Pyrimidine Schiff Bases: Synthesis, Structural Characterization and Recent Studies on Biological Activities
Abstract
1. Introduction
2. Results and Discussion
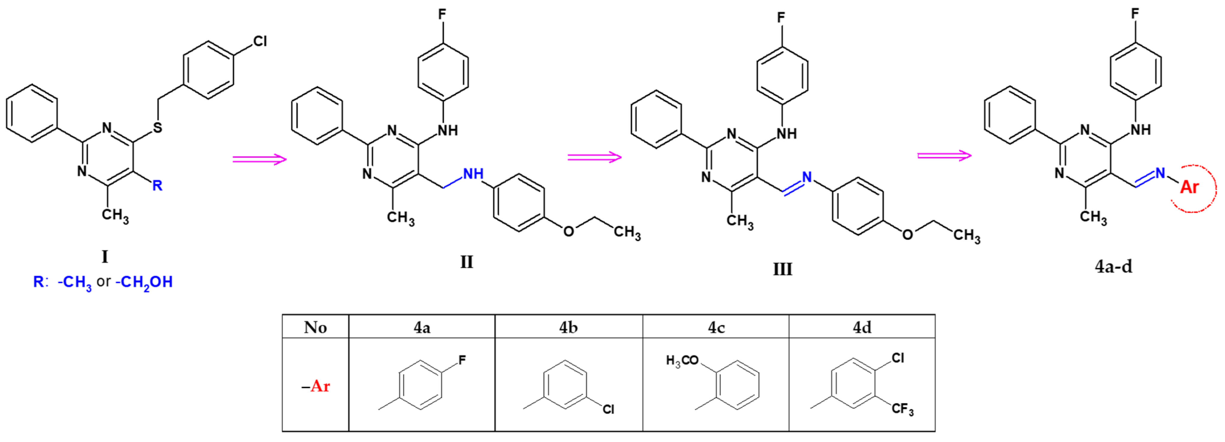
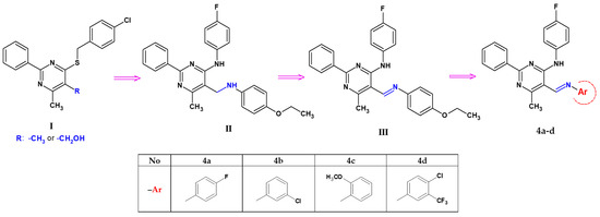
2.1. Chemistry
2.2. X-ray Structural Studies
2.3. Biological Activity Analysis
2.3.1. Neutral Red Uptake Assay
2.3.2. Flow Cytometry Analysis
2.3.3. Cell Morphology
2.3.4. Genotoxicity Assay
2.3.5. Antimicrobial Activity Assay
2.4. In Silico Studies
2.4.1. ADME Prediction Analysis
2.4.2. Molecular Docking Analysis
3. Materials and Methods
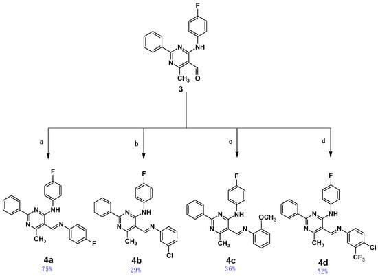
3.1. Chemistry
General Procedure for Preparation of Schiff Bases (4a–d)
- N-(4-fluorophenyl)-5-{[(4-fluorophenyl)imino]methyl}-6-methyl-2-phenylpyrimidin-4-amine (4a). Product characterization: yield 0.30 g, 75.00%; yellow solid; melting point 178 °C; 1H NMR (300 MHz, CDCl3): δ (ppm) 2.83 (3H, s, CH3), 7.10–8.50 (13H, m, aromatic), 8.92 (1H, s, CH), 12.55 (1H, broad, NH). 13C NMR (151 MHz, CDCl3): δ (ppm) 162.58, 160.94′ (CAr-F), 160.19, 158.57′ (CAr-F), 158.27 (CH=N), 156.69 (2C), 146.64, 135.08, 131.36 (2C), 128.96, 128.65 (4C), 123.59, 123.54, 122.70, 122.65, 116.54, 116.39, 115.76, 115.61, 107.23 (CAr), 22.86 (CH3). 19F NMR 471 MHz) δ (ppm) −62.71 (C-CF3), −115.80 (CAr-F). HR-ESI-MS [M + H]+: found m/z: 401.1560, calcd. m/z: 401.1572 [mass error: 2.99 ppm]. FT–IR (ATR, selected lines): ν (cm−1) 1614 (C=N).
- 5-{[(3-chlorophenyl)imino]methyl}-N-(4-fluorophenyl)-6-methyl-2-phenylpyrimidin-4-amine (4b). Product characterization: yield 0.12 g, 28.85%; yellow solid; melting point 193 °C; 1H NMR (300 MHz, CDCl3): δ (ppm) 2.81 (3H, s, CH3), 7.10–8.49 (13H, m, aromatic), 8.91 (1H, s, CH), 12.38 (1H, broad, NH). 13C NMR (151 MHz, CDCl3): δ (ppm) 160.25, 158.64′ (CAr-F), 158.32 (CH=N), 157.93 (2C), 151.83, 135.28, 131.46, 130.66 (2C), 129.00 (2C), 128.66 (2C), 126.76, 123.71, 123.66, 121.40, 119.70 (2C), 115.77, 115.62, 107.10 (CAr), 22.07 (CH3). 19F NMR (471 MHz): δ (ppm) −117.54 (CAr-F). HR-ESI-MS [M + H]+: found m/z: 417.1261, calcd. m/z: 417.1277 [mass error: 3.84 ppm]. FT–IR (ATR, selected lines): ν (cm−1) 1610 (C=N).
- N-(4-fluorophenyl)-6-methyl-2-phenyl-5-{[(2-methoxyphenyl)imino]methyl}pyrimidin-4-amine (4c). Product characterization: yield 0.15 g, 36.41%; yellow solid; melting point 167–169 °C; 1H NMR (300 MHz, CDCl3): δ (ppm) 2.81 (3H, s, CH3), 3.94 (3H, s, CH3), 7.05–8.50 (13H, m, aromatic), 9.05 (1H, s, CH), 13.21 (1H, broad, NH). 13C NMR (151 MHz, CDCl3): δ (ppm) 172.43 (CH=N), 166.45 (CAr), 160.59, 158.97′ (CAr-F), 159.00 (2C), 153.50, 137.18, 134.02, 131.99 (2C), 129.38 (2C), 128.69 (2C), 124.30, 124.24 (2C), 121.37, 118.85, 115.80, 115.65, 112.01, 108.56 (CAr), 55.96 (O-CH3), 21.57 (CH3). 19F NMR (471 MHz): δ (ppm) −117.62 (CAr-F). HR-ESI-MS [M + H]+: found m/z: 413.1760, calcd. m/z 413.1772 [mass error: 2.90 ppm]. FT–IR (ATR, selected lines): ν (cm−1) 1634 (C=N).
- 5-[{[4-chloro-3-(trifluoromethyl)phenyl]imino}methyl]-N-(4-fluorophenyl)-6-methyl-2-phenylpyrimidin-4-amine (4d). Product characterization: yield 0.24 g, 51.65%; yellow solid; melting point 210 °C; 1H NMR (300 MHz, CDCl3): δ (ppm) 2.81 (3H, s, CH3), 7.10–8.48 (12H, m, aromatic), 8.91 (1H, s, CH), 12.17 (1H, broad, NH). 13C NMR (151 MHz, CDCl3): δ (ppm) 172.42 (CH=N), 166.44 (CAr), 160.59, 158.99′ (CAr-F), 158.69, 158.35, 149.38, 134.04, 132.73, 131.58, 129.92–129.30 (q, CAr-CF3), 129.38, 129.06 (2C), 128.68 (2C), 125.22, 124.29, 124.23, 123.91, 123.86′ (CAr-Cl), 123.60, 121.79′ (CF3), 120.71, 120.67′, 115.82, 115.68, 106.98, 21.56 (CH3). 19F NMR (471 MHz): δ (ppm) −62.67 (CF3), −117.53 (CAr-F). HR-ESI-MS [M + H]+: found m/z: 485.1150, calcd. m/z 485.1151 [mass error: 0.21 ppm]. FT–IR (ATR, selected lines): ν (cm−1) 1646 (C=N).
3.2. X-ray Structural Studies
3.3. Biological Activity Assays
3.3.1. Materials
3.3.2. Neutral Red Uptake Assay
3.3.3. Flow Cytometry
3.3.4. Microscopic Observations
3.3.5. Comet Assay
3.3.6. Antimicrobial Activity Assay
3.4. In Silico Analysis
3.4.1. ADME Prediction Analysis
3.4.2. Molecular Docking Analysis
4. Conclusions
Supplementary Materials
Author Contributions
Funding
Institutional Review Board Statement
Informed Consent Statement
Data Availability Statement
Conflicts of Interest
References
- Kumar, S.; Narasimhan, B. Therapeutic potential of heterocyclic pyrimidine scaffolds. Chem. Cent. J. 2018, 12, 38. [Google Scholar] [CrossRef]
- Zhuang, J.; Ma, S. Recent Development of Pyrimidine-Containing Antimicrobial Agents. ChemMedChem 2020, 15, 1875–1886. [Google Scholar] [CrossRef] [PubMed]
- Schiff, H. Mittheilungen aus dem Universitätslaboratorium in Pisa: Eine neue Reihe organischer Basen. Justus Liebigs Ann. Chem. 1864, 131, 118–119. [Google Scholar] [CrossRef]
- Aboul-Fadl, T.; Mohammed, F.A.-H.; Hassan, E.A.-S. Synthesis, antitubercular activity and pharmacokinetic studies of some Schiff bases derived from 1-alkylisatin and isonicotinic acid hydrazide (INH). Arch. Pharm. Res. 2003, 26, 778–784. [Google Scholar] [CrossRef] [PubMed]
- De Souza, A.O.; Galetti, F.C.S.; Silva, C.L.; Bicalho, B.; Parma, M.M.; Fonseca, S.F.; Marsaioli, A.J.; Trindade, A.C.L.B.; Gil, R.P.F.; Bezerra, F.S.; et al. Antimycobacterial and cytotoxicity activity of synthetic and natural compounds. Quím. Nova 2007, 30, 1563–1566. [Google Scholar] [CrossRef]
- Guo, Z.; Xing, R.; Liu, S.; Zhong, Z.; Ji, X.; Wang, L.; Li, P. Antifungal properties of Schiff bases of chitosan, N-substituted chitosan and quaternized chitosan. Carbohydr. Res. 2007, 342, 1329–1332. [Google Scholar] [CrossRef] [PubMed]
- Avaji, P.G.; Vinod Kumar, C.H.; Patil, S.A.; Shivananda, K.N.; Nagaraju, C. Synthesis, spectral characterization, in-vitro microbiological evaluation and cytotoxic activities of novel macrocyclic bis hydrazone. Eur. J. Med. Chem. 2009, 44, 3552–3559. [Google Scholar] [CrossRef] [PubMed]
- Miri, R.; Razzaghi-asl, N.; Mohammadi, M.K. QM study and conformational analysis of an isatin Schiff base as a potential cytotoxic agent. J. Mol. Model. 2013, 19, 727–735. [Google Scholar] [CrossRef] [PubMed]
- Ali, S.M.M.; Azad, M.A.K.; Jesmin, M.; Ahsan, S.; Rahman, M.M.; Khanam, J.A.; Islam, M.N.; Shahriar, S.M.S. In vivo anticancer activity of vanillin semicarbazone. Asian Pac. J. Trop. Biomed. 2012, 2, 438–442. [Google Scholar] [CrossRef]
- Sondhi, S.M.; Singh, N.; Kumar, A.; Lozach, O.; Meijer, L. Synthesis, anti-inflammatory, analgesic and kinase (CDK-1, CDK-5 and GSK-3) inhibition activity evaluation of benzimidazole/benzoxazole derivatives and some Schiff’s bases. Bioorg. Med. Chem. 2006, 14, 3758–3765. [Google Scholar] [CrossRef]
- Pandey, A.; Rajavel, R.; Chandraker, S.; Dash, D. Synthesis of Schiff Bases of 2-amino-5-aryl-1,3,4-thiadiazole and Its Analgesic, Anti-Inflammatory and Anti-Bacterial Activity. E-J. Chem. 2011, 9, 178–184. [Google Scholar] [CrossRef]
- Chinnasamy, R.P.; Sundararajan, R.; Govindaraj, S. Synthesis, characterization, and analgesic activity of novel schiff base of isatin derivatives. J. Adv. Pharm. Technol. Res. 2010, 1, 342–347. [Google Scholar] [CrossRef]
- Stacy, G.W.; Day, R.I.; Morath, R.J. Schiff Bases and Related Substances. II. Reactions of Thiols with N-Benzylideneaniline and N-Benzylideneanthranilic Acid1. J. Am. Chem. Soc. 1955, 77, 3869–3873. [Google Scholar] [CrossRef]
- Westheimer, F.H.; Taguchi, K. Catalysis by molecular sieves in the preparation of ketimines and enamines. J. Org. Chem. 1971, 36, 1570–1572. [Google Scholar] [CrossRef]
- Love, B.E.; Ren, J. Synthesis of sterically hindered imines. J. Org. Chem. 1993, 58, 5556–5557. [Google Scholar] [CrossRef]
- Look, G.C.; Murphy, M.M.; Campbell, D.A.; Gallop, M.A. Trimethylorthoformate: A mild and effective dehydrating reagent for solution and solid phase imine formation. Tetrahedron Lett. 1995, 36, 2937–2940. [Google Scholar] [CrossRef]
- Thomas, A.B.; Tupe, P.N.; Badhe, R.V.; Nanda, R.K.; Kothapalli, L.P.; Paradkar, O.D.; Sharma, P.A.; Deshpande, A.D. Green route synthesis of Schiff’s bases of isonicotinic acid hydrazide. Green Chem. Lett. Rev. 2009, 2, 23–27. [Google Scholar] [CrossRef]
- Wadher, S.J.; Puranik, M.P.; Karande, N.; Yeole, P.G. Synthesis and Biological Evaluation of Schiff base of Dapsone and their derivative as Antimicrobial agents. Int. J. Pharmtech Res. 2009, 1, 22–33. [Google Scholar]
- Nowicka, A.; Nawrocka, W.P.; Liszkiewicz, H.; Wietrzyk, J.; Anisiewicz, A.; Kołodziejczyk, W. Synthesis and in vitro antiproliferative activity of novel mannich bases-2-arylideneaminobenzimidazoles derivatives. Acta Pol. Pharm. 2018, 75, 397–405. [Google Scholar]
- Chakraborti, A.K.; Bhagat, S.; Rudrawar, S. Magnesium perchlorate as an efficient catalyst for the synthesis of imines and phenylhydrazones. Tetrahedron Lett. 2004, 45, 7641–7644. [Google Scholar] [CrossRef]
- Baricordi, N.; Benetti, S.; Biondini, G.; De Risi, C.; Pollini, G.P. A new ‘one-pot’ synthesis of 2-substituted 3-nitro pyrrolidines through a multicomponent domino reaction. Tetrahedron Lett. 2004, 45, 1373–1375. [Google Scholar] [CrossRef]
- Naeimi, H.; Salimi, F.; Rabiei, K. Mild and convenient one pot synthesis of Schiff bases in the presence of P2O5/Al2O3 as new catalyst under solvent-free conditions. J. Mol. Catal. A Chem. 2006, 260, 100–104. [Google Scholar] [CrossRef]
- Dalpozzo, R.; Nino, A.D.; Nardi, M.; Russo, B.; Procopio, A. Erbium(III) Triflate: A Valuable Catalyst for the Synthesis of Aldimines, Ketimines, and Enaminones. Synthesis 2006, 2006, 1127–1132. [Google Scholar] [CrossRef]
- Vass, A.; Dudás, J.; Varma, R.S. Solvent-free synthesis of N-sulfonylimines using microwave irradiation. Tetrahedron Lett. 1999, 40, 4951–4954. [Google Scholar] [CrossRef]
- Vázquez, M.Á.; Landa, M.; Reyes, L.; Miranda, R.; Tamariz, J.; Delgado, F. Infrared Irradiation: Effective Promoter in the Formation of N-Benzylideneanilines in the Absence of Solvent. Synth. Commun. 2004, 34, 2705–2718. [Google Scholar] [CrossRef]
- Gopalakrishnan, M.; Sureshkumar, P.; Kanagarajan, V.; Thanusu, J. New environmentally-friendly solvent-free synthesis of imines using calcium oxide under microwave irradiation. Res. Chem. Intermed. 2007, 33, 541–548. [Google Scholar] [CrossRef]
- Guzen, K.P.; Guarezemini, A.S.; Órfão, A.T.G.; Cella, R.; Pereira, C.M.P.; Stefani, H.A. Eco-friendly synthesis of imines by ultrasound irradiation. Tetrahedron Lett. 2007, 48, 1845–1848. [Google Scholar] [CrossRef]
- Lagoja, I.M. Pyrimidine as Constituent of Natural Biologically Active Compounds. Chem. Biodivers. 2005, 2, 1–50. [Google Scholar] [CrossRef]
- Selvam, T.P.; James, C.R.; Dniandev, P.V.; Valzita, S.K. A mini review of pyrimidine and fused pyrimidine marketed drugs. Res. Pharm. 2012, 2, 1–9. [Google Scholar]
- He, H.; Xia, H.; Xia, Q.; Ren, Y.; He, H. Design and optimization of N-acylhydrazone pyrimidine derivatives as E. coli PDHc E1 inhibitors: Structure-activity relationship analysis, biological evaluation and molecular docking study. Bioorg. Med. Chem. 2017, 25, 5652–5661. [Google Scholar] [CrossRef]
- Parikh, K.S.; Vyas, S.P. Synthesis and Spectral Studies of some Novel Schiff Base derived with Pyrimidines. J. Chem. Pharm. Res. 2012, 4, 2109–2111. [Google Scholar]
- Gulcan, M.; Özdemir, S.; Dündar, A.; İspir, E.; Kurtoğlu, M. Mononuclear Complexes Based on Pyrimidine Ring Azo Schiff-Base Ligand: Synthesis, Characterization, Antioxidant, Antibacterial, and Thermal Investigations. Z. Anorg. Allg. Chem. 2014, 640, 1754–1762. [Google Scholar] [CrossRef]
- Andhale, G.S.; Giles, D.; Gurubasavrajswamy, P.M.; Rishikesh, V.A. Design, Synthesis and Pharmacological Evaluation of Pyrimidine Fused Indane-1,3-dione Derivatives. Pharma. Chem. 2017, 9, 145–151. [Google Scholar]
- Kirubavathy, S.J.; Velmurugan, R.; Karvembu, R.; Bhuvanesh, N.S.P.; Enoch, I.V.M.V.; Selvakumar, P.M.; Premnath, D.; Chitra, S. Structural and molecular docking studies of biologically active mercaptopyrimidine Schiff bases. J. Mol. Struct. 2017, 1127, 345–354. [Google Scholar] [CrossRef]
- Kumar, S.; Lim, S.M.; Ramasamy, K.; Vasudevan, M.; Shah, S.A.A.; Selvaraj, M.; Narasimhan, B. Synthesis, molecular docking and biological evaluation of bis-pyrimidine Schiff base derivatives. Chem. Cent. J. 2017, 11, 89. [Google Scholar] [CrossRef] [PubMed]
- Alwan, S.M. Synthesis and Preliminary Antimicrobial Activity of New Schiff Bases of Pyrido [1,2-A] Pyrimidine Derivatives with Certain Amino Acids. Med. Chem. 2014, 4, 635–639. [Google Scholar] [CrossRef]
- Zhang, Y.; Zhu, Y.; Zheng, L.; Zhuo, L.-G.; Yang, F.; Dang, Q.; Yu, Z.-X.; Bai, X. On-Demand Selection of the Reaction Path from Imino Diels–Alder to Ene-Type Cyclization: Synthesis of Epiminopyrimido[4,5-b]azepines. Eur. J. Org. Chem. 2014, 2014, 660–669. [Google Scholar] [CrossRef]
- Neumann, D.M.; Cammarata, A.; Backes, G.; Palmer, G.E.; Jursic, B.S. Synthesis and antifungal activity of substituted 2,4,6-pyrimidinetrione carbaldehyde hydrazones. Bioorg. Med. Chem. 2014, 22, 813–826. [Google Scholar] [CrossRef]
- Fırıncı, E. Pyrimidine-2,4,6-trione copper(II) complexes and their catalytic activities in the peroxidative oxidation of cyclohexane. J. Mol. Struct. 2019, 1193, 125–130. [Google Scholar] [CrossRef]
- Cieplik, J.; Stolarczyk, M.; Pluta, J.; Gubrynowicz, O.; Bryndal, I.; Lis, T.; Mikulewicz, M. Synthesis and antibacterial properties of pyrimidine derivatives. Acta Pol. Pharm. 2015, 72, 53–64. [Google Scholar]
- Stolarczyk, M.; Bryndal, I.; Matera-Witkiewicz, A.; Lis, T.; Królewska-Golińska, K.; Cieślak, M.; Kaźmierczak-Barańska, J.; Cieplik, J. Synthesis, crystal structure and cytotoxic activity of novel 5-methyl-4-thio pyrimidine derivatives. Acta Crystallogr. C 2018, 74, 1138–1145. [Google Scholar] [CrossRef]
- Stolarczyk, M.; Matera-Witkiewicz, A.; Wolska, A.; Krupińska, M.; Mikołajczyk, A.; Pyra, A.; Bryndal, I. Synthesis, Crystal Structure, and Biological Evaluation of Novel 5-Hydroxymethylpyrimidines. Materials 2021, 14, 6916. [Google Scholar] [CrossRef] [PubMed]
- Stolarczyk, M.; Wolska, A.; Mikołajczyk, A.; Bryndal, I.; Cieplik, J.; Lis, T.; Matera-Witkiewicz, A. A New Pyrimidine Schiff Base with Selective Activities Against Enterococcus faecalis and Gastric Adenocarcinoma. Molecules 2021, 26, 2296. [Google Scholar] [CrossRef]
- Bernstein, J.; Davis, R.E.; Shimoni, L.; Chang, N.-L. Patterns in Hydrogen Bonding: Functionality and Graph Set Analysis in Crystals. Angew. Chem. Int. Ed. Engl. 1995, 34, 1555–1573. [Google Scholar] [CrossRef]
- D’Oria, E.; Novoa, J.J. On the hydrogen bond nature of the C–H/F interactions in molecular crystals. An exhaustive investigation combining a crystallographic database search and ab initio theoretical calculations. CrystEngComm 2008, 10, 423–436. [Google Scholar] [CrossRef]
- Zoete, V.; Daina, A.; Bovigny, C.; Michielin, O. SwissSimilarity: A Web Tool for Low to Ultra High Throughput Ligand-Based Virtual Screening. J. Chem. Inf. Model. 2016, 56, 1399–1404. [Google Scholar] [CrossRef] [PubMed]
- Ertl, P.; Rohde, B.; Selzer, P. Fast calculation of molecular polar surface area as a sum of fragment-based contributions and its application to the prediction of drug transport properties. J. Med. Chem. 2000, 20, 3714–3717. [Google Scholar] [CrossRef]
- Mannhold, R.; Poda, G.I.; Ostermann, C.; Tetko, I.V. Calculation of molecular lipophilicity: State-of-the-art and comparison of logP methods on more than 96,000 compounds. J. Pharm. Sci. 2009, 98, 861–893. [Google Scholar] [CrossRef]
- Cheng, T.; Zhao, Y.; Li, X.; Lin, F.; Xu, Y.; Zhang, X.; Li, Y.; Wang, R.; Lai, L. Computation of octanol-water partition coefficients by guiding an additive model with knowledge. J. Chem. Inf. Model. 2007, 47, 2140–2148. [Google Scholar] [CrossRef]
- Wildman, S.; Crippen, G. Prediction of physicochemical parameters by atomic contributions. J. Chem. Inform. Comput. Sci. 1999, 5, 868–873. [Google Scholar] [CrossRef]
- Moriguchi, I.; Hirono, S.; Liu, Q.; Nakagome, I.; Matsushita, Y. Simple Method of calculating octanol/water partition coefficient. Chem. Pharm. Bull. 1992, 40, 127–130. [Google Scholar] [CrossRef]
- Moriguchi, I.; Hirono, S.; Nakagome, I.; Hirano, H. Comparison of reliability of log p values for drugs calculated by several methods. Chem. Pharm. Bull. 1994, 42, 976–978. [Google Scholar] [CrossRef]
- Silicos-It. Available online: https://github.com/silicos-it/ (accessed on 16 August 2023).
- Daina, A.; Michielin, O.; Zoete, V. iLOGP: A simple, robust, and efficient description of n-octanol/water partition coefficient for drug design using the GB/SA approach. J. Chem. Inf. Model. 2014, 54, 3284–3301. [Google Scholar] [CrossRef] [PubMed]
- Delaney, J.S. ESOL: Estimating aqueous solubility directly from molecular structure. J. Chem. Inf. Comput. Sci. 2004, 44, 1000–1005. [Google Scholar] [CrossRef]
- Ali, J.; Camilleri, P.; Brown, M.; Hutt, A.J.; Kirton, S.B. Revisiting the general solubility equation: In silico prediction of aqueous solubility incorporating the effect of topographical polar surface area. J. Chem. Inf. Model. 2012, 52, 420–428. [Google Scholar] [CrossRef]
- Potts, R.O.; Guy, R.H. Predicting skin permeability. Pharm. Res. 1992, 9, 663–669. [Google Scholar] [CrossRef] [PubMed]
- Wolf, C.R.; Smith, G.; Smith, R.L. Science, medicine, and the future: Pharmacogenetics. BMJ 2000, 320, 987–990. [Google Scholar] [CrossRef]
- Di, L. The role of drug metabolizing enzymes in clearance. Expert Opin. Drug Metab. Toxicol. 2014, 10, 379–393. [Google Scholar] [CrossRef]
- Lipinski, C.; Lombardo, F.; Dominy, B.W.; Fenney, P.J. Experimental and computational approaches to estimate solubility and permeability in drug discovery and development settings. Adv. Drug Deliv. Rev. 2001, 46, 3–26. [Google Scholar] [CrossRef] [PubMed]
- Arup, G.; Viswanadhan, V.N.; Wendoloski, J.J. A knowledge-based approach in designing combinatorial or medicinal chemistry libraries for drug discovery. 1. A qualitative and quantitative characterization of known drug databases. J. Comb. Chem. 1999, 1, 55–68. [Google Scholar]
- Veber, D.F.; Johnson, S.R.; Cheng, H.-Y.; Smith, B.R.; Ward, K.W.; Kopple, K.D. Molecular properties that influence the oral bioavailability of drug candidates available. J. Med. Chem. 2002, 45, 2615–2623. [Google Scholar] [CrossRef] [PubMed]
- Egan, W.J.; Merz, K.M.J.; Baldwin, J.J. Prediction of drug absorption using multivariate statistics. J. Med. Chem. 2000, 43, 3867–3877. [Google Scholar] [CrossRef] [PubMed]
- Muegge, I.; Heald, S.L.; Brittelli, D. Simple selection criteria for drug-like chemical matter. J. Med. Chem. 2001, 44, 1841–1846. [Google Scholar] [CrossRef]
- Baell, J.B.; Holloway, G.A. New substructure filters for removal of pan assay interference compounds (PAINS) from screening libraries and for their exclusion in bioassays. J. Med. Chem. 2010, 53, 2719–2740. [Google Scholar] [CrossRef] [PubMed]
- Brenk, R.; Schipani, A.; James, D.; Krasowski, A.; Gilbert, I.H.; Frearson, J.; Wyatt, P.G.W. Lessons learnt from assemblingscreening libraries for drug discovery for neglected diseases. ChemMedChem 2008, 3, 435–444. [Google Scholar] [CrossRef]
- Sanner, M.F. Python: A programming language for software integration and development. J. Mol. Graph. Model. 1999, 17, 57–61. [Google Scholar] [PubMed]
- CrysAlis PRO, versions: 1.171.42.63a/1.171.4272a; Rigaku Oxford Diffraction: Oxford, UK, 2022.
- Sheldrick, G.M. A Short History of SHELX. Acta Crystallogr. A 2008, 64, 112–122. [Google Scholar] [CrossRef]
- Sheldrick, G.M. Crystal Structure Refinement with SHELXL. Acta Crystallogr. C 2015, 71, 3–8. [Google Scholar] [CrossRef]
- Brandenburg, K. DIAMOND; Crystal Impact GbR: Bonn, Germany, 2014. [Google Scholar]
- Sovago, I.; Macrae, C.F. Mercury 4.0: From visualization to analysis, design and prediction. J. Appl. Cryst. 2020, 53, 226–235. [Google Scholar] [CrossRef]
- Repetto, G.; del Paso, A.; Zurita, J.L. Neutral red uptake assay for the estimation of cell viability/cytotoxicity. Nat. Protoc. 2008, 3, 1125–1131. [Google Scholar] [CrossRef]
- Singh, N.P.; McCoy, M.T.; Tice, R.R.; Schneider, E.L. A simple technique for quantitation of low levels of DNA damage in individual cells. Exp. Cell Res. 1988, 175, 184–191. [Google Scholar] [CrossRef] [PubMed]
- Gabrielson, J.; Hart, M.; Jarelöv, A.; Kühn, I.; McKenzie, D.; Möllby, R. Evaluation of redox indicators and the use of digital scanners and spectrophotometer for quantification of microbial growth in microplates. J. Microbiol. Methods 2002, 50, 63–73. [Google Scholar] [CrossRef] [PubMed]
- Francisco, F.L.; Saviano, A.M.; Pinto, T.D.J.A.; Lourenço, F.R. Development, optimization and validation of a rapid colorimetric microplate bioassay for neomycin sulfate in pharmaceutical drug products. J. Microbiol. Methods 2014, 103, 104–111. [Google Scholar] [CrossRef]
- Sabaeifard, P.; Abdi-Ali, A.; Soudi, M.R.; Dinarvand, R. Optimization of tetrazolium salt assay for Pseudomonas aeruginosa biofilm using microtiter plate method. J. Microbiol. Methods 2014, 105, 134–140. [Google Scholar] [CrossRef]
- ISO 20776-1:2019; Susceptibility Testing of Infectious Agents and Evaluation of Performance of Antimicrobial Susceptibility Test Devices—Part 1: Broth Micro-Dilution Reference Method for Testing the In Vitro Activity of Antimicrobial Agents against Rapidly Growing Aerobic Bacteria Involved in Infectious Diseases. International Organization for Standardization: Geneva, Switzerland, 2019.
- ISO 16256:2021; Clinical Laboratory Testing and In Vitro Diagnostic Test Systems—Broth Micro-Dilution Reference Method for Testing the In Vitro Activity of Antimicrobial Agents against Yeast Fungi Involved in Infectious Diseases. International Organization for Standardization: Geneva, Switzerland, 2021.
- Daina, A.; Michielin, O.; Zoete, V. SwissADME: A free web tool to evaluate pharmacokinetics, drug-likeness and medicinal chemistry friendliness of small molecules. Sci. Rep. 2017, 7, 42717. [Google Scholar] [CrossRef]
- Lipinski, C.A. Physicochemical properties and the discovery of orally active drugs: Technical and people issues. In Proceedings of the Beilstein-Institut Workshop, Bozen, Italy, 13–16 May 2002; Hicks, M.G., Kettner, C., Eds.; Beilstein-Institut: Frankfurt, Germany, 2003. [Google Scholar]
- Allouche, A. AutoDock Vina: Improving the Speed and Accuracy of Docking with a New Scoring Function, Efficient Optimization, and Multithreading. J. Comput. Chem. 2012, 32, 174–182. [Google Scholar] [CrossRef] [PubMed]
- Eberhardt, J.; Santos-Martins, D.; Tillack, A.F.; Forli, S. AutoDock Vina 1.2.0: New Docking Methods, Expanded Force Field, and Python Bindings. J. Chem. Inf. Model. 2021, 61, 3891–3898. [Google Scholar] [CrossRef]
- Hanwell, M.D.; Curtis, D.E.; Lonie, D.C.; Vandermeersch, T.; Zurek, E.; Hutchison, G.R. Avogadro: An advanced semantic chemical editor, visualization, and analysis platform. J. Cheminform. 2012, 4, 17. [Google Scholar] [CrossRef]
- Halgren, T.A. MMFF VII. Characterization of MMFF94, MMFF94s, and Other Widely Available Force Fields for Conformational Energies and for Intermolecular Interaction Energies and Geometries. J. Comput. Chem. 2000, 20, 730–748. [Google Scholar] [CrossRef]
- Da Ros, M.; Iorio, A.L.; De Gregorio, V.; Fantappie, O.; Laffi, G.; De Martino, M.; Pisano, C.; Genitori, L.; Sardi, I. Aldoxorubicin and Temozolomide combination in a xenograft mice model of human glioblastoma. Oncotarget 2018, 9, 34935–34944. [Google Scholar] [CrossRef]
- Suttie, S.A.; Park, K.G.M.; Smith, T.A.D. [18F]2-Fluoro-2-deoxy-D-glucose incorporation by AGS gastric adenocarcinoma cells in vitro during response to epirubicin, cisplatin and 5-fluorouracil. Br. J. Cancer 2007, 97, 902–909. [Google Scholar] [CrossRef] [PubMed]
- Focaccetti, C.; Bruno, A.; Magnani, E.; Bartolini, D.; Principi, E.; Dallaglio, K.; Bucci, E.O.; Finzi, G.; Sessa, F.; Noonan, D.M.; et al. Effects of 5-fluorouracil on morphology, cell cycle, proliferation, apoptosis, autophagy and ROS production in endothelial cells and cardiomyocytes. PLoS ONE 2015, 10, e0115686. [Google Scholar] [CrossRef] [PubMed]


















| 4a | 4b | 4c | 4d | |
|---|---|---|---|---|
| Chemical formula | C24H18F2N4 | C24H18ClFN4 | C25H21FN4O | C25H17ClF4N4 |
| Mr | 400.42 | 416.87 | 412.46 | 484.88 |
| Crystal system, space group | Orthorhombic, Pna21 | Orthorhombic, P212121 | Monoclinic, C2/c | Monoclinic, P21/c |
| Temperature (K) | 100 | 100 | 100 | 100 |
| a, b, c (Å) | 7.168 (2), 15.447 (4), 17.123 (5) | 7.907 (2), 11.842 (3), 20.544 (4) | 39.850 (8), 5.131 (2), 44.009 (9) | 7.766 (2), 11.769 (3), 23.623 (5) |
| α, β, γ (°) | 90, 90, 90 | 90, 90, 90 | 90, 115.29 (3), 90 | 90, 98.54 (3), 90 |
| V (Å3) | 1895.9 (9) | 1923.6 (8) | 8136 (4) | 2135.2 (9) |
| Z | 4 | 4 | 16 | 4 |
| Radiation type | Cu Kα | Mo Kα | Cu Kα | Cu Kα |
| µ (mm−1) | 0.81 | 0.23 | 0.74 | 2.10 |
| Crystal size (mm) | 0.13 × 0.03 × 0.02 | 0.32 × 0.19 × 0.14 | 0.33 × 0.02 × 0.02 | 0.47 × 0.03 × 0.02 |
| Tmin, Tmax | 0.815, 1.000 | 0.994, 1.000 | 0.812, 1.000 | 0.453, 1.000 |
| No. of measured, independent, and observed [I > 2σ(I)] reflections | 9572, 3490, 3415 | 28147, 5625, 5150 | 43,588, 7927, 4121 | 13,249, 4111, 3338 |
| Rint | 0.019 | 0.031 | 0.091 | 0.029 |
| (sin θ/λ)max (Å−1) | 0.620 | 0.719 | 0.625 | 0.621 |
| R[F2 > 2σ(F2)], wR(F2), S | 0.028, 0.070, 1.06 | 0.034, 0.082, 1.03 | 0.064, 0.187, 1.03 | 0.039, 0.107, 1.02 |
| Δρmax, Δρmin (e Å−3) | 0.25, −0.14 | 0.31, −0.24 | 0.23, −0.27 | 0.25, −0.39 |
| Absolute structure parameter | 0.12 (4) | 0.023 (15) | – | – |
| Compounds | d(N5-C57) | <(C5-C57-N5-C51) | (N1 ÷ C5) < (C21 ÷ C26) | (N1 ÷ C5) < (C41 ÷ C46) | (N1 ÷ C5) < (C51 ÷ C56) | |
|---|---|---|---|---|---|---|
| 4a | 1.286 (3) | −173.35 (17) | 12.2 (2) | 19.8 (2) | 14.8 (2) | |
| 4b | 1.289 (2) | −178.82 (17) | 7.0 (3) | 2.1 (2) | 41.8 (2) | |
| 4c | Molecule A | 1.284 (4) | 177.4 (3) | 8.0 (4) | 8.1 (6)/ 7.9 (6) ′ | 5.3 (4) |
| Molecule B | 1.281 (4) | −177.1 (3) | 6.0 (4) | 18.8 (5)/ 26.9 (5) ″ | 7.426 (4) | |
| 4d | 1.282 (2) | −178.90 (14) | 4.9 (2) | 19.1 (2) | 6.4 (2) | |
| III [43] | 1.288 (2) * | 176.65 (16) * | 10.3 (3) * | 15.2 (3) * | 8.6 (3) * | |
| Compounds | D–H∙∙∙A | d(D–H) | d(H···A) | d(D···A) | <(D–H···A) |
|---|---|---|---|---|---|
| 4a | N4–H4···N5 | 0.95 (2) | 1.87 (2) | 2.692 (2) | 143 (2) |
| C46–H46···N3 | 0.95 | 2.26 | 2.825 (3) | 117.3 | |
| C56–H56···F4 i | 0.95 | 2.66 | 3.592 (3) | 168.8 | |
| C61–H613···F4 i | 0.98 | 2.66 | 3.372 (2) | 129.6 | |
| 4b | N4–H4···N5 | 0.86 (2) | 1.93 (2) | 2.669 (2) | 143 (2) |
| C45–H45···Cl5 i | 0.95 | 2.80 | 3.591 (2) | 141.2 | |
| C46–H46···N3 | 0.95 | 2.35 | 2.951 (3) | 120.9 | |
| C61–H611···F4 ii | 0.98 | 2.61 | 3.280 (2) | 125.5 | |
| C61–H613···Cl5 iii | 0.98 | 2.92 | 3.738 (2) | 141.8 | |
| 4c | N4A–H4A···N5A | 0.90 (3) | 1.86 (3) | 2.678 (4) | 151 (3) |
| N4B–H4B···N5B | 0.88 (4) | 1.84 (4) | 2.651 (4) | 152 (3) | |
| C42A–H42A···O5A | 0.95 | 2.66 | 3.552 (12) | 156.5 | |
| C42C–H42C···O5A | 0.95 | 2.73 | 3.577 (13) | 149.4 | |
| C42B–H42B···O5B | 0.95 | 2.56 | 3.374 (8) | 144.4 | |
| C46A–H46A···N3A | 0.95 | 2.36 | 2.935 (12) | 118.6 | |
| C46C–H46C···N3A | 0.95 | 2.30 | 2.868 (12) | 118.1 | |
| C46B–H46B···N3B | 0.95 | 2.52 | 3.060 (9) | 115.9 | |
| C46D–H46D···N3B | 0.95 | 2.19 | 2.765 (9) | 117.8 | |
| C43B–H43B···F4B i | 0.95 | 2.03 | 2.643 (10) | 121.0 | |
| C58A–H5A3···N4A ii | 0.98 | 2.77 | 3.283 (5) | 113.6 | |
| C58D–H5D2···N4B ii | 0.98 | 2.66 | 3.241 (10) | 118.4 | |
| C61A–H6A1···F4D iii | 0.98 | 2.61 | 3.336 (8) | 131.1 | |
| C61A–H6A3···F4D iv | 0.98 | 2.59 | 3.381 (8) | 137.4 | |
| 4d | N4–H4···N5 | 0.87 (2) | 1.90 (2) | 2.651 (2) | 144.1 (18) |
| C46–H46···N3 | 0.95 | 2.35 | 2.933 (2) | 119.3 | |
| C55–H55···F52 i | 0.95 | 2.47 | 3.394 (2) | 162.8 | |
| C52–H52···F4 ii | 0.95 | 2.82 | 3.280 (2) | 111.0 |
| Compounds | A172 | AGS | CaCo-2 | HeLa | HepG2 |
|---|---|---|---|---|---|
| 4b | 63.385 | 32.210 | >100 | >100 | >100 |
| 4c | >100 | >100 | >100 | >100 | >100 |
| 4d | >100 | >100 | >100 | >100 | >100 |
| III [43] | 4b | N-1H-Indazol-5-yl-2-(6-methylpyridin-2-yl)quinazolin-4-amine | |
|---|---|---|---|
| Physiochemical properties | The compound has a molecular weight of 426.49 g/mol; number of heavy atoms and number of aromatic heavy atoms: 32 and 24, respectively; number of rotatable bonds: 7; number of H-bond acceptors and donors: 5 and 1, respectively. The value of the polar surface area (PSA) calculated using the topological polar surface area (TPSA), considering sulphur and phosphorus as polar atoms, is 59.40 Å [47] | The compound has a molecular weight of 416.88g/mol; number of heavy atoms and number of aromatic heavy atoms: 30 and 24, respectively; number of rotatable bonds: 5; number of H-bond acceptors and donors: 4 and 1, respectively. The value of the polar surface area (PSA) calculated using the topological polar surface area (TPSA), considering sulphur and phosphorus as polar atoms, is 50.17 Å | The compound has a molecular weight of 352.39 g/mol; number of heavy atoms and number of aromatic heavy atoms: 27 and 25, respectively; number of rotatable bonds: 3; number of H-bond acceptors and donors: 4 and 2 respectively. The value of the polar surface area (PSA) calculated using the topological polar surface area (TPSA), considering sulphur and phosphorus as polar atoms, is 79.38 Å |
| Lipophilicity | The value partition coefficient between n-octanol and water (log Po/w) is 5.55 [48]. It is an average value of five freely available predictive models (i.e., XLOGP3 [49], WLOGP [50], MLOGP [51,52], SILICOS-IT [53], and iLOGP) [54]. | The consensus value partition coefficient between n-octanol and water (log Po/w) is 5.75. | The consensus value partition coefficient between n-octanol and water (log Po/w) is 3.63. |
| Water solubility | Estimated by three predictors. The value of Log S (ESOL) [55] is −6.28, which indicates that a compound is poorly soluble. The predicted value of solubility is 2.23 × 10−4 mg/mL. The value of log S (Ali) [56] is −6.90, which classifies the compound as poorly soluble. The value of solubility is 5.37 × 10−5 mg/mL. The value of log S (SILICOS-IT) [53] is −10.45, which classifies the compound as insoluble. The predicted value of solubility is 1.53 × 10−8 mg/mL. | The value of Log S (ESOL) is −6.57, which classifies a compound as poorly soluble. The predicted value of solubility is 1.11 × 10−4 mg/mL. The value of log S (Ali) is −7.01, which also classifies the compound as poorly soluble. The value of solubility is 2.99 × 10−2 mg/mL. The value of log S (SILICOS-IT) is −10.54, which classifies the compound as insoluble. The predicted value of solubility is 1.21 × 10−8 mg/mL. | The value of Log S (ESOL) is −5.08, which classifies a compound as poorly soluble. The predicted value of solubility is 1.11 × 10−4 mg/mL. The value of log S (Ali) is −7.01, which also classifies the compound as poorly soluble. The value of solubility is 2.99 × 10−2 mg/mL. The value of log S (SILICOS-IT) is −10.54, which classifies the compound as insoluble. The predicted value of solubility is 1.21 × 10−8 mg/mL. |
| Pharmacokinetics | One of the estimated predictors relates to skin permeability coefficient (Kp) [57]. The more negative Kp is, the less permeant a molecule is. The predicted Kp value of compound 3 is −4.73 cm/s, which is the predicted interaction of a molecule with cytochromes P450 [58,59]. The compound is predicted to be an inhibitor of CYP2C19, CYP2D6, and CYP3A4. | The predicted Kp value of the compound is −4.46 cm/s. The compound is predicted to be an inhibitor of CYP2C19 and CYP3A4. | The predicted Kp value of the compound is −5.56 cm/s. The compound is predicted to be an inhibitor of CYP1A2, CYP2C19, CYP2D6, and CYP3A4. |
| Drug-likeness | Estimation of the chance to be an oral drug. The software programme SwissADME (http://www.swissadme.ch/, accessed on 29 December 2023) is based on five different predictors and was originally used by major pharmaceutical companies aiming to improve the quality of their chemical substances. These are the Lipinski (Pfizer) rule of five [60], Ghose (Amgen) [61], Veber (GSK) [62], Egan (Pharmacia) [63], and Muegge (Bayer) [64]. According to Lipinski and Veber, the compound is predicted to have a chance to be an oral drug, with a bioavailability score 0.55 | According to the Lipinski rule of five [60] and Veber [62], the compound is predicted to have a chance to be an oral drug. | According to the Lipinski rule of five [60], Veber [62], Egan [63], and Muegge [64], the compound is predicted to have a chance to be an oral drug. |
| Medicinal chemistry | Two complementary pattern recognition methods allow for the identification of potentially problematic fragments—assay interference compounds (PAINS) [65] and Brenk Structural alert [66]. One predicted alert according to Brenk. | Compound has one predicted structural problematic fragment. | Compound has one predicted structural problematic fragments. |
| Compound | Target Class | Target Name | Protein Data Bank (PDB) Accession Code |
|---|---|---|---|
| III [43] | Kinase | VEGFR2 in complex with a novel 4-amino-furo[2,3-d]pyrimidine | 1YWN |
| 4b | Kinase | VEGFR2 in complex with a novel 4-amino-furo[2,3-d]pyrimidine | 1YWN |
Disclaimer/Publisher’s Note: The statements, opinions and data contained in all publications are solely those of the individual author(s) and contributor(s) and not of MDPI and/or the editor(s). MDPI and/or the editor(s) disclaim responsibility for any injury to people or property resulting from any ideas, methods, instructions or products referred to in the content. |
© 2024 by the authors. Licensee MDPI, Basel, Switzerland. This article is an open access article distributed under the terms and conditions of the Creative Commons Attribution (CC BY) license (https://creativecommons.org/licenses/by/4.0/).
Share and Cite
Bryndal, I.; Stolarczyk, M.; Mikołajczyk, A.; Krupińska, M.; Pyra, A.; Mączyński, M.; Matera-Witkiewicz, A. Pyrimidine Schiff Bases: Synthesis, Structural Characterization and Recent Studies on Biological Activities. Int. J. Mol. Sci. 2024, 25, 2076. https://doi.org/10.3390/ijms25042076
Bryndal I, Stolarczyk M, Mikołajczyk A, Krupińska M, Pyra A, Mączyński M, Matera-Witkiewicz A. Pyrimidine Schiff Bases: Synthesis, Structural Characterization and Recent Studies on Biological Activities. International Journal of Molecular Sciences. 2024; 25(4):2076. https://doi.org/10.3390/ijms25042076
Chicago/Turabian StyleBryndal, Iwona, Marcin Stolarczyk, Aleksandra Mikołajczyk, Magdalena Krupińska, Anna Pyra, Marcin Mączyński, and Agnieszka Matera-Witkiewicz. 2024. "Pyrimidine Schiff Bases: Synthesis, Structural Characterization and Recent Studies on Biological Activities" International Journal of Molecular Sciences 25, no. 4: 2076. https://doi.org/10.3390/ijms25042076
APA StyleBryndal, I., Stolarczyk, M., Mikołajczyk, A., Krupińska, M., Pyra, A., Mączyński, M., & Matera-Witkiewicz, A. (2024). Pyrimidine Schiff Bases: Synthesis, Structural Characterization and Recent Studies on Biological Activities. International Journal of Molecular Sciences, 25(4), 2076. https://doi.org/10.3390/ijms25042076

