A Dinuclear Copper(II) Complex Electrochemically Obtained via the Endogenous Hydroxylation of a Carbamate Schiff Base Ligand: Synthesis, Structure and Catalase Activity
Abstract
1. Introduction
2. Results and Discussion
2.1. Synthesis and Characterization of the Schiff Base Ligand H2L
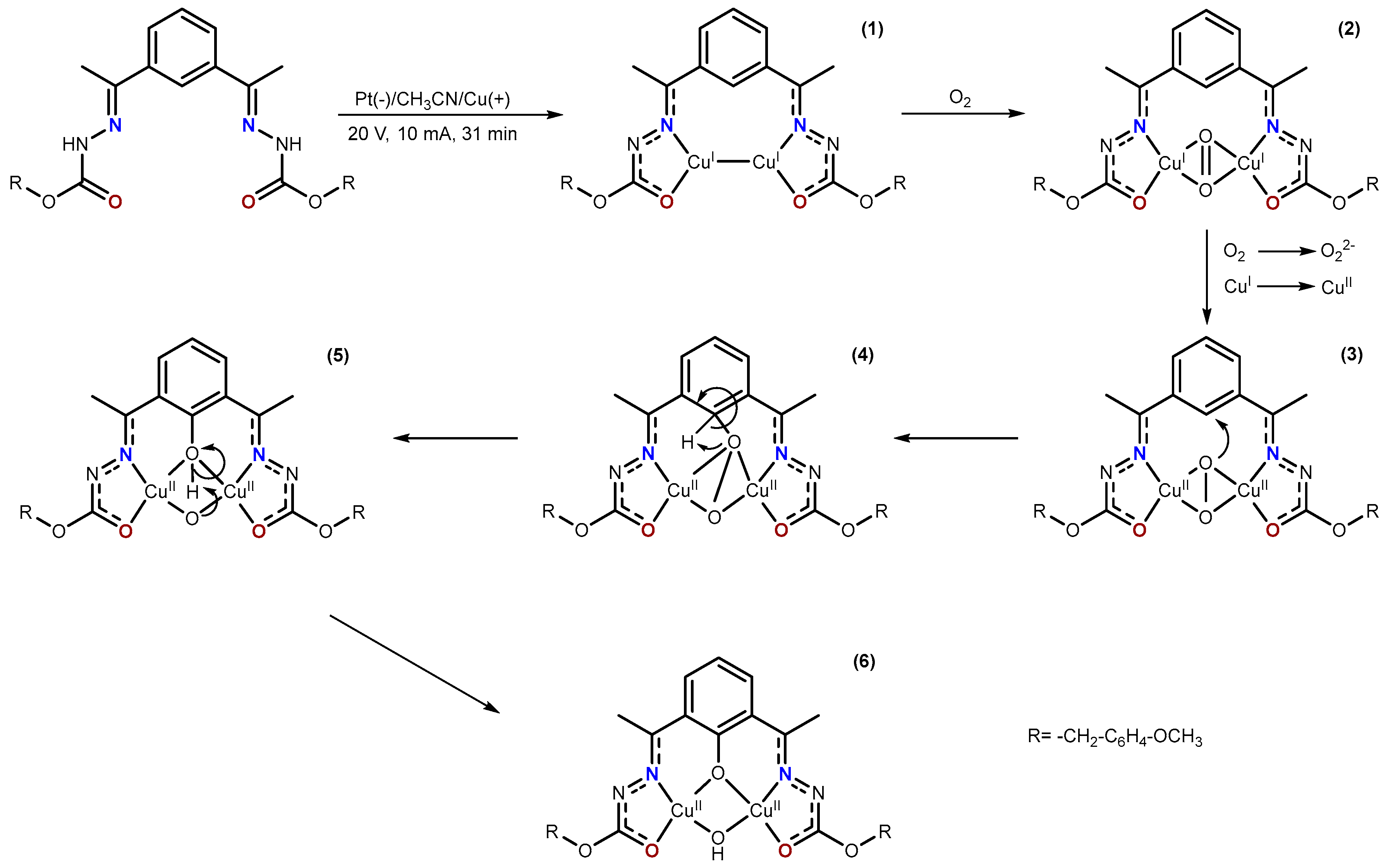
2.2. Synthesis and Characterization of the Copper Complex
X-ray Structure
2.3. Magnetic Studies
2.4. Catalase Activity of the Copper(II) Complex
3. Materials and Methods
3.1. Synthesis and Characterization of the Schiff Base Ligand H2L
3.2. Synthesis and Characterization of the Dinuclear Neutral Copper(II) Complex
3.3. X-ray Crystallography
3.4. Magnetic Susceptibility Measurements
3.5. Catalase Activity of the Copper(II) Complex
4. Conclusions
Supplementary Materials
Author Contributions
Funding
Institutional Review Board Statement
Informed Consent Statement
Data Availability Statement
Acknowledgments
Conflicts of Interest
References
- Halliwell, B.; Gutteridge, J.M. Free Radicals in Biology and Medicine; Oxford University Press: New York, NY, USA, 2015. [Google Scholar]
- Kohen, R.; Nyska, A. Oxidation of Biological Systems: Oxidative Stress Phenomena, Antioxidants, Redox Reactions, and Methods for Their Quantification. Toxicol. Pathol. 2002, 30, 620–650. [Google Scholar] [CrossRef]
- Sharma, P.; Jha, A.B.; Dubey, R.S.; Pessarakli, M. Reactive Oxygen Species, Oxidative Damage, and Antioxidative Defense Mechanism in Plants under Stressful Conditions. J. Bot. 2012, 2012, 217037. [Google Scholar] [CrossRef]
- Sies, H.; Jones, D.P. Reactive Oxygen Species (ROS) as Pleiotropic Physiological Signalling Agents. Nat Rev. Mol. Cell Biol. 2020, 21, 363–383. [Google Scholar] [CrossRef]
- Dröge, W. Free Radicals in the Physiological Control of Cell Function. Physiol. Rev. 2002, 82, 47–95. [Google Scholar] [CrossRef]
- Zou, Z.; Chang, H.; Li, H.; Wang, S. Induction of Reactive Oxygen Species: An Emerging Approach for Cancer Therapy. Apoptosis 2017, 22, 1321–1335. [Google Scholar] [CrossRef]
- Crapo, J.D.; Oury, T.; Rabouille, C.; Slot, J.W.; Chang, L.Y. Copper,Zinc Superoxide Dismutase Is Primarily a Cytosolic Protein in Human Cells. Proc. Natl. Acad. Sci. USA 1992, 89, 10405–10409. [Google Scholar] [CrossRef]
- Beauchamp, C.; Fridovich, I. Superoxide Dismutase: Improved Assays and an Assay Applicable to Acrylamide Gels. Anal. Biochem. 1971, 44, 276–287. [Google Scholar] [CrossRef]
- Keller, G.A.; Warner, T.G.; Steimer, K.S.; Hallewell, R.A. Cu,Zn Superoxide Dismutase Is a Peroxisomal Enzyme in Human Fibroblasts and Hepatoma Cells. Proc. Natl. Acad. Sci. USA 1991, 88, 7381–7385. [Google Scholar] [CrossRef]
- Liou, W.; Chang, L.Y.; Geuze, H.J.; Strous, G.J.; Crapo, J.D.; Slot, J.W. Distribution of CuZn Superoxide Dismutase in Rat Liver. Free Radic. Biol. Med. 1993, 14, 201–207. [Google Scholar] [CrossRef]
- Chang, L.Y.; Slot, J.W.; Geuze, H.J.; Crapo, J.D. Molecular Immunocytochemistry of the CuZn Superoxide Dismutase in Rat Hepatocytes. J. Cell Biol. 1988, 107, 2169–2179. [Google Scholar] [CrossRef]
- Barondeau, D.P.; Kassmann, C.J.; Bruns, C.K.; Tainer, J.A.; Getzoff, E.D. Nickel Superoxide Dismutase Structure and Mechanism. Biochemistry 2004, 43, 8038–8047. [Google Scholar] [CrossRef] [PubMed]
- Obinger, C. Catalases and Hydrogen Peroxide Metabolism. Arch. Biochem. Biophys. 2012, 525, 93–94. [Google Scholar] [CrossRef]
- Domínguez, L.; Sosa-Peinado, A.; Hansberg, W. Catalase Evolved to Concentrate H2O2 at Its Active Site. Arch. Biochem. Biophys. 2010, 500, 82–91. [Google Scholar] [CrossRef] [PubMed]
- Brigelius-Flohé, R.; Maiorino, M. Glutathione Peroxidases. Biochim. Biophys. Acta Gen. Subj. 2013, 1830, 3289–3303. [Google Scholar] [CrossRef]
- Tosatto, S.C.E.; Bosello, V.; Fogolari, F.; Mauri, P.; Roveri, A.; Toppo, S.; Flohé, L.; Ursini, F.; Maiorino, M. The Catalytic Site of Glutathione Peroxidases. Antioxid. Redox Signal 2008, 10, 1515–1525. [Google Scholar] [CrossRef]
- Fisher, A.E.O.; Maxwell, S.C.; Naughton, D.P. Catalase and Superoxide Dismutase Mimics for the Treatment of Inflammatory Diseases. Inorg. Chem. Commun. 2003, 6, 1205–1208. [Google Scholar]
- MacLean, L.; Karcz, D.; Jenkins, H.; McClean, S.; Devereux, M.; Howe, O.; Pereira, M.D.; May, N.V.; Enyedy, É.A.; Creaven, B.S. Copper(II) Complexes of Coumarin-Derived Schiff Base Ligands: Pro- or Antioxidant Activity in MCF-7 Cells? J. Inorg. Biochem. 2019, 197, 110702. [Google Scholar] [CrossRef]
- Tovmasyan, A.; Maia, C.G.C.; Weitner, T.; Carballal, S.; Sampaio, R.S.; Lieb, D.; Ghazaryan, R.; Ivanovic-Burmazovic, I.; Ferrer-Sueta, G.; Radi, R.; et al. A Comprehensive Evaluation of Catalase-like Activity of Different Classes of Redox-Active Therapeutics. Free Radic. Biol. Med. 2015, 86, 308–321. [Google Scholar] [CrossRef]
- Sigel, H. Catalase and Peroxidase Activity of Cu2+ Complexes. Angew. Chem. Int. Ed. 1969, 8, 167–177. [Google Scholar] [CrossRef]
- Kaizer, J.; Csay, T.; Speier, G.; Réglier, M.; Giorgi, M. Synthesis, Structure and Catalase-like Activity of Cu(N-Baa)2(Phen) (Phen = 1,10-Phenanthroline, N-BaaH = N-Benzoylanthranilic Acid). Inorg. Chem. Commun. 2006, 9, 1037–1039. [Google Scholar] [CrossRef]
- Ramadan, A.E.M.M. Syntheses and Characterization of New Tetraazamacrocyclic Copper(II) Complexes as a Dual Functional Mimic Enzyme (Catalase and Superoxide Dismutase). J. Coord. Chem. 2012, 65, 1417–1433. [Google Scholar] [CrossRef]
- Pires, B.M.; Silva, D.M.; Visentin, L.C.; Rodrigues, B.L.; Carvalho, N.M.F.; Faria, R.B. Synthesis and Characterization of Cobalt(III), Nickel(II) and Copper(II) Mononuclear Complexes with the Ligand 1,3-Bis[(2-Aminoethyl)Amino]-2-Propanol and Their Catalase-like Activity. PLoS ONE 2015, 10, e0137926. [Google Scholar] [CrossRef][Green Version]
- Guerreiro, J.F.; Gomes, M.A.G.B.; Pagliari, F.; Jansen, J.; Marafioti, M.G.; Nistico, C.; Hanley, R.; Costa, R.O.; Ferreira, S.S.; Mendes, F.; et al. Iron and Copper Complexes with Antioxidant Activity as Inhibitors of the Metastatic Potential of Glioma Cells. RSC Adv. 2020, 10, 12699–12710. [Google Scholar] [CrossRef]
- Tang, Q.; Wu, J.Q.; Li, H.Y.; Feng, Y.F.; Zhang, Z.; Liang, Y.N. Dinuclear Cu(II) Complexes Based on p-Xylylene-Bridged Bis(1,4,7-Triazacyclononane) Ligands: Synthesis, Characterization, DNA Cleavage Abilities and Evaluation of Superoxide Dismutase- and Catalase-like Activities. Appl. Organomet. Chem. 2018, 32, e4297. [Google Scholar] [CrossRef]
- Caglar, S.; Adigüzel, E.; Caglar, B.; Saykal, T.; Sahin, E.; Büyükgüngör, O. Synthesis, Crystal Structure, Spectroscopic, Thermal, Catechol Oxidase and Catalase-like Studies: New Copper(II) Complexes of 2-Benzoylbenzoate and 2-Pyridilpropanol Ligands. Inorganica Chim. Acta 2013, 397, 101–109. [Google Scholar] [CrossRef]
- Gao, J.; Martell, A.E.; Reibenspies, J.H. Novel Dicopper(II) Catalase-like Model Complexes: Synthesis, Crystal Structure, Properties and Kinetic Studies. Inorganica Chim. Acta 2003, 346, 32–42. [Google Scholar] [CrossRef]
- Ray, A.; Rosair, G.M.; Pilet, G.; Dede, B.; Gómez-García, C.J.; Signorella, S.; Bellú, S.; Mitra, S. Preferential Azido Bridging Regulating the Structural Aspects in Cobalt(III) and Copper(II)-Schiff Base Complexes: Syntheses, Magnetostructural Correlations and Catalytic Studies. Inorganica Chim. Acta 2011, 375, 20–30. [Google Scholar] [CrossRef]
- Coulibaly, K.; Thauvin, M.; Melenbacher, A.; Testard, C.; Trigoni, E.; Vincent, A.; Stillman, M.J.; Vriz, S.; Policar, C.; Delsuc, N. A Di-Copper Peptidyl Complex Mimics the Activity of Catalase, a Key Antioxidant Metalloenzyme. Inorg. Chem. 2021, 60, 9309–9319. [Google Scholar] [CrossRef]
- Rodríguez-Hermida, S.; Wende, C.; Lago, A.B.; Carballo, R.; Kulak, N.; Vázquez-Lõpez, E.M. Reaction of a Bis(Benzoylhydrazone) with Copper(II): Complex Formation, Hydroxylation, and DNA Cleavage Activity. Eur. J. Inorg. Chem. 2013, 2, 5843–5853. [Google Scholar]
- Pedrido, R.; Vázquez López, M.; Sorace, L.; González-Noya, A.M.; Cwiklinska, M.; Suárez-Gómez, V.; Zaragoza, G.; Bermejo, M.R. The Coordination Preferences of Metal Centres Modulate Superexchange Coupling Interactions in a Metallo-Supramolecular Helical Assembly. Chem. Commun. 2010, 46, 4797–4799. [Google Scholar] [CrossRef] [PubMed]
- Martínez-Calvo, M.; Romero, M.J.; Pedrido, R.; González-Noya, A.M.; Zaragoza, G.; Bermejo, M.R. Metal Self-Recognition: A Pathway to Control the Formation of Dihelicates and Mesocates. Dalton Trans. 2012, 41, 13395–13404. [Google Scholar] [CrossRef]
- López-Torres, E.; Mendiola, M.A. Structural Diversity of Benzil Bis(Benzoylhydrazone): Mononuclear, Binuclear and Trinuclear Complexes. Dalton Trans. 2009, 7639–7647. [Google Scholar] [CrossRef] [PubMed]
- Fernández-Fariña, S.; Velo-Heleno, I.; Martínez-Calvo, M.; Maneiro, M.; Pedrido, R.; González-Noya, A.M. Schiff Bases Functionalized with T-Butyl Groups as Adequate Ligands to Extended Assembly of Cu(II) Helicates. Int. J. Mol. Sci. 2023, 24, 8654. [Google Scholar] [CrossRef] [PubMed]
- Battaini, G.; Monzani, E.; Perotti, A.; Para, C.; Casella, L.; Santagostini, L.; Gullotti, M.; Tuczek, F.; Pa, V. A Double Arene Hydroxylation Mediated by Dicopper (II)—Hydroperoxide Species Christian Na Results and Discussion Aromatic Hydroxylation: Characterization of the Prod-Ucts. The Reaction between 1 and Hydrogen Peroxide Produces. J. Am. Chem. Soc. 2003, 125, 138–144. [Google Scholar]
- Martínez-Calvo, M.; Vázquez Lòpez, M.; Pedrido, R.; González-Noya, A.M.; Bermejo, M.R.; Monzani, E.; Casella, L.; Sorace, L. Endogenous Arene Hydroxylation Promoted by Copper(I) Cluster Helicates. Chem. Eur. J. 2010, 16, 14175–14180. [Google Scholar] [CrossRef]
- Starikov, A.G.; Kogan, V.A.; Lukov, V.V.; Minkin, V.I.; Minyaev, R.M. Influence of Structural Factors on the Magnetic Properties of the Binuclear Copper Complexes with Salicylaldehyde Hydrazone and Bis(Hydrazone)-2,6- Diformylphenol: Quantum-Chemical Calculations. Russ. J. Coord. Chem. 2009, 35, 616–620. [Google Scholar] [CrossRef]
- Banu, K.S.; Chattopadhyay, T.; Banerjee, A.; Bhattacharya, S.; Suresh, E.; Nethaji, M.; Zangrando, E.; Das, D. Catechol Oxidase Activity of a Series of New Dinuclear Copper(II) Complexes with 3,5-DTBC and TCC as Substrates: Syntheses, X-Ray Crystal Structures, Spectroscopic Characterization of the Adducts and Kinetic Studies. Inorg. Chem. 2008, 47, 7083–7093. [Google Scholar] [CrossRef] [PubMed]
- Poater, A.; Ribas, X.; Llobet, A.; Cavallo, L.; Solà, M. Complete Mechanism of Σ* Intramolecular Aromatic Hydroxylation through O2 Activation by a Macrocyclic Dicopper(I) Complex. J. Am. Chem. Soc. 2008, 130, 17710–17717. [Google Scholar] [CrossRef]
- Sakamoto, M.; Itose, S.; Ishimori, T.; Matsumoto, N.; Okawa, H.; Kida, S. Crystal Structures and Magnetic Properties of Bi- and Tetra-Nuclear Copper(Ii) Complexes of 2,6-Diformyl-4-Methylphenol Di(Benzoylhydrazone). J. Chem. Soc. Dalton Trans. 1989, 2083–2088. [Google Scholar] [CrossRef]
- Cheng, P.; Liao, D.; Yan, S.; Cui, J.; Jiang, Z.; Wang, G.; Yao, X.; Wang, H. Binuclear Copper(II) Complexes with Robson-Type Ligands. Synthesis, Characterization, Crystal Structure, and Magnetic Properties. Helvetica 1997, 80, 213–220. [Google Scholar] [CrossRef]
- Liu, H.; Yi, R.; Chen, D.; Huang, C. Self-Assembly by Tridentate or Bidentate Ligand: Synthesis and Vapor Adsorption Properties of Cu(II), Zn(II), Hg(II) and Cd(II) Complexes Derived from a Bis(Pyridylhydrazone) Compound. Molecules 2021, 26, 109. [Google Scholar] [CrossRef]
- Ruiz, E.; Alemany, P.; Alvarez, S.; Cano, J. Toward the Prediction of Magnetic Coupling in Molecular Systems: Hydroxo- and Alkoxo-Bridged Cu(II) Binuclear Complexes. J. Am. Chem. Soc. 1997, 119, 1297–1303. [Google Scholar] [CrossRef]
- Jana, N.C.; Ghorai, P.; Brandão, P.; Jagličić, Z.; Panja, A. Proton Controlled Synthesis of Two Dicopper(Ii) Complexes and Their Magnetic and Biomimetic Catalytic Studies Together with Probing the Binding Mode of the Substrate to the Metal Center. Dalton Trans. 2021, 50, 15233–15247. [Google Scholar] [CrossRef]
- O’Connor, C.J.; Firmin, D.; Pant, A.K.; Babu, B.R.; Stevens, E.D. Binuclear Molecules Incorporating Small Molecules as Bridging Ligands. Magnetic Properties and Molecular Structure of [Cu2L(μ-B)]2+ Where B = OH- or Br- and HL = 2, 6-Bis(N-(2-Pyridylmethyl)Formidoyl)-4-Methylphenol. Inorg. Chem. 1986, 25, 2300–2307. [Google Scholar] [CrossRef]
- Nishida, Y.; Shimo, H.; Maehara, H.; Kida, S. Crystal Structures and Magnetic Properties of Binuclear Five-Co-Ordinate Copper(II) Complexes with a Phenolate Bridge and Their Catalytic Functions in Multielectron Redox Reactions). J. Chem. Soc. Dalton Trans. 1985, 1945–1951. [Google Scholar] [CrossRef]
- Van Crawford, H.; Richardson, H.W.; Wasson, J.R.; Hodgson, D.J.; Hatfield, W.E. Relation Between the Singlet-Triplet Splitting and the Cu-O-Cu Bridge Angle in Hydroxo-Bridged Copper Dimers. Inorg. Chem. 1976, 15, 2107–2110. [Google Scholar] [CrossRef]
- Brown, T.L.; Collman, J.P.; Cotton, F.A. Progress in Inorganic Chemistry; John Wiley & Sons: Hoboken, NJ, USA, 1975; Volume 19, ISBN 9780470166208. [Google Scholar]
- Aliaga, M.E.; Andrade-Acuña, D.; López-Alarcón, C.; Sandoval-Acuña, C.; Speisky, H. Cu(II)-Disulfide Complexes Display Simultaneous Superoxide Dismutase- and Catalase-like Activities. J. Inorg. Biochem. 2013, 129, 119–126. [Google Scholar] [CrossRef]
- Devereux, M.; O’Shea, D.; O’Connor, M.; Grehan, H.; Connor, G.; McCann, M.; Rosair, G.; Lyng, F.; Kellett, A.; Walsh, M.; et al. Synthesis, Catalase, Superoxide Dismutase and Antitumour Activities of Copper(II) Carboxylate Complexes Incorporating Benzimidazole, 1,10-Phenanthroline and Bipyridine Ligands: X-ray crystal structures of [Cu(BZA)2(bipy)(H2O)], [Cu(SalH)2(BZDH)2] and [Cu(CH3COO)2(5,6-DMBZDH)2] (SalH2 = salicylic acid; BZAH = benzoic acid; BZDH = benzimidazole and 5,6-DMBZDH = 5,6-dimethylbenzimidazole). Polyhedron 2007, 26, 4073–4084. [Google Scholar]
- Shaban, S.Y.; Ramadan, A.E.M.M.; Ibrahim, M.M.; Mohamed, M.A.; Van Eldik, R. Spectroscopic, Thermodynamic, Kinetic Studies and Oxidase/Antioxidant Biomimetic Catalytic Activities of Tris(3,5-Dimethylpyrazolyl)Borate Cu(II) Complexes. Dalton Trans. 2015, 44, 14110–14121. [Google Scholar] [CrossRef]
- Balaghi, S.E.; Safaei, E.; Chiang, L.; Wong, E.W.Y.; Savard, D.; Clarke, R.M.; Storr, T. Synthesis, Characterization and Catalytic Activity of Copper(Ii) Complexes Containing a Redox-Active Benzoxazole Iminosemiquinone Ligand. Dalton Trans. 2013, 42, 6829–6839. [Google Scholar] [CrossRef]
- BRUKER AXS. D8 ADVANCE; BRUKER AXS: Billerica, MA, USA, 2005. [Google Scholar]
- Sheldrick, G.M. Program for Scaling and Correction of Area Detector Data; University of Göttingen: Göttingen, Germany, 1996. [Google Scholar]
- Altomare, A.; Burla, M.C.; Camalli, M.; Cascarano, G.L.; Giacovazzo, C.; Guagliardi, A.; Moliterni, A.G.G.; Polidori, G.; Spagna, R. SIR97: A New Tool for Crystal Structure Determination and Refinement. J. Appl. Crystallogr. 1999, 32, 115–119. [Google Scholar] [CrossRef]
- Sheldrick, G.M. A Short History of SHELX. Acta Crystallogr. A 2008, 64, 112–122. [Google Scholar] [CrossRef] [PubMed]
- Sheldrick, G.M. Crystal Structure Refinement with SHELXL. Acta Crystallogr. 2015, C71, 3–8. [Google Scholar]
- Farrugia, L.J. WinGX and ORTEP for Windows : An Update. Applied Crystallogr. 2012, 45, 849–854. [Google Scholar] [CrossRef]
- Macrae, C.F.; Bruno, I.J.; Chisholm, J.A.; Edgington, P.R.; Mccabe, P.; Pidcock, E.; Rodriguez-monge, L.; Taylor, R.; Van De Streek, J.; Wood, P.A. Mercury CSD 2.0—New Features for the Visualization and Investigation of Crystal Structures. J. Appl. Crystallogr. 2008, 41, 466–470. [Google Scholar] [CrossRef]









| Concentration | Temperature | Catalase Activity | Catalytic Cycles |
|---|---|---|---|
| 10 M | 23 °C | 17.9% | 60 ± 6 |
| 2.5 M | 23 °C | 34.2% | 113 ± 1 |
| 2.5 M | 36 °C | 54.9% | 182 ± 2 |
| 1 M | 23 °C | 110.4% | 366 ± 1 |
| 1 M | 36 °C | 122.9% | 408 ± 1 |
Disclaimer/Publisher’s Note: The statements, opinions and data contained in all publications are solely those of the individual author(s) and contributor(s) and not of MDPI and/or the editor(s). MDPI and/or the editor(s) disclaim responsibility for any injury to people or property resulting from any ideas, methods, instructions or products referred to in the content. |
© 2024 by the authors. Licensee MDPI, Basel, Switzerland. This article is an open access article distributed under the terms and conditions of the Creative Commons Attribution (CC BY) license (https://creativecommons.org/licenses/by/4.0/).
Share and Cite
Fernández-Fariña, S.; Velo-Heleno, I.; Rodríguez-Silva, L.; Maneiro, M.; González-Noya, A.M.; Pedrido, R. A Dinuclear Copper(II) Complex Electrochemically Obtained via the Endogenous Hydroxylation of a Carbamate Schiff Base Ligand: Synthesis, Structure and Catalase Activity. Int. J. Mol. Sci. 2024, 25, 2154. https://doi.org/10.3390/ijms25042154
Fernández-Fariña S, Velo-Heleno I, Rodríguez-Silva L, Maneiro M, González-Noya AM, Pedrido R. A Dinuclear Copper(II) Complex Electrochemically Obtained via the Endogenous Hydroxylation of a Carbamate Schiff Base Ligand: Synthesis, Structure and Catalase Activity. International Journal of Molecular Sciences. 2024; 25(4):2154. https://doi.org/10.3390/ijms25042154
Chicago/Turabian StyleFernández-Fariña, Sandra, Isabel Velo-Heleno, Laura Rodríguez-Silva, Marcelino Maneiro, Ana M. González-Noya, and Rosa Pedrido. 2024. "A Dinuclear Copper(II) Complex Electrochemically Obtained via the Endogenous Hydroxylation of a Carbamate Schiff Base Ligand: Synthesis, Structure and Catalase Activity" International Journal of Molecular Sciences 25, no. 4: 2154. https://doi.org/10.3390/ijms25042154
APA StyleFernández-Fariña, S., Velo-Heleno, I., Rodríguez-Silva, L., Maneiro, M., González-Noya, A. M., & Pedrido, R. (2024). A Dinuclear Copper(II) Complex Electrochemically Obtained via the Endogenous Hydroxylation of a Carbamate Schiff Base Ligand: Synthesis, Structure and Catalase Activity. International Journal of Molecular Sciences, 25(4), 2154. https://doi.org/10.3390/ijms25042154

