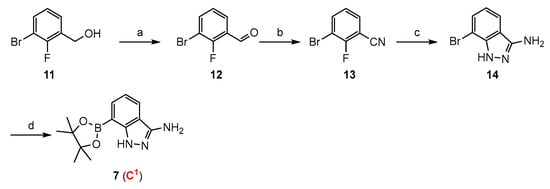
2.3. Synthesis of Hybrids 5 and 6
2.4. Biological Analysis of Select Compounds
3. Materials and Methods
3.1. Chemistry
3.1.1. Procedure for Synthesis of 12
3.1.2. Procedure for Synthesis of 13
3.1.3. Procedure for Synthesis of 14
3.1.4. Procedure for Synthesis of 7
3.1.5. Procedure for Synthesis of 16
3.1.6. Procedure for Synthesis of 17
3.1.7. Procedure for Synthesis of 18
3.2. General Procedure for Synthesis of 19a,b and 20a,b
3.2.1. (S)-N-((R)-1-(3,6-Dibromopyridin-2-yl)-2-phenylethyl)-2-methylpropane-2-sulfinamide (19a)
3.2.2. (S)-N-((S)-1-(3,6-Dibromopyridin-2-yl)-2-phenylethyl)-2-methylpropane-2-sulfinamide (20a)
3.2.3. (S)-N-((R)-1-(3,6-Dibromopyridin-2-yl)-2-(3,5-difluorophenyl)ethyl)-2-methylpropane-2-sulfinamide (19b)
3.3. General Procedure for Synthesis of 21a,b and 22a,b
3.3.1. (R)-N-((R)-1-(3,6-Dibromopyridin-2-yl)-2-phenylethyl)-2-methylpropane-2-sulfinamide (21a)
3.3.2. (R)-N-((S)-1-(3,6-Dibromopyridin-2-yl)-2-phenylethyl)-2-methylpropane-2-sulfinamide (22a)
3.3.3. (R)-N-((R)-1-(3,6-Dibromopyridin-2-yl)-2-(3,5-difluorophenyl)ethyl)-2-methylpropane-2-sulfinamide (21b)
3.3.4. (R)-N-((S)-1-(3,6-Dibromopyridin-2-yl)-2-(3,5-difluorophenyl)ethyl)-2-methylpropane-2-sulfinamide (22b)
3.4. General Procedure for Synthesis of 23a,b
3.4.1. (S)-1-(3,6-Dibromopyridin-2-yl)-2-phenylethan-1-amine (23a)
3.4.2. (S)-1-(3,6-Dibromopyridin-2-yl)-2-(3,5-difluorophenyl)ethan-1-amine (23b)
3.5. General Procedure for Synthesis of 8a,b
3.5.1. Tert-butyl (S)-(1-(3,6-dibromopyridin-2-yl)-2-phenylethyl)carbamate (8a)
3.5.2. Tert-butyl (S)-(1-(3,6-dibromopyridin-2-yl)-2-(3,5-difluorophenyl)ethyl)carbamate (8b)
3.6. Procedure for Synthesis of 21
3.7. General Procedure for Synthesis of 27a,b
3.7.1. Tert-butyl (S)-(1-(3-bromo-6-(3-methyl-3-(methylsulfonyl)but-1-yn-1-yl)pyridin-2-yl)-2-phenylethyl)carbamate (27a)
3.7.2. Tert-butyl (S)-(1-(3-bromo-6-(3-methyl-3-(methylsulfonyl)but-1-yn-1-yl)pyridin-2-yl)-2-(3,5-difluorophenyl)ethyl)carbamate (27b)
3.8. General Procedure for Synthesis of 28a,b
3.8.1. Tert-butyl (S)-(1-(3-(3-amino-1H-indazol-7-yl)-6-(3-methyl-3-(methylsulfonyl)but-1-yn-1-yl)pyridin-2-yl)-2-phenylethyl)carbamate (28a)
3.8.2. Tert-butyl (S)-(1-(3-(3-amino-1H-indazol-7-yl)-6-(3-methyl-3-(methylsulfonyl)but-1-yn-1-yl)pyridin-2-yl)-2-(3,5-difluorophenyl)ethyl)carbamate (28b)
3.9. General Procedure for Synthesis of 29a,b
3.9.1. Tert-butyl (S)-(1-(6-(3-methyl-3-(methylsulfonyl)but-1-yn-1-yl)-3-(3-(N-(methylsulfonyl)methylsulfonamido)-1H-indazol-7-yl)pyridin-2-yl)-2-phenylethyl)carbamate (29a)
3.9.2. Tert-butyl (S)-(2-(3,5-difluorophenyl)-1-(6-(3-methyl-3-(methylsulfonyl)but-1-yn-1-yl)-3-(3-(N-(methylsulfonyl)methylsulfonamido)-1H-indazol-7-yl)pyridin-2-yl)ethyl)carbamate (29b)
3.10. General Procedure for Synthesis of 30a,b
3.10.1. (S)-N-(7-(2-(1-Amino-2-phenylethyl)-6-(3-methyl-3-(methylsulfonyl)but-1-yn-1-yl)pyridin-3-yl)-1H-indazol-3-yl)-N-(methylsulfonyl)methanesulfonamide (30a)
3.10.2. (S)-N-(7-(2-(1-Amino-2-(3,5-difluorophenyl)ethyl)-6-(3-methyl-3-(methylsulfonyl)but-1-yn-1-yl)pyridin-3-yl)-1H-indazol-3-yl)-N-(methylsulfonyl)methanesulfonamide (30b)
3.11. General Procedure for Synthesis of 5a,b and 6a,b
3.11.1. 2-(4,7-Dimethyl-2-oxoindolin-3-yl)-N-((S)-1-(6-(3-methyl-3-(methylsulfonyl)but-1-yn-1-yl)-3-(3-(methylsulfonamido)-1H-indazol-7-yl)pyridin-2-yl)-2-phenylethyl)acetamide (6a)
3.11.2. N-((S)-2-(3,5-Difluorophenyl)-1-(6-(3-methyl-3-(methylsulfonyl)but-1-yn-1-yl)-3-(3-(methylsulfonamido)-1H-indazol-7-yl)pyridin-2-yl)ethyl)-2-(4,7-dimethyl-2-oxoindolin-3-yl)acetamide (6b)
3.11.3. (S)-2-(5-Hydroxy-1H-indol-3-yl)-N-(1-(6-(3-methyl-3-(methylsulfonyl)but-1-yn-1-yl)-3-(3-(methylsulfonamido)-1H-indazol-7-yl)pyridin-2-yl)-2-phenylethyl)acetamide (5a)
3.11.4. (S)-N-(2-(3,5-Difluorophenyl)-1-(6-(3-methyl-3-(methylsulfonyl)but-1-yn-1-yl)-3-(3-(methylsulfonamido)-1H-indazol-7-yl)pyridin-2-yl)ethyl)-2-(5-hydroxy-1H-indol-3-yl)acetamide (5b)
3.12. Modeling and Docking Analysis
3.13. Thermal Shift Assays (TSAs)
3.14. Virus Production
3.15. Anti-HIV-1 Assays
4. Conclusions
Supplementary Materials
Author Contributions
Funding
Data Availability Statement
Acknowledgments
Conflicts of Interest
Abbreviations
| HIV | Human immunodeficiency virus |
| CA | Capsid protein |
| CPSF6 | Cleavage and polyadenylation specific factor 6 |
| CANTD | CA N-terminal domain |
| CACTD | CA C-terminal domain |
| SAR | Structure–activity relationship |
| HATU | 1-[Bis(dimethylamino)methylene]-1H-1,2,3-triazolo [4,5-b]pyridinium3-oxid hexafluorophosphate |
| TSA | Thermal shift assay |
| EtOAc | Ethyl acetate |
| MeOH | Methanol |
| EtOH | Ethanol |
| DCM | Dichloromethane |
| DMF | N, N-Dimethylformamide |
| THF | Tetrahydrofuran |
| MeCN | Acetonitrile |
| IPA | Isopropyl alcohol |
| MnO2 | Manganese dioxide |
| H2NOH.H2O | Hydroxylamine |
| Ac2O | Acetic anhydride |
| AcOH | Acetic acid |
| H2NNH2.H2O | Hydrazine hydrate |
| B2Pin2 | 4,4,5,5-tetramethyl-2-(tetramethyl-1,3,2-dioxaborolan-2-yl)-1,3,2-dioxaborolane |
| (Boc)2O | Di-tert-butyl pyrocarbonate |
| KOAc | Potassium acetate |
| NH4Cl | Ammonium chloride |
| NaOH | Sodium hydroxide |
| Cs2CO3 | Cesium carbonate |
| K2CO3 | Potassium carbonate |
| Na2SO4 | Sodium sulfate |
| HCl | Hydrogen chloride |
| TFA | Trifluoroacetic acid |
| TEA | Triethylamine |
| DIPEA | N, N-Diisopropylethylamine |
| Pd(PPh3)2Cl2 | Bis(triphenylphosphine)palladium(II)dichloride |
| Cu(I)Cl | Copper(I) chloride |
| Cu(I)I | Copper(I) iodide |
| TMPMgCl.LiCI | 2,2,6,6-tetramethylpiperidinylmagnesium chloride, lithium chloride complex |
| Pd(dppf)2Cl2 | [1,1′bis(diphenylphosphino)-ferrocene]dichloropalladium(II) |
| MeSO2Na | Sodium methanesulfonate |
| i-Pr2NEt | N, N-Diisopropylethylamine |
References
- Ding, D.; Xu, S.; Zhang, X.; Jiang, X.; Cocklin, S.; Dick, A.; Zhan, P.; Liu, X. The discovery and design of novel HIV-1 capsid modulators and future perspectives. Expert Opin. Drug Discov. 2023, 18, 5–12. [Google Scholar] [CrossRef] [PubMed]
- McFadden, W.M.; Snyder, A.A.; Kirby, K.A.; Tedbury, P.R.; Raj, M.; Wang, Z.; Sarafianos, S.G. Rotten to the core: Antivirals targeting the HIV-1 capsid core. Retrovirology 2021, 18, 41. [Google Scholar] [CrossRef]
- Cevik, M.; Orkin, C. Insights into HIV-1 capsid inhibitors in preclinical and early clinical development as antiretroviral agents. Expert Opin. Inv. Drug 2019, 28, 1021–1024. [Google Scholar] [CrossRef] [PubMed]
- Thenin-Houssier, S.; Valente, S.T. HIV-1 Capsid Inhibitors as Antiretroviral Agents. Curr. HIV Res. 2016, 14, 270–282. [Google Scholar] [CrossRef] [PubMed]
- Carnes, S.K.; Sheehan, J.H.; Aiken, C. Inhibitors of the HIV-1 capsid, a target of opportunity. Curr. Opin. HIV AIDS 2018, 13, 359–365. [Google Scholar] [CrossRef] [PubMed]
- Wang, L.; Casey, M.C.; Vernekar, S.K.V.; Sahani, R.L.; Kankanala, J.; Kirby, K.A.; Du, H.; Hachiya, A.; Zhang, H.; Tedbury, P.R.; et al. Novel HIV-1 capsid-targeting small molecules of the PF74 binding site. Eur. J. Med. Chem. 2020, 204, 112626. [Google Scholar] [CrossRef] [PubMed]
- Buffone, C.; Martinez-Lopez, A.; Fricke, T.; Opp, S.; Severgnini, M.; Cifola, I.; Petiti, L.; Frabetti, S.; Skorupka, K.; Zadrozny, K.K.; et al. Nup153 Unlocks the Nuclear Pore Complex for HIV-1 Nuclear Translocation in Nondividing Cells. J. Virol. 2018, 92, e00648-18. [Google Scholar] [CrossRef] [PubMed]
- Matreyek, K.A.; Yucel, S.S.; Li, X.; Engelman, A. Nucleoporin NUP153 phenylalanine-glycine motifs engage a common binding pocket within the HIV-1 capsid protein to mediate lentiviral infectivity. PLoS Pathog. 2013, 9, e1003693. [Google Scholar] [CrossRef]
- Achuthan, V.; Perreira, J.M.; Sowd, G.A.; Puray-Chavez, M.; McDougall, W.M.; Paulucci-Holthauzen, A.; Wu, X.; Fadel, H.J.; Poeschla, E.M.; Multani, A.S.; et al. Capsid-CPSF6 Interaction Licenses Nuclear HIV-1 Trafficking to Sites of Viral DNA Integration. Cell Host Microbe 2018, 24, 392–404.e398. [Google Scholar] [CrossRef]
- Bejarano, D.A.; Peng, K.; Laketa, V.; Borner, K.; Jost, K.L.; Lucic, B.; Glass, B.; Lusic, M.; Mueller, B.; Krausslich, H.G. HIV-1 nuclear import in macrophages is regulated by CPSF6-capsid interactions at the nuclear pore complex. Elife 2019, 8, e41800. [Google Scholar] [CrossRef]
- Bhattacharya, A.; Alam, S.L.; Fricke, T.; Zadrozny, K.; Sedzicki, J.; Taylor, A.B.; Demeler, B.; Pornillos, O.; Ganser-Pornillos, B.K.; Diaz-Griffero, F.; et al. Structural basis of HIV-1 capsid recognition by PF74 and CPSF6. Proc. Natl. Acad. Sci. USA 2014, 111, 18625–18630. [Google Scholar] [CrossRef] [PubMed]
- Rebensburg, S.V.; Wei, G.C.; Larue, R.C.; Lindenberger, J.; Francis, A.C.; Annamalai, A.S.; Morrison, J.; Shkriabai, N.; Huang, S.W.; KewalRamani, V.; et al. Sec24C is an HIV-1 host dependency factor crucial for virus replication. Nat. Microbiol. 2021, 6, 435–444. [Google Scholar] [CrossRef] [PubMed]
- Shi, J.; Zhou, J.; Shah, V.B.; Aiken, C.; Whitby, K. Small-molecule inhibition of human immunodeficiency virus type 1 infection by virus capsid destabilization. J. Virol. 2011, 85, 542–549. [Google Scholar] [CrossRef] [PubMed]
- Rankovic, S.; Ramalho, R.; Aiken, C.; Rousso, I. PF74 Reinforces the HIV-1 Capsid To Impair Reverse Transcription-Induced Uncoating. J. Virol. 2018, 92, e00845-18. [Google Scholar] [CrossRef] [PubMed]
- Saito, A.; Ferhadian, D.; Sowd, G.A.; Serrao, E.; Shi, J.; Halambage, U.D.; Teng, S.; Soto, J.; Siddiqui, M.A.; Engelman, A.N.; et al. Roles of Capsid-Interacting Host Factors in Multimodal Inhibition of HIV-1 by PF74. J. Virol. 2016, 90, 5808–5823. [Google Scholar] [CrossRef] [PubMed]
- Link, J.O.; Rhee, M.S.; Tse, W.C.; Zheng, J.; Somoza, J.R.; Rowe, W.; Begley, R.; Chiu, A.; Mulato, A.; Hansen, D.; et al. Clinical targeting of HIV capsid protein with a long-acting small molecule. Nature 2020, 584, 614–618. [Google Scholar] [CrossRef] [PubMed]
- Bester, S.M.; Wei, G.C.; Zhao, H.Y.; Adu-Ampratwum, D.; Iqbal, N.; Courouble, V.V.; Francis, A.C.; Annamalai, A.S.; Singh, P.K.; Shkriabai, N.; et al. Structural and mechanistic bases for a potent HIV-1 capsid inhibitor. Science 2020, 370, 360–364. [Google Scholar] [CrossRef] [PubMed]
- Price, A.J.; Jacques, D.A.; McEwan, W.A.; Fletcher, A.J.; Essig, S.; Chin, J.W.; Halambage, U.D.; Aiken, C.; James, L.C. Host cofactors and pharmacologic ligands share an essential interface in HIV-1 capsid that is lost upon disassembly. PLoS Pathog. 2014, 10, e1004459. [Google Scholar] [CrossRef] [PubMed]
- Vernekar, S.K.V.; Sahani, R.L.; Casey, M.C.; Kankanala, J.; Wang, L.; Kirby, K.A.; Du, H.; Zhang, H.; Tedbury, P.R.; Xie, J.; et al. Toward Structurally Novel and Metabolically Stable HIV-1 Capsid-Targeting Small Molecules. Viruses 2020, 12, 452. [Google Scholar] [CrossRef]
- Wang, L.; Casey, M.C.; Vernekar, S.K.V.; Do, H.T.; Sahani, R.L.; Kirby, K.A.; Du, H.; Hachiya, A.; Zhang, H.; Tedbury, P.R.; et al. Chemical profiling of HIV-1 capsid-targeting antiviral PF74. Eur. J. Med. Chem. 2020, 200, 112427. [Google Scholar] [CrossRef]
- Wang, L.; Casey, M.C.; Vernekar, S.K.V.; Sahani, R.L.; Kirby, K.A.; Du, H.; Zhang, H.; Tedbury, P.R.; Xie, J.; Sarafianos, S.G.; et al. Novel PF74-like small molecules targeting the HIV-1 capsid protein: Balance of potency and metabolic stability. Acta Pharm. Sin. B. 2021, 11, 810–822. [Google Scholar] [CrossRef] [PubMed]
- Sahani, R.L.; Diana-Rivero, R.; Vernekar, S.K.V.; Wang, L.; Du, H.; Zhang, H.; Castaner, A.E.; Casey, M.C.; Kirby, K.A.; Tedbury, P.R.; et al. Design, Synthesis and Characterization of HIV-1 CA-Targeting Small Molecules: Conformational Restriction of PF74. Viruses 2021, 13, 479. [Google Scholar] [CrossRef] [PubMed]
- Sahani, R.L.; Akther, T.; Cilento, M.E.; Castaner, A.E.; Zhang, H.; Kirby, K.A.; Xie, J.; Sarafianos, S.G.; Wang, Z. Potency and metabolic stability: A molecular hybrid case in the design of novel PF74-like small molecules targeting HIV-1 capsid protein. RSC Med. Chem. 2021, 12, 2031–2044. [Google Scholar] [CrossRef] [PubMed]
- Xu, S.J.; Sun, L.; Barnett, M.; Zhang, X.J.; Ding, D.; Gattu, A.; Shi, D.Z.; Taka, J.R.H.; Shen, W.L.; Jiang, X.Y.; et al. Discovery, Crystallographic Studies, and Mechanistic Investigations of Novel Phenylalanine Derivatives Bearing a Quinazolin-4-one Scaffold as Potent HIV Capsid Modulators. J. Med. Chem. 2023, 66, 16303–16329. [Google Scholar] [CrossRef] [PubMed]
- Jiang, X.Y.; Sharma, P.P.; Rathi, B.; Ji, X.K.; Hu, L.D.; Gao, Z.; Kang, D.W.; Wang, Z.; Xie, M.H.; Xu, S.J.; et al. Discovery of novel 1,2,4-triazole phenylalanine derivatives targeting an unexplored region within the interprotomer pocket of the HIV capsid protein. J. Med. Virol. 2022, 94, 5975–5986. [Google Scholar] [CrossRef] [PubMed]
- Ji, X.K.; Li, J.; Sharma, P.P.; Jiang, X.Y.; Rathi, B.; Gao, Z.; Hu, L.D.; Kang, D.W.; De Clercq, E.; Cocklin, S.; et al. Design, Synthesis and Structure-Activity Relationships of Phenylalanine-Containing Peptidomimetics as Novel HIV-1 Capsid Binders Based on Ugi Four-Component Reaction. Molecules 2022, 27, 5995. [Google Scholar] [CrossRef]
- Jiang, X.Y.; Wu, G.C.; Zalloum, W.A.; Meuser, M.E.; Dick, A.; Sun, L.; Chen, C.H.; Kang, D.W.; Jing, L.L.; Jia, R.F.; et al. Discovery of novel 1,4-disubstituted 1,2,3-triazole phenylalanine derivatives as HIV-1 capsid inhibitors. RSC Adv. 2019, 9, 28961–28986. [Google Scholar] [CrossRef]
- Sun, L.; Dick, A.; Meuser, M.E.; Huang, T.G.; Zalloum, W.A.; Chen, C.H.; Cherukupalli, S.; Xu, S.J.; Ding, X.; Gao, P.; et al. Design, Synthesis, and Mechanism Study of Benzenesulfonamide-Containing Phenylalanine Derivatives as Novel HIV-1 Capsid Inhibitors with Improved Antiviral Activities. J. Med. Chem. 2020, 63, 4790–4810. [Google Scholar] [CrossRef]
- Li, J.; Jiang, X.Y.; Dick, A.; Sharma, P.P.; Chen, C.H.; Rathi, B.; Kang, D.W.; Wang, Z.; Ji, X.K.; Lee, K.H.; et al. Design, synthesis, and antiviral activity of phenylalanine derivatives as HIV-1 capsid inhibitors. Bioorg. Med. Chem. 2021, 48, 116414. [Google Scholar] [CrossRef]
- Sun, L.; Huang, T.G.; Dick, A.; Meuser, M.E.; Zalloum, W.A.; Chen, C.H.; Ding, X.; Gao, P.; Cocklin, S.; Lee, K.H.; et al. Design, synthesis and structure-activity relationships of 4-phenyl-1-1,2,3-triazole phenylalanine derivatives as novel HIV-1 capsid inhibitors with promising antiviral activities. Eur. J. Med. Chem. 2020, 190, 112085. [Google Scholar] [CrossRef]
- Wu, G.C.; Zalloum, W.A.; Meuser, M.E.; Jing, L.L.; Kang, D.W.; Chen, C.H.; Tian, Y.; Zhang, F.F.; Cocklin, S.; Lee, K.H.; et al. Discovery of phenylalanine derivatives as potent HIV-1 capsid inhibitors from click chemistry-based compound library. Eur. J. Med. Chem. 2018, 158, 478–492. [Google Scholar] [CrossRef] [PubMed]
- Xu, S.J.; Sun, L.; Dick, A.; Zalloum, W.A.; Huang, T.G.; Meuser, M.E.; Zhang, X.J.; Tao, Y.C.; Cherukupalli, S.; Ding, D.; et al. Design, synthesis, and mechanistic investigations of phenylalanine derivatives containing a benzothiazole moiety as HIV-1 capsid inhibitors with improved metabolic stability. Eur. J. Med. Chem. 2022, 227, 113903. [Google Scholar] [CrossRef]
- Mushtaq, A.; Kazi, F. Lenacapavir: A new treatment of resistant HIV-1 infections. Lancet Infect. Dis. 2023, 23, 286. [Google Scholar] [CrossRef]
- Margot, N.; Vanderveen, L.; Naik, V.; Ram, R.; Parvangada, P.; Martin, R.; Rhee, M.; Callebaut, C. Phenotypic resistance to lenacapavir and monotherapy efficacy in a proof-of-concept clinical study. J. Antimicrob. Chemother. 2022, 77, 989–995. [Google Scholar] [CrossRef]
- Margot, N.A.; Naik, V.; VanderVeen, L.; Anoshchenko, O.; Singh, R.; Dvory-Sobol, H.; Rhee, M.S.; Callebaut, C. Resistance Analyses in Highly Treatment-Experienced People With Human Immunodeficiency Virus (HIV) Treated with the Novel Capsid HIV Inhibitor Lenacapavir. J. Infect. Dis. 2022, 226, 1985–1991. [Google Scholar] [CrossRef]
- Marcelin, A.-G.; Charpentier, C.; Jary, A.; Perrier, M.; Margot, N.; Callebaut, C.; Calvez, V.; Descamps, D. Frequency of capsid substitutions associated with GS-6207 in vitro resistance in HIV-1 from antiretroviral-naive and -experienced patients. J. Antimicrob. Chemother. 2020, 75, 1588–1590. [Google Scholar] [CrossRef] [PubMed]
- Gres, A.T.; Kirby, K.A.; KewalRamani, V.N.; Tanner, J.J.; Pornillos, O.; Sarafianos, S.G. X-ray crystal structures of native HIV-1 capsid protein reveal conformational variability. Science 2015, 349, 99–103. [Google Scholar] [CrossRef]
- Gritter, R.J.; Dupre, G.D.; Wallace, T.J. Oxidation of Benzyl Alcohols with Manganese Dioxide. Nature 1964, 202, 179–181. [Google Scholar] [CrossRef]
- Mowry, D.T. The Preparation of Nitriles. Chem. Rev. 1948, 42, 189–283. [Google Scholar] [CrossRef]
- Rohrbach, S.; Smith, A.J.; Pang, J.H.; Poole, D.L.; Tuttle, T.; Chiba, S.; Murphy, J.A. Concerted Nucleophilic Aromatic Substitution Reactions. Angew. Chem. Int. Ed. 2019, 58, 16368–16388. [Google Scholar] [CrossRef]
- Billingsley, K.L.; Buchwald, S.L. An Improved System for the Palladium-Catalyzed Borylation of Aryl Halides with Pinacol Borane. J. Org. Chem. 2008, 73, 5589–5591. [Google Scholar] [CrossRef]
- Schlecker, W.; Huth, A.; Ottow, E.; Mulzer, J. Regioselective Metalation of Pyridinylcarbamates and Pyridinecarboxamides with (2,2,6,6-Tetramethylpiperidino)magnesium Chloride. J. Org. Chem. 1995, 60, 8414–8416. [Google Scholar] [CrossRef]
- Ellman, J.A.; Owens, T.D.; Tang, T.P. N-tert-Butanesulfinyl Imines: Versatile Intermediates for the Asymmetric Synthesis of Amines. Acc. Chem. Res. 2002, 35, 984–995. [Google Scholar] [CrossRef]
- Reddy, R.J.; Kumari, A.H. Synthesis and applications of sodium sulfinates (RSO(2)Na): A powerful building block for the synthesis of organosulfur compounds. RSC Adv. 2021, 11, 9130–9221. [Google Scholar] [CrossRef]
- Sonogashira, K. Development of Pd–Cu catalyzed cross-coupling of terminal acetylenes with sp2-carbon halides. J. Organomet. Chem. 2002, 653, 46–49. [Google Scholar] [CrossRef]
- Miyaura, N.; Yamada, K.; Suzuki, A. A new stereospecific cross-coupling by the palladium-catalyzed reaction of 1-alkenylboranes with 1-alkenyl or 1-alkynyl halides. Tetrahedron Lett. 1979, 20, 3437–3440. [Google Scholar] [CrossRef]
- Carpino, L.A. 1-Hydroxy-7-azabenzotriazole. An efficient peptide coupling additive. J. Am. Chem. Soc. 1993, 115, 4397–4398. [Google Scholar] [CrossRef]
- Schrödinger. Small-Molecule Drug Discovery Suite 2021-3; Schrödinger, LLC.: New York, NY, USA, 2021. [Google Scholar]
- Schrödinger. Release 2021-3: Maestro; Schrödinger, LLC.: New York, NY, USA, 2021. [Google Scholar]
- Sastry, G.M.; Adzhigirey, M.; Day, T.; Annabhimoju, R.; Sherman, W. Protein and ligand preparation: Parameters, protocols, and influence on virtual screening enrichments. J. Comput. Aided Mol. Des. 2013, 27, 221–234. [Google Scholar] [CrossRef]
- Jorgensen, W.L.; Maxwell, D.S.; TiradoRives, J. Development and testing of the OPLS all-atom force field on conformational energetics and properties of organic liquids. J. Am. Chem. Soc. 1996, 118, 11225–11236. [Google Scholar] [CrossRef]
- Schrödinger. Release 2021-3: LigPrep; Schrödinger, LLC.: New York, NY, USA, 2021. [Google Scholar]
- Friesner, R.A.; Banks, J.L.; Murphy, R.B.; Halgren, T.A.; Klicic, J.J.; Mainz, D.T.; Repasky, M.P.; Knoll, E.H.; Shelley, M.; Perry, J.K.; et al. Glide: A new approach for rapid, accurate docking and scoring. 1. Method and assessment of docking accuracy. J. Med. Chem. 2004, 47, 1739–1749. [Google Scholar] [CrossRef]
- Schrödinger. The PyMOL Molecular Graphics System, Version 2.0; Schrödinger, LLC.: NewYork, NY, USA, 2021. [Google Scholar]
- Pornillos, O.; Ganser-Pornillos, B.K.; Kelly, B.N.; Hua, Y.; Whitby, F.G.; Stout, C.D.; Sundquist, W.I.; Hill, C.P.; Yeager, M. X-ray structures of the hexameric building block of the HIV capsid. Cell 2009, 137, 1282–1292. [Google Scholar] [CrossRef] [PubMed]
- Lo, M.C.; Aulabaugh, A.; Jin, G.; Cowling, R.; Bard, J.; Malamas, M.; Ellestad, G. Evaluation of fluorescence-based thermal shift assays for hit identification in drug discovery. Anal. Biochem. 2004, 332, 153–159. [Google Scholar] [CrossRef] [PubMed]
- Miyazaki, Y.; Doi, N.; Koma, T.; Adachi, A.; Nomaguchi, M. Novel In Vitro Screening System Based on Differential Scanning Fluorimetry to Search for Small Molecules against the Disassembly or Assembly of HIV-1 Capsid Protein. Front. Microbiol. 2017, 8, 1413. [Google Scholar] [CrossRef] [PubMed]
- Pantoliano, M.W.; Petrella, E.C.; Kwasnoski, J.D.; Lobanov, V.S.; Myslik, J.; Graf, E.; Carver, T.; Asel, E.; Springer, B.A.; Lane, P.; et al. High-density miniaturized thermal shift assays as a general strategy for drug discovery. J. Biomol. Screen 2001, 6, 429–440. [Google Scholar] [CrossRef]
- Adachi, A.; Gendelman, H.E.; Koenig, S.; Folks, T.; Willey, R.; Rabson, A.; Martin, M.A. Production of acquired immunodeficiency syndrome-associated retrovirus in human and nonhuman cells transfected with an infectious molecular clone. J. Virol. 1986, 59, 284–291. [Google Scholar] [CrossRef]







| Compound | ΔTm (°C) a | EC50 (µM) b,c |
|---|---|---|
| 5a | 0.18 ± 0.21 | >11 |
| 5b | 1.6 ± 0.19 | >50 |
| 6a | 0.12 ± 0.30 | >33 |
| 6b | 0.10 ± 0.24 | >100 |
| PF74 | 5.7 ± 0.48 | 0.55 ± 0.09 |
Disclaimer/Publisher’s Note: The statements, opinions and data contained in all publications are solely those of the individual author(s) and contributor(s) and not of MDPI and/or the editor(s). MDPI and/or the editor(s) disclaim responsibility for any injury to people or property resulting from any ideas, methods, instructions or products referred to in the content. |
© 2024 by the authors. Licensee MDPI, Basel, Switzerland. This article is an open access article distributed under the terms and conditions of the Creative Commons Attribution (CC BY) license (https://creativecommons.org/licenses/by/4.0/).
Share and Cite
Akther, T.; McFadden, W.M.; Zhang, H.; Kirby, K.A.; Sarafianos, S.G.; Wang, Z. Design and Synthesis of New GS-6207 Subtypes for Targeting HIV-1 Capsid Protein. Int. J. Mol. Sci. 2024, 25, 3734. https://doi.org/10.3390/ijms25073734
Akther T, McFadden WM, Zhang H, Kirby KA, Sarafianos SG, Wang Z. Design and Synthesis of New GS-6207 Subtypes for Targeting HIV-1 Capsid Protein. International Journal of Molecular Sciences. 2024; 25(7):3734. https://doi.org/10.3390/ijms25073734
Chicago/Turabian StyleAkther, Thamina, William M. McFadden, Huanchun Zhang, Karen A. Kirby, Stefan G. Sarafianos, and Zhengqiang Wang. 2024. "Design and Synthesis of New GS-6207 Subtypes for Targeting HIV-1 Capsid Protein" International Journal of Molecular Sciences 25, no. 7: 3734. https://doi.org/10.3390/ijms25073734
APA StyleAkther, T., McFadden, W. M., Zhang, H., Kirby, K. A., Sarafianos, S. G., & Wang, Z. (2024). Design and Synthesis of New GS-6207 Subtypes for Targeting HIV-1 Capsid Protein. International Journal of Molecular Sciences, 25(7), 3734. https://doi.org/10.3390/ijms25073734

