Antineoplastic Activity of 9″-Lithospermic Acid Methyl Ester in Glioblastoma Cells
Abstract
1. Introduction
2. Results
2.1. Sensitivity of Glioblastoma Cells to 9″-Lithospermic Acid Methyl Ester and IC50 Calculation
2.2. 9″-Lithospermic Acid Methyl Ester Induces Cell Cycle Arrest
2.3. 9″-Lithospermic Acid Methyl Ester Inhibits the Migration of Glioblastoma Cells
2.4. 9″-Lithospermic Acid Methyl Ester and TMZ Exert Synergistic Anti-Proliferative Results
3. Discussion
4. Materials and Methods
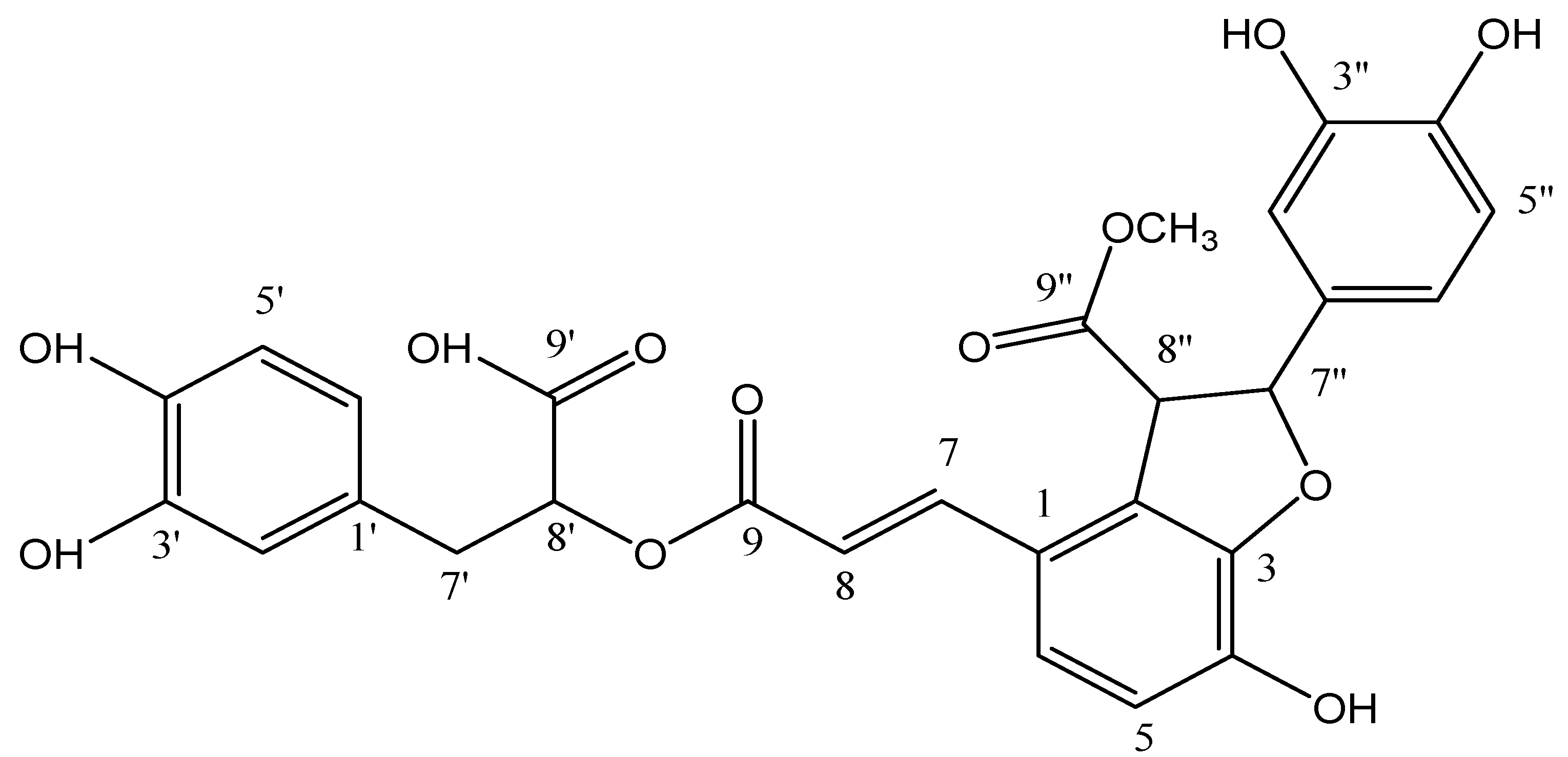
4.1. Isolation and Identification of 9″-Lithospermic Acid Methyl Ester
4.2. Cell Lines and Treatment Conditions
4.3. Trypan Blue Assay
4.4. Crystal Violet Assay
4.5. Flow Cytometric Analysis of DNA Cell Cycle
4.6. Combination Treatment with 9″-Lithospermic Acid Methyl Ester and Temozolomide
4.7. Scratch Wound Healing Assay
4.8. Statistical Analysis
5. Conclusions
Supplementary Materials
Author Contributions
Funding
Institutional Review Board Statement
Informed Consent Statement
Data Availability Statement
Conflicts of Interest
Abbreviations
| CI | Combination Index |
| DMSO | Dimethyl Sulfoxide |
| FBS | Fetal Bovine Serum |
| GBM | Glioblastoma |
| HIV | Human Immunodeficiency Virus |
| PBS | Phosphate-Buffered Saline |
| PI | Propidium Iodide |
| PI3K | Phosphoinositide 3—kinase |
| TMZ | Temozolomide |
References
- Nabors, L.B.; Portnow, J.; Ahluwalia, M.; Baehring, J.; Brem, H.; Brem, S.; Butowski, N.; Campian, J.L.; Clark, S.W.; Fabiano, A.J.; et al. Central Nervous System Cancers, Version 3.2020, NCCN Clinical Practice Guidelines in Oncology. J. Natl. Compr. Cancer Netw. 2020, 18, 1537–1570. [Google Scholar] [CrossRef]
- Tamimi, A.F.; Juweid, M. Epidemiology and Outcome of Glioblastoma. In Glioblastoma [Internet]; Codon Publications: Brisbane, Australia, 2017; pp. 143–153. [Google Scholar]
- Ostrom, Q.T.; Gittleman, H.; Farah, P.; Ondracek, A.; Chen, Y.; Wolinsky, Y.; Stroup, N.E.; Kruchko, C.; Barnholtz-Sloan, J.S. CBTRUS statistical report: Primary brain and central nervous system tumors diagnosed in the United States in 2006–2010. Neuro Oncol. 2013, 15 (Suppl. 2), ii1–ii56. [Google Scholar] [CrossRef] [PubMed]
- Koshy, M.; Villano, J.L.; Dolecek, T.A.; Howard, A.; Mahmood, U.; Chmura, S.J.; Weichselbaum, R.R.; McCarthy, B.J. Improved survival time trends for glioblastoma using the SEER 17 population-based registries. J. Neurooncol. 2012, 107, 207–212. [Google Scholar] [CrossRef] [PubMed]
- Kyritsis, A.P.; Levin, V.A. An algorithm for chemotherapy treatment of recurrent glioma patients after temozolomide failure in the general oncology setting. Cancer Chemother. Pharmacol. 2011, 67, 971–983. [Google Scholar] [CrossRef] [PubMed]
- Stupp, R.; Mason, W.P.; van den Bent, M.J.; Weller, M.; Fisher, B.; Taphoorn, M.J.; Belanger, K.; Brandes, A.A.; Marosi, C.; Bogdahn, U.; et al. Radiotherapy plus concomitant and adjuvant temozolomide for glioblastoma. N. Engl. J. Med. 2005, 352, 987–996. [Google Scholar] [CrossRef]
- Lazari, D.; Alexiou, G.A.; Markopoulos, G.S.; Vartholomatos, E.; Hodaj, E.; Chousidis, I.; Leonardos, I.; Galani, V.; Kyritsis, A.P. N-(p-coumaroyl) serotonin inhibits glioblastoma cells growth through triggering S-phase arrest and apoptosis. J. Neurooncol. 2017, 132, 373–381. [Google Scholar] [CrossRef]
- Kelley, C.J.; Mahajan, J.R.; Brooks, L.C.; Neubert, L.A.; Breneman, W.R.; Carmack, M. Polyphenolic Acids of Lithospermicum ruderale (Boraginaceae). I. Isolation and Structure Determination of Lithospermic Acid. J. Org. Chem. 1975, 40, 1804–1815. [Google Scholar]
- Ai, C.B.; Li, L.N. Stereo structure of salvianolic acid B and isolation of salvianolic acid C from salvia miltiorrhiza. J. Nat. Prod. 1988, 51, 145–149. [Google Scholar] [CrossRef]
- Murata, T.; Oyama, K.; Fujiyama, M.; Oobayashi, B.; Umehara, K.; Miyase, T.; Yoshizaki, F. Diastereomers of Lithospermic acid and Lithospermic acid B from Monarda fistulosa and Lithospermicum erythrorhizon. Fitoterapia 2013, 91, 51–59. [Google Scholar] [CrossRef]
- Abd-Elazem, I.S.; Chen, H.S.; Bates, R.B.; Huang, R.C.C. Isolation of two highly potent and non-toxic inhibitors of human immunodeficiency virus type 1 (HIV-1) integrase from Salvia miltiorrhiza. Antivir. Res. 2002, 55, 91–106. [Google Scholar] [CrossRef]
- Murata, T.; Miyase, T.; Yoshizaki, F. Cyclic Spermidine Alkaloids and Flavone Glycosides from Meehania fargesii. Chem. Pharm. Bull. 2010, 58, 696–702. [Google Scholar] [CrossRef]
- Tanaka, T.; Moromoto, S.; Nonaka, G.; Nishioka, I.; Yokazawa, T.; Chung, H.Y.; Oura, H. Magnesium and Ammonium-Potassium Lithospermicates B, the Active Principles Having a Uremia-Preventive Effect from Salvia miltiorrhiza. Chem. Pharm. Bull. 1989, 37, 340–344. [Google Scholar] [CrossRef]
- Jin, C.J.; Yu, S.H.; Wang, X.M.; Woo, S.J.; Park, H.J.; Lee, H.C.; Choi, S.H.; Kim, K.M.; Kim, J.H.; Park, K.S.; et al. The Effect of Lithospermic Acid, an Antioxidant, on Development of Diabetic Retinopathy in Spontaneously Obese Diabetic Rats. PLoS ONE 2014, 9, e98232. [Google Scholar] [CrossRef]
- Yang, F.; Chen, Z.R.; Yang, X.H.; Xu, Y.; Ran, N.J.; Liu, M.J.; Jin, S.G.; Jia, H.N.; Zhang, Y. Monomethyl Lithospermicate alleviates ischemic stroke injury in middle cerebral artery occlusion mice in vivo and protects oxygen glucose deprivation/reoxygenation induced SHSY-5Y cells in vitro via activation of PI3K/Akt signaling. Front. Pharmacol. 2022, 13, 1024439. [Google Scholar] [CrossRef]
- Greenwell, M.; Rahman, P.K.S.M. Medicinal Plants: Their Use in Anticancer Treatment. Int. J. Pharm. Sci. Res. 2015, 6, 4103. [Google Scholar]
- Khan, T.; Ali, M.; Khan, A.; Nisar, P.; Jan, S.A.; Afridi, S.; Shinwari, Z.K. Anticancer Plants: A Review of the Active Phytochemicals, Applications in Animal Models, and Regulatory Aspects. Biomolecules 2019, 10, 47. [Google Scholar] [CrossRef] [PubMed]
- Zoi, V.; Papagrigoriou, T.; Tsiftsoglou, O.S.; Alexiou, G.A.; Giannakopoulou, M.; Tzima, E.; Tsekeris, P.; Zikou, A.; Kyritsis, A.P.; Lazari, D.; et al. Therapeutic Potential of Linearol in Combination with Radiotherapy for the Treatment of Glioblastoma In Vitro. Int. J. Mol. Sci. 2023, 24, 3760. [Google Scholar] [CrossRef]
- Giannakopoulou, M.; Dimitriadis, K.; Koromili, M.; Zoi, V.; Vartholomatos, E.; Galani, V.; Kyritsis, A.P.; Alexiou, G.A.; Lazari, D. Siderol Inhibits Proliferation of Glioblastoma Cells and Acts Synergistically with Temozolomide. Biomedicines 2022, 10, 3216. [Google Scholar] [CrossRef] [PubMed]
- Chan, K.W.K.; Ho, W.S. Anti-oxidative and hepatoprotective effects of lithospermic acid against carbon tetrachloride-induced liver oxidative damage in vitro and in vivo. Oncol. Rep. 2015, 34, 673–680. [Google Scholar] [CrossRef] [PubMed]
- Zhang, M.; Wei, L.; Xie, S.; Xing, Y.; Shi, W.; Zeng, X.; Chen, S.; Wang, S.; Deng, W.; Tang, Q. Activation of Nrf2 by Lithospermic Acid Ameliorates Myocardial Ischemia and Reperfusion Injury by Promoting Phosphorylation of AMP-Activated Protein Kinase α (AMPKα). Front. Pharmacol. 2021, 12, 794982. [Google Scholar] [CrossRef] [PubMed]
- Kohda, H.; Takeda, O.; Tanaka, S.; Yamasaki, K.; Yamashita, A.; Kurokawa, T.; Ishibashi, S. Isolation of inhibitors of adenylate cyclase from dan-shen, the root of Salvia miltiorrhiza. Chem. Pharm. Bull. 1989, 37, 1287–1290. [Google Scholar] [CrossRef]
- Insel, P.A.; Zhang, L.; Murray, F.; Yokouchi, H.; Zambon, A.C. Cyclic AMP is both a pro-apoptotic and anti-apoptotic second messenger. Acta Physiol. 2012, 204, 277–287. [Google Scholar] [CrossRef] [PubMed]
- Friesen, C.; Hormann, I.; Roscher, M.; Fichtner, I.; Alt, A.; Hilger, R.; Debatin, K.M.; Miltner, E. Opioid receptor activation triggering downregulation of cAMP improves effectiveness of anti-cancer drugs in treatment of glioblastoma. Cell Cycle 2014, 13, 1560–1570. [Google Scholar] [CrossRef]
- Paris, R.; Nothis, A. Plantes médicinales et Phytothérapie. Tome IV 1970, 63–74. [Google Scholar]
- Chou, T.C. Theoretical Basis, Experimental Design, and Computerized Simulation of Synergism and Antagonism in Drug Combination Studies. Pharmacol. Rev. 2006, 58, 621–681. [Google Scholar] [CrossRef] [PubMed]
- Chou, T.C. Drug Combination Studies and Their Synergy Quantification Using the Chou-Talalay Method. Cancer Res. 2010, 70, 440–446. [Google Scholar] [CrossRef]











| Agent Concentration | Sub. G0/G1 | G0/G1 | S | G2/M | |
|---|---|---|---|---|---|
| U87 | Control | 0.7% ± 0.20% | 75.1% ± 1.90% | 18.1% ± 1.15% | 3.4% ± 0.35% |
| IC50 | 2.8% ± 0.25% | 63.7% ± 1.10% | 24.6% ± 3.53% | 5.6% ± 1.22% | |
| 2IC50 | 12.2% ± 1.00% | 51.8% ± 1.59% | 27.0% ± 2.52% | 6.3% ± 0.61% | |
| T98 | Control | 1.2% ± 0.26% | 67.6% ± 1.34% | 17.3% ± 1.01% | 11.8% ± 0.06% |
| IC50 | 14.1% ± 0.42% | 44.2% ± 0.50% | 23.6% ± 0.82% | 13.2% ± 0.38% | |
| 2IC50 | 29.3% ± 2.98% | 30.5% ± 3.00% | 23.8% ± 0.93% | 11.1% ± 0.42% |
| U87 | ||||
| 9″–LITH (μM) | TMZ (μM) | EFFECT | CI | RESULT |
| 30.0 | 50.0 | 0.9251 | 0.75558 | SYNERGY |
| 15.0 | 25.0 | 0.8682 | 0.64668 | SYNERGY |
| 45.0 | 50.0 | 0.9432 | 0.64868 | SYNERGY |
| 60.0 | 100.0 | 0.9742 | 0.58751 | SYNERGY |
| T98 | ||||
| 9″–LITH (μM) | TMZ (μM) | EFFECT | CI | RESULT |
| 34.0 | 300.0 | 0.8702 | 1.4817 | ANTAGONISM |
| 17.0 | 200.0 | 0.8702 | 0.8881 | SYNERGY |
| 51.0 | 300.0 | 0.9441 | 1.323 | ANTAGONISM |
| 68.0 | 400.0 | 0.9664 | 1.4882 | ANTAGONISM |
| No | δC | Type C | δH | H | J (Hz) |
|---|---|---|---|---|---|
| 1 | 127.5 | C | - | - | - |
| 2 | 130.1 | C | - | - | - |
| 3 | 150.6 | C | - | - | - |
| 4 | 146.9 | C | - | - | - |
| 5 | 118.1 | CH | 7.01 | 1 | d (J = 8.0) |
| 6 | 121.9 | CH | 7.06 | 1 | d (J = 8.0) |
| 7 | 145.9 | CH | 7.54 | 1 | d (J = 16.0) |
| 8 | 116.3 | CH | 6.30 | 1 | d (J = 16.0) |
| 9 | 168.9 | C=O | - | - | - |
| 1′ | 131.2 | C | - | - | - |
| 2′ | 117.4 | CH | 6.78 | 1 | br s |
| 3′ | 146.6 | C | - | - | - |
| 4′ | 144.8 | C | - | - | - |
| 5′ | 116.5 | CH | 6.68 | 1 | d (J = 8.5) |
| 6′ | 118.8 | CH | 6.63 | 1 | br dd (J = 8.5) |
| 7′a | 38.7 | CH2 | 3.11 | 1 | br dd (J = 13.7, 3.4) |
| 7′b | 2.96 | 1 | dd (J = 13.7, 9.8) | ||
| 8′ | 77.5 | CH | 5.13 | 1 | br dd (J = 9.8, 3.4) |
| 9′ | 177.4 | C=O | - | - | - |
| 1″ | 133.2 | C | - | - | - |
| 2″ | 114.1 | CH | 6.82 | 1 | br s |
| 3″ | 146.3 | C | - | - | - |
| 4″ | 143.0 | C | - | - | - |
| 5″ | 116.7 | CH | 6.77 | 1 | d (J = 8.5) |
| 6″ | 117.7 | CH | 6.72 | 1 | dd (J = 8.5, 1.9) |
| 7″ | 88.5 | CH | 5.94 | 1 | d (J = 7.0) |
| 8″ | 57.0 | CH | 4.28 | 1 | d (J = 6.8) |
| 9″ | 172.9 | C=O | - | - | - |
| -OCH3 | 53.3 | CH3 | 3.80 | 3 | s |
Disclaimer/Publisher’s Note: The statements, opinions and data contained in all publications are solely those of the individual author(s) and contributor(s) and not of MDPI and/or the editor(s). MDPI and/or the editor(s) disclaim responsibility for any injury to people or property resulting from any ideas, methods, instructions or products referred to in the content. |
© 2024 by the authors. Licensee MDPI, Basel, Switzerland. This article is an open access article distributed under the terms and conditions of the Creative Commons Attribution (CC BY) license (https://creativecommons.org/licenses/by/4.0/).
Share and Cite
Tzitiridou, P.; Zoi, V.; Papagrigoriou, T.; Lazari, D.; Sioka, C.; Alexiou, G.A.; Kyritsis, A.P. Antineoplastic Activity of 9″-Lithospermic Acid Methyl Ester in Glioblastoma Cells. Int. J. Mol. Sci. 2024, 25, 2094. https://doi.org/10.3390/ijms25042094
Tzitiridou P, Zoi V, Papagrigoriou T, Lazari D, Sioka C, Alexiou GA, Kyritsis AP. Antineoplastic Activity of 9″-Lithospermic Acid Methyl Ester in Glioblastoma Cells. International Journal of Molecular Sciences. 2024; 25(4):2094. https://doi.org/10.3390/ijms25042094
Chicago/Turabian StyleTzitiridou, Panagiota, Vasiliki Zoi, Theodora Papagrigoriou, Diamanto Lazari, Chrissa Sioka, Georgios A. Alexiou, and Athanassios P. Kyritsis. 2024. "Antineoplastic Activity of 9″-Lithospermic Acid Methyl Ester in Glioblastoma Cells" International Journal of Molecular Sciences 25, no. 4: 2094. https://doi.org/10.3390/ijms25042094
APA StyleTzitiridou, P., Zoi, V., Papagrigoriou, T., Lazari, D., Sioka, C., Alexiou, G. A., & Kyritsis, A. P. (2024). Antineoplastic Activity of 9″-Lithospermic Acid Methyl Ester in Glioblastoma Cells. International Journal of Molecular Sciences, 25(4), 2094. https://doi.org/10.3390/ijms25042094

