Investigation of Oxidative-Stress Impact on Human Osteoblasts During Orthodontic Tooth Movement Using an In Vitro Tension Model
Abstract
1. Introduction
2. Results
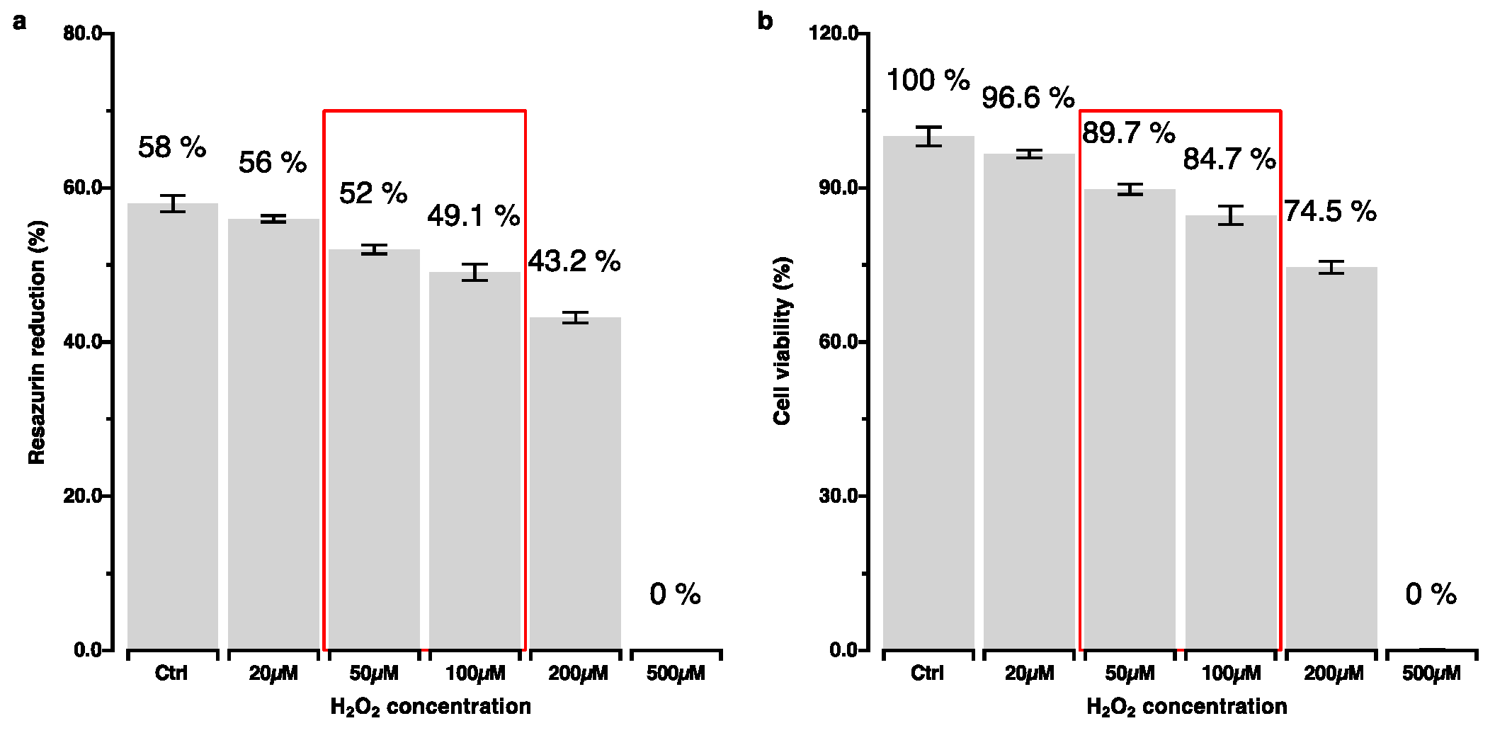
2.1. Hydrogen Peroxide (H2O2) Concentration Testing
2.2. Effect of Oxidative Stress Induction Alone on Gene Expression Immediately After H₂O₂ Incubation and After Additional 24 h Post-Incubation
2.3. Expression of Genes and Metabolites Related to Inflammation, Bone Remodeling, Apoptosis and Autophagy in Mechanically Stimulated Cells with and Without Previous OS Stimulation
2.3.1. Inflammation
2.3.2. Bone Remodeling
2.3.3. Apoptosis and Autophagy
2.3.4. Effect of Static Tension on Viability and Proliferation
3. Discussion
3.1. Experimental Parameters and Viability and Proliferation Assessment in Relation to OS Stimulation
3.2. Gene and Protein Expression Related to Inflammation
3.3. Gene Expression Related to Bone Remodeling
3.4. Apoptosis and Autophagy Related Gene Expression
3.5. Study Limitations
3.6. Clinical Relevance
4. Materials and Methods
4.1. Primary Cell Culture
4.2. Selection of H2O2 Concentration
4.3. Effect of Oxidative Stress Induction on Gene Expression in “Direct” and “Recovery” Setups
4.4. Tensile Strain Application During the H2O2 “Recovery” Phase
4.4.1. Tensile Strain Application
4.4.2. Cell Proliferation and Cell Viability
4.4.3. Sample Preparation
4.5. Gene Expression Analysis
4.6. Enzyme-Linked Immunosorbent Assay
4.7. Statistics
5. Conclusions
Supplementary Materials
Author Contributions
Funding
Institutional Review Board Statement
Informed Consent Statement
Data Availability Statement
Acknowledgments
Conflicts of Interest
Abbreviations
| BECN1 | Beclin 1 |
| CASP3 | Caspase 3 |
| CASP8 | Caspase 8 |
| ELISA | Enzyme-linked immunosorbent assay |
| FC | Fold change |
| H2O2 | Hydrogen peroxide |
| hOBs | Human osteoblasts |
| IL6 | Interleukin 6 |
| CXCL8/IL8 | C-X-C Motif Chemokine Ligand 8 (aka: IL8, interleukin-8) |
| MAP1LC3A/LC3 | Microtubule Associated Protein 1 Light Chain 3 Alpha (aka: LC3) |
| MIQE | Minimum Information for Publication of Quantitative Real-Time PCR Experiment |
| TNFRSF11B/OPG | TNF Receptor Superfamily Member 11b (aka: OPG, osteoprotegerin) |
| OS | Oxidative stress |
| OTM | Orthodontic tooth movement |
| P2RX7 | Purinergic Receptor P2X 7 |
| padj. | Adjusted p-value |
| PGE2 | Prostaglandin E2 |
| PTGS2/COX2 | Prostaglandin-Endoperoxide Synthase 2 (aka: COX2, cyclooxygenase 2) |
| ROS | Reactive oxygen species |
| RT-qPCR | Reverse-transcriptase quantitative polymerase chain reaction |
| RUNX2 | RUNX Family Transcription Factor 2 |
References
- Davidovitch, Z. Tooth movement. Crit. Rev. Oral. Biol. Med. 1991, 2, 411–450. [Google Scholar] [CrossRef] [PubMed]
- Christensen, L.; Luther, F. Adults seeking orthodontic treatment: Expectations, periodontal and TMD issues. Br. Dent. J. 2015, 218, 111–117. [Google Scholar] [CrossRef] [PubMed]
- Schröder, A.; Stumpf, J.; Paddenberg, E.; Neubert, P.; Schatz, V.; Köstler, J.; Jantsch, J.; Deschner, J.; Proff, P.; Kirschneck, C. Effects of mechanical strain on periodontal ligament fibroblasts in presence of Aggregatibacter actinomycetemcomitans lysate. BMC Oral. Health 2021, 21, 405. [Google Scholar] [CrossRef] [PubMed]
- Rath-Deschner, B.; Nogueira, A.V.B.; Beisel-Memmert, S.; Nokhbehsaim, M.; Eick, S.; Cirelli, J.A.; Deschner, J.; Jager, A.; Damanaki, A. Interaction of periodontitis and orthodontic tooth movement-an in vitro and in vivo study. Clin. Oral. Investig. 2022, 26, 171–181. [Google Scholar] [CrossRef]
- Nikoletopoulou, V.; Markaki, M.; Palikaras, K.; Tavernarakis, N. Crosstalk between apoptosis, necrosis and autophagy. Biochim. Biophys. Acta 2013, 1833, 3448–3459. [Google Scholar] [CrossRef]
- Juan, C.A.; Perez de la Lastra, J.M.; Plou, F.J.; Perez-Lebena, E. The Chemistry of Reactive Oxygen Species (ROS) Revisited: Outlining Their Role in Biological Macromolecules (DNA, Lipids and Proteins) and Induced Pathologies. Int. J. Mol. Sci. 2021, 22, 4642. [Google Scholar] [CrossRef]
- Bao, J.; Wei, Y.; Chen, L. Research progress on the regulatory cell death of osteoblasts in periodontitis. J. Zhejiang Univ. (Med. Sci.) 2024, 53, 533–540. [Google Scholar] [CrossRef]
- Gölz, L.; Memmert, S.; Rath-Deschner, B.; Jäger, A.; Appel, T.; Baumgarten, G.; Götz, W.; Frede, S. LPS from P. gingivalis and hypoxia increases oxidative stress in periodontal ligament fibroblasts and contributes to periodontitis. Mediators Inflamm. 2014, 2014, 986264. [Google Scholar] [CrossRef]
- Schieber, M.; Chandel, N.S. ROS function in redox signaling and oxidative stress. Curr. Biol. 2014, 24, R453–R462. [Google Scholar] [CrossRef]
- Hong, Y.; Boiti, A.; Vallone, D.; Foulkes, N.S. Reactive Oxygen Species Signaling and Oxidative Stress: Transcriptional Regulation and Evolution. Antioxidants (Basel) 2024, 13, 312. [Google Scholar] [CrossRef]
- Mittal, M.; Siddiqui, M.R.; Tran, K.; Reddy, S.P.; Malik, A.B. Reactive oxygen species in inflammation and tissue injury. Antioxid. Redox Signal 2014, 20, 1126–1167. [Google Scholar] [CrossRef] [PubMed]
- Ranneh, Y.; Ali, F.; Akim, A.M.; Hamid, H.A.; Khazaai, H.; Fadel, A. Crosstalk between reactive oxygen species and pro-inflammatory markers in developing various chronic diseases: A review. Applied Biological Chemistry 2017, 60, 327–338. [Google Scholar] [CrossRef]
- Iantomasi, T.; Romagnoli, C.; Palmini, G.; Donati, S.; Falsetti, I.; Miglietta, F.; Aurilia, C.; Marini, F.; Giusti, F.; Brandi, M.L. Oxidative Stress and Inflammation in Osteoporosis: Molecular Mechanisms Involved and the Relationship with microRNAs. Int. J. Mol. Sci. 2023, 24, 3772. [Google Scholar] [CrossRef] [PubMed]
- Martin, C.; Celis, B.; Ambrosio, N.; Bollain, J.; Antonoglou, G.N.; Figuero, E. Effect of orthodontic therapy in periodontitis and non-periodontitis patients: A systematic review with meta-analysis. J. Clin. Periodontol. 2022, 49 (Suppl. S24), 72–101. [Google Scholar] [CrossRef]
- Nibali, L.; Donos, N. Periodontitis and redox status: A review. Curr. Pharm. Des. 2013, 19, 2687–2697. [Google Scholar] [CrossRef]
- Marie, P.J. Osteoblast dysfunctions in bone diseases: From cellular and molecular mechanisms to therapeutic strategies. Cell Mol. Life Sci. 2015, 72, 1347–1361. [Google Scholar] [CrossRef]
- Chen, H.; Huang, X.; Fu, C.; Wu, X.; Peng, Y.; Lin, X.; Wang, Y. Recombinant Klotho Protects Human Periodontal Ligament Stem Cells by Regulating Mitochondrial Function and the Antioxidant System during H2O2-Induced Oxidative Stress. Oxidative Medicine and Cellular Longevity 2019, 2019, 9261565. [Google Scholar] [CrossRef]
- Tan, L.; Cao, Z.; Chen, H.; Xie, Y.; Yu, L.; Fu, C.; Zhao, W.; Wang, Y. Curcumin reduces apoptosis and promotes osteogenesis of human periodontal ligament stem cells under oxidative stress in vitro and in vivo. Life Sci. 2021, 270, 119125. [Google Scholar] [CrossRef]
- Nazet, U.; Schröder, A.; Spanier, G.; Wolf, M.; Proff, P.; Kirschneck, C. Simplified method for applying static isotropic tensile strain in cell culture experiments with identification of valid RT-qPCR reference genes for PDL fibroblasts. Eur. J. Orthod. 2020, 42, 359–370. [Google Scholar] [CrossRef]
- Sun, C.; Janjic Rankovic, M.; Folwaczny, M.; Stocker, T.; Otto, S.; Wichelhaus, A.; Baumert, U. Effect of Different Parameters of In Vitro Static Tensile Strain on Human Periodontal Ligament Cells Simulating the Tension Side of Orthodontic Tooth Movement. Int. J. Mol. Sci. 2022, 23, 1525. [Google Scholar] [CrossRef]
- Chen, Z.; Lu, M.; Zhang, Y.; Wang, H.; Zhou, J.; Zhou, M.; Zhang, T.; Song, J. Oxidative stress state inhibits exosome secretion of hPDLCs through a specific mechanism mediated by PRMT1. J. Periodontal Res. 2022, 57, 1101–1115. [Google Scholar] [CrossRef] [PubMed]
- Sun, C.; Janjic Rankovic, M.; Folwaczny, M.; Otto, S.; Wichelhaus, A.; Baumert, U. Effect of Tension on Human Periodontal Ligament Cells: Systematic Review and Network Analysis. Front. Bioeng. Biotechnol. 2021, 9, 695053. [Google Scholar] [CrossRef] [PubMed]
- Goffart, S.; Tikkanen, P.; Michell, C.; Wilson, T.; Pohjoismaki, J. The Type and Source of Reactive Oxygen Species Influences the Outcome of Oxidative Stress in Cultured Cells. Cells 2021, 10, 1075. [Google Scholar] [CrossRef] [PubMed]
- Baran, I.; Ganea, C.; Scordino, A.; Musumeci, F.; Barresi, V.; Tudisco, S.; Privitera, S.; Grasso, R.; Condorelli, D.F.; Ursu, I.; et al. Effects of menadione, hydrogen peroxide, and quercetin on apoptosis and delayed luminescence of human leukemia Jurkat T-cells. Cell Biochem. Biophys. 2010, 58, 169–179. [Google Scholar] [CrossRef]
- Du, J.; Gebicki, J.M. Proteins are major initial cell targets of hydroxyl free radicals. Int. J. Biochem. Cell Biol. 2004, 36, 2334–2343. [Google Scholar] [CrossRef]
- da Rocha, F.A.; de Brum-Fernandes, A.J. Evidence that peroxynitrite affects human osteoblast proliferation and differentiation. J. Bone Miner. Res. 2002, 17, 434–442. [Google Scholar] [CrossRef]
- Fatokun, A.A.; Stone, T.W.; Smith, R.A. Responses of differentiated MC3T3-E1 osteoblast-like cells to reactive oxygen species. Eur. J. Pharmacol. 2008, 587, 35–41. [Google Scholar] [CrossRef]
- Wei, Y.; Fu, J.; Wu, W.; Ma, P.; Ren, L.; Yi, Z.; Wu, J. Quercetin Prevents Oxidative Stress-Induced Injury of Periodontal Ligament Cells and Alveolar Bone Loss in Periodontitis. Drug Des. Devel Ther. 2021, 15, 3509–3522. [Google Scholar] [CrossRef]
- Kuang, Y.; Hu, B.; Feng, G.; Xiang, M.; Deng, Y.; Tan, M.; Li, J.; Song, J. Metformin prevents against oxidative stress-induced senescence in human periodontal ligament cells. Biogerontology 2020, 21, 13–27. [Google Scholar] [CrossRef]
- Costa, F.P.D.; Puty, B.; Nogueira, L.S.; Mitre, G.P.; Santos, S.M.D.; Teixeira, B.J.B.; Kataoka, M.; Martins, M.D.; Barboza, C.A.G.; Monteiro, M.C.; et al. Piceatannol Increases Antioxidant Defense and Reduces Cell Death in Human Periodontal Ligament Fibroblast under Oxidative Stress. Antioxidants (Basel) 2019, 9, 16. [Google Scholar] [CrossRef]
- Cavalla, F.; Osorio, C.; Paredes, R.; Valenzuela, M.A.; Garcia-Sesnich, J.; Sorsa, T.; Tervahartiala, T.; Hernandez, M. Matrix metalloproteinases regulate extracellular levels of SDF-1/CXCL12, IL-6 and VEGF in hydrogen peroxide-stimulated human periodontal ligament fibroblasts. Cytokine 2015, 73, 114–121. [Google Scholar] [CrossRef] [PubMed]
- Chen, J.H.; Ozanne, S.E.; Hales, C.N. Methods of cellular senescence induction using oxidative stress. Methods Mol. Biol. 2007, 371, 179–189. [Google Scholar] [PubMed]
- Sachdev, S.; Ansari, S.A.; Ansari, M.I. Reactive Oxygen Species (ROS): An Introduction. In Reactive Oxygen Species in Plants; Sachdev, S., Akthar Ansari, S., Israil Ansari, M., Eds.; Springer Nature Singapore: Singapore, 2023; pp. 1–22. [Google Scholar]
- Lennicke, C.; Rahn, J.; Lichtenfels, R.; Wessjohann, L.A.; Seliger, B. Hydrogen peroxide—Production, fate and role in redox signaling of tumor cells. Cell Commun. Signal 2015, 13, 39. [Google Scholar] [CrossRef]
- Day, R.M.; Suzuki, Y.J. Cell proliferation, reactive oxygen and cellular glutathione. Dose Response 2006, 3, 425–442. [Google Scholar] [CrossRef]
- Heo, S.; Kim, S.; Kang, D. The Role of Hydrogen Peroxide and Peroxiredoxins throughout the Cell Cycle. Antioxidants (Basel) 2020, 9, 280. [Google Scholar] [CrossRef]
- Liu, C.; Mo, L.; Niu, Y.; Li, X.; Zhou, X.; Xu, X. The Role of Reactive Oxygen Species and Autophagy in Periodontitis and Their Potential Linkage. Front. Physiol. 2017, 8, 439. [Google Scholar] [CrossRef]
- Sen, S.; Lux, C.J.; Erber, R. A Potential Role of Semaphorin 3A during Orthodontic Tooth Movement. Int. J. Mol. Sci. 2021, 22, 8297. [Google Scholar] [CrossRef]
- Yu, H.S.; Kim, J.J.; Kim, H.W.; Lewis, M.P.; Wall, I. Impact of mechanical stretch on the cell behaviors of bone and surrounding tissues. J. Tissue Eng. 2016, 7, 2041731415618342. [Google Scholar] [CrossRef]
- El-Obeid, A.; Maashi, Y.; AlRoshody, R.; Alatar, G.; Aljudayi, M.; Al-Eidi, H.; AlGaith, N.; Khan, A.H.; Hassib, A.; Matou-Nasri, S. Herbal melanin modulates PGE2 and IL-6 gastroprotective markers through COX-2 and TLR4 signaling in the gastric cancer cell line AGS. BMC Complement. Med. Ther. 2023, 23, 305. [Google Scholar] [CrossRef]
- Yucel-Lindberg, T.; Bage, T. Inflammatory mediators in the pathogenesis of periodontitis. Expert. Rev. Mol. Med. 2013, 15, e7. [Google Scholar] [CrossRef]
- Bickel, M. The role of interleukin-8 in inflammation and mechanisms of regulation. J. Periodontol. 1993, 64, 456–460. [Google Scholar] [PubMed]
- Li, Y.; Zhan, Q.; Bao, M.; Yi, J.; Li, Y. Biomechanical and biological responses of periodontium in orthodontic tooth movement: Up-date in a new decade. Int. J. Oral. Sci. 2021, 13, 20. [Google Scholar] [CrossRef] [PubMed]
- Marinho, H.S.; Real, C.; Cyrne, L.; Soares, H.; Antunes, F. Hydrogen peroxide sensing, signaling and regulation of transcription factors. Redox Biol. 2014, 2, 535–562. [Google Scholar] [CrossRef]
- Shang, J.; Liu, H.; Zheng, Y.; Zhang, Z. Role of oxidative stress in the relationship between periodontitis and systemic diseases. Front. Physiol. 2023, 14, 1210449. [Google Scholar] [CrossRef]
- Bosca, A.B.; Miclaus, V.; Ilea, A.; Campian, R.S.; Rus, V.; Ruxanda, F.; Ratiu, C.; Uifalean, A.; Parvu, A.E. Role of nitro-oxidative stress in the pathogenesis of experimental rat periodontitis. Clujul Med. 2016, 89, 150–159. [Google Scholar]
- Tothova, L.; Celec, P. Oxidative Stress and Antioxidants in the Diagnosis and Therapy of Periodontitis. Front. Physiol. 2017, 8, 1055. [Google Scholar] [CrossRef]
- Zhang, J.; Xu, S.; Zhang, Y.; Zou, S.; Li, X. Effects of equibiaxial mechanical stretch on extracellular matrix-related gene expression in human calvarial osteoblasts. Eur. J. Oral. Sci. 2019, 127, 10–18. [Google Scholar] [CrossRef]
- Motie, P.; Mohaghegh, S.; Kouhestani, F.; Motamedian, S.R. Effect of mechanical forces on the behavior of osteoblasts: A systematic review of in vitro studies. Dent. Med. Probl. 2023, 60, 673–686. [Google Scholar] [CrossRef]
- Mazurek-Mochol, M.; Bonsmann, T.; Mochol, M.; Poniewierska-Baran, A.; Pawlik, A. The Role of Interleukin 6 in Periodontitis and Its Complications. Int. J. Mol. Sci. 2024, 25, 2146. [Google Scholar] [CrossRef]
- Finoti, L.S.; Nepomuceno, R.; Pigossi, S.C.; Corbi, S.C.; Secolin, R.; Scarel-Caminaga, R.M. Association between interleukin-8 levels and chronic periodontal disease: A PRISMA-compliant systematic review and meta-analysis. Medicine (Baltimore) 2017, 96, e6932. [Google Scholar] [CrossRef]
- Graves, D. Cytokines that promote periodontal tissue destruction. J. Periodontol. 2008, 79, 1585–1591. [Google Scholar] [CrossRef] [PubMed]
- Martínez-García, M.; Hernández-Lemus, E. Periodontal Inflammation and Systemic Diseases: An Overview. Front. Physiol. 2021, 12, 709438. [Google Scholar] [CrossRef] [PubMed]
- Nunes, L.; Quintanilha, L.; Perinetti, G.; Capelli, J.J. Effect of orthodontic force on expression levels of ten cytokines in gingival crevicular fluid. Arch. Oral. Biol. 2017, 76, 70–75. [Google Scholar] [CrossRef] [PubMed]
- Bendre, M.S.; Montague, D.C.; Peery, T.; Akel, N.S.; Gaddy, D.; Suva, L.J. Interleukin-8 stimulation of osteoclastogenesis and bone resorption is a mechanism for the increased osteolysis of metastatic bone disease. Bone 2003, 33, 28–37. [Google Scholar] [CrossRef]
- Kapoor, P.; Kharbanda, O.P.; Monga, N.; Miglani, R.; Kapila, S. Effect of orthodontic forces on cytokine and receptor levels in gingival crevicular fluid: A systematic review. Prog. Orthod. 2014, 15, 65. [Google Scholar] [CrossRef]
- Chan, W.C.W.; Tan, Z.; To, M.K.T.; Chan, D. Regulation and Role of Transcription Factors in Osteogenesis. Int. J. Mol. Sci. 2021, 22, 5445. [Google Scholar] [CrossRef]
- Panupinthu, N.; Rogers, J.T.; Zhao, L.; Solano-Flores, L.P.; Possmayer, F.; Sims, S.M.; Dixon, S.J. P2X7 receptors on osteoblasts couple to production of lysophosphatidic acid: A signaling axis promoting osteogenesis. J. Cell Biol. 2008, 181, 859–871. [Google Scholar] [CrossRef]
- Wauquier, F.; Leotoing, L.; Coxam, V.; Guicheux, J.; Wittrant, Y. Oxidative stress in bone remodelling and disease. Trends Mol. Med. 2009, 15, 468–477. [Google Scholar] [CrossRef]
- Zhu, C.; Shen, S.; Zhang, S.; Huang, M.; Zhang, L.; Chen, X. Autophagy in Bone Remodeling: A Regulator of Oxidative Stress. Front. Endocrinol. (Lausanne) 2022, 13, 898634. [Google Scholar] [CrossRef]
- Mao, Y.; Wang, L.; Zhu, Y.; Liu, Y.; Dai, H.; Zhou, J.; Geng, D.; Wang, L.; Ji, Y. Tension force-induced bone formation in orthodontic tooth movement via modulation of the GSK-3beta/beta-catenin signaling pathway. J. Mol. Histol. 2018, 49, 75–84. [Google Scholar] [CrossRef]
- Ornatowski, W.; Lu, Q.; Yegambaram, M.; Garcia, A.E.; Zemskov, E.A.; Maltepe, E.; Fineman, J.R.; Wang, T.; Black, S.M. Complex interplay between autophagy and oxidative stress in the development of pulmonary disease. Redox Biol. 2020, 36, 101679. [Google Scholar] [CrossRef] [PubMed]
- Wang, G.; Zhang, T.; Sun, W.; Wang, H.; Yin, F.; Wang, Z.; Zuo, D.; Sun, M.; Zhou, Z.; Lin, B.; et al. Arsenic sulfide induces apoptosis and autophagy through the activation of ROS/JNK and suppression of Akt/mTOR signaling pathways in osteosarcoma. Free Radic. Biol. Med. 2017, 106, 24–37. [Google Scholar] [CrossRef] [PubMed]
- Kapałczyńska, M.; Kolenda, T.; Przybyła, W.; Zajączkowska, M.; Teresiak, A.; Filas, V.; Ibbs, M.; Bliźniak, R.; Łuczewski, Ł.; Lamperska, K. 2D and 3D cell cultures—A comparison of different types of cancer cell cultures. Arch. Med. Sci. 2018, 14, 910–919. [Google Scholar] [CrossRef]
- Zhao, C. Cell culture: In vitro model system and a promising path to in vivo applications. Journal of Histotechnology 2023, 46, 1–4. [Google Scholar] [CrossRef]
- Ng, K.W.; Schantz, J.-T. A Manual for Primary Human Cell Culture, 2nd ed.; World Scientific: Hackensack, NJ, USA, 2010; pp. 38–47. [Google Scholar]
- Shi, J.; Folwaczny, M.; Wichelhaus, A.; Baumert, U. Differences in RUNX2 and P2RX7 gene expression between mono- and coculture of human periodontal ligament cells and human osteoblasts under compressive force application. Orthod. Craniofac Res. 2019, 22, 168–176. [Google Scholar] [CrossRef]
- Janjic Rankovic, M.; Docheva, D.; Wichelhaus, A.; Baumert, U. Effect of static compressive force on in vitro cultured PDL fibroblasts: Monitoring of viability and gene expression over 6 days. Clin. Oral. Investig. 2020, 24, 2497–2511. [Google Scholar] [CrossRef]
- Bustin, S.A.; Beaulieu, J.F.; Huggett, J.; Jaggi, R.; Kibenge, F.S.; Olsvik, P.A.; Penning, L.C.; Toegel, S. MIQE precis: Practical implementation of minimum standard guidelines for fluorescence-based quantitative real-time PCR experiments. BMC Mol. Biol. 2010, 11, 74. [Google Scholar] [CrossRef]
- Bustin, S.A.; Benes, V.; Garson, J.A.; Hellemans, J.; Huggett, J.; Kubista, M.; Mueller, R.; Nolan, T.; Pfaffl, M.W.; Shipley, G.L.; et al. The MIQE guidelines: Minimum information for publication of quantitative real-time PCR experiments. Clin. Chem. 2009, 55, 611–622. [Google Scholar] [CrossRef]
- Chirieleison, S.M.; Marsh, R.A.; Kumar, P.; Rathkey, J.K.; Dubyak, G.R.; Abbott, D.W. Nucleotide-binding oligomerization domain (NOD) signaling defects and cell death susceptibility cannot be uncoupled in X-linked inhibitor of apoptosis (XIAP)-driven inflammatory disease. J. Biol. Chem. 2017, 292, 9666–9679. [Google Scholar] [CrossRef]
- Xie, F.; Xiao, P.; Chen, D.; Xu, L.; Zhang, B. miRDeepFinder: A miRNA analysis tool for deep sequencing of plant small RNAs. Plant Mol. Biol. 2012, 80, 75–84. [Google Scholar] [CrossRef]
- RefFinder. Available online: https://www.ciidirsinaloa.com.mx/RefFinder-master/ (accessed on 11 July 2024).
- Pfaffl, M.W.; Tichopad, A.; Prgomet, C.; Neuvians, T.P. Determination of stable housekeeping genes, differentially regulated target genes and sample integrity: BestKeeper--Excel-based tool using pair-wise correlations. Biotechnol. Lett. 2004, 26, 509–515. [Google Scholar] [CrossRef] [PubMed]
- Andersen, C.L.; Jensen, J.L.; Orntoft, T.F. Normalization of real-time quantitative reverse transcription-PCR data: A model-based variance estimation approach to identify genes suited for normalization, applied to bladder and colon cancer data sets. Cancer Res. 2004, 64, 5245–5250. [Google Scholar] [CrossRef]
- Vandesompele, J.; De Preter, K.; Pattyn, F.; Poppe, B.; Van Roy, N.; De Paepe, A.; Speleman, F. Accurate normalization of real-time quantitative RT-PCR data by geometric averaging of multiple internal control genes. Genome Biol. 2002, 3, research0034.0031. [Google Scholar] [CrossRef]
- Silver, N.; Best, S.; Jiang, J.; Thein, S.L. Selection of housekeeping genes for gene expression studies in human reticulocytes using real-time PCR. BMC Mol. Biol. 2006, 7, 33. [Google Scholar] [CrossRef]
- Shi, J.; Baumert, U.; Folwaczny, M.; Wichelhaus, A. Influence of static forces on the expression of selected parameters of inflammation in periodontal ligament cells and alveolar bone cells in a co-culture in vitro model. Clin. Oral. Investig. 2019, 23, 2617–2628. [Google Scholar] [CrossRef]
- Jones, R.L.; Hannan, N.J.; Kaitu’u, T.J.; Zhang, J.; Salamonsen, L.A. Identification of chemokines important for leukocyte recruitment to the human endometrium at the times of embryo implantation and menstruation. J. Clin. Endocrinol. Metab. 2004, 89, 6155–6167. [Google Scholar] [CrossRef]
- Zhuang, H.; Hu, D.; Singer, D.; Walker, J.V.; Nisr, R.B.; Tieu, K.; Ali, K.; Tredwin, C.; Luo, S.; Ardu, S.; et al. Local anesthetics induce autophagy in young permanent tooth pulp cells. Cell Death Discov. 2015, 1, 15024. [Google Scholar] [CrossRef]
- Wang, Y.; Du, C.; Wan, W.; He, C.; Wu, S.; Wang, T.; Wang, F.; Zou, R. shRNA knockdown of integrin-linked kinase on hPDLCs migration, proliferation, and apoptosis under cyclic tensile stress. Oral. Dis. 2020, 26, 1747–1754. [Google Scholar] [CrossRef]
- Cao, Z.; Zhang, H.; Cai, X.; Fang, W.; Chai, D.; Wen, Y.; Chen, H.; Chu, F.; Zhang, Y. Luteolin Promotes Cell Apoptosis by Inducing Autophagy in Hepatocellular Carcinoma. Cell Physiol. Biochem. 2017, 43, 1803–1812. [Google Scholar] [CrossRef]
- Yang, Y.; Yang, Y.; Li, X.; Cui, L.; Fu, M.; Rabie, A.B.; Zhang, D. Functional analysis of core binding factor a1 and its relationship with related genes expressed by human periodontal ligament cells exposed to mechanical stress. Eur. J. Orthod. 2010, 32, 698–705. [Google Scholar] [CrossRef]
- Livak, K.J.; Schmittgen, T.D. Analysis of relative gene expression data using real-time quantitative PCR and the 2−ΔΔCT Method. Methods 2001, 25, 402–408. [Google Scholar] [CrossRef] [PubMed]









| Analyte | Treatment | Mean | SD | Median | Min | Max | K-W of Treatment | ||
|---|---|---|---|---|---|---|---|---|---|
| p Value | Post-Hoc Test vs. Ctrl (padj.) | Sig. a | |||||||
| Direct | |||||||||
| CXCL8/IL8 (FC) | Ctrl | 1.00 | 0.06 | 1.00 | 0.94 | 1.12 | 0.004 | ** | |
| 50 µM | 0.97 | 0.17 | 0.96 | 0.81 | 1.26 | 1.000 | n.s. | ||
| 100 µM | 1.41 | 0.16 | 1.38 | 1.26 | 1.69 | 0.018 | * | ||
| IL6 (FC) | Ctrl | 1.02 | 0.24 | 1.00 | 0.75 | 1.37 | 0.001 | ** | |
| 50 µM | 1.49 | 0.36 | 1.45 | 1.01 | 1.96 | 0.249 | n.s. | ||
| 100 µM | 2.47 | 0.47 | 2.65 | 1.54 | 2.86 | 0.001 | ** | ||
| PTGS2/COX2 (FC) | Ctrl | 1.01 | 0.13 | 1.00 | 0.86 | 1.17 | <0.001 | *** | |
| 50 µM | 2.15 | 0.06 | 2.15 | 2.08 | 2.22 | 0.153 | n.s. | ||
| 100 µM | 3.39 | 0.43 | 3.23 | 2.99 | 4.08 | <0.001 | *** | ||
| RUNX2 (FC) | Ctrl | 1.00 | 0.06 | 1.00 | 0.94 | 1.07 | 0.003 | ** | |
| 50 µM | 0.64 | 0.14 | 0.60 | 0.50 | 0.83 | 0.015 | * | ||
| 100 µM | 0.61 | 0.21 | 0.71 | 0.31 | 0.79 | 0.007 | ** | ||
| CASP3 (FC) | Ctrl | 1.02 | 0.21 | 1.00 | 0.76 | 1.28 | 0.205 | n.s. | |
| 50 µM | 0.74 | 0.29 | 0.64 | 0.49 | 1.11 | 0.350 | n.s. | ||
| 100 µM | 0.97 | 0.31 | 1.11 | 0.38 | 1.19 | 1.000 | n.s. | ||
| CASP8 (FC) | Ctrl | 1.01 | 0.19 | 1.00 | 0.80 | 1.31 | 0.026 | * | |
| 50 µM | 1.35 | 0.39 | 1.55 | 0.81 | 1.65 | 0.248 | n.s. | ||
| 100 µM | 1.57 | 0.14 | 1.60 | 1.39 | 1.77 | 0.024 | * | ||
| MAP1LC3A/LC3 (FC) | Ctrl | 1.00 | 0.10 | 1.00 | 0.90 | 1.17 | 0.002 | ** | |
| 50 µM | 1.20 | 0.05 | 1.20 | 1.13 | 1.28 | 0.144 | n.s. | ||
| 100 µM | 1.28 | 0.05 | 1.28 | 1.21 | 1.34 | 0.001 | ** | ||
| BECN1 (FC) | Ctrl | 1.00 | 0.10 | 1.00 | 0.90 | 1.19 | 0.001 | ** | |
| 50 µM | 1.17 | 0.05 | 1.17 | 1.08 | 1.24 | 0.388 | n.s. | ||
| 100 µM | 1.64 | 0.23 | 1.52 | 1.44 | 1.96 | 0.001 | ** | ||
| TNFRSF11B/OPG (FC) | Ctrl | 1.01 | 0.13 | 0.98 | 0.86 | 1.25 | 0.128 | n.s. | |
| 50 µM | 0.94 | 0.25 | 1.05 | 0.63 | 1.20 | 1.000 | n.s. | ||
| 100 µM | 0.84 | 0.11 | 0.86 | 0.72 | 0.95 | 0.154 | n.s. | ||
| P2RX7 (FC) | Ctrl | 1.01 | 0.16 | 1.00 | 0.83 | 1.28 | 0.003 | ** | |
| 50 µM | 0.56 | 0.16 | 0.60 | 0.32 | 0.73 | 0.024 | * | ||
| 100 µM | 0.49 | 0.07 | 0.46 | 0.42 | 0.58 | 0.004 | ** | ||
| Recovery | |||||||||
| CXCL8/IL8 (FC) | Ctrl | 1.00 | 0.03 | 1.00 | 0.96 | 1.05 | <0.001 | *** | |
| 50 µM | 0.83 | 0.06 | 0.83 | 0.73 | 0.94 | 0.154 | n.s. | ||
| 100 µM | 1.68 | 0.39 | 1.51 | 1.33 | 2.21 | 0.154 | n.s. | ||
| IL6 (FC) | Ctrl | 1.00 | 0.05 | 1.00 | 0.92 | 1.07 | 0.142 | n.s. | |
| 50 µM | 0.98 | 0.09 | 0.97 | 0.84 | 1.09 | 1.000 | n.s. | ||
| 100 µM | 1.07 | 0.09 | 1.07 | 0.98 | 1.21 | 0.665 | n.s. | ||
| PTGS2/COX2 (FC) | Ctrl | 1.00 | 0.04 | 1.00 | 0.93 | 1.07 | <0.001 | *** | |
| 50 µM | 0.69 | 0.09 | 0.70 | 0.57 | 0.78 | 0.154 | n.s. | ||
| 100 µM | 2.10 | 0.32 | 2.08 | 1.73 | 2.48 | 0.154 | n.s. | ||
| RUNX2 (FC) | Ctrl | 1.00 | 0.09 | 1.01 | 0.84 | 1.08 | 0.024 | * | |
| 50 µM | 0.84 | 0.09 | 0.83 | 0.78 | 1.02 | 0.028 | * | ||
| 100 µM | 0.86 | 0.12 | 0.89 | 0.64 | 0.95 | 0.126 | n.s. | ||
| CASP3 (FC) | Ctrl | 1.00 | 0.01 | 1.00 | 0.99 | 1.01 | 0.001 | ** | |
| 50 µM | 0.89 | 0.12 | 0.88 | 0.75 | 1.06 | 0.575 | n.s. | ||
| 100 µM | 2.83 | 0.68 | 2.76 | 2.00 | 3.66 | 0.067 | n.s. | ||
| CASP8 (FC) | Ctrl | 1.00 | 0.01 | 1.00 | 0.98 | 1.01 | 0.005 | ** | |
| 50 µM | 0.91 | 0.18 | 0.89 | 0.69 | 1.17 | 1.000 | n.s. | ||
| 100 µM | 1.24 | 0.15 | 1.24 | 1.09 | 1.51 | 0.038 | * | ||
| MAP1LC3A/LC3 (FC) | Ctrl | 1.01 | 0.12 | 1.00 | 0.88 | 1.19 | 0.001 | ** | |
| 50 µM | 0.61 | 0.01 | 0.61 | 0.60 | 0.63 | 0.091 | n.s. | ||
| 100 µM | 1.17 | 0.05 | 1.17 | 1.11 | 1.24 | 0.388 | n.s. | ||
| BECN1 (FC) | Ctrl | 1.00 | 0.02 | 1.00 | 0.96 | 1.02 | 0.003 | ** | |
| 50 µM | 0.87 | 0.19 | 0.86 | 0.66 | 1.12 | 1.000 | n.s. | ||
| 100 µM | 2.71 | 0.42 | 2.68 | 2.21 | 3.19 | 0.028 | * | ||
| TNFRSF11B/OPG (FC) | Ctrl | 1.00 | 0.02 | 1.00 | 0.97 | 1.03 | <0.001 | *** | |
| 50 µM | 0.70 | 0.14 | 0.69 | 0.52 | 0.88 | 0.154 | n.s. | ||
| 100 µM | 1.75 | 0.04 | 1.75 | 1.70 | 1.80 | 0.154 | n.s. | ||
| P2RX7 (FC) | Ctrl | 1.00 | 0.03 | 1.00 | 0.96 | 1.03 | <0.001 | *** | |
| 50 µM | 0.86 | 0.05 | 0.87 | 0.78 | 0.92 | 0.154 | n.s. | ||
| 100 µM | 0.57 | 0.03 | 0.57 | 0.52 | 0.62 | 0.154 | n.s. | ||
| Analyte | Treatment | Mean | SD | Median | Min | Max | K-W of Treatment | ||
|---|---|---|---|---|---|---|---|---|---|
| p Value | Post-Hoc Test vs. Ctrl (padj.) | Sig.a | |||||||
| CXCL8/IL8 (FC) | Ctrl | 1.00 | 0.03 | 1.00 | 0.96 | 1.05 | <0.001 | *** | |
| T15% | 2.74 | 0.34 | 2.85 | 2.08 | 3.00 | 0.001 | ** | ||
| 50 µM/T15% | 2.37 | 0.90 | 2.36 | 1.19 | 3.38 | 0.010 | * | ||
| 100 µM/T15% | 1.55 | 0.30 | 1.49 | 1.25 | 1.91 | 0.397 | n.s. | ||
| IL6 (FC) | Ctrl | 1.00 | 0.05 | 1.00 | 0.92 | 1.07 | <0.001 | *** | |
| T15% | 2.01 | 0.42 | 1.93 | 1.55 | 2.55 | 0.022 | * | ||
| 50 µM/T15% | 1.17 | 0.08 | 1.17 | 1.06 | 1.30 | 0.989 | n.s. | ||
| 100 µM/T15% | 0.45 | 0.06 | 0.42 | 0.40 | 0.58 | 0.784 | n.s. | ||
| PTGS2/COX2 (FC) | Ctrl | 1.00 | 0.04 | 1.00 | 0.93 | 1.07 | <0.001 | *** | |
| T15% | 2.03 | 0.34 | 2.13 | 1.56 | 2.35 | 0.024 | * | ||
| 50 µM/T15% | 1.49 | 0.08 | 1.48 | 1.38 | 1.59 | 0.754 | n.s. | ||
| 100 µM/T15% | 3.06 | 0.48 | 2.83 | 2.66 | 3.69 | <0.001 | *** | ||
| RUNX2 (FC) | Ctrl | 1.00 | 0.09 | 1.01 | 0.84 | 1.08 | <0.001 | *** | |
| T15% | 1.09 | 0.12 | 1.07 | 0.95 | 1.25 | 1.000 | n.s. | ||
| 50 µM/T15% | 0.52 | 0.10 | 0.50 | 0.42 | 0.71 | 0.042 | * | ||
| 100 µM/T15% | 0.49 | 0.07 | 0.51 | 0.40 | 0.56 | 0.042 | * | ||
| CASP3 (FC) | Ctrl | 1.00 | 0.01 | 1.00 | 0.99 | 1.01 | <0.001 | *** | |
| T15% | 2.86 | 0.09 | 2.89 | 2.69 | 2.93 | <0.001 | *** | ||
| 50 µM/T15% | 1.63 | 0.34 | 1.69 | 1.21 | 2.06 | 0.326 | n.s. | ||
| 100 µM/T15% | 1.89 | 0.49 | 1.96 | 1.24 | 2.57 | 0.075 | n.s. | ||
| CASP8 (FC) | Ctrl | 1.00 | 0.01 | 1.00 | 0.98 | 1.01 | 0.008 | ** | |
| T15% | 1.64 | 0.33 | 1.68 | 1.19 | 2.00 | 0.009 | ** | ||
| 50 µM/T15% | 1.25 | 0.36 | 1.32 | 0.74 | 1.78 | 1.000 | n.s. | ||
| 100 µM/T15% | 1.45 | 0.17 | 1.42 | 1.27 | 1.72 | 0.086 | n.s. | ||
| MAP1LC3A/LC3 (FC) | Ctrl | 1.01 | 0.12 | 1.00 | 0.88 | 1.19 | <0.001 | *** | |
| T15% | 2.14 | 0.27 | 2.18 | 1.80 | 2.43 | <0.001 | *** | ||
| 50 µM/T15% | 1.77 | 0.43 | 1.63 | 1.37 | 2.45 | 0.033 | * | ||
| 100 µM/T15% | 1.47 | 0.22 | 1.45 | 1.14 | 1.80 | 0.345 | n.s. | ||
| BECN1 (FC) | Ctrl | 1.00 | 0.02 | 1.00 | 0.96 | 1.02 | <0.001 | *** | |
| T15% | 2.98 | 0.14 | 2.97 | 2.80 | 3.15 | <0.001 | *** | ||
| 50 µM/T15% | 2.65 | 0.21 | 2.64 | 2.34 | 2.98 | 0.037 | * | ||
| 100 µM/T15% | 2.44 | 0.24 | 2.44 | 1.99 | 2.69 | 0.396 | n.s. | ||
| TNFRSF11B/OPG (FC) | Ctrl | 1.00 | 0.02 | 1.00 | 0.97 | 1.03 | <0.001 | *** | |
| T15% | 1.81 | 0.28 | 1.77 | 1.49 | 2.25 | <0.001 | *** | ||
| 50 µM/T15% | 1.25 | 0.12 | 1.24 | 1.06 | 1.39 | 0.037 | * | ||
| 100 µM/T15% | 0.84 | 0.16 | 0.83 | 0.61 | 1.11 | 0.396 | n.s. | ||
| P2RX7 (FC) | Ctrl | 1.00 | 0.03 | 1.00 | 0.96 | 1.03 | <0.001 | *** | |
| T15% | 1.45 | 0.12 | 1.44 | 1.31 | 1.66 | 0.119 | n.s. | ||
| 50 µM/T15% | 1.11 | 0.20 | 1.05 | 0.90 | 1.35 | 1.000 | n.s. | ||
| 100 µM/T15% | 0.40 | 0.06 | 0.37 | 0.34 | 0.51 | 0.272 | n.s. | ||
| PGE2 (pg/100,000 cells) | Ctrl | 91.91 | 6.85 | 93.31 | 82.88 | 100.73 | <0.001 | *** | |
| T15% | 139.88 | 4.20 | 140.10 | 135.10 | 145.15 | 0.850 | n.s. | ||
| 50 µM/T15% | 169.36 | 10.80 | 166.20 | 157.58 | 186.22 | 0.012 | * | ||
| 100 µM/T15% | 185.15 | 7.16 | 184.72 | 177.37 | 193.31 | <0.001 | *** | ||
| IL6 (pg/100,000 cells) | Ctrl | 230.68 | 16.07 | 236.51 | 205.93 | 245.50 | <0.001 | *** | |
| T15% | 281.39 | 27.81 | 281.23 | 253.51 | 313.45 | 0.086 | n.s. | ||
| 50 µM/T15% | 301.51 | 19.78 | 304.30 | 270.36 | 329.25 | 0.009 | ** | ||
| 100 µM/T15% | 226.57 | 13.24 | 225.64 | 207.95 | 248.14 | 1.000 | n.s. | ||
| Gene | GenBank Accession Number | Primer Sequence (f: 5′-Forward Primer-3′; r: 5′-Reverse Primer-3′) | Annealing Temp. (°C) | Amplicon Size (bp) | Reference |
|---|---|---|---|---|---|
| PTGS2/COX2 | NM_000963.4 | f: AAGCCTTCTCTAACCTCTCC r: GCCCTCGCTTATGATCTGTC | 58 | 234 | [68,78] |
| IL6 | NM_000600.5 | f: TGGCAGAAAACAACCTGAACC r: TGGCTTGTTCCTCACTACTCTC | 58 | 168 | [68,78] |
| CXCL8/IL8 | NM_000584.4 | f: CAGAGACAGCAGAGCACACAA r: TTAGCACTCCTTGGCAAAAC | 55 | 170 | [79] |
| RUNX2 | NM_001015051.4 | f: GCGCATTCCTCATCCCAGTA r: GGCTCAGGTAGGAGGGGTAA | 58 | 176 | [67,68] |
| BECN1 | NM_003766.5 | f: AGGTTGAGAAAGGCGAGACA r: AATTGTGAGGACACCCAAGC | 58 | 196 | [80] |
| MAP1LC3A/LC3 | NM_032514.4 | f: CGTCCTGGACAAGACCAAGT r: TCCTCGTCTTTCTCCTGCTC | 58 | 183 | [80] |
| CASP3 | NM_004346.4 | f: TGGAGGCCGACTTCTTGTAT r: ACTGTTTCAGCATGGCACAA | 58 | 111 | [81] |
| CASP8 | NM_001228.5 | f: GGAGGAGTTGTGTGGGGTAA r: CCTGCATCCAAGTGTGTTCC | 58 | 207 | [82] |
| TNFRSF11B/OPG | NM_002546.4 | f: TCAAGCAGGAGTGCAATCG r: AGAATGCCTCCTCACACAGG | 64 | 342 | [83] |
| P2RX7 | NM_002562.6 | f: AGTGCGAGTCCATTGTGGAG r: CATCGCAGGTCTTGGGACTT | 58 | 143 | [67] |
| EEF1A1 | NM_001402.6 | f: CCTGCCTCTCCAGGATGTCTAC r: GGAGCAAAGGTGACCACCATAC | 61 | 105 | [19,20] |
| PPIB | NM_000942.5 | f: TTCCATCGTGTAATCAAGGACTTC r: GCTCACCGTAGATGCTCTTTC | 55 | 88 | [19,20] |
Disclaimer/Publisher’s Note: The statements, opinions and data contained in all publications are solely those of the individual author(s) and contributor(s) and not of MDPI and/or the editor(s). MDPI and/or the editor(s) disclaim responsibility for any injury to people or property resulting from any ideas, methods, instructions or products referred to in the content. |
© 2024 by the authors. Licensee MDPI, Basel, Switzerland. This article is an open access article distributed under the terms and conditions of the Creative Commons Attribution (CC BY) license (https://creativecommons.org/licenses/by/4.0/).
Share and Cite
Hosseini, S.; Diegelmann, J.; Folwaczny, M.; Sabbagh, H.; Otto, S.; Kakoschke, T.K.; Wichelhaus, A.; Baumert, U.; Janjic Rankovic, M. Investigation of Oxidative-Stress Impact on Human Osteoblasts During Orthodontic Tooth Movement Using an In Vitro Tension Model. Int. J. Mol. Sci. 2024, 25, 13525. https://doi.org/10.3390/ijms252413525
Hosseini S, Diegelmann J, Folwaczny M, Sabbagh H, Otto S, Kakoschke TK, Wichelhaus A, Baumert U, Janjic Rankovic M. Investigation of Oxidative-Stress Impact on Human Osteoblasts During Orthodontic Tooth Movement Using an In Vitro Tension Model. International Journal of Molecular Sciences. 2024; 25(24):13525. https://doi.org/10.3390/ijms252413525
Chicago/Turabian StyleHosseini, Samira, Julia Diegelmann, Matthias Folwaczny, Hisham Sabbagh, Sven Otto, Tamara Katharina Kakoschke, Andrea Wichelhaus, Uwe Baumert, and Mila Janjic Rankovic. 2024. "Investigation of Oxidative-Stress Impact on Human Osteoblasts During Orthodontic Tooth Movement Using an In Vitro Tension Model" International Journal of Molecular Sciences 25, no. 24: 13525. https://doi.org/10.3390/ijms252413525
APA StyleHosseini, S., Diegelmann, J., Folwaczny, M., Sabbagh, H., Otto, S., Kakoschke, T. K., Wichelhaus, A., Baumert, U., & Janjic Rankovic, M. (2024). Investigation of Oxidative-Stress Impact on Human Osteoblasts During Orthodontic Tooth Movement Using an In Vitro Tension Model. International Journal of Molecular Sciences, 25(24), 13525. https://doi.org/10.3390/ijms252413525

