Understanding Complex Interplay among Different Instabilities in Multiferroic BiMn7O12 Using 57Fe Probe Mössbauer Spectroscopy
Abstract
1. Introduction
2. Results and Discussion
2.1. Crystallographic, Magnetic, and Thermodynamic Data
2.2. Mössbauer Data for T > T1
2.3. Mössbauer Data for T2 < T < T1
2.4. Mössbauer Data for Temperature Ranges T3 < T < T2 and TN1 < T < T3
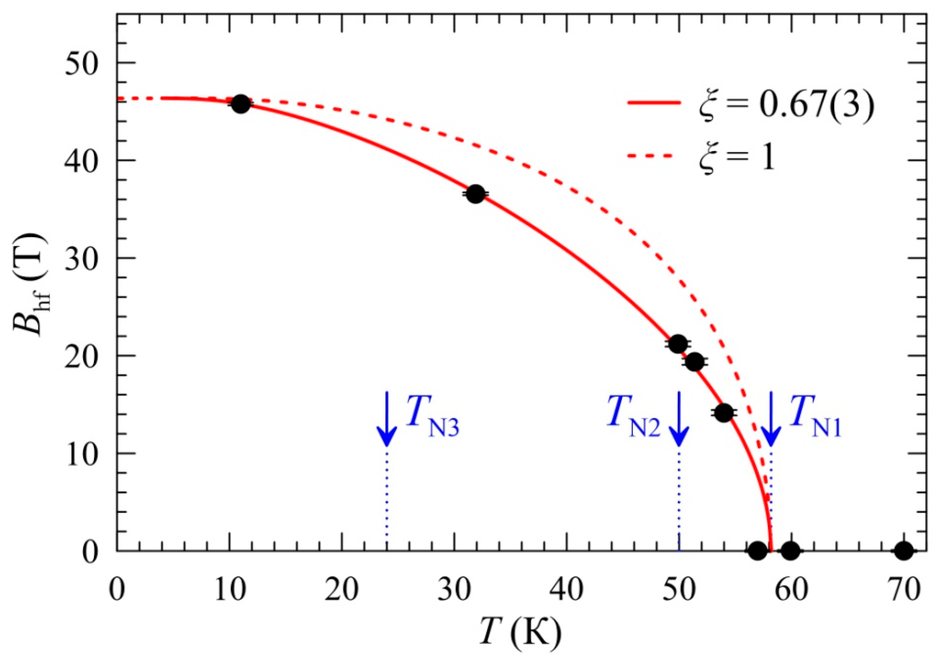
2.5. Mössbauer Study in the Temperature Range T < TN1
3. Materials and Methods
4. Conclusions
Supplementary Materials
Author Contributions
Funding
Institutional Review Board Statement
Informed Consent Statement
Data Availability Statement
Acknowledgments
Conflicts of Interest
Appendix A
Electric Field Gradient Calculation Details
Appendix B
Distortion Parameters Calculation Details
Appendix C
Electric Field Gradient Calculation within P1 pseudocell (T > T1) Details
Appendix D
Extension of the Landau Theory to First-Order Phase Transitions
References
- Mezzadri, F.; Calestani, G.; Calicchio, M.; Gilioli, E.; Bolzoni, F.; Cabassi, R.; Marezio, M.; Migliori, A. Synthesis and characterization of multiferroic BiMn7O12. Phys. Rev. B 2009, 79, 100106. [Google Scholar] [CrossRef]
- Gauzzi, A.; Rousse, G.; Mezzadri, F.; Calestani, G.L.; André, G.; Bourée, F.; Calicchio, M.; Gilioli, E.; Cabassi, R.; Bolzoni, F.; et al. Magnetoelectric coupling driven by inverse magnetostriction in multiferroic BiMn3Mn4O12. J. Appl. Phys. 2013, 113, 043920. [Google Scholar] [CrossRef]
- Belik, A.A.; Matsushita, Y.; Kumagai, Y.; Katsuya, Y.; Tanaka, M.; Stefanovich, S.Y.; Lazoryak, B.I.; Oba, F.; Yamaura, K. Complex Structural Behavior of BiMn7O12 Quadruple Perovskite. Inorg. Chem. 2017, 56, 12272–12281. [Google Scholar] [CrossRef]
- Sławiński, W.A.; Okamoto, H.; Fjellwåg, H. Triclinic crystal structure distortion of multiferroic BiMn7O12. Acta Cryst. 2017, 73, 313–320. [Google Scholar] [CrossRef]
- Belik, A.A.; Matsushita, Y.; Khalyavin, D.D. Reentrant Structural Transitions and Collapse of Charge and Orbital Orders in Quadruple Perovskites. Angew. Chem. Int. Ed. 2017, 56, 10423–10427. [Google Scholar] [CrossRef]
- Khalyavin, D.D.; Johnson, R.D.; Orlandi, F.; Radaelli, P.G.; Manuel, P.; Belik, A.A. Emergent helical texture of electric dipoles. Science 2020, 369, 680–684. [Google Scholar] [CrossRef]
- Khomskii, D.I. Transition Metal Compounds; Cambridge University Press: Cambridge, UK, 2014. [Google Scholar]
- Streltsov, S.V.; Khomskii, D.I. Orbital physics in transition metal compounds: New trends. Physics-Uspekhi 2017, 60, 1121–1146. [Google Scholar] [CrossRef]
- Sobolev, A.V.; Rusakov, V.S.; Gapochka, A.M.; Glazkova, I.S.; Gubaidulina, T.V.; Matsnev, M.E.; Belik, A.A.; Presniakov, I.A. 57Fe Mössbauer spectroscopy study of cycloidal spin arrangements and magnetic transitions in BiFe1−xCoxO3. Phys. Rev. B 2020, 101, 224409. [Google Scholar] [CrossRef]
- Sobolev, A.V.; Bokov, A.V.; Yi, W.; Belik, A.A.; Presniakov, I.A.; Glazkova, I.S. Electric Hyperfine Interactions of 57Fe Impurity Atoms in AcrO3 Perovskite-Type Chromites (A = Sc, In, Tl, Bi). J. Exp. Theor. Phys. 2019, 129, 896–902. [Google Scholar] [CrossRef]
- Goodenough, J.B. Theory of the Role of Covalence in the Perovskite-Type Manganites [La, M(II)]MnO3. Phys. Rev. 1955, 100, 564–573. [Google Scholar] [CrossRef]
- Radaelli, P.G.; Cox, D.E.; Marezio, M.; Cheong, S.-W. Charge, orbital, and magnetic ordering in La0.5Ca0.5MnO3. Phys. Rev. B 1997, 55, 3015–3023. [Google Scholar] [CrossRef]
- Khomskii, D. Classifying multiferroics: Mechanisms and effects. Physics 2009, 2, 20. [Google Scholar] [CrossRef]
- Kouřil, K.; Chlan, V.; Štěpánková, H.; Řezníček, R.; Laguta, V.V.; Raevski, I.P. NMR Study of Multiferroic Iron Niobate Perovskites. Acta Phys. Pol. A 2015, 127, 234–236. [Google Scholar] [CrossRef]
- Ivanov, Y.N.; Sukhovskii, A.A.; Volkov, N.V. 11B NMR study of Ho1−xYxAl3(BO3)4 multiferroics. J. Struct. Chem. 2013, 54 (Suppl. S1), S130–S136. [Google Scholar] [CrossRef]
- Smol’nikov, A.G.; Ogloblichev, V.V.; Verkhovskii, S.V.; Mikhalev, K.N.; Yakubovskii, A.Y.; Kumagai, K.; Furukawa, Y.; Sadykov, A.F.; Piskunov, Y.V.; Gerashchenko, A.P.; et al. 53Cr NMR Study of CuCrO2 Multiferroic. JETP Lett. 2015, 102, 674–677. [Google Scholar] [CrossRef]
- Prinz-Zwick, M.; Gimpel, T.; Geirhos, K.; Ghara, S.; Steinbrecht, C.; Tsurkan, V.; Büttgen, N.; Kézsmárki, I. Probing multiferroic order parameters and domain population via nuclear spins. Phys. Rev. B 2022, 105, 014301. [Google Scholar] [CrossRef]
- Smol’nikov, A.G.; Ogloblichev, V.V.; Germov, A.Y.; Mikhalev, K.N.; Sadykov, A.F.; Piskunov, Y.V.; Gerashchenko, A.P.; Yakubovskii, A.Y.; Muflikhonova, M.A.; Barilo, S.N.; et al. Charge Distribution and Hyperfine Interactions in the CuFeO2 Multiferroic According to 63,65Cu NMR Data. JETP Lett. 2018, 107, 134–138. [Google Scholar] [CrossRef]
- Zalessky, A.V.; Frolov, A.A.; Khimich, T.A.; Bush, A.A.; Pokatilov, V.S.; Zvezdin, A.K. 57Fe NMR study of spin-modulated magnetic structure in BiFeO3. EPL 2000, 50, 547–551. [Google Scholar] [CrossRef]
- Baek, S.-H.; Reyes, A.P.; Hoch, M.J.R.; Moulton, W.G.; Kuhns, P.L.; Harter, A.G.; Hur, N.; Cheong, S.-W. 55Mn NMR investigation of the correlation between antiferromagnetism and ferroelectricity in TbMn2O5. Phys. Rev. B 2006, 74, 140410. [Google Scholar] [CrossRef]
- Jo, E.; Park, S.; Lee, J.; Lee, S.; Shim, J.H.; Suzuki, T.; Katsufuji, T. Orbital reorientation in MnV2O4 observed by V NMR. Sci. Rep. 2017, 7, 2178. [Google Scholar] [CrossRef] [PubMed]
- Smol’nikov, A.G.; Ogloblichev, V.V.; Verkhovskii, S.V.; Mikhalev, K.N.; Yakubovskii, A.Y.; Furukawa, Y.; Piskunov, Y.V.; Sadykov, A.F.; Barilo, S.N.; Shiryaev, S.V. Specific Features of Magnetic Orider in a Multiferroic Compound CuCrO2 Determined Using NMR and NQR Data for 63,65Cu Nuclei. Phys. Met. Metallogr. 2017, 118, 134–142. [Google Scholar] [CrossRef]
- Pregelj, M.; Jeglič, P.; Zorko, A.; Zaharko, O.; Apih, T.; Gradišek, A.; Komelj, M.; Berger, H.; Arčon, D. Evolution of magnetic and crystal structures in the multiferroic FeTe2O5Br. Phys. Rev. B 2013, 87, 144408. [Google Scholar] [CrossRef]
- Kalvius, G.M.; Litterst, F.J.; Hartmann, O.; Wäppling, R.; Krimmel, A.; Mukhin, A.A.; Balbashov, A.M.; Loidl, A. Magnetic properties of the multiferroic compounds Eu1−xYxMnO3 (x = 0.2 and 0.3). J. Phys. Conf. Ser. 2014, 551, 012014. [Google Scholar] [CrossRef]
- Baker, P.J.; Lewtas, H.J.; Blundell, S.J.; Lancaster, Y.; Franke, I.; Hayes, W.; Pratt, F.L.; Bohatý, L.; Becker, P. Muon-spin relaxation and heat capacity measurements on the magnetoelectric and multiferroic pyroxenes LiFeSi2O6 and NaFeSi2O6. Phys. Rev. B 2010, 81, 214403. [Google Scholar] [CrossRef]
- Lewtas, H.J.; Lancaster, T.; Baker, P.J.; Blundell, S.J.; Prabhakaran, D.; Pratt, F.L. Local magnetism and magnetoelectric effect in HoMnO3 studied with muon-spin relexation. Phys. Rev. B 2010, 81, 014402. [Google Scholar] [CrossRef]
- Oliveira, G.N.P.; Teixeira, R.C.; Moreira, R.P.; Correia, J.G.; Araújo, J.P.; Lopes, A.M.L. Local inhomogeneous state in multiferroic SmCrO3. Sci. Rep. 2020, 10, 4686. [Google Scholar] [CrossRef]
- Lopes, A.M.L.; Oliveira, G.N.P.; Mendonça, T.M.; Agostinho Moreira, J.; Almeida, A.; Araújo, J.P.; Amaral, V.S.; Correia, J.G. Local distortions in multiferroic AgCrO2 triangular spin lattice. Phys. Rev. B 2011, 84, 014434. [Google Scholar] [CrossRef]
- Sobolev, A.; Rusakov, V.; Moskvin, A.; Gapochka, A.; Belik, A.; Glazkova, I.; Akulenko, A.; Demazeau, G.; Presniakov, I. 57Fe Mössbauer study of unusual magnetic structure of multiferroic 3R-AgFeO2. J. Phys. Condens. Matter 2017, 29, 275803. [Google Scholar] [CrossRef]
- Sobolev, A.V.; Presnyakov, I.A.; Rusakov, V.S.; Gapochka, A.M.; Glazkova, Y.S.; Matsnev, M.E.; Pankratov, D.A. Mössbauer Study of the Modulated Magnetic Structure of FeVO4. J. Exp. Theor. Phys. 2017, 124, 943–956. [Google Scholar] [CrossRef]
- Santos, S.S.M.; Marcondes, M.L.; Miranda, I.P.; Rocha-Rodrigues, P.; Assali, L.V.C.; Lopes, A.M.L.; Petrilli, H.M.; Araujo, J.P. Spontaneous electric polarization and electric field gradient in hybrid inproper ferroelectrics: Insights and correlations. J. Mater. Chem. C 2021, 9, 7005–7013. [Google Scholar] [CrossRef]
- Dang, T.T.; Schell, J.; Boa, A.G.; Lewin, D.; Marschick, G.; Dubey, A.; Escobar-Castillo, M.; Noll, C.; Beck, R.; Zyabkin, D.; et al. Temperature dependence of the local electromagnetic field an the Fe site in multiferroic bismuth ferrite. Phys. Rev. B 2022, 106, 054416. [Google Scholar] [CrossRef]
- Yeshurun, Y.; Havlin, S.; Schlesinger, Y. Static and dynamic aspects of perturbed angular correlation measurements in perovskite crystals. Solid State Commun. 1978, 27, 181–184. [Google Scholar] [CrossRef]
- Yamada, I. Novel catalytic properties of quadruple perovskites. Sci. Technol. Adv. Mater. 2017, 18, 541–548. [Google Scholar] [CrossRef] [PubMed]
- Presniakov, I.A.; Rusakov, V.S.; Gubaidulina, T.V.; Sobolev, A.V.; Baranov, A.V.; Demazeau, G.; Volkova, O.S.; Cherepanov, V.M.; Goodilin, E.A.; Knot’ko, A.V.; et al. Hyperfine interactions and local environment of 57Fe probe atoms in perovskite CaMn7O12. Phys. Rev. B 2007, 76, 214407. [Google Scholar] [CrossRef]
- Glazkova, Y.S.; Terada, N.; Matsushita, Y.; Katsuya, Y.; Tanaka, M.; Sobolev, A.V.; Presniakov, I.A.; Belik, A.A. High-pressure Synthesis, Crystal Structures, and Properties of CdMn7O12 and SrMn7O12 Perovskites. Inorg. Chem. 2015, 54, 9081–9091. [Google Scholar] [CrossRef] [PubMed]
- Belik, A.A.; Glazkova, Y.S.; Katsuya, Y.; Tanaka, M.; Sobolev, A.V.; Presniakov, I.A. Low-Temperature Structural Modulations in CdMn7O12, CaMn7O12, SrMn7O12, and PbMn7O12 Perovskites Studied by Synchrotron X-ray Powder Diffraction and Mössbauer Spectroscopy. Phys. Chem. C 2016, 120, 8278–8288. [Google Scholar] [CrossRef]
- Dickson, D.P.E.; Berry, F.J. Mössbauer Spectroscopy; Cambridge University Press: Cambridge, UK, 1986. [Google Scholar]
- Lines, M.E.; Glass, A.M. Principles and Applications of Ferroelectrics and Related Materials; Oxford University Press: Oxford, UK, 1977. [Google Scholar]
- Strukov, B.A.; Levanyuk, A.P. Ferroelectric Phenomena in Crystals: Physical Foundations; Springer: Berlin/Heidelberg, Germany, 1998. [Google Scholar]
- Walsh, A.; Payne, D.J.; Egdell, R.G.; Watson, G.W. Stereochemistry of post-transition metal oxides: Revision of the classical lone pair model. Chem. Soc. Rev. 2011, 40, 4455–4463. [Google Scholar] [CrossRef]
- Seshadri, R.; Hill, N.A. Visualizing the Role of Bi 6s “Lone Pairs” in the Off-Center Distortion in Ferromagnetic BiMnO3. Chem. Mater. 2001, 13, 2892–2899. [Google Scholar] [CrossRef]
- Hussain, S.; Hasanain, S.K.; Jaffari, G.L.; Faridi, S.; Rehman, F.; Abbas, T.A.; Shah, S.I. Size and Lone Pair Effects on the Multiferroic Properties of Bi0.75A0.25FeO3−δ (A = Sr, Pb, and Ba) Ceramics. J. Amer. Ceram. Soc. 2013, 96, 3141–3148. [Google Scholar] [CrossRef]
- Lottermoser, T.; Meier, D. A short history of multiferroics. Phys. Sci. Rev. 2020, 6, 20200032. [Google Scholar] [CrossRef]
- Xia, Z.C.; Xiao, L.X.; Fang, C.H.; Liu, G.; Dong, B.; Liu, D.W.; Chen, L.; Liu, L.; Liu, S.; Doyananda, D.; et al. Effect of 6s lone pair of Bi3+ on electrical transport properties of (La1−xBix)0.67Ca0.33MnO3. J. Magn. Magn. Mater. 2006, 297, 1–6. [Google Scholar] [CrossRef]
- Kaplan, M.D.; Vekhter, B.G. Cooperative Phenomena in Jahn–Teller Crystals; Springer: New York, NY, USA, 1995. [Google Scholar]
- Alonso, J.A.; Martínez-Lope, M.J.; Casais, M.T.; Fernández-Díaz, M.T. Evolution of the Jahn-Teller Distortion of MnO6 Octahedra in RMnO3 Perovskites (R = Pr, Nd, Dy, Tb, Ho, Er, Y): A Neutron Diffraction Study. Inorg. Chem. 2000, 39, 917–923. [Google Scholar] [CrossRef] [PubMed]
- Tachibana, M.; Shimoyama, T.; Kawaji, H.; Atake, T.; Takayama-Muromachi, E. Jahn-Teller distortion and magnetic transitions in perovskite RMnO3 (R = Ho, Er, Tm, Yb, and Lu). Phys. Rev. B 2007, 75, 144425. [Google Scholar] [CrossRef]
- Johnson, R.D.; Khalyavin, D.D.; Manuel, P.; Radaelli, P.G.; Glazkova, I.S.; Terada, N.; Belik, A.A. Magneto-orbital ordering in the divalent A-site quadruple perovskite manganites AMn7O12 (A = Sr, Cd and Pb). Phys. Rev. B 2017, 96, 054448. [Google Scholar] [CrossRef]
- Chatterjee, T. Orbital ice and its melting phenomenon. Indian J. Phys. 2006, 80, 665–675. Available online: http://hdl.handle.net/10821/211 (accessed on 17 October 2023).
- Martín-Carrón, L.; de Andrés, A. Melting of the cooperative Jahn-Teller distortion in LaMnO3 single crystal studied by Raman spectroscopy. Eur. Phys. J. B 2001, 22, 11–16. [Google Scholar] [CrossRef]
- Trokiner, A.; Verkhovskii, S.; Gerashenko, A.; Volkova, Z.; Anikeenok, O.; Mikhalev, K.; Eremin, M.; Pinsard-Gaudart, L. Melting of the orbital order in LaMnO3 probed by NMR. Phys. Rev. B 2013, 87, 125142. [Google Scholar] [CrossRef]
- Schaile, S.; von Nidda, H.-A.K.; Deisenhofer, J.; Eremin, M.V.; Tokura, Y.; Loidl, A. ESR evidence for partial melting of the orbital order in LaMnO3 below the Jahn-Teller transition. Phys. Rev. B 2014, 90, 054424. [Google Scholar] [CrossRef]
- Ham, F. Jahn-Teller Effects in Mössbauer spectroscopy. J. Phys. Colloq. 1974, 35, C6-121–C6-130. [Google Scholar] [CrossRef]
- Blume, M.; Tjon, J.A. Mössbauer Spectra in a Fluctuating Environment II. Randomly Varying Electric Field Gradients. Phys. Rev. 1968, 165, 446–456. [Google Scholar] [CrossRef]
- Bersuker, I. The Jahn–Teller Effect; Cambridge University Press: Cambridge, UK, 2006. [Google Scholar]
- Capone, M.; Feinberg, D.; Grilli, M. Crucial role of Jahn-Teller distortions in LaMnO3. In Proceedings of the Physics in Local Lattice Distortions: Fundamentals and Novel Concepts; Lld2K (Aip Conference Proceedings), Ibaraki, Japan, 23–26 July 2000; American Institute of Physics: New York, NY, USA, 2001; Volume 554, pp. 395–398. [Google Scholar] [CrossRef]
- Okamoto, H.; Karppinen, M.; Yamauchi, H.; Fjellvåg, H. High-temperature synchrotron X-ray diffraction study of LaMn7O12. Solid State Sci. 2009, 11, 1211–1215. [Google Scholar] [CrossRef]
- Ghosez, P.; Michenaud, J.-P.; Gonze, X. Dynamical atomic charges: The case of ABO3 compounds. Phys. Rev. B 1998, 58, 6224–6240. [Google Scholar] [CrossRef]
- Shannon, R.D.; Fischer, R.X. Empirical electronic polarizabilities in oxides, hydroxides, oxyfluorides, and oxychlorides. Phys. Rev. B 2006, 73, 235111. [Google Scholar] [CrossRef]
- Wang, C.L.; Li, J.C.; Zhao, M.L.; Zhang, J.L.; Zhong, W.L.; Aragó, C.; Marqués, M.I.; Gonzalo, J.A. Electric field induced phase transition in first order ferroelectrics with large zero point energy. Phys. A Stat. Mech. 2008, 387, 115–122. [Google Scholar] [CrossRef]
- Wang, C.L.; Qin, Z.K.; Lin, D.L. First-order transition in order-disorder ferroelectrics. Phys. Rev. B 1989, 40, 680–685. [Google Scholar] [CrossRef] [PubMed]
- Arnold, D.C.; Knight, K.S.; Morrison, F.D.; Lightfoot, P. Ferroelectric-Paraelectric Transition in BiFeO3: Crystal Structure of the Orthorombic β Phase. Phys. Rev. Lett. 2009, 102, 027602. [Google Scholar] [CrossRef] [PubMed]
- Simopoulos, A.; Pissas, M.; Kallias, G.; Devlin, E.; Moutis, N.; Panagiotopoulos, I.; Niarchos, D.; Christides, C. Study of Fe-doped La1−xCaxMnO3 (x ≈ 1/3) using Mössbauer spectroscopy and neutron diffraction. Phys. Rev. B 1999, 59, 1263–1271. [Google Scholar] [CrossRef]
- Gütlich, P.; Bill, E.; Trautwein, A.X. Mössbauer Spectroscopy and Transition Metal Chemistry; Springer: Berlin/Heidelberg, Germany, 2011. [Google Scholar]
- Mørup, S.; Madsen, M.B.; Franck, J.; Villadsen, J.; Koch, C.J.W. A new interpretation of Mössbauer spectra of microcrystalline goethite: “Super-ferromagnetism” or “Super-spin-glass” behaviour? J. Magn. Magn. Mater. 1983, 40, 163–174. [Google Scholar] [CrossRef]
- Bhargava, S.C.; Knudsen, J.E.; Mørup, S. Mössbauer study of spin-spin relaxation of Fe3+ ions in the presence of other paramagnetic ions. J. Phys. Chem. Solids. 1979, 40, 45–53. [Google Scholar] [CrossRef]
- Behr, D.; Belik, A.A.; Khalyavin, D.D.; Johnson, R.D. BiMn7O12: Polar antiferromagnetism by inverse exchange striction. Phys. Rev. B 2023, 107, L140402. [Google Scholar] [CrossRef]
- Jaccarino, V.; Walker, L.R.; Wertheim, G.K. Localized Moments of Manganese Impurities in Ferromagnetic Iron. Phys. Rev. Lett. 1964, 13, 752–754. [Google Scholar] [CrossRef]
- Brzezicki, W.; Cuoco, M.; Oleś, A.M. Exotic Spin-Orbital Physics in Hybrid Oxides. J. Supercond. Nov. Magn. 2017, 30, 129–134. [Google Scholar] [CrossRef]
- Brzezicki, W.; Avella, A.; Cuoco, M.; Oleś, A.M. Doped spin-orbital Mott insulators: Orbital dilution versus spin-orbital polarons. J. Magn. Magn. Mater. 2022, 543, 168616. [Google Scholar] [CrossRef]
- Matsnev, M.E.; Rusakov, V.S. SpectrRelax: An application for Mössbauer spectra modeling and fitting. AIP Conf. Proc. 2012, 1489, 178–185. [Google Scholar] [CrossRef]
- Sobolev, A.V.; Akulenko, A.A.; Glazkova, I.S.; Belik, A.A.; Furubayashi, T.; Shvanskaya, L.V.; Dimitrova, O.V.; Presniakov, I.A. Magnetic Hyperfine Interactions in the Mixed-Valence Compound Fe7(PO4)6 from Mössbauer Experiments. J. Phys. Chem. C. 2018, 122, 19767–19776. [Google Scholar] [CrossRef]
- Stadnik, Z.M. Electric field gradient calculations in rare-earth iron garnets. J. Phys. Chem. Solids 1984, 45, 311–318. [Google Scholar] [CrossRef]
- Brese, N.E.; O’Keeffe, M. Bond-valence parameters for solids. Acta Crystallogr. B Struct. Sci. Cryst. 1991, 47, 192–197. [Google Scholar] [CrossRef]
- Khomskii, D.I. Basic Aspects of the Quantum Theory of Solids; Cambridge University Press: Cambridge, UK, 2010. [Google Scholar]
- Murata, K.K. Directional phase instability on a cubic compressible lattice near a second-order phase transition with a three-component order parameter. Phys. Rev. B 1977, 15, 4328–4335. [Google Scholar] [CrossRef]











| T, K | <δ>, mm/s | <Δ>, mm/s | , mm2/s2 | Γ, mm/s |
|---|---|---|---|---|
| 602 | 0.18(1) | 0.28(1) | 0.016(1) | 0.24 * |
| 622 | 0.17(1) | 0.26(1) | 0.016(1) | 0.24 * |
| 633 | 0.16(1) | 0.26(1) | 0.017(1) | 0.24 * |
| 653 | 0.15(1) | 0.25(1) | 0.016(1) | 0.24 * |
| T, K | Site | VZZ(0) (V/m2 × 1021) | α (V/C × 1021) | β (V·m2/C2 × 1022) |
|---|---|---|---|---|
| 300 | Mn1 | 0.38(1) | −0.6(1) | 0.78(3) |
| Mn2 | 0.27(1) | 1.9(1) | 0.48(2) | |
| 101 | Mn4 | 0.385(1) | 0.71(1) | 0.12(3) |
| Mn5 | 0.519(3) | 0.39(2) | 0.24(6) | |
| Mn6 | 0.565(1) | −0.85(1) | 0.195(1) | |
| Mn7 | 0.526(1) | −0.72(1) | 0.100(1) |
Disclaimer/Publisher’s Note: The statements, opinions and data contained in all publications are solely those of the individual author(s) and contributor(s) and not of MDPI and/or the editor(s). MDPI and/or the editor(s) disclaim responsibility for any injury to people or property resulting from any ideas, methods, instructions or products referred to in the content. |
© 2024 by the authors. Licensee MDPI, Basel, Switzerland. This article is an open access article distributed under the terms and conditions of the Creative Commons Attribution (CC BY) license (https://creativecommons.org/licenses/by/4.0/).
Share and Cite
Soboleva, I.S.; Nitsenko, V.I.; Sobolev, A.V.; Smirnova, M.N.; Belik, A.A.; Presniakov, I.A. Understanding Complex Interplay among Different Instabilities in Multiferroic BiMn7O12 Using 57Fe Probe Mössbauer Spectroscopy. Int. J. Mol. Sci. 2024, 25, 1437. https://doi.org/10.3390/ijms25031437
Soboleva IS, Nitsenko VI, Sobolev AV, Smirnova MN, Belik AA, Presniakov IA. Understanding Complex Interplay among Different Instabilities in Multiferroic BiMn7O12 Using 57Fe Probe Mössbauer Spectroscopy. International Journal of Molecular Sciences. 2024; 25(3):1437. https://doi.org/10.3390/ijms25031437
Chicago/Turabian StyleSoboleva, Iana S., Vladimir I. Nitsenko, Alexey V. Sobolev, Maria N. Smirnova, Alexei A. Belik, and Igor A. Presniakov. 2024. "Understanding Complex Interplay among Different Instabilities in Multiferroic BiMn7O12 Using 57Fe Probe Mössbauer Spectroscopy" International Journal of Molecular Sciences 25, no. 3: 1437. https://doi.org/10.3390/ijms25031437
APA StyleSoboleva, I. S., Nitsenko, V. I., Sobolev, A. V., Smirnova, M. N., Belik, A. A., & Presniakov, I. A. (2024). Understanding Complex Interplay among Different Instabilities in Multiferroic BiMn7O12 Using 57Fe Probe Mössbauer Spectroscopy. International Journal of Molecular Sciences, 25(3), 1437. https://doi.org/10.3390/ijms25031437

