The Crucial Role of SlGSNOR in Regulating Postharvest Tomato Fruit Ripening
Abstract
1. Introduction
2. Results
2.1. GSNOR Inhibitor and NO Donor Delayed Postharvest Tomato Fruit Ripening through Regulating Pigment Metabolisms
2.2. GSNOR Inhibitor- and NO Donor-Delayed Postharvest Tomato Fruit Ripening through Regulating Fruit Firmness
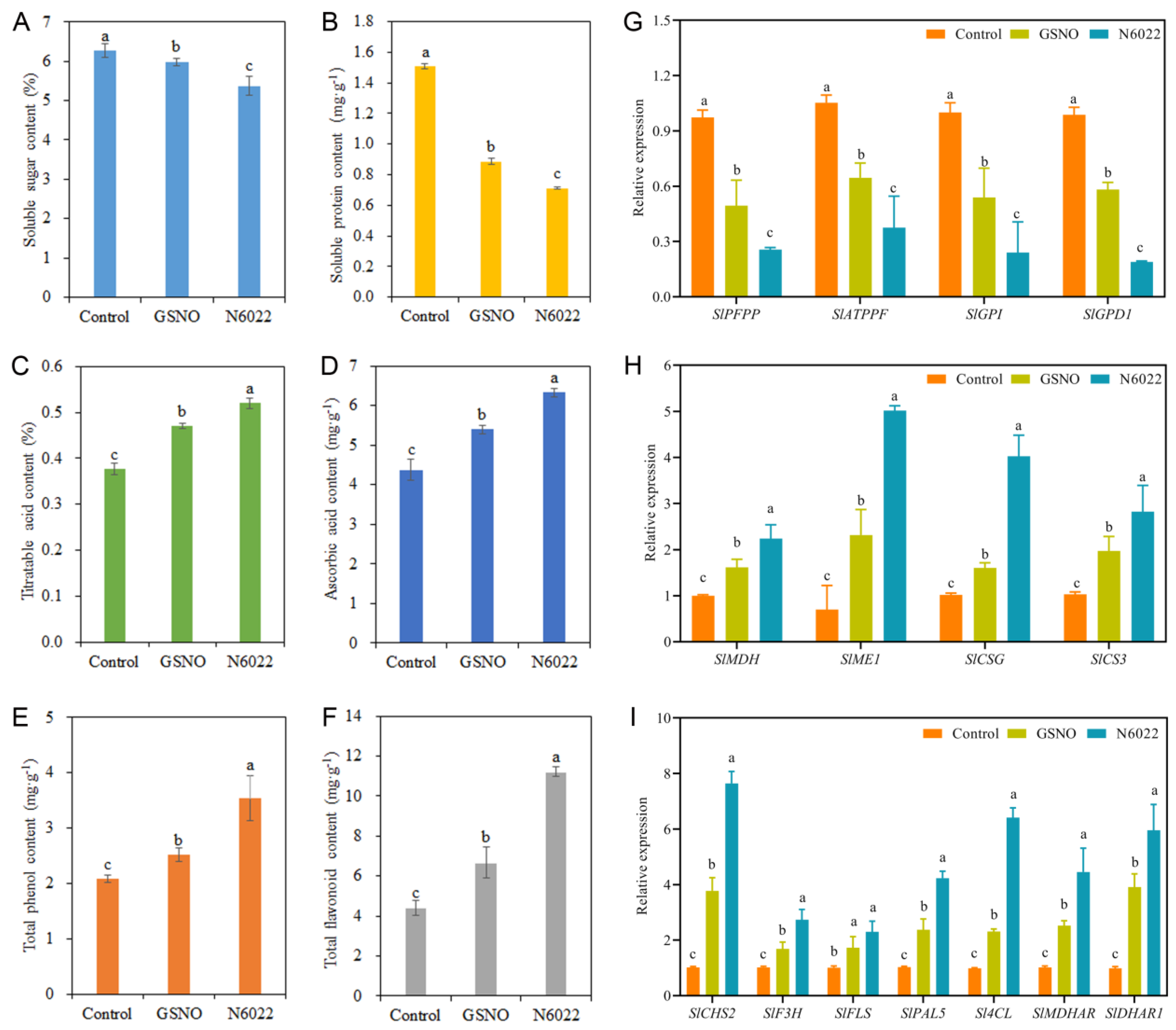
2.3. GSNOR Inhibitor- and NO Donor-Altered Nutrient Contents in Postharvest Tomato Fruit
2.4. GSNOR Inhibitor- and NO Donor-Enhanced Endogenous NO Content in Postharvest Tomato Fruit
2.5. Silencing of SlGSNOR-Enhanced NO Content in Postharvest Tomato Fruit
2.6. Silencing of SlGSNOR-Suppressed Postharvest Tomato Fruit Ripening
2.7. Silencing of SlGSNOR-Influenced Different Nutrient Contents in Postharvest Tomato Fruit
3. Discussion
4. Materials and Methods
4.1. Plant Materials and Treatments
4.2. Virus-Induced Gene Silencing (VIGS) of SlGSNOR
4.3. Detection of SlGSNOR Enzyme Activity
4.4. Determination of SNOs and NO Contents
4.5. Measurement of Fruit Chromatic Aberration and Firmness
4.6. Measurement of Nutritional Phenotypes
4.7. Detection of Fruit Pigment Contents
4.8. Determination of Chlorophyll and Nutrition-Related Enzyme Activity
4.9. qRT-PCR Analysis
4.10. Statistical Analysis
5. Conclusions
Supplementary Materials
Author Contributions
Funding
Institutional Review Board Statement
Informed Consent Statement
Data Availability Statement
Conflicts of Interest
References
- Adhikary, T.; Gill, P.P.S.; Jawandha, S.K.; Bhardwaj, R.D.; Anurag, R.K. Efficacy of postharvest sodium nitroprusside application to extend storability by regulating physico-chemical quality of pear fruit. Food Chem. 2021, 346, 128934. [Google Scholar] [CrossRef] [PubMed]
- Guo, Q.; Wu, B.; Chen, W.; Zhang, Y.; Wang, J.; Li, X. Effects of nitric oxide treatment on the cell wall softening related enzymes and several hormones of papaya fruit during storage. Food Sci. Technol. Int. 2014, 20, 309–317. [Google Scholar] [CrossRef]
- Klee, H.J.; Giovannoni, J.J. Genetics and control of tomato fruit ripening and quality attributes. Annu. Rev. Genet. 2011, 45, 41–59. [Google Scholar] [CrossRef] [PubMed]
- Zhou, M.; Gong, X.; Ying, W.; Chao, L.; Hong, M.; Wang, L.; Fashui, H. Cerium relieves the inhibition of chlorophyll biosynthesis of maize caused by magnesium deficiency. Biol. Trace Elem. Res. 2011, 143, 468–477. [Google Scholar] [CrossRef] [PubMed]
- Pandurangaiah, S.; Ravishankar, K.V.; Shivashankar, K.S.; Sadashiva, A.T.; Pillakenchappa, K.; Narayanan, S.K. Differential expression of carotenoid biosynthetic pathway genes in two contrasting tomato genotypes for lycopene content. J. Biosci. 2016, 41, 257–264. [Google Scholar] [CrossRef] [PubMed]
- Sun, Q.; Zhang, N.; Wang, J.; Zhang, H.; Li, D.; Shi, J.; Li, R.; Weeda, S.; Zhao, B.; Ren, S.; et al. Melatonin promotes ripening and improves quality of tomato fruit during postharvest life. J. Exp. Bot. 2015, 66, 657–668. [Google Scholar] [CrossRef] [PubMed]
- Paponov, M.; Kechasov, D.; Lacek, J.; Verheul, M.J.; Paponov, I.A. Supplemental light-emitting diode inter-lighting increases tomato fruit growth through enhanced photosynthetic light use efficiency and modulated root activity. Front. Plant Sci. 2020, 10, 1656. [Google Scholar] [CrossRef]
- Quinet, M.; Angosto, T.; Yuste-Lisbona, F.J.; Blanchard-Gros, R.; Bigot, S.; Martinez, J.P.; Lutts, S. Tomato fruit development and metabolism. Front. Plant Sci. 2019, 10, 1554. [Google Scholar] [CrossRef]
- Opatrilova, R.; Kubatka, P.; Caprnda, M.; Büsselberg, D.; Krasnik, V.; Vesely, P.; Saxena, S.; Ruia, S.; Mozos, I.; Rodrigo, L.; et al. Nitric oxide in the pathophysiology of retinopathy: Evidences from preclinical and clinical researches. Acta Ophthalmol. 2018, 96, 222–231. [Google Scholar] [CrossRef]
- Zhu, S.; Sun, L.; Zhou, J. Effects of nitric oxide fumigation on phenolic metabolism of postharvest chinese winter jujube (Zizyphus Jujuba Mill. Cv. Dongzao) in relation to fruit quality. LWT-Food Sci. Technol. 2009, 42, 1009–1014. [Google Scholar] [CrossRef]
- Hussain, A.; Yun, B.-W.; Kim, J.H.; Gupta, K.J.; Hyung, N.-I.; Loake, G.J. Novel and conserved functions of S-nitrosoglutathione reductase in tomato. J. Exp. Bot. 2019, 70, 4877–4886. [Google Scholar] [CrossRef] [PubMed]
- Borges Araujo, A.J.; Cerruti, G.V.; Zuccarelli, R.; Rodriguez Ruiz, M.; Freschi, L.; Singh, R.; Moerschbacher, B.M.; Floh, E.I.S.; Wendt Dos Santos, A.L. Proteomic analysis of S-nitrosation sites during somatic embryogenesis in Brazilian pine, Araucaria angustifolia (Bertol.) Kuntze. Front. Plant Sci. 2022, 13, 902068. [Google Scholar] [CrossRef]
- Astier, J.; Rasul, S.; Koen, E.; Manzoor, H.; Besson-Bard, A.; Lamotte, O.; Jeandroz, S.; Durner, J.; Lindermayr, C.; Wendehenne, D. S-nitrosylation: An emerging post-translational protein modification in plants. Plant Sci. 2011, 181, 527–533. [Google Scholar] [CrossRef] [PubMed]
- Barnett, S.D.; Buxton, I.L.O. The role of S-nitrosoglutathione reductase (GSNOR) in human disease and therapy. Crit. Rev. Biochem. Mol. Biol. 2017, 52, 340–354. [Google Scholar] [CrossRef] [PubMed]
- Corpas, F.J.; Freschi, L.; Rodríguez-Ruiz, M.; Mioto, P.T.; González-Gordo, S.; Palma, J.M. Nitro-Oxidative Metabolism during Fruit Ripening. J. Exp. Bot. 2018, 69, 3449–3463. [Google Scholar] [CrossRef]
- Liu, L.; Yan, Y.; Zeng, M.; Zhang, J.; Hanes, M.A.; Ahearn, G.; McMahon, T.J.; Dickfeld, T.; Marshall, H.E.; Que, L.G.; et al. Essential roles of S-nitrosothiols in vascular homeostasis and endotoxic shock. Cell 2004, 116, 617–628. [Google Scholar] [CrossRef] [PubMed]
- Yan, Y.; Shi, Q.; Gong, B. S-nitrosoglutathione reductase-mediated nitric oxide affects axillary buds outgrowth of Solanum lycopersicum L. by regulating auxin and cytokinin signaling. Plant Cell Physiol. 2021, 62, 458–471. [Google Scholar] [CrossRef] [PubMed]
- Rasool, G.; Buchholz, G.; Yasmin, T.; Shabbir, G.; Abbasi, N.A.; Malik, S.I. Overexpression of SlGSNOR impairs in vitro shoot proliferation and developmental architecture in tomato but confers enhanced disease resistance. J. Plant Physiol. 2021, 261, 153433. [Google Scholar] [CrossRef]
- Bodanapu, R.; Gupta, S.K.; Basha, P.O.; Sakthivel, K.; Sadhana; Sreelakshmi, Y.; Sharma, R. Nitric oxide overproduction in tomato shr mutant shifts metabolic profiles and suppresses fruit growth and ripening. Front. Plant Sci. 2016, 7, 1714. [Google Scholar] [CrossRef]
- Gong, B.; Yan, Y.; Zhang, L.; Cheng, F.; Liu, Z.; Shi, Q. Unravelling GSNOR-mediated S-nitrosylation and multiple developmental programs in tomato plants. Plant Cell Physiol. 2019, 60, 2523–2537. [Google Scholar] [CrossRef]
- Ma, Y.; Fu, L.; Hussain, Z.; Huang, D.; Zhu, S. Enhancement of storability and antioxidant systems of sweet cherry fruit by nitric oxide-releasing chitosan nanoparticles (GSNO-CS NPs). Food Chem. 2019, 285, 10–21. [Google Scholar] [CrossRef] [PubMed]
- Rodríguez-Ruiz, M.; Mioto, P.; Palma, J.M.; Corpas, F.J. S-nitrosoglutathione reductase (GSNOR) activity is down-regulated during pepper (Capsicum Annuum L.) fruit ripening. Nitric Oxide 2017, 68, 51–55. [Google Scholar] [CrossRef]
- Yu, Z.; Cao, J.; Zhu, S.; Zhang, L.; Peng, Y.; Shi, J. Exogenous nitric oxide enhances disease resistance by nitrosylation and inhibition of S-nitrosoglutathione reductase in peach fruit. Front. Plant Sci. 2020, 11, 543. [Google Scholar] [CrossRef] [PubMed]
- Matamoros, M.A.; Cutrona, M.C.; Wienkoop, S.; Begara-Morales, J.C.; Sandal, N.; Orera, I.; Barroso, J.B.; Stougaard, J.; Becana, M. Altered Plant and Nodule Development and Protein S-Nitrosylation in Lotus Japonicus Mutants Deficient in S-Nitrosoglutathione Reductases. Plant Cell Physiol. 2020, 61, 105–117. [Google Scholar] [CrossRef] [PubMed]
- Zuccarelli, R.; Rodríguez-Ruiz, M.; Silva, F.O.; Gomes, L.D.L.; Lopes-Oliveira, P.J.; Zsögön, A.; Andrade, S.C.S.; Demarco, D.; Corpas, F.J.; Peres, L.E.P.; et al. Loss of S-nitrosoglutathione reductase disturbs phytohormone homeostasis and regulates shoot side branching and fruit growth in tomato. J. Exp. Bot. 2023, 74, 6349–6368. [Google Scholar] [CrossRef] [PubMed]
- Kubienová, L.; Kopečný, D.; Tylichová, M.; Briozzo, P.; Skopalová, J.; Šebela, M.; Navrátil, M.; Tâche, R.; Luhová, L.; Barroso, J.B.; et al. Structural and functional characterization of a plant S-nitrosoglutathione reductase from Solanum Lycopersicum. Biochimie 2013, 95, 889–902. [Google Scholar] [CrossRef]
- Wang, J.; Yuan, H.; Wu, Y.; Yu, J.; Ali, B.; Zhang, J.; Tang, Z.; Xie, J.; Lyu, J.; Liao, W. Application of 5-aminolevulinic acid promotes ripening and accumulation of primary and secondary metabolites in postharvest tomato fruit. Front. Nutr. 2022, 9, 1036843. [Google Scholar] [CrossRef]
- Li, G.; Qin, B.; Li, S.; Yin, Y.; Zhao, J.; An, W.; Cao, Y.; Mu, Z. LbNR-derived nitric oxide delays Lycium fruit coloration by transcriptionally modifying flavonoid biosynthetic pathway. Front. Plant Sci. 2020, 11, 1215. [Google Scholar] [CrossRef]
- Wang, L.; Lin, R.; Xu, J.; Song, J.; Shao, S.; Yu, J.; Zhou, Y. High nitric oxide concentration inhibits photosynthetic pigment biosynthesis by promoting the degradation of transcription factor HY5 in tomato. Int. J. Mol. Sci. 2022, 23, 6027. [Google Scholar] [CrossRef]
- Zuccarelli, R.; Rodríguez-Ruiz, M.; Lopes-Oliveira, P.J.; Pascoal, G.B.; Andrade, S.C.S.; Furlan, C.M.; Purgatto, E.; Palma, J.M.; Corpas, F.J.; Rossi, M.; et al. Multifaceted roles of nitric oxide in tomato fruit ripening: NO-induced metabolic rewiring and consequences for fruit quality traits. J. Exp. Bot. 2021, 72, 941–958. [Google Scholar] [CrossRef]
- Peng, M.; Chen, Z.; Zhang, L.; Wang, Y.; Zhu, S.; Wang, G. Preharvest application of sodium nitroprusside alleviates yellowing of Chinese flowering cabbage via modulating chlorophyll metabolism and suppressing ROS accumulation. J. Agric. Food Chem. 2023, 71, 9280–9290. [Google Scholar] [CrossRef] [PubMed]
- Qi, X.; Ji, Z.; Lin, C.; Li, S.; Liu, J.; Kan, J.; Zhang, M.; Jin, C.; Qian, C. Nitric oxide alleviates lignification and softening of water bamboo (Zizania Latifolia) shoots during postharvest storage. Food Chem. 2020, 332, 127416. [Google Scholar] [CrossRef] [PubMed]
- Cheng, G.; Yang, E.; Lu, W.; Jia, Y.; Jiang, Y.; Duan, X. Effect of nitric oxide on ethylene synthesis and softening of banana fruit slice during ripening. J. Agric. Food Chem. 2009, 57, 5799–5804. [Google Scholar] [CrossRef] [PubMed]
- Yang, Z.; Zhu, S.; Wang, X.; Chen, C.; Huang, D.; Feng, J. Nitric oxide modulates folate-mediated one-carbon metabolism and mitochondrial energy levels of peaches during cold storage. Front. Nutr. 2023, 10, 1184736. [Google Scholar] [CrossRef] [PubMed]
- Saladié, M.; Matas, A.J.; Isaacson, T.; Jenks, M.A.; Goodwin, S.M.; Niklas, K.J.; Xiaolin, R.; Labavitch, J.M.; Shackel, K.A.; Fernie, A.R.; et al. A reevaluation of the key factors that influence tomato fruit softening and integrity. Plant Physiol. 2007, 144, 1012–1028. [Google Scholar] [CrossRef] [PubMed]
- Martina, M.; Tikunov, Y.; Portis, E.; Bovy, A.G. The genetic basis of tomato aroma. Genes 2021, 12, 226. [Google Scholar] [CrossRef] [PubMed]
- Ortega, A.; Garrido, I.; Casimiro, I.; Espinosa, F. Effects of antimony on redox activities and antioxidant defence systems in sunflower (Helianthus Annuus L.) plants. PLoS ONE 2017, 12, e0183991. [Google Scholar] [CrossRef]
- Manai, J.; Gouia, H.; Corpas, F.J. Redox and nitric oxide homeostasis are affected in tomato (Solanum lycopersicum) roots under salinity-induced oxidative stress. J. Plant Physiol. 2014, 171, 1028–1035. [Google Scholar] [CrossRef]
- Zhou, Y.; Li, S.; Zeng, K. Exogenous Nitric oxide-induced postharvest disease resistance in citrus fruit to Colletotrichum gloeosporioides. J. Sci. Food Agric. 2016, 96, 505–512. [Google Scholar] [CrossRef]
- Dai, Y.; Xie, H.; Zhao, X.; Zheng, Y. The effect of sodium nitroprusside treatment on storage ability of fresh-cut potato. Foods 2023, 12, 221. [Google Scholar] [CrossRef]
- Ul Haq, A.; Lateef Lone, M.; Farooq, S.; Parveen, S.; Altaf, F.; Tahir, I.; Ingo Hefft, D.; Ahmad, A.; Ahmad, P. Nitric oxide effectively orchestrates postharvest flower senescence: A case study of Consolida ajacis. Funct. Plant Biol. 2021, 50, 97–107. [Google Scholar] [CrossRef] [PubMed]
- Kaur, G.; Abugu, M.; Tieman, D. The dissection of tomato flavor: Biochemistry, genetics, and omics. Front. Plant Sci. 2023, 14, 1144113. [Google Scholar] [CrossRef] [PubMed]
- Zheng, W.; Liu, Y.; Pan, S.; Yuan, W.; Dai, Y.; Wei, J. Involvements of S-nitrosylation and denitrosylation in the production of polyphenols by Inonotus Obliquus. Appl. Microbiol. Biot. 2011, 90, 1763–1772. [Google Scholar] [CrossRef] [PubMed]
- Ren, Y.; Xue, Y.; Tian, D.; Zhang, L.; Xiao, G.; He, J. Improvement of postharvest anthracnose resistance in mango fruit by nitric oxide and the possible mechanisms involved. J. Agric. Food Chem. 2020, 68, 15460–15467. [Google Scholar] [CrossRef] [PubMed]
- Jahnová, J.; Luhová, L.; Petřivalský, M. S-nitrosoglutathione reductase-The master regulator of protein S-nitrosation in plant NO signaling. Plants 2019, 8, 48. [Google Scholar] [CrossRef] [PubMed]
- Wang, X.; Cao, J.; Qiao, J.; Pan, J.; Zhang, S.; Li, Q.; Wang, Q.; Gong, B.; Shi, J. GABA Keeps nitric oxide in balance by regulating GSNOR to enhance disease resistance of harvested tomato against Botrytis cinerea. Food Chem. 2022, 392, 133299. [Google Scholar] [CrossRef] [PubMed]
- Lv, X.; Ge, S.; Jalal Ahammed, G.; Xiang, X.; Guo, Z.; Yu, J.; Zhou, Y. Crosstalk between nitric oxide and MPK1/2 mediates cold acclimation-induced chilling tolerance in tomato. Plant Cell Physiol. 2017, 58, 1963–1975. [Google Scholar] [CrossRef]
- Zuccarelli, R.; Coelho, A.C.P.; Peres, L.E.P.; Freschi, L. Shedding light on NO homeostasis: Light as a key regulator of glutathione and nitric oxide metabolisms during seedling deetiolation. Nitric Oxide 2017, 68, 77–90. [Google Scholar] [CrossRef]
- Gao, X.; Ma, J.; Tie, J.; Li, Y.; Hu, L.; Yu, J. BR-mediated protein S-nitrosylation alleviated low-temperature stress in mini Chinese cabbage (Brassica Rapa Ssp. Pekinensis). Int. J. Mol. Sci. 2022, 23, 10964. [Google Scholar] [CrossRef]
- Zhu, Y.; Liao, W.; Niu, L.; Wang, M.; Ma, Z. Nitric oxide is involved in hydrogen gas-induced cell cycle activation during adventitious root formation in cucumber. BMC Plant Biol. 2016, 16, 146. [Google Scholar] [CrossRef]
- Zhang, Y.; Yun, F.; Man, X.; Huang, D.; Liao, W. Effects of hydrogen sulfide on sugar, organic acid, carotenoid, and polyphenol level in tomato fruit. Plants 2023, 12, 719. [Google Scholar] [CrossRef]
- El-Mergawi, R.A.; Al-Redhaiman, K.N.; Abouziena, H.F. Comparison of antioxidant activity and antioxidant components in lettuce, onion and tomato obtained with different levels and forms of nitrogen fertilization. J. Agric. Sci. Technol. 2014, 4, 597–604. [Google Scholar]
- Jiao, L.; Ding, H.; Wang, L.; Zhou, Q.; Huang, X. Bisphenol a effects on the chlorophyll contents in soybean at different growth stages. Environ. Pollut. 2017, 223, 426–434. [Google Scholar] [CrossRef]









Disclaimer/Publisher’s Note: The statements, opinions and data contained in all publications are solely those of the individual author(s) and contributor(s) and not of MDPI and/or the editor(s). MDPI and/or the editor(s) disclaim responsibility for any injury to people or property resulting from any ideas, methods, instructions or products referred to in the content. |
© 2024 by the authors. Licensee MDPI, Basel, Switzerland. This article is an open access article distributed under the terms and conditions of the Creative Commons Attribution (CC BY) license (https://creativecommons.org/licenses/by/4.0/).
Share and Cite
Liu, Z.; Huang, D.; Yao, Y.; Pan, X.; Zhang, Y.; Huang, Y.; Ding, Z.; Wang, C.; Liao, W. The Crucial Role of SlGSNOR in Regulating Postharvest Tomato Fruit Ripening. Int. J. Mol. Sci. 2024, 25, 2729. https://doi.org/10.3390/ijms25052729
Liu Z, Huang D, Yao Y, Pan X, Zhang Y, Huang Y, Ding Z, Wang C, Liao W. The Crucial Role of SlGSNOR in Regulating Postharvest Tomato Fruit Ripening. International Journal of Molecular Sciences. 2024; 25(5):2729. https://doi.org/10.3390/ijms25052729
Chicago/Turabian StyleLiu, Zesheng, Dengjing Huang, Yandong Yao, Xuejuan Pan, Yanqin Zhang, Yi Huang, Zhiqi Ding, Chunlei Wang, and Weibiao Liao. 2024. "The Crucial Role of SlGSNOR in Regulating Postharvest Tomato Fruit Ripening" International Journal of Molecular Sciences 25, no. 5: 2729. https://doi.org/10.3390/ijms25052729
APA StyleLiu, Z., Huang, D., Yao, Y., Pan, X., Zhang, Y., Huang, Y., Ding, Z., Wang, C., & Liao, W. (2024). The Crucial Role of SlGSNOR in Regulating Postharvest Tomato Fruit Ripening. International Journal of Molecular Sciences, 25(5), 2729. https://doi.org/10.3390/ijms25052729

