Novel Anthraquinone-Based Benzenesulfonamide Derivatives and Their Analogues as Potent Human Carbonic Anhydrase Inhibitors with Antitumor Activity: Synthesis, Biological Evaluation, and In Silico Analysis
Abstract
1. Introduction
2. Results and Discussion
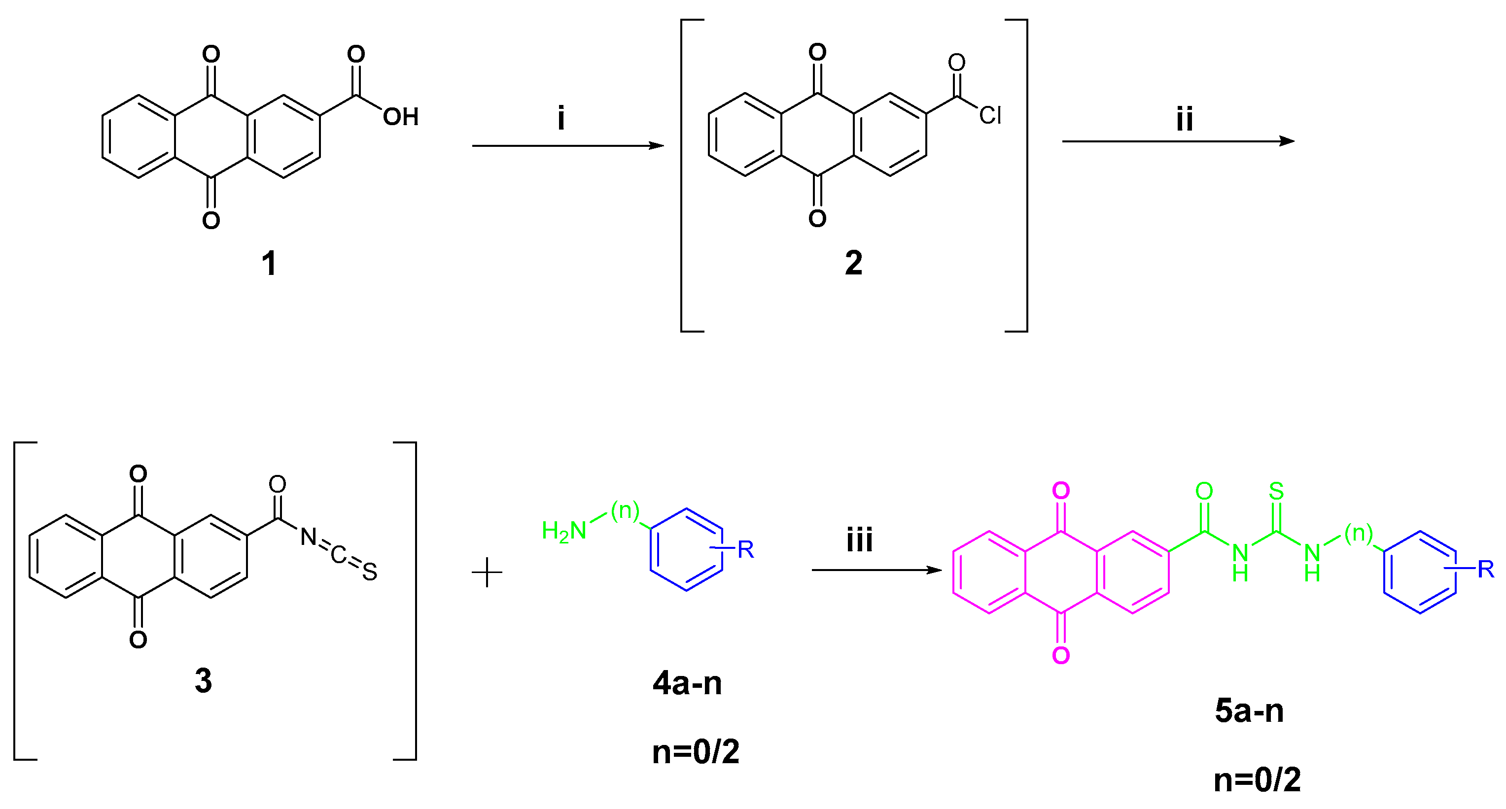
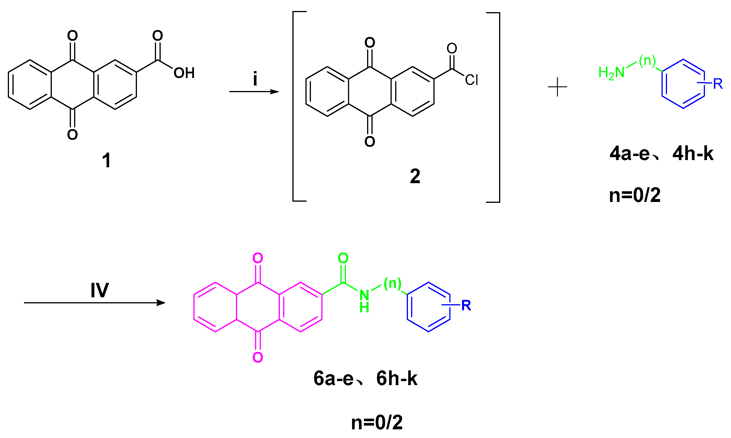
2.1. Chemistry
2.2. Biological Evaluation
2.2.1. Carbonic Anhydrase Inhibition
2.2.2. Anticancer Activity
In Vitro Anti-Proliferative Activity
Annexin V-FITC/Propidium Iodide Analysis of Apoptosis
Mitochondrial Membrane Potential Analysis
2.3. Molecular Modeling Studies
2.4. ADME Prediction
3. Materials and Methods
3.1. Chemistry
3.1.1. General
3.1.2. Synthesis of Anthraquinone-2-Formyl Chloride (2)
3.1.3. Synthesis of Anthraquinone-2-Formyl Isothiocyanate (3)
3.1.4. General Procedure for Target Compounds 5a–n
(3-(9,10-Dioxo-9,10-Dihydroanthracene-2-Carbonyl) Thioureido) Benzoic Acid (5a)
3-(3-(9,10-Dioxo-9,10-Dihydroanthracene-2-Carbonyl) Thioureido) Benzoic Acid (5b)
9,10-Dioxo-N-((4-Sulfamoylphenyl)Carbamothioyl)-9,10-Dihydroanthracene-2-Carboxamide (5c)
9,10-Dioxo-N-((3-Sulfamoylphenyl)Carbamothioyl)-9,10-Dihydroanthracene-2-Carboxamide (5d)
((4-Acetylphenyl)Carbamothioyl)-9,10-Dioxo-9,10-Dihydroanthracene-2-Carboxamide (5e)
Methyl 4-(3-(9,10-Dioxo-9,10-Dihydroanthracene-2-Carbonyl)Thioureido)Benzoate (5f)
Methyl 3-(3-(9,10-Dioxo-9,10-Dihydroanthracene-2-Carbonyl)Thioureido)Benzoate (5g)
9,10-Mioxo-N-((4-Sulfamoylphenethyl)Carbamothioyl)-9,10-Dihydroanthracene-2-Carboxamide (5h)
((4-(N-Methylsulfamoyl)Phenyl)Carbamothioyl)-9,10-Anthraquinone-2-Carboxamide (5i)
9,10-Dioxo-N-((4-(N-(Pyrimidin-4-yl)Sulfamoyl)Phenyl)Carbamothioyl)-9,10-Dihydroanthracene-2-Carboxamide (5j)
((4-(N-Acetylsulfamoyl)Phenyl)Carbamothioyl)-9,10-Dioxo-9,10-Dihydroanthracene-2-Carboxamide (5k)
N-((4-(N-(6-Methylpyrimidin-4-yl)Sulfamoyl)Phenyl)Carbamothioyl)-9,10-Dioxo-9,10-Dihydroanthracene-2-Carboxamide (5l)
9,10-Dioxo-N-((4-(N-(Thiazol-2-yl)Sulfamoyl)Phenyl)Carbamothioyl)-9,10-Dihydroanthracene-2-Carboxamide (5m)
((4-(N-Carbamimidoylsulfamoyl)Phenyl)Carbamothioyl)-9,10-Dioxo-9,10-Dihydroanthracene-2-Carboxamide (5n)
3.1.5. General Procedure for Target Compounds 6a–e and 6h–k
4-(9,10-Dioxo-9,10-Dihydroanthracene-2-Carboxamido)Benzoic Acid (6a)
(9,10-Dioxo-9,10-Dihydroanthracene-2-Carboxamido)Benzoic Acid (6b)
9,10-Dioxo-N-(4-Sulfamoylphenyl)-9,10-Dihydroanthracene-2-Carboxamide (6c)
9,10-Dioxo-N-(3-Sulfamoylphenyl)-9,10-Dihydroanthracene-2-Carboxamide (6d)
N-(4-Acetylphenyl)-9,10-Dioxo-9,10-Dihydroanthracene-2-Carboxamide (6e)
9,10-Dioxo-N-(4-Sulfamoylphenethyl)-9,10-Dihydroanthracene-2-Carboxamide (6h)
N-(4-(N-Methylsulfamoyl)Phenyl)-9,10-Dioxo-9,10-Dihydroanthracene-2-Carboxamide (6i)
9,10-Dioxo-N-(4-(N-(Pyrimidin-4-yl)Sulfamoyl)Phenyl)-9,10-Dihydroanthracene-2-Carboxamide (6j)
N-(4-(N-Acetylsulfamoyl)Phenyl)-9,10-Dioxo-9,10-Dihydroanthracene-2-Carboxamide (6k)
3.2. Biological Studies
3.2.1. CA Inhibition Assay
3.2.2. Cell Lines
3.2.3. MTT Assay
3.2.4. Cell Apoptosis Assay
3.2.5. Mitochondrial Membrane Potential Assay
3.3. Molecular Modeling Studies
3.4. ADME Studies
4. Conclusions
Supplementary Materials
Author Contributions
Funding
Institutional Review Board Statement
Informed Consent Statement
Data Availability Statement
Conflicts of Interest
References
- Burnett, A.R.; Thomson, R.H. Naturally occurring quinones. Part X. The quinonoid constituents of Tabebuia avellanedae (Bignoniaceae). J. Chem. Soc. C Org. 1967, 2100–2104. [Google Scholar] [CrossRef]
- Singh, R.; Geetanjali; Chauhan, S.M.S. 9,10-Anthraquinones and Other Biologically Active Compounds from the GenusRubia. Chem. Biodivers. 2004, 1, 1241–1264. [Google Scholar] [CrossRef] [PubMed]
- Monks, T.J.; Hanzlik, R.P.; Cohen, G.M.; Ross, D.; Graham, D.G. Quinone chemistry and toxicity. Toxicol. Appl. Pharmacol. 1992, 112, 2–16. [Google Scholar] [CrossRef] [PubMed]
- Hussain, H.; Al-Harrasi, A.; Al-Rawahi, A.; Green, I.R.; Csuk, R.; Ahmed, I.; Shah, A.; Abbas, G.; Rehman, N.U.; Ullah, R. A fruitful decade from 2005 to 2014 for anthraquinone patents. Expert Opin. Ther. Pat. 2015, 25, 1053–1064. [Google Scholar] [CrossRef] [PubMed]
- Tian, W.; Wang, C.; Li, D.; Hou, H. Novel anthraquinone compounds as anticanceragents and their potential mechanism. Future Med. Chem. 2020, 12, 627–644. [Google Scholar] [CrossRef] [PubMed]
- Liu, L.; Mu, L.M.; Yan, Y.; Wu, J.S.; Hu, Y.J.; Bu, Y.Z.; Zhang, J.Y.; Liu, R.; Li, X.Q.; Lu, W.L. The use of functional epirubicin liposomes to induce programmed death in refractory breast cancer. Int. J. Nanomed. 2017, 12, 4163–4176. [Google Scholar] [CrossRef] [PubMed]
- Halpern, A.B.; Othus, M.; Huebner, E.M.; Buckley, S.A.; Pogosova-Agadjanyan, E.L.; Orlowski, K.F.; Scott, B.L.; Becker, P.S.; Hendrie, P.C.; Chen, T.L.; et al. Mitoxantrone, etoposide and cytarabine following epigenetic priming with decitabine in adults with relapsed/refractory acute myeloid leukemia or other high-grade myeloid neoplasms: A phase 1/2 study. Leukemia 2017, 31, 2560–2567. [Google Scholar] [CrossRef]
- Supuran, C.T. Carbonic anhydrases: From biomedical applications of the inhibitors and activators to biotechnological use for CO2 capture. J. Enzym. Inhib. Med. Chem. 2013, 28, 229–230. [Google Scholar] [CrossRef]
- Supuran, C.T. Novel carbonic anhydrase inhibitors. Future Med. Chem. 2021, 13, 1935–1937. [Google Scholar] [CrossRef]
- Ivanova, J.; Abdoli, M.; Nocentini, A.; Žalubovskis, R.; Supuran, C.T. 1,2,3-Benzoxathiazine-2,2-dioxides—Effective inhibitors of human carbonic anhydrases. J. Enzym. Inhib. Med. Chem. 2022, 38, 225–238. [Google Scholar] [CrossRef]
- Alterio, V.; Di Fiore, A.; D’Ambrosio, K.; Supuran, C.T.; De Simone, G. Multiple Binding Modes of Inhibitors to Carbonic Anhydrases: How to Design Specific Drugs Targeting 15 Different Isoforms? Chem. Rev. 2012, 112, 4421–4468. [Google Scholar] [CrossRef] [PubMed]
- Pontecorvi, V.; Mori, M.; Picarazzi, F.; Zara, S.; Carradori, S.; Cataldi, A.; Angeli, A.; Berrino, E.; Chimenti, P.; Ciogli, A.; et al. Novel Insights on Human Carbonic Anhydrase Inhibitors Based on Coumalic Acid: Design, Synthesis, Molecular Modeling Investigation, and Biological Studies. Int. J. Mol. Sci. 2022, 23, 7950. [Google Scholar] [CrossRef] [PubMed]
- Mohamed, M.M.; Sloane, B.F. multifunctional enzymes in cancer. Nat. Rev. Cancer 2006, 6, 764–775. [Google Scholar] [CrossRef] [PubMed]
- Pastorekova, S.; Parkkila, S.; Parkkila, A.K.; Opavsky, R.; Zelnik, V.; Saarnio, J.; Pastorek, J. Carbonic anhydrase IX, MN/CA IX: Analysis of stomach complementary DNA sequence and expression in human and rat alimentary tracts. Gastroenterology 1997, 112, 398–408. [Google Scholar] [CrossRef] [PubMed]
- Wykoff, C.C.; Beasley, N.; Watson, P.H.; Campo, L.; Chia, S.K.; English, R.; Pastorek, J.; Sly, W.S.; Ratcliffe, P.; Harris, A.L. Expression of the Hypoxia Inducible and Tumor Associated Carbonic Anhydrases in Ductal Carcinoma in Situ of the Breast. Am. J. Pathol. 2001, 158, 1011–1019. [Google Scholar] [CrossRef] [PubMed]
- Mandriota, S.J.; Turner, K.J.; Davies, D.R.; Murray, P.G.; Morgan, N.V.; Sowter, H.M. HIF activation identifies early lesions in VHL kidneys: Evidence for site-specific tumor suppressor function in the nephron. Cancer Cell 2002, 1, 459–468. [Google Scholar] [CrossRef] [PubMed]
- Ibrahim, H.S.; Allam, H.A.; Mahmoud, W.R.; Bonardi, A.; Nocentini, A.; Gratteri, P.; Ibrahim, E.S.; Abdel-Aziz, H.A.; Supuran, C.T. Dual-tail arylsulfone-based benzenesulfonamides differently match the hydrophobic and hydrophilic halves of human carbonic anhydrases active sites: Selective inhibitors for the tumor-associated hCA IX isoform. Eur. J. Med. Chem. 2018, 152, 1–9. [Google Scholar] [CrossRef] [PubMed]
- Lomelino, C.L.; Mahon, B.P.; McKenna, R.; Carta, F.; Supuran, C.T. Kinetic and X-ray crystallographic investigations on carbonic anhydrase isoforms I, II, IX and XII of a thioureido analog of SLC-0111. Bioorg. Med. Chem. 2016, 24, 976–981. [Google Scholar] [CrossRef]
- Awadallah, F.M.; El-Waei, T.A.; Hanna, M.M.; Abbas, S.E.; Ceruso, M.; Oz, B.E.; Guler, O.O.; Supuran, C.T. Synthesis, carbonic anhydrase inhibition and cytotoxic activity of novel chromone-based sulfonamide derivatives. Eur. J. Med. Chem. 2015, 96, 425–435. [Google Scholar] [CrossRef]
- Abo-Ashour, M.F.; Eldehna, W.M.; Nocentini, A.; Ibrahim, H.S.; Bua, S.; Abdel-Aziz, H.A.; Abou-Seri, S.M.; Supuran, C.T. Novel synthesized SLC-0111 thiazole and thiadiazole analogues: Determination of their carbonic anhydrase inhibitory activity and molecular modeling studies. Bioorg. Chem. 2019, 87, 794–802. [Google Scholar] [CrossRef]
- Lolak, N.; Akocak, S.; Bua, S.; Sanku, R.K.K.; Supuran, C.T. Discovery of new ureido benzenesulfonamides incorporating 1,3,5-triazine moieties as carbonic anhydrase I, II, IX and XII inhibitors. Bioorg. Med. Chem. 2019, 27, 1588–1594. [Google Scholar] [CrossRef] [PubMed]
- Liu, L.; Wang, W.; Huang, J.; Zhao, Z.; Li, H.; Xu, Y. Novel benzoyl thioureido benzene sulfonamides as highly potent and selective inhibitors of carbonic anhydrase IX: Optimization and bioactive studies. MedChemComm 2018, 9, 2100–2105. [Google Scholar] [CrossRef] [PubMed]
- Swain, B.; Sahoo, S.K.; Singh, P.; Angeli, A.; Yaddanapudi, V.M.; Supuran, C.T.; Arifuddin, M. Exploration of 2-phenylquinoline-4-carboxamide linked benzene sulfonamide derivatives as isoform selective inhibitors of transmembrane human carbonic anhydrases. Eur. J. Med. Chem. 2022, 234, 114247. [Google Scholar] [CrossRef] [PubMed]
- Elimam, D.M.; Elgazar, A.A.; Bonardi, A.; Abdelfadil, M.; Nocentini, A.; El-Domany, R.A.; Abdel-Aziz, H.A.; Badria, F.A.; Supuran, C.T.; Eldehna, W.M. Natural inspired piperine-based sulfonamides and carboxylic acids as carbonic anhydrase inhibitors: Design, synthesis and biological evaluation. Eur. J. Med. Chem. 2021, 225, 113800. [Google Scholar] [CrossRef]
- Elimam, D.M.; Eldehna, W.M.; Salem, R.; Bonardi, A.; Nocentini, A.; Al-Rashood, S.T.; Elaasser, M.M.; Gratteri, P.; Supuran, C.T.; Allam, H.A. Natural inspired ligustrazine-based SLC-0111 analogues as novel carbonic anhydrase inhibitors. Eur. J. Med. Chem. 2022, 228, 114008. [Google Scholar] [CrossRef]
- Hou, Z.; Lin, B.; Bao, Y.; Yan, H.; Zhang, M.; Chang, X.; Zhang, X.; Wang, Z.; Wei, G.; Cheng, M.; et al. Dual-tail approach to discovery of novel carbonic anhydrase IX inhibitors by simultaneously matching the hydrophobic and hydrophilic halves of the active site. Eur. J. Med. Chem. 2017, 132, 1–10. [Google Scholar] [CrossRef] [PubMed]
- Kopecka, J.; Campia, I.; Jacobs, A.; Frei, A.P.; Ghigo, D.; Wollscheid, B.; Riganti, C. Carbonic anhydrase XII is a new therapeutic target to overcome chemoresistance in cancer cells. Oncotarget 2015, 6, 6776–6793. [Google Scholar] [CrossRef] [PubMed]
- Ashnagar, A.; Bruce, J.M. Synthesis of 2-bis-(1-methylimidazol-2-yl)methoxycarbonyl-9,10-anthraquinone. Int. J. ChemTech Res. 2011, 3, 1937–1940. [Google Scholar]
- Supuran, C.T.; Scozzafava, A. Mechanism of action of carbonic anhydrase inhibitors: Compounds occluding the entrance of the active site. In Carbonic Anhydrases: Biochemistry and Pharmacology of an Evergreen Pharmaceutical Target; Academic Press: Cambridge, MA, USA, 2019; pp. 245–255. [Google Scholar]
- Arabaci, B.; Gulcin, I.; Alwasel, S. Capsaicin: A potent inhibitor of carbonic anhydrase isoenzymes. Molecules 2014, 19, 10103–10114. [Google Scholar] [CrossRef]
- Pocker, Y.; Stone, J.T. The Catalytic Versatility of Erythrocyte CarbonicAnhydrase. III. Kinetic Studies of the Enzyme-Catalyzed Hydrolysis of p-Nitrophenyl Acetate. Biochemistry 1967, 6, 668–678. [Google Scholar] [CrossRef]
- Verpoorte, J.A.; Mehta, S.; Edsall, J.T. Esterase Activities of Human Carbonic Anhydrases B and C. J. Biol. Chem. 1967, 242, 4221–4229. [Google Scholar] [CrossRef] [PubMed]
- Idrees, D.; Hadianawala, M.; Mahapatra, A.D.; Datta, B.; Roy, S.; Ahamad, S.; Khan, P.; Imtaiyaz Hassan, M. Implication of sulfonylurea derivatives as prospective inhibitors of human carbonic anhydrase II. Int. J. Biol. Macromol. 2018, 115, 961–969. [Google Scholar] [CrossRef] [PubMed]
- Li, F.R.; Fan, Z.F.; Qi, S.J.; Wang, Y.S.; Wang, J.; Liu, Y.; Cheng, M.S. Design, Synthesis, Molecular Docking Analysis, and Carbonic Anhydrase IX Inhibitory Evaluations of Novel N-Substituted-β-d-Glucosamine Derivatives that Incorporate Benzenesulfonamides. Molecules 2017, 22, 785. [Google Scholar] [CrossRef] [PubMed]
- Truppo, E.; Supuran, C.T.; Sandomenico, A.; Vullo, D.; Innocenti, A.; Di Fiore, A.; Alterio, V.; De Simone, G.; Monti, S.M. Carbonic anhydrase VII is S-glutathionylated without loss of catalytic activity and affinity for sulfonamide inhibitors. Bioorg. Med. Chem. Lett. 2012, 22, 1560–1564. [Google Scholar] [CrossRef] [PubMed]
- Yoshikawa, N.; Hutchison, G.R. Fast, efficient fragment-based coordinate generation for Open Babel. J. Cheminformatics 2019, 11, 49. [Google Scholar] [CrossRef] [PubMed]
- Santos-Martins, D.; Forli, S.; Ramos, M.J.; Olson, A.J. AutoDock4Zn: An Improved AutoDock Force Field for Small-Molecule Docking to Zinc Metalloproteins. J. Chem. Inf. Model. 2014, 54, 2371–2379. [Google Scholar] [CrossRef] [PubMed]
- Eberhardt, J.; Santos-Martins, D.; Tillack, A.F.; Forli, S. AutoDock Vina 1.2.0: New Docking Methods, Expanded Force Field, and Python Bindings. J. Chem. Inf. Model. 2021, 61, 3891–3898. [Google Scholar] [CrossRef] [PubMed]
- Adasme, M.F.; Linnemann, K.L.; Bolz, S.N.; Kaiser, F.; Salentin, S.; Haupt, V.J.; Schroeder, M. PLIP 2021: Expanding the scope of the protein–ligand interaction profiler to DNA and RNA. Nucleic Acids Res. 2021, 49, 530–534. [Google Scholar] [CrossRef]
- Daina, A.; Michielin, O.; Zoete, V. SwissADME: A free web tool to evaluate pharmacokinetics, drug-likeness and medicinal chemistry friendliness of small molecules. Sci. Rep. 2017, 7, 42717. [Google Scholar] [CrossRef]
- Daina, A.; Zoete, V. Cover Picture: A BOILED-Egg To Predict Gastrointestinal Absorption and Brain Penetration of Small Molecules (ChemMedChem 11/2016). ChemMedChem 2016, 11, 1109. [Google Scholar] [CrossRef]










![]() | ![]() | ||||
|---|---|---|---|---|---|
| 5a–n | 6a–e, h–k | ||||
| Compound | m-/p-1 | n | R | IC50(nM) 2 | |
| hCA II | hCA IX | ||||
| 5a | p- | 0 | -COOH | 113.08 | 216.89 |
| 5b | m- | 0 | -COOH | 134.90 | 254.17 |
| 5c | p- | 0 | -SO2NH2 | 41.58 | 40.58 |
| 5d | m- | 0 | -SO2NH2 | 64.34 | 73.56 |
| 5e | p- | 0 | -COCH3 | 132.38 | 274.81 |
| 5f | p- | 0 | -COOCH3 | 147.28 | 189.52 |
| 5g | m- | 0 | -COOCH3 | 237.54 | 251.03 |
| 5h | p- | 2 | -SO2NH2 | 21.19 | 46.19 |
| 5i | p- | 0 | -SO2NHCH3 | 76.70 | 100.25 |
| 5j | p- | 0 | ![]() | 87.68 | 77.67 |
| 5k | p- | 0 | -SO2NHCOCH3 | 155.91 | 226.58 |
| 5l | p- | 0 | ![]() | 74.21 | 68.78 |
| 5m | p- | 0 | ![]() | 95.90 | 71.02 |
| 5n | p- | 0 | ![]() | 98.41 | 102.54 |
| 6a | p- | 0 | -COOH | 295.94 | 194.02 |
| 6b | m- | 0 | -COOH | 273.78 | 165.92 |
| 6c | p- | 0 | -SO2NH2 | 68.34 | 34.88 |
| 6d | m- | 0 | -SO2NH2 | 91.16 | 55.87 |
| 6e | p- | 0 | -COCH3 | 262.04 | 167.58 |
| 6h | p- | 2 | -SO2NH2 | 61.76 | 30.06 |
| 6i | p- | 0 | -SO2NHCH3 | 172.07 | 110.05 |
| 6j | p- | 0 | ![]() | 189.50 | 61.18 |
| 6k | p- | 0 | -SO2NHCOCH3 | 170.48 | 140.16 |
| AAZ 3 | - | - | - | 26.81 | 49.31 |
| Compound | IC50 (µM) 1 | |||||
|---|---|---|---|---|---|---|
| MDA-MB-231 | MCF-7 | HepG2 | ||||
| Normo | Hypo | Normo | Hypo | Normo | Hypo | |
| 5c | 48.10 ± 3.23 | 46.23 ± 3.93 | 34.33 ± 2.85 | 28.12 ± 1.72 | 61.36 ± 5.75 | 69.43 ± 5.16 |
| 5h | 75.25 ± 6.81 | 81.2 ± 7.34 | 63.84 ± 5.57 | 57.43 ± 5.50 | 81.41 ± 7.03 | 80.41 ± 7.14 |
| 6c | 56.34 ± 4.19 | 61.56 ± 5.13 | 50.44 ± 4.73 | 47.04 ± 4.01 | 68.78 ± 4.17 | 62.78 ± 5.52 |
| 6h | 54.23 ± 4.87 | 50.35 ± 4.27 | 41.36 ± 2.22 | 30.31 ± 3.14 | 58.23 ± 5.45 | 54.33 ± 5.15 |
| Staurosporine | 10.30 ± 0.51 | 10.55 ± 0.84 | 7.81 ± 0.59 | 7.65 ± 0.73 | 18.71 ± 1.45 | 17.78 ± 0.97 |
| Cell Line | Compound | Cell Viability (Lower Left %) | Total Apoptosis (L.R% + U.R%) |
|---|---|---|---|
| MDA-MB-231 | Control | 93.54 ± 1.77 | 5.23 ± 1.46 |
| 5c | 68.88 ± 2.30 | 27.26 ± 1.76 | |
| MCF-7 | Control | 96.88 ± 0.91 | 2.21 ± 0.84 |
| 5c | 51.77 ± 2.80 | 43.37 ± 3.92 | |
| HepG2 | Control | 92.94 ± 1.76 | 5.75 ± 1.42 |
| 5c | 70.12 ± 2.84 | 25.06 ± 2.01 |
Disclaimer/Publisher’s Note: The statements, opinions and data contained in all publications are solely those of the individual author(s) and contributor(s) and not of MDPI and/or the editor(s). MDPI and/or the editor(s) disclaim responsibility for any injury to people or property resulting from any ideas, methods, instructions or products referred to in the content. |
© 2024 by the authors. Licensee MDPI, Basel, Switzerland. This article is an open access article distributed under the terms and conditions of the Creative Commons Attribution (CC BY) license (https://creativecommons.org/licenses/by/4.0/).
Share and Cite
Wu, S.; Zhou, X.; Li, F.; Sun, W.; Zheng, Q.; Liang, D. Novel Anthraquinone-Based Benzenesulfonamide Derivatives and Their Analogues as Potent Human Carbonic Anhydrase Inhibitors with Antitumor Activity: Synthesis, Biological Evaluation, and In Silico Analysis. Int. J. Mol. Sci. 2024, 25, 3348. https://doi.org/10.3390/ijms25063348
Wu S, Zhou X, Li F, Sun W, Zheng Q, Liang D. Novel Anthraquinone-Based Benzenesulfonamide Derivatives and Their Analogues as Potent Human Carbonic Anhydrase Inhibitors with Antitumor Activity: Synthesis, Biological Evaluation, and In Silico Analysis. International Journal of Molecular Sciences. 2024; 25(6):3348. https://doi.org/10.3390/ijms25063348
Chicago/Turabian StyleWu, Shanshan, Xiaoping Zhou, Fei Li, Wei Sun, Qingchuan Zheng, and Di Liang. 2024. "Novel Anthraquinone-Based Benzenesulfonamide Derivatives and Their Analogues as Potent Human Carbonic Anhydrase Inhibitors with Antitumor Activity: Synthesis, Biological Evaluation, and In Silico Analysis" International Journal of Molecular Sciences 25, no. 6: 3348. https://doi.org/10.3390/ijms25063348
APA StyleWu, S., Zhou, X., Li, F., Sun, W., Zheng, Q., & Liang, D. (2024). Novel Anthraquinone-Based Benzenesulfonamide Derivatives and Their Analogues as Potent Human Carbonic Anhydrase Inhibitors with Antitumor Activity: Synthesis, Biological Evaluation, and In Silico Analysis. International Journal of Molecular Sciences, 25(6), 3348. https://doi.org/10.3390/ijms25063348








