Cyclodextrin Polymer-Loaded Micro-Ceramic Balls for Solid-Phase Extraction of Triazole Pesticides from Water
Abstract
1. Introduction
2. Results and Discussion
2.1. Preparation and Characterization of Adsorbents
2.2. Degradation of β-CD Polymer
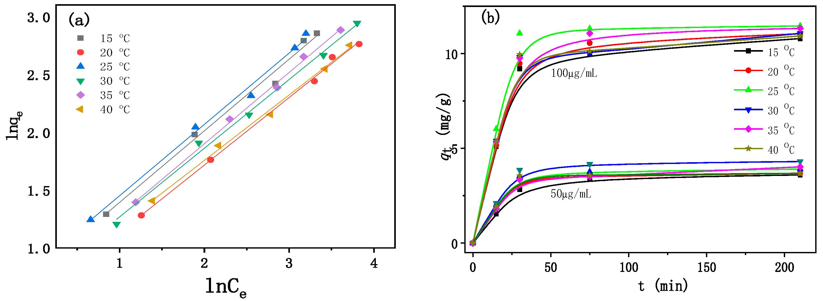
2.3. Adsorption Isotherm Models
2.4. Thermodynamic Studies
2.5. Comparison of the Solid Phase Extraction Method of P-MCB with Other Methods
3. Materials and Methods
3.1. Materials
3.2. Measurements
3.3. Preparation of β-Cyclodextrin Polymer
3.3.1. Preparation of β-Cyclodextrin-Citric Acid Conjugate
3.3.2. Preparation of β-Cyclodextrin Polymer Loaded Micro-Ceramic Balls (P-MCB)
3.4. Degradation of β-Cyclodextrin Polymer
3.5. Separation of Pesticides
4. Conclusions
Author Contributions
Funding
Institutional Review Board Statement
Informed Consent Statement
Data Availability Statement
Conflicts of Interest
References
- Chen, Y.; Yao, K.; Wang, K.; Xiao, C.; Li, K.; Khan, B.; Zhao, S.; Yan, W.; Ye, Y. Bioactive-guided structural optimization of 1,2,3-triazole phenylhydrazones as potential fungicides against Fusarium graminearum. Pestic. Biochem. Phys. 2020, 164, 26–32. [Google Scholar] [CrossRef]
- Liu, G.Y.; Li, L.Y.; Huang, X.D.; Zheng, S.N.; Xu, D.H.; Xu, X.M.; Zhang, Y.G.; Lin, H. Determination of triazole pesticides in aqueous solution based on magnetic graphene oxide functionalized MOF-199 as solid phase extraction sorbents. Microporous Mesoporous Mater. 2018, 270, 258–264. [Google Scholar] [CrossRef]
- Sanchez, C.L.; Souders II, C.L.; Pena-Delgado, C.J.; Nguyen, K.T.; Kroyter, N.; Ahmadie, N.E.; Aristizabal-Henao, J.J.; Bowden, J.A.; Martyniuk, C.J. Neurotoxicity assessment of triazole fungicides on mitochondrial oxidative respiration and lipids in differentiated human SH-SY5Y neuroblastoma cells. Neurotoxicology 2020, 80, 76–86. [Google Scholar] [CrossRef] [PubMed]
- Yan, W.; Wang, X.; Li, K.; Li, T.; Wang, J.; Yao, K.; Cao, L.; Zhao, S.; Ye, Y. Design, synthesis, and antifungal activity of carboxamide derivatives possessing 1,2,3-triazole as potential succinate dehydrogenase inhibitorsPestic. Biochem. Phys. 2019, 156, 160–169. [Google Scholar]
- Jeschke, P. Progress of modern agricultural chemistry and future prospects. Pest Manag. Sci. 2016, 72, 433–455. [Google Scholar] [CrossRef] [PubMed]
- Boon, P.E.; Donkersgoed van, G.; Christodoulou, D.; Crepet, A.; Addezio, L.D.; Desvignes, V.; Ericsson, B.-G.; Galimberti, F.; Ioannou-Kakouri, E.; Jensen, B.H.; et al. Cumulative dietary exposure to a selected group of pesticides of the triazole group in different European countries according to the EFSA guidance on probabilistic modelling. Food Chem. Toxicol. 2015, 79, 13–31. [Google Scholar] [CrossRef] [PubMed]
- Gottfried, A.; Shepard, A.D.; Hardiman, K.; Walsh, M.E. Impact of recycling filter backwash water on organic removal in coagulationesedimentation processes. Water Res. 2008, 42, 4683–4691. [Google Scholar] [CrossRef] [PubMed]
- Medeiros, R.C.; de MN Fava, N.; Freitas, B.L.S.; Sabogal-Paz, L.P.; Hoffmann, M.T.; Davis, J.; Fernandez-Ibanez, P.; Byrne, J.A. Drinking water treatment by multistage filtration on a household scale: Efficiency and challenges. Water Res. 2020, 178, 115816. [Google Scholar] [CrossRef] [PubMed]
- Gray, N.F. Water Technology: An Introduction for Environmental Scientists and Engineers, 2nd ed.; Elsevier Science & Technology Books: Amsterdam, The Netherlands, 2005; ISBN 0750666331. [Google Scholar]
- Nystrom, F.; Nordqvist, K.; Herrmann, I.; Hedstrom, A.; Viklander, M. Removal of metals and hydrocarbons from stormwater using coagulation and flocculation. Water Res. 2020, 182, 115919. [Google Scholar] [CrossRef]
- Zhang, X.; Lv, L.; Qin, Y.; Xu, M.; Jia, X.; Chen, Z. Removal of aqueous Cr(VI) by a magnetic biochar derived from Meliaazedarach wood. Bioresour. Technol. 2018, 256, 1–10. [Google Scholar] [CrossRef]
- Yi, X.; Liu, C.; Liu, X.; Wang, P.; Zhou, Z.; Liu, D. Magnetic partially carbonized cellulose nanocrystal-based magnetic solid phase extraction for the analysis of triazine and triazole pesticides in water. Microchim. Acta 2019, 186, 825. [Google Scholar] [CrossRef]
- Li, S.-Y.; Wang, D.; Qiu, Y.; Wang, L.-L.; Yang, L.-P. Application of macrocycle-crosslinked polymers as adsorbents for the removal of organic micropollutants from water. Curr. Opin. Green Sustain. Chem. 2023, 40, 100755. [Google Scholar] [CrossRef]
- Cheang, T.; Zhou, H.; Lin, W.; Wang, Y.; Chang, X.; Gao, F.; Zhang, Y. Adsorption performance and mechanism of chromium on β-cyclodextrin-modified molybdenum disulfide. J. Mater. Sci. 2022, 57, 19694–19703. [Google Scholar] [CrossRef]
- Szejtli, J. Introduction and general overview of cyclodextrin chemistry. Chem. Rev. 1998, 98, 1743–1753. [Google Scholar] [CrossRef]
- Alves-Prado, H.F.; Carneiro, A.A.J.; Pavezzi, F.C.; Gomes, E.; Boscolo, M.; Franco, C.M.L.; Da Silva, R. Production of cyclodextrins by CGTase from Bacillus clausii using different starches as substrates. Appl. Biochem. Biotechnol. 2008, 146, 3–13. [Google Scholar] [CrossRef]
- Wang, Z.; Lin, F.; Huang, L.; Chang, Z.; Yang, B.; Liu, S.; Zheng, M.; Lu, Y.; Chen, J. Cyclodextrin functionalized 3D-graphene for the removal of Cr(VI) with the easy and rapid separation strategy. Environ. Pollut. 2019, 254, 112854. [Google Scholar] [CrossRef]
- Klemes, M.J.; Ling, Y.; Ching, C.; Wu, C.; Xiao, L.; Helbling, P.D.E.; Dichtel, P.W.R. Reduction of a Tetrafluoroterephthalonitrile-β-Cyclodextrin Polymer to Remove Anionic Micropollutants and Perfluorinated Alkyl Substances from Water. Angew. Chem. Int. Ed. 2019, 58, 12049–12053. [Google Scholar] [CrossRef]
- Alsbaiee, A.; Smith, B.J.; Xiao, L.; Ling, Y.; Helbling, D.E.; Dichtel, W.R. Rapid removal of organic micropollutants from water by a porous β-cyclodextrin polymer. Nature 2016, 529, 190–194. [Google Scholar] [CrossRef] [PubMed]
- Chin, Y.P.; Raof, S.F.A.; Sinniah, S.; Lee, V.S.; Mohamad, S.; Manan, N.S.A. Inclusion complex of Alizarin Red S with β-cyclodextrin: Synthesis, spectral, electrochemical and computational studies. J. Mol. Struct. 2015, 1083, 236–244. [Google Scholar] [CrossRef]
- Raoov, M.; Mohamad, S.; Abas, M.R. Synthesis and characterization of β-cyclodextrin functionalized ionic liquid polymer as a macroporous material for the removal of phenols and As (V). Int. J. Mol. Sci. 2014, 15, 100–119. [Google Scholar] [CrossRef] [PubMed]
- Li, H.; Meng, B.; Chai, S.H.; Liu, H.; Dai, S. Hyper-crosslinked β-cyclodextrin porous polymer: An adsorption-facilitated molecular catalyst support for transformation of water-soluble aromatic molecules. Chem. Sci. 2016, 7, 905–909. [Google Scholar] [CrossRef]
- Kono, H.; Nakamura, T.; Hashimoto, H.; Shimizu, Y. Characterization, molecular dynamics, and encapsulation ability of β-cyclodextrin polymers crosslinked by polyethylene glycol. Carbohyd. Polym. 2015, 128, 11–23. [Google Scholar] [CrossRef] [PubMed]
- Shao, Z.; Huang, C.; Dang, J.; Wu, Q.; Liu, Y.; Ding, J.; Hou, H. Modulation of magnetic behavior and Hg2+ removal by solvent-assisted linker exchange based on a water-stable 3D MOF. Chem. Mater. 2018, 30, 7979–7987. [Google Scholar] [CrossRef]
- Yu, S.; Pang, H.; Huang, S.; Tang, H.; Wang, S.; Qiu, M.; Chen, Z.; Yang, H.; Song, G.; Fu, D. Recent advances in metal-organic framework membranes for water treatment: A review. Sci. Total Environ. 2021, 800, 149662. [Google Scholar] [CrossRef] [PubMed]
- Zhang, S.; Wang, J.; Zhang, Y.; Ma, J.; Huang, L.; Yu, S.; Chen, L.; Song, G.; Qiu, M.; Wang, X. Applications of water-stable metal-organic frameworks in the removal of water pollutants: A review. Environ. Pollut. 2021, 291, 118076. [Google Scholar] [CrossRef] [PubMed]
- Geerts, L.; Geerts-Claes, H.; Skorikov, A.; Vermeersch, J.; Vanbutsele, G.; Galvita, V.; Constales, D.; Chandran, C.V.; Radhakrishnan, S.; Seo, J.W. Spherical core–shell alumina support particles for model platinum catalysts. Nanoscale 2021, 13, 4221–4232. [Google Scholar] [CrossRef] [PubMed]
- Nikolic, V.; Tomic, N.; Bugarcic, M.; Sokic, M.; Marinkovic, A.; Velickovic, Z.; Kamberovic, Z. Amino-modified hollow alumina spheres: Effective adsorbent for Cd2+, Pb2+, As(V), and diclofenac removal. Environ. Sci. Pollut. Res. 2021, 28, 27174–27192. [Google Scholar] [CrossRef] [PubMed]
- Zhou, C.; Gao, Q.; Luo, W.; Zhou, Q.; Wang, H.; Yan, C.; Duan, P. Preparation, characterization and adsorption evaluation of spherical mesoporous Al-MCM-41 from coal fly ash. J. Taiwan Inst. Chem. Eng. 2015, 52, 147–157. [Google Scholar] [CrossRef]
- Jemli, S.; Lutke, S.F.; Chamtouri, F.; Amara, F.B.; Bejar, S.; Oliveira, M.L.S.; Knani, S.; Silva, L.F.O.; Dotto, G.L. A novel cartoon crosslinked β-cyclodextrin (C-β-CD) polymer for effective uptake of Hg from aqueous solutions: Kinetics, equilibrium, thermodynamics, and statistical physics approach. Sep. Purif. Technol. 2024, 330, 125578. [Google Scholar] [CrossRef]
- Wang, Q.; Tong, Y.; Wu, Y.; Li, S.; Bai, H.; Zhou, Q. β-Cyclodextrin functionalized magnetic polyamine-amine dendrimers for high enrichment and effective analysis of trace bisphenolic pollutants in beverages. Chemosphere 2023, 328, 138537. [Google Scholar] [CrossRef]
- Rozaini, M.N.H.; Saad, B.; Lim, J.W.; Yahaya, N.; Ramachandran, M.R.; Ridzuan, N.D.M.; Kiatkittipong, W.; Pasupuleti, V.R.; Lam, S.M.; Sin, J.C. Competitive removal mechanism to simultaneously incarcerate bisphenol A, triclosan and 4-tert-octylphenol within beta-cyclodextrin crosslinked citric acid used for encapsulation in polypropylene membrane protected-micro-solid-phase extraction. Chemosphere 2022, 309, 136626. [Google Scholar] [CrossRef] [PubMed]
- Elbadawy, H.A.; El-Dissouky, A.; Hussein, S.M.; El-Kewaey, S.R.; Elfeky, S.A.; El-Ghannam, G. A novel terpolymer nanocomposite (carboxymethyl β-cyclodextrin-nano chitosan-glutaraldehyde) for the potential removal of a textile dye acid red 37 from water. Front. Chem. 2023, 11, 1115377. [Google Scholar] [CrossRef] [PubMed]
- Pirouzmand, M.; Kojanag, B.N.; Hosseini-Yazdi, S.A.; Aghabeigy, N. Green synthesis of cobalt and iron incorporated citric acid/β-cyclodextrin composites: Efficient H2O2 scavengers. Appl. Organomet. Chem. 2022, 36, e6505. [Google Scholar] [CrossRef]
- Huang, W.; Hu, Y.; Li, Y.; Zhou, Y.; Niu, D.; Lei, Z.; Zhang, Z. Citric acid-crosslinked β-cyclodextrin for simultaneous removal of bisphenol A, methylene blue and copper: The roles of cavity and surface functional groups. J. Taiwan Inst. Chem. Eng. 2018, 82, 189–197. [Google Scholar] [CrossRef]
- Liu, G.; Yang, J.; Xu, X. β-Cyclodextrin-Calcium Complex Intercalated Hydrotalcites as Efficient Catalyst for Transesterification of Glycerol. Catalysts 2021, 11, 1307. [Google Scholar] [CrossRef]
- Wang, J.; Cao, Y.; Sun, B.; Wang, C. Physicochemical and release characterisation of garlic oil-β-cyclodextrin inclusion complexes. Food Chem. 2011, 127, 1680–1685. [Google Scholar] [CrossRef]
- Yang, Z.; Yao, X.; Xiao, Z.; Chen, H.; Ji, H. Preparation and release behaviour of the inclusion complexes of phenylethanol with β-cyclodextrin. Flavour Fragr. J. 2016, 31, 206–216. [Google Scholar] [CrossRef]
- Zhang, H.; Li, Y.X.; Wang, P.L.; Zhang, Y.; Cheng, B.W.; Sun, Q.M.; Li, F. Synthesis of β-Cyclodextrin Immobilized Starch and Its Application for the Removal of Dyestuff from Waste-Water. J. Polym. Environ. 2019, 27, 929–941. [Google Scholar] [CrossRef]
- Andrini, L.; Gauna, M.R.; Conconi, M.S.; Suarez, G.; Requejo, F.G.; Aglietti, E.F.; Rendtorff, N.M. Extended and local structural description of a kaolinitic clay, its fired ceramics and intermediates: An XRD and XANES analysis. Appl. Clay Sci. 2016, 124–125, 39–45. [Google Scholar] [CrossRef]
- Garcinuño, R.M.; Collado, E.J.; Paniagua, G.; Bravo, J.C.; Hernando, P.F. Assessment of molecularly imprinted polymers as selective solid-phase extraction sorbents for the detection of Cloxacillin in drinking and river water. Polymers 2023, 15, 4314. [Google Scholar] [CrossRef]
- Jiang, M.; Simayi, R.; Sawut, A.; Wang, J.; Wu, T.; Gong, X. Modified β-Cyclodextrin hydrogel for selective adsorption and desorption for cationic dyes. Colloids Surf. A Physicochem. Eng. Asp. 2023, 661, 130912. [Google Scholar] [CrossRef]
- Lei, W.; Tang, X.; Zhou, X. Quantifying dynamic desorption of 3,5,6-trichloro-2-pyridinol in loamy farmland soils. Environ. Sci. Pollut. Res. 2019, 26, 30782–30793. [Google Scholar] [CrossRef] [PubMed]
- Wang, T.; Liu, W.; Chen, L.; Li, X. Carboxyl-functionalized covalent organic frameworks for the efficient adsorption of foodborne heterocyclic aromatic amines. Chem. Eng. J. 2023, 475, 146044. [Google Scholar] [CrossRef]
- Al-Ahmed, Z.A.; Aljohani, M.M.; Sallam, S.; Alkhatib, F.M.; Alaysuy, O.; Alsharief, H.H.; Shah, R.; El-Metwaly, N.M. Synthesis of magnetic ruthenium metal-organic frameworks for efficient removal of 2,4-dichlorophenylacetic pesticide from aqueous solutions: Batch adsorption, Box-Behnken design optimization and reusability. J. Water Process. Eng. 2023, 56, 104444. [Google Scholar] [CrossRef]
- Masoud, A.; Saeed, M.; Taha, M.; El-Maadawy, M. Uranium adsorption from Bahariya Oasis leach liquor via TOPO impregnated bentonite material; isothermal, kinetic and thermodynamic studies. Egypt. J. Chem. 2020, 63, 721–741. [Google Scholar] [CrossRef]
- Saeed, M.; Munir, M.; Nafees, M.; Shoaib, S.; Shah, A.; Ullah, H.; Waseem, A. Synthesis, characterization and applications of silylation based grafted bentonites for the removal of Sudan dyes: Isothermal, kinetic and thermodynamic studies. Microporous Mesoporous Mater. 2020, 291, 109697. [Google Scholar] [CrossRef]
- Lima, E.C.; Hosseini-Bandegharaei, A.; Moreno-Piraján, J.C.; Anastopoulos, I. A critical review of the estimation of the thermodynamic parameters on adsorption equilibria. Wrong use of equilibrium constant in the Van’t Hoof equation for calculation of thermodynamic parameters of adsorption. J. Mol. Liq. 2019, 273, 425–434. [Google Scholar] [CrossRef]








| Adsorbents | T (°C) | pH Value of Initial Solution | ||||
|---|---|---|---|---|---|---|
| 4.2 | 7.0 | 7.7 | 8.5 | 10.5 | ||
| β-CD polymer | 25 | 10.4 ± 0.14% | 0.9 ± 0.12% | 3.3 ± 0.20% | 12.1 ± 0.11% | 12.8 ± 0.23% |
| 35 | 23.2 ± 0.11% | 6.8 ± 0.21% | 11.6 ± 0.15% | 22.0 ± 0.14% | 22.9 ± 0.20% | |
| P-MCB | 25 | 3.2 ± 0.13% | 0.2 ± 0.08% | 0.6 ± 0.21% | 2.9 ± 0.12% | 3.1 ± 0.17% |
| 35 | 7.7 ± 0.18% | 1.7 ± 0.11% | 3.9 ± 0.19% | 6.2 ± 0.31% | 7.2 ± 0.25% | |
| Compounds | Initial Ci (mg/L) | Parameters and R2 Values at Different Concentrations | |||
|---|---|---|---|---|---|
| qe a, mg/g | k2, g/(mg.min) | R2 | qe b, mg/g | ||
| Flutriafol | 5 | 0.382 | 0.171 | 0.994 | 0.359 |
| 20 | 1.897 | 0.031 | 0.993 | 1.760 | |
| 50 | 4.009 | 0.044 | 0.999 | 3.903 | |
| 100 | 8.048 | 0.034 | 0.999 | 7.888 | |
| 150 | 11.669 | 0.025 | 0.999 | 11.459 | |
| 200 | 16.204 | 0.012 | 0.999 | 15.962 | |
| Diniconazole | 1 | 0.098 | −24.475 | 0.999 | 0.098 |
| 5 | 0.937 | 41.678 | 0.999 | 0.937 | |
| 20 | 1.762 | 0.562 | 0.999 | 1.757 | |
| 50 | 4.556 | 0.071 | 0.999 | 4.469 | |
| Compounds | Initial Ci (mg/L) | Parameters and R2 Values at Different Concentrations | ||
|---|---|---|---|---|
| 1/qe, mg/g | R2 | 1/Ce, L/mg | ||
| Flutriafol | 5 | 0.0089 | 0.988 | 0.2425 |
| 20 | 0.0441 | 0.927 | 0.0747 | |
| 50 | 0.1416 | 0.864 | 0.0348 | |
| 100 | 0.3107 | 0.685 | 0.0187 | |
| 150 | 0.4653 | 0.702 | 0.0125 | |
| 200 | 0.7143 | 0.924 | 0.0108 | |
| Diniconazole | 1 | 0.0033 | 0.556 | 25 |
| 5 | 0.0312 | 0.824 | 1.5625 | |
| 20 | 0.0546 | 0.828 | 0.2169 | |
| 50 | 0.1167 | 0.763 | 0.0715 | |
| Freundlich Isotherm | |||||||
|---|---|---|---|---|---|---|---|
| Compounds | Parameters | Adsorption at Different Temperature | |||||
| 15 °C | 20 °C | 25 °C | 30 °C | 35 °C | 40 °C | ||
| Flutriafol | n | 1.616 | 1.713 | 1.622 | 1.683 | 1.623 | 1.767 |
| KF | 0.775 | 0.549 | 0.835 | 0.674 | 0.668 | 0.625 | |
| R2 | 0.9898 | 0.9975 | 0.9926 | 0.9943 | 0.9971 | 0.9965 | |
| Compounds | Parameters | Different Temperatures | |||||
|---|---|---|---|---|---|---|---|
| 15 °C | 20 °C | 25 °C | 30 °C | 35 °C | 40 °C | ||
| Flutriafol | ΔG° (kJ mol−1) | −1.081 | −0.060 | −1.452 | −0.611 | −0.525 | −0.051 |
| ΔH° (kJ mol−1) | −0.489 | ||||||
| ΔS° (/J mol−1 K−1) | 0.460 | ||||||
| Methods | Instrumental Technique | Sample | LOD (μg/L) | RSD (%) | Adsorption Capacity (%) | Ref. |
|---|---|---|---|---|---|---|
| SFE of P-MCB | HPLC | Water | 0.0004–0.0005 | 0.08–0.31 | 80.1–100 | This work |
| MSPE | HPLC-MS/MS | Water | 0.05–0.1 | 1.5–9.1 | 72.3–91.53 | [2] |
| MPC-CNC-MSPE | UHPLC-MS/MS | Water | 0.003–0.007 | 2.0–15.7 | 73.7–117.1 | [12] |
Disclaimer/Publisher’s Note: The statements, opinions and data contained in all publications are solely those of the individual author(s) and contributor(s) and not of MDPI and/or the editor(s). MDPI and/or the editor(s) disclaim responsibility for any injury to people or property resulting from any ideas, methods, instructions or products referred to in the content. |
© 2024 by the authors. Licensee MDPI, Basel, Switzerland. This article is an open access article distributed under the terms and conditions of the Creative Commons Attribution (CC BY) license (https://creativecommons.org/licenses/by/4.0/).
Share and Cite
Yang, X.; Yu, L.; Chen, S.; Liu, M.; Miao, Q.; Wu, H.; Gao, W. Cyclodextrin Polymer-Loaded Micro-Ceramic Balls for Solid-Phase Extraction of Triazole Pesticides from Water. Int. J. Mol. Sci. 2024, 25, 1959. https://doi.org/10.3390/ijms25041959
Yang X, Yu L, Chen S, Liu M, Miao Q, Wu H, Gao W. Cyclodextrin Polymer-Loaded Micro-Ceramic Balls for Solid-Phase Extraction of Triazole Pesticides from Water. International Journal of Molecular Sciences. 2024; 25(4):1959. https://doi.org/10.3390/ijms25041959
Chicago/Turabian StyleYang, Xiaobo, Lingli Yu, Shuqi Chen, Miaochang Liu, Qian Miao, Huayue Wu, and Wenxia Gao. 2024. "Cyclodextrin Polymer-Loaded Micro-Ceramic Balls for Solid-Phase Extraction of Triazole Pesticides from Water" International Journal of Molecular Sciences 25, no. 4: 1959. https://doi.org/10.3390/ijms25041959
APA StyleYang, X., Yu, L., Chen, S., Liu, M., Miao, Q., Wu, H., & Gao, W. (2024). Cyclodextrin Polymer-Loaded Micro-Ceramic Balls for Solid-Phase Extraction of Triazole Pesticides from Water. International Journal of Molecular Sciences, 25(4), 1959. https://doi.org/10.3390/ijms25041959
