Next Article in Journal
Utilizing the Fungal Bicistronic System for Multi-Gene Expression to Generate Insect-Resistant and Herbicide-Tolerant Maize
Next Article in Special Issue
ZmCaM2-1, a Calmodulin Gene, Negatively Regulates Drought Tolerance in Transgenic Arabidopsis Through the ABA-Independent Pathway
Previous Article in Journal
Exploring the Osteoinductive Potential of Bacterial Pyomelanin Derived from Pseudomonas aeruginosa in a Human Osteoblast Model
 
 
Font Type:
Arial Georgia Verdana
Font Size:
Aa Aa Aa
Line Spacing:
Column Width:
Background:
Article

Identification, Phylogeny, and Expression Profiling of Pineapple Heat Shock Proteins (HSP70) Under Various Abiotic Stresses

1
Key Laboratory of Quality Regulation of Tropical Horticultural Crop in Hainan Province, School of Tropical Agriculture and Forestry, Hainan University, Haikou 570228, China
2
School of Breeding and Multiplication, Sanya Institute of Breeding and Multiplication, Hainan University, Sanya 572025, China
3
State Key Laboratory of Biological Breeding of Tropical Crops, Institute of Tropical Bioscience and Biotechnology, Chinese Academy of Tropical Agricultural Sciences, Haikou 571101, China
*
Authors to whom correspondence should be addressed.
These authors contributed equally to this work.
Int. J. Mol. Sci. 2024, 25(24), 13407; https://doi.org/10.3390/ijms252413407
Submission received: 22 November 2024 / Revised: 10 December 2024 / Accepted: 12 December 2024 / Published: 14 December 2024

Abstract

Pineapple (Ananas comosus (L.) Merr.) is an economically significant and delicious tropical fruit. Pineapple commercial production faces severe decline due to abiotic stresses, which affect the development and quality of pineapple fruit. Heat shock protein 70 (HSP70) plays an essential role in abiotic stress tolerance. However, the pineapple HSP70 family identification and expression analysis in response to abiotic stresses has not been studied. To explore the functional role of AcHSP70, different abiotic stress treatments were applied to pineapple cultivar “Bali” seedlings. A total of 21 AcHSP70 members were identified in the pineapple genome. The identified genes were classified into four subfamilies (I–IV) using phylogenetic analysis. The AcHSP70 family is expressed under different stress conditions. Quantitative real time polymerase chain reaction (qRT-PCR) revealed the expression pattern of the AcHSP70 family under cold, drought, salt, and heat stress. The expression level of genes such as AcHSP70-2 increased under heat, cold, and drought stress, while the expression level of genes such as AcHSP70-3 decreased under salt stress. Furthermore, the expression profile of AcHSP70s in different tissues and development stages was analyzed using transcriptome analysis. The HSP70 genes exhibited unique expression patterns in pineapple tissue at different developmental stages. The study therefore provides a list of HSP70 genes with substantial roles in abiotic stress response and valuable information for understanding AcHSP70 functional characteristics during abiotic stress tolerance in pineapple.

1. Introduction

Pineapple (Ananas comosus (L.) Merr.) is a perennial monocot plant belonging to the Bromeliaceae family. Pineapple is commercially cultivated as the third most important tropical fruit in China [1]. Its rich nutritional profile, distinctive flavor, and appealing texture render it highly desirable among global consumers [2]. As an economically significant crop, pineapple substantially contributes to the economies of various regions and plays a critical role in international trade, ranking just behind bananas and mangoes in tropical fruit production [3,4]. However, pineapple cultivation faces substantial challenges due to changing climatic conditions in terms of growth and productivity [5].
External environmental factors or abiotic stresses are a serious threat to global food production and security [6,7]. Abiotic stresses severely damage the physiological aspects of pineapple, such as internal browning and photosynthesis rate. Prolonged drought and hot temperature conditions significantly reduce pineapple yields [8]. Drought stress adversely affects fruit yield by resulting in stunted pineapple growth [9]. Low temperature affects the development of flowers and fruit in pineapple [10]. Various studies have analyzed minimum temperature as a critical climate variable in pineapple fruit quality [11]. However, a rise in minimum temperature to above 26 °C caused a hinderance in flower induction [12]. Abiotic stresses affect the internal browning of pineapple by changing metabolic pathways and causing oxidative damage to the fruit. Low temperature causes brown patches, black hearts, and internal browning [13]. Salinity stress affects the chemical quality of pineapple fruits [14]. To cope with these damages, breeders are working on the development of stress-tolerant varieties of pineapple to meet commercial production targets. Heat shock proteins (HSPs) are molecular chaperones synthesized by plants in response to abiotic stresses. HSP proteins are divided into the following five families based on molecular weight: the HSP100/ClpB family, the HSP90 family, the HSP70/DnaK family, the chaperonin family (HSP60/GroEL), and the small heat shock protein (HSP) family [15,16]. HSP70 is the most ubiquitously expressed Adenosine Triphosphate-(ATP)-dependent chaperone, typically weighing between 68 and 78 kDa. It is recognized as the most conserved HSP, playing a crucial role in protein-folding processes in conjunction with other molecular chaperones across various cellular compartments [17,18]. HSP70 mitigates the drastic effect of abiotic stresses and increases plant adaptivity to changing environmental conditions [19,20,21]. The AtHSP70-16 gene inhibits seed germination under cold conditions in Arabidopsis. Arabidopsis hsp70-50 mutants showed resistance against drought stress and reduced tolerance against heat stress [22]. Potato (Solanum tuberosum) StHSP70 genes are significantly expressed in response to cold, heat, and drought stress [23]. In wheat (Triticum aestivum L.), eight TaHSP70 genes showed high expression patterns under drought and heat stress conditions [24]. Tobacco (Nicotiana tabacum) NtHSP70 showed distinct expression functions in response to abiotic stresses [25]. Similarly, jujube (Ziziphus jujuba) ZjHsp70 members showed a high expression pattern against drought [16] and salinity heat stress and showed a crucial role in abiotic stress tolerance. In Litchi (Litchi chinensis), all six members of the LcHSP70 gene family exhibit differential responses to cold, heat, drought, and salt stress [15]. Overall, HSP70 genes showed significant variations in expression patterns against abiotic stresses in plants.
The role of the HSP70 gene family has been identified in many plants. However, the HSP70 gene family has rarely been studied in pineapple. Therefore, the identification of HSP70 genes in the pineapple genome, the gene structure, cis-regulatory elements, and gene expression patterns would be of great significance. We performed a comprehensive study of the pineapple HSP70 gene family and their expression patterns under abiotic stress conditions. We used bioinformatics tools to analyze the conserved domain, gene structure, physiochemical properties, and evolutionary relationship. Further, AcHSP70 gene expression was investigated under different stress conditions and different developmental stages in pineapple. Our results are relevant for pineapple development under abiotic stresses and elucidate the mechanisms by which pineapple adapts to abiotic stresses. The future functional characterization of the AcHSP70 gene family against abiotic stresses is critical and mandatory for commercial crop breeding.

2. Results

2.1. Identification and Chromosomal Localization of AcHSP70 Family

Utilizing the proteins encoded by the Arabidopsis AtHSP70 genes as bait, we employed BLASTp and HMM methods to search the pineapple genomic data. After eliminating redundant sequences, 21 AcHSP70 genes were identified; they were designated as AcHSP70-1 to AcHSP70-21 according to their chromosomal positions, and their physicochemical properties were predicted (Table S1). AcHSP70-5 exhibits the most extended protein sequence, comprising 896 amino acids and a molecular weight of 99.26 kDa, while AcHSP70-18 has the shortest sequence, consisting of 120 amino acids and a molecular weight of 13.06 kDa. The predicted isoelectric points (pI) for AcHSP70s range from 5.06 (AcHSP70-2) to 9.26 (AcHSP70-18). Among the 21 AcHSP70 proteins, 19.05% (four proteins) possess instability coefficients exceeding 40, indicating that the majority are stable. The aliphatic index varies from 76.06 (AcHSP70-25) to 103.13 (AcHSP70-7), with an average of 86.02. Except for AcHSP70-7 and AcHSP70-18, which are hydrophobic, the remaining 19 proteins display hydrophilicity indices below 0, categorizing them as hydrophilic. Predictions for subcellular localization reveal that AcHSP70 proteins are primarily located in the endoplasmic reticulum (six proteins), mitochondria (nine proteins), nucleus (two proteins), and chloroplasts (four proteins).
The chromosomes, organized by descending length and labeled from Chromosome 1 to Chromosome 25, facilitated the mapping of AcHSP70 genes based on precise gene location data. The mapping results indicate that the 21 AcHSP70 genes are distributed across 14 distinct chromosomes (Figure 1). The distribution of AcHSP70 genes across chromosomes exhibits significant variability with no discernible positional pattern. Notably, Chromosome 20 harbors three AcHSP70 genes, whereas Chromosomes 2, 3, 4, 8, 13, 16, 17, and 21 each contain only one AcHSP70 gene.

2.2. Phylogenetic Analysis of the AcHSP70 Family

To explore the evolutionary relationships in the pineapple HSP70 family, we incorporated 18 Arabidopsis AtHSP70 proteins, 12 cucumber CsHSP70 proteins, 32 rice OsHSP70 proteins, and 21 maize ZmHSP70 proteins to construct a phylogenetic tree, utilizing the neighbor-joining method. The analysis revealed that the AcHSP70 family is divided into four subfamilies (I–IV), comprising six, four, six, and five members, respectively, with an uneven distribution of AcHSP70 members within each subfamily (Figure 2). Furthermore, the AcHSP70 genes in pineapple demonstrate significant similarity and evolutionary relationships with HSP70 genes from monocotyledonous plants, such as rice and maize, while exhibiting reduced similarity with HSP70 genes from dicotyledonous plants, including Arabidopsis and cucumber. This indicates that the biological functions of HSP70 genes may be more comparable among monocotyledonous species.

2.3. Gene Structures and Conserved Motifs Analysis

The HSP70 protein consists of three domains: an N-terminal nucleotide-binding domain (NBD) of approximately 44 kDa, a substrate-binding domain (SBD) of about 18 kDa, and a C-terminal substrate-binding domain measuring roughly 10 kDa [23,26,27]. To examine the sequence characteristics of AcHSP70 proteins, an analysis of their conserved motif composition was performed, leading to the identification of 12 distinct conserved motifs (Figure 3B and Figure S1). Among the 20 AcHSP70 members, the number of motifs ranges from eight to twelve, with each subfamily displaying comparable gene structures. Notably, AcHSP70-18 contains only a single motif. In order to study the structural characteristics of the AcHSP70 gene family, intron and exon composition analysis was performed. The findings reveal considerable variability in the gene structures of AcHSP70s, with intron numbers ranging from 1 to 13 (Figure 3C). The member with the highest intron count is AcHSP70-7, which possesses 13 introns. Members within the same AcHSP70s subfamily demonstrate comparable intron–exon structural characteristics.

2.4. Cis-Acting Elements Analysis of AcHSP70s Family

The predicted secondary structures of AcHSP70 proteins reveal that all 21 AcHSP70 variants comprise alpha helices, extended strands, and random coils (Table S2). The percentage of alpha helices varies between 34.96% and 45.67%, while random coils comprise 36.45% to 44.64% of the structure. Both elements are predominant in the AcHSP70 proteins, in contrast to extended strands, which are less abundant, accounting for 12.38% to 25.00%. Three-dimensional structural analyses suggest that members of the same subfamily exhibit more structural similarity (Figure 4).
Predicted analyses of the cis-acting elements in the promoter regions of AcHSP70 genes reveal that all AcHSP70 genes possess diverse quantities of these elements within the upstream 2000 bp of their promoters. These elements are classified into three primary categories: growth and development response elements, hormone response elements, and adversity response elements (Figure 5).
Among the plant growth and development response elements, a total of 27 types have been identified, including light response elements (e.g., Box 4, G-box, GATA-motif, TCCC-motif), elements linked to circadian rhythm regulation (circadian), and elements associated with cell structure (CAT-box, GCN4_motif, RY-element). The hormone response elements comprise nine types, encompassing abscisic acid response elements (ABRE), jasmonic acid methyl ester response elements (CGTCA-motif, TGACG-motif), auxin response elements (AuxRR-core, TGA-element), gibberellin response elements (GARE-motif, P-box, TATC-box), and salicylic acid response elements (TCA-element). Additionally, six types of adversity response elements are present, including drought-induced response elements (MBS, MBSI), cold response elements (LTR), hypoxia-specific induced response elements (GC-motif), anaerobically induced response elements (ARE), and defense and adversity response elements (TC-rich repeats). These findings indicate that AcHSP70s may play a pivotal role in the processes of growth and development, hormone response, and stress response in pineapple.

2.5. Intra-Species Synteny Analysis of the AcHSP70 Family

The analysis of intragenomic collinearity in AcHSP70s indicated the absence of tandem duplications or gene translocation events. Among the 21 AcHSP70s, the following seven pairs of segmental duplication genes were identified: AcHSP70-1/AcHSP70-8, AcHSP70-2/AcHSP70-19, AcHSP70-9/AcHSP70-19, AcHSP70-11/AcHSP70-17, AcHSP70-12/AcHSP70-14, AcHSP70-12/AcHSP70-20, and AcHSP70-14/AcHSP70-20 (Figure 6). The quantities of syntenic HSP70 genes between pineapple and the respective species, such as Arabidopsis, cucumber, rice, and maize, are five, six, twenty-one, and twenty, respectively (Figure 7). Notably, although not all HSP70 genes in Arabidopsis and cucumber have homologous counterparts in pineapple, the majority of HSP70 genes in rice and maize possess one or more homologs in pineapple. Intra-species synteny analysis suggests that the AcHSP70 gene family in pineapple predominantly arises through segmental duplications. Meanwhile, inter-species synteny analysis indicates a closer evolutionary relationship between pineapple and the monocotyledon rice and maize.

2.6. Tissue-Specific Expression Pattern of AcHSP70s

To explore the potential role of the AcHSP70 gene family, transcriptome data from various pineapple tissues (leaves, roots, flowers, and fruits) were analyzed using FPKM (fragments per kilobase million) values. The results demonstrated significant variations in the expression of AcHSP70 gene members across different pineapple tissues. In the leaf tip, 11 members, including AcHSP70-1, exhibit elevated expression levels, whereas only AcHSP70-4 and AcHSP70-16 were highly expressed at the leaf base. AcHSP70-6 showed high transcription levels in the roots, and 10 AcHSP70 members displayed high expression in flowers. Although most AcHSP70s exhibited low expression during fruit development, the expression levels of AcHSP70-4, AcHSP70-6, and AcHSP70-20 increased progressively as the fruit matured (Figure 8).

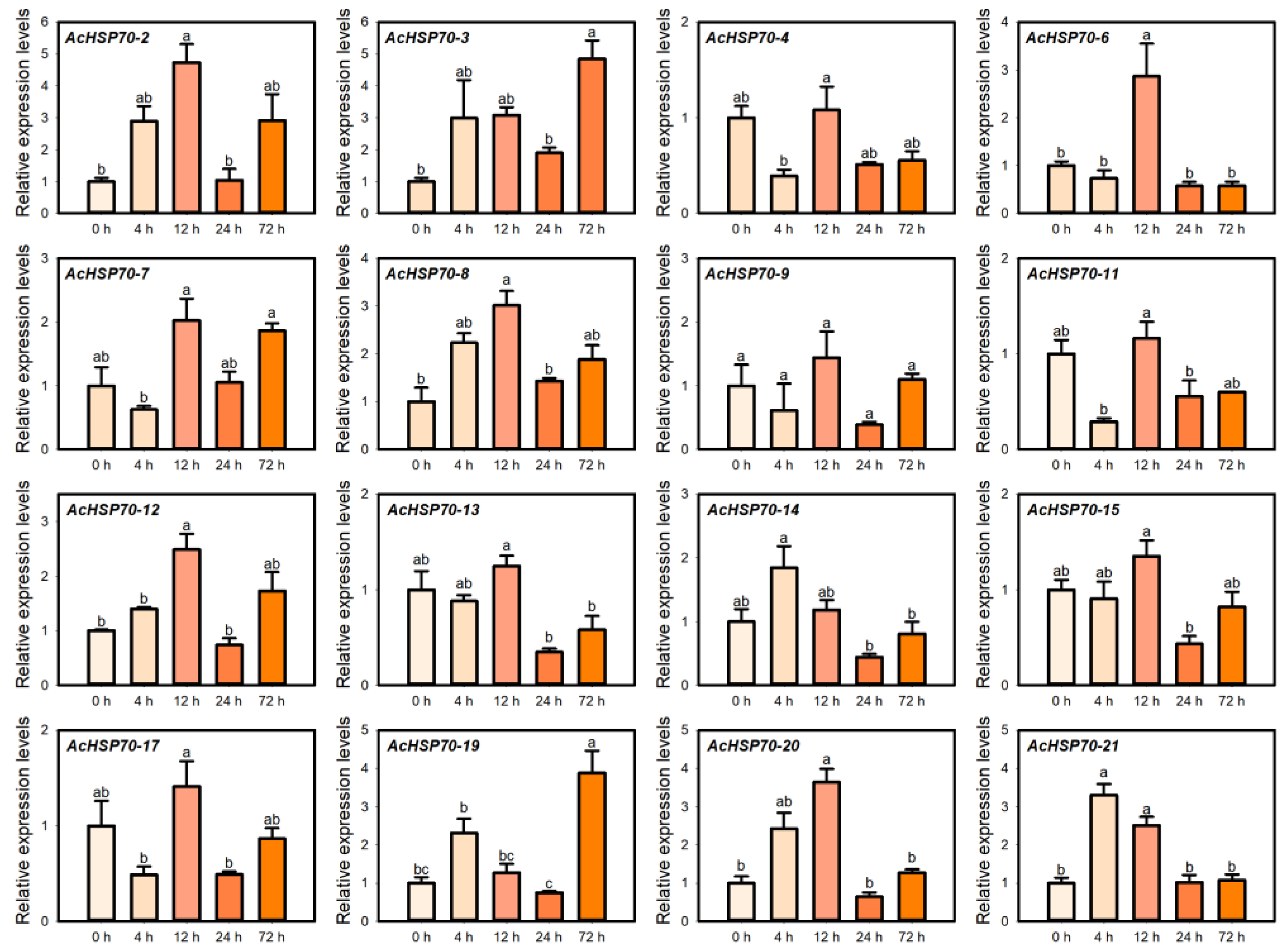
2.7. AcHSP70 Family Expression Analysis Under Heat Stress

Heat or high temperature can induce the accumulation of reactive oxygen species (ROS) within organelles, disrupting normal physiological and biochemical processes in plants and ultimately hindering their growth and development [28,29]. To investigate the role of the AcHSP70 genes under abiotic stress, QRT-PCR was used to analyze expression patterns of AcHSP70 genes. As illustrated in Figure 9, AcHSP70-1, AcHSP70-5, AcHSP70-10, AcHSP70-16, and AcHSP70-18 genes were undetectable, whereas the other 16 AcHSP70 members were differentially expressed in response to heat stress. Expression levels of AcHSP70-2, AcHSP70-9, AcHSP70-12, AcHSP70-17, and AcHSP70-19 displayed increasing and decreasing trends after 4 h of treatment. In contrast, the expression levels of the remaining 10 members, excluding AcHSP70-3, exhibited a decreasing and increasing trend.

2.8. AcHSP70 Family Expression Analysis Under Cold Stress

Cold stress is an abiotic factor that significantly hampers plant growth and development. Extended exposure to cold can disrupt the physiological condition of plants, resulting in damage and potentially leading to mortality [30]. Under cold stress, the expression levels of genes such as AcHSP70-2, AcHSP70-3, AcHSP70-8, AcHSP70-9, AcHSP70-12, AcHSP70-13, AcHSP70-14, AcHSP70-19, and AcHSP70-21 progressively increase with prolonged exposure, peaking at 72 h. In contrast, AcHSP70-7 and AcHSP70-20 display a “first increase, then decrease” pattern, with their maximum expression occurring 24 h before a subsequent decline (Figure 10).

2.9. AcHSP70 Family Expression Analysis Under Drought Stress

Drought impairs plant root water absorption, subsequently affecting transpiration, photosynthesis, and respiration. Furthermore, it may cause the accumulation of toxic ions in plant tissues, hindering normal growth and development [31]. Under drought stress, the expression levels of AcHSP70-2, AcHSP70-8, AcHSP70-12, and AcHSP70-20 increased progressively with treatment duration, peaking at 12 h, followed by a decline and a subsequent peak at 72 h. In contrast, AcHSP70-14 and AcHSP70-21 peaked at 4 h before gradually decreasing. AcHSP70-3 and AcHSP70-19 reached their maximum expression at 72 h, while AcHSP70-6 exhibited its highest expression at 12 h (Figure 11).

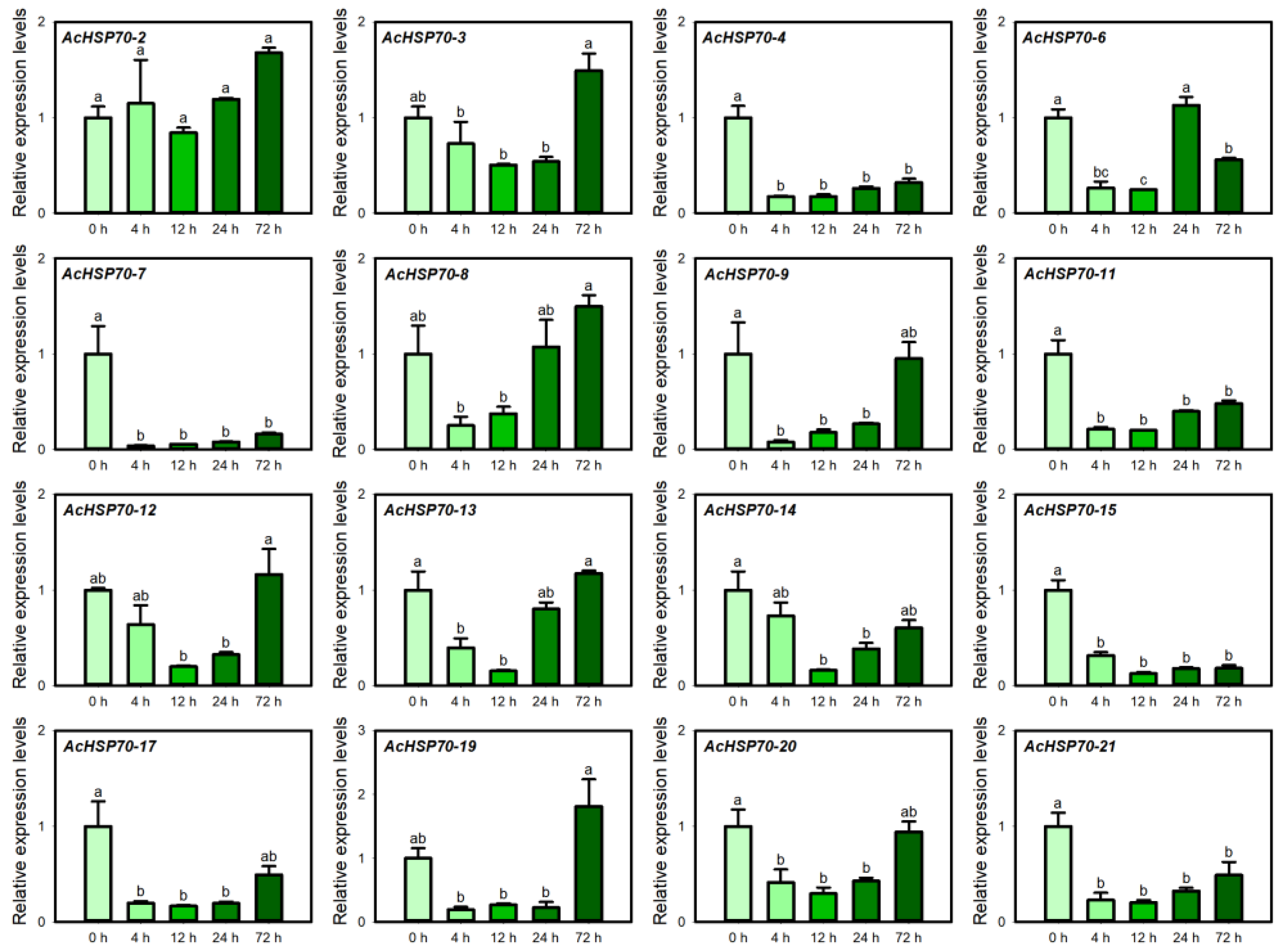
2.10. AcHSP70 Family Expression Analysis Under Salt Stress

Salt stress adversely impacts root development, affecting plant morphology and growth processes [32]. Under salt stress, the expression levels of all members demonstrated a pattern of “initial decrease followed by an increase”. Specifically, AcHSP70-3, AcHSP70-8, AcHSP70-9, AcHSP70-12, AcHSP70-13, AcHSP70-19, and AcHSP70-20 exhibited their lowest expression at 4 or 12 h, followed by a gradual increase, peaking at 72 h. Similarly, AcHSP70-4, AcHSP70-7, AcHSP70-11, AcHSP70-14, AcHSP70-15, AcHSP70-17, and AcHSP70-21 reached their minimum levels at 4 or 12 h before rising. In contrast, AcHSP70-6 exhibited peak expression 24 h post-treatment (Figure 12).

3. Discussion

Abiotic stresses severely damage plant development and lead to a significant decline in commercial crop production. Abiotic stresses significantly reduced the growth and quality of pineapple fruit. Pineapple is an important commercial crop in tropical and subtropical areas of China. The pineapple industry in China totally depends on the introduction of foreign varieties such as Bali, Thornless Cocaine, and Shenwan. The Bali variety is estimated to have a cultivation area of around 75% in China [33]. This presents a significant challenge regarding the adaptation of foreign varieties to changing climatic conditions.
The current research work focused on the identification and expression profiling of the HSP70 gene family under abiotic stresses. In this study, we identified 21 AcHSP70 in the pineapple genome. The AcHSP70 proteins exhibited a considerable variation in the amino acid count, relative molecular weight, and isoelectric point, which may indicate their functional diversity. Subcellular localization for AcHSP70 proteins revealed their presence in the nucleus, endoplasmic reticulum, mitochondria, and chloroplasts. This distribution aligns with the predicted localization of HSP70 proteins in other plants, such as rice and maize, implying that the pineapple HSP70 gene family may share similar roles in growth development and abiotic stress responses observed in these crops.
Phylogenetic analysis is used to elucidate the evolutionary relationships among genes. Closely grouped genes tend to display analogous structures and functions [34]. This study developed a phylogenetic tree for the HSP70 gene family in pineapple, comparing it with that of Arabidopsis, cucumber, rice, and maize based on their evolutionary relationships. The findings indicated that the 21 AcHSP70s members can be categorized into four subfamilies, aligning with the classification observed in rice and maize. Phylogenetic and gene structure analyses of AcHSP70 proteins showed a high-similarity closed relationship with the subfamilies. The analysis of predicted subcellular localization showed that four members of subfamily II are localized in the endoplasmic reticulum and four members of subfamily III are localized in the mitochondria. Furthermore, AcHSP70-11 and AcHSP70-17 are localized in the chloroplast. The intron count in AcHSP70 genes varies from 0 to 13, a range that parallels the HSP70 structures observed in grapevine (Vitis vinifera) [35] and maize [36]. These results show high conservation between HSP70 family members across various species.
Gene duplication is a critical mechanism in species evolution and the emergence of new genes, primarily occurring through three processes: segmental duplication, tandem duplication, and gene transposition. Notably, segmental and tandem duplications are the principal mechanisms driving the expansion of plant gene families [37]. In AcHSP70s, seven pairs of segmental duplication events have been identified, with no instances of tandem duplication or gene transposition observed. The AcHSP70 family exhibits homologous relationships with one or more genes in monocotyledonous plants such as rice and maize. However, not all HSP70 genes in dicotyledonous plants like Arabidopsis and cucumber demonstrate homologous relationships. This finding is consistent with their evolutionary relationships and suggests that the pineapple AcHSP70 family may exhibit functional similarities to HSP70 genes in monocots.
The promoter sequence provides the fundamental basis for the analysis of gene expression and regulation [36]. Cis-acting elements are integral to signal transduction, and the promoter region of the plant HSP70 gene typically includes hormone and stress response elements [38]. This study reveals the presence of various cis-acting elements associated with plant growth, hormone response, and stress response in the upstream region of the AcHSP70s promoter sequence. Predominantly, the light response element G-box is most abundant, accompanied by significant occurrences of abscisic acid response elements (ABRE), cold response elements (LTR), and drought response elements (MBS), among others. It is well established that numerous plant hormones are critical for mediating responses to stressful environments. Abscisic acid (ABA) is essential for plant adaptation to abiotic stress. Consequently, it can be inferred that AcHSP70 proteins may be integral to various processes, including plant growth, hormone regulation, and stress response [39,40].
Plant HSP70 genes have diverse responses to abiotic stress and induce tolerance in plants [41,42]. Under cold stress, the expression levels of several members, including AcHSP70-2, AcHSP70-3, and AcHSP70-9, exhibited an upward trend, reaching their peak at 72 h of treatment. This observation aligns with the expression patterns noted in cabbage leaves under similar cold stress conditions [43]. Under heat stress, the AcHSP70 genes demonstrated two distinct expression patterns. The expression pattern of AcHSP70-4, AcHSP70-6, and AcHSP70-7 decreased to their lowest point at 12 h post-treatment before gradually increasing. In contrast, AcHSP70-2, AcHSP70-9, AcHSP70-12, AcHSP70-17, and AcHSP70-19 genes exhibited an initial rise after exposure to heat, peaking at 4 h, followed by a gradual decline. This observation parallels the expression patterns of HSP70 genes in Chinese pepper subjected to heat stress [44]. AcHSP70 gene responses to temperature exhibit substantial variability. Most members, including AcHSP70-2, AcHSP70-3, and AcHSP70-9, are primarily responsive to low temperatures. In contrast, AcHSP70-2, AcHSP70-9, AcHSP70-12, AcHSP70-17, and AcHSP70-19 likely play critical roles in the pineapple’s adaptation to heat stress.
Under drought stress, AcHSP70-2, AcHSP70-6, AcHSP70-8, AcHSP70-12, AcHSP70-13, AcHSP70-14, AcHSP70-20, and AcHSP70-21 showed the highest expression pattern under 4 to 12 h post-treatment before gradually decreasing. The ABA response element (ABRE) detects ABA signals, promoting the expression of related genes that enhance plant drought tolerance. Additionally, the MYB binding site (MBS) improves plant resilience under drought stress [45,46]. In this study, multiple cis-acting elements associated with abiotic stress were identified in the promoter region of the AcHSP70s gene. Notably, the ABA response element and MYB binding site may be pivotal in mediating the AcHSP70s gene’s response to drought stress.
In our study, the expression levels of AcHSP70-3, AcHSP70-8, AcHSP70-9, AcHSP70-12, AcHSP70-13, AcHSP70-19, and AcHSP70-20 displayed a “decrease-then-increase” pattern, with their lowest expression observed at 4 or 12 h of treatment, followed by a gradual increase under salt stress treatment. These results align with the expression patterns observed in specific TaHSP70s genes in wheat subjected to salt stress [24]. These findings suggested a positive role of AcHSP70 genes against abiotic stress response.

4. Materials and Methods

4.1. Plant Materials and Experimental Treatments

Three-month-old “Bali” pineapple tissue culture seedlings (dimensions: 3 × 6 cm, cultivated in MS medium) underwent several treatments for the experiment. Heat stress was imposed by transferring the plants to an incubator (model: PRX-450D) at 40.0 ± 1.0 °C, with a light intensity of 2600 lx, relative humidity of 60%, and a 12 h photoperiod. Cold stress was applied at 4.0 ± 1.0 °C under the same conditions. Drought stress was simulated using a 15% polyethylene glycol (PEG) 6000 solution, while salt stress was induced with a 200 mM NaCl solution. Leaf samples were collected at 0, 4, 12, 24, and 96 h post-treatment, with each treatment including three biological replicates. Samples were immediately frozen in liquid nitrogen and stored at −80 °C for analysis.

4.2. Identification of HSP70 Genes in Pineapple

The complete genome file of pineapple was downloaded from the pineapple genome database (https://ananas.watchbio.cn/file_download/download.php, accessed on 10 August 2024), while the AtHSP70s protein sequences were obtained from the TAIR database [47]. Using the bait sequence of AtHSP70s, TBtools (v2.110) software was utilized to perform blastp analysis on the HSP70 gene family in the pineapple genome [48]. The hidden Markov model (HMM) for the HSP70 protein domain (PF00012) was acquired from the Pfam database (http://pfam-legacy.xfam.org/, accessed on 10 August 2024) and employed to search the pineapple protein database, leading to the initial identification of candidate proteins [49].
The candidate protein sequences were assessed for conserved domains utilizing the NCBI Conserved Domain Database (CDD, https://www.ncbi.nlm.nih.gov/cdd, accessed on 14 August 2024) [50]. Redundant sequences were eliminated, yielding a final selection of 21 members of the AcHSP70 family, designated AcHSP70-1 to AcHSP70-21 according to their chromosomal positions. The validated AcHSP70 protein sequences from pineapple were analyzed using the ProParam tool in ExPASy (https://web.expasy.org/protparam/, accessed on 21 August 2024) to determine their physicochemical properties. This analysis included predictions of amino acid (AA) length, molecular weight (MW), isoelectric point (PI), instability index, aliphatic index, and grand average of hydropathicity (GRAVY). Subcellular localization predictions were conducted using the Cell-PLoc 2.5 (http://www.csbio.sjtu.edu.cn/bioinf/plant-multi/, accessed on 22 August 2024) online tool.

4.3. Chromosome Localization Phylogenetic Relationships

Data on chromosome lengths, chromosomal locations, and the starting positions of the AcHSP70 genes were extracted from the pineapple genome database (https://ananas.watchbio.cn/file_download/download.php, accessed on 10 August 2024). The pineapple chromosomes were organized in descending order by length, designated as Chr1 to Chr25. Subsequently, the chromosomal localization map for AcHSP70s was created by utilizing the Gene Location Visualize function in TBtools (v2.110) [51].
To investigate the phylogenetic relationships between AcHSP70 proteins and their functional role during stresses in pineapple, the phylogenetic tree was constructed using the protein sequences of 21 AcHSP70s from pineapple, 18 AtHSP70s from Arabidopsis [52], 12 CsHSP70s from cucumber [53], 32 OsHSP70s from rice (Oryza sativa L.) [54], and 21 ZmHSP70s from maize (Zea mays L.) [32]. HSP70 family protein sequences were obtained from TAIR (https://www.arabidopsis.org/, accessed on 10 August 2024), Rice genome annotation project (RGAP) (http://rice.uga.edu/, accessed on 22 August 2024), TFGD (http://ted.bti.cornell.edu/, accessed on 22 August 2024), and ZEAMAP (https://db.cngb.org/zeamap/, accessed on 22 August 2024). The sequences were aligned with ClustalX (v. 1.83), and a phylogenetic tree was constructed using MEGA (v. 11.0), incorporating 1000 bootstrap replicates for validation [55]. The phylogenetic tree was refined using the iTOL (https://itol.embl.de/, accessed on 23 August 2024) online tool [56].

4.4. Analysis of Gene Structures and Conserved Motifs

The gene structure of AcHSP70s, encompassing the locations of exons, introns, and UTRs (untranslated regions), was analyzed using the GFF (Generic Feature Format) file of the pineapple genome via the GSDS 2.0 (https://gsds.gao-lab.org/Gsds_help.php, accessed on 25 August 2024) online platform [57]. Conserved motifs of the AcHSP70s protein were analyzed using the MEME (https://meme-suite.org/meme/tools/meme, accessed on 26 August 2024) web platform, with the motif count specified as 12. The findings were subsequently visualized utilizing the Visualize MEME/MAST Motif Pattern function in TBtools (v2.110).

4.5. Prediction of AcHSP70 Structure and Promoter Cis-Acting Elements

A new method, self-organized prediction (SOPM), was used to predict the secondary structure of proteins. This method accurately predicts amino acids for three three-state descriptions of the secondary structure. The AcHSP70 proteins’ structure was used for prediction and analyzed via the SOPMA (https://npsa.lyon.inserm.fr/cgi-bin/npsa_automat.pl?page=/NPSA/npsa_sopma.html, accessed on 27 August 2024) web platform [58]. Geno3D: Automatic-based comparative modeling of protein three-dimensional (3-D) structure features was used, and AcHSP70 protein sequences were pasted one by one, according to expectation value (-e, real) 1.0. Further, AcHSP70 three-dimensional conformation was modeled using the SWISS (https://swissmodel.expasy.org/interactive, accessed on 27 August 2024) online tool [59]. Cis-regulatory elements were analyzed to understand the regulatory mechanisms of AcHSP70 genes. A 2kb upstream promoter sequence situated above the coding region was examined using the PlantCARE (https://bioinformatics.psb.ugent.be/webtools/plantcare/html/, accessed on 30 August 2024) web resource [60]. The results were visualized with the HeatMap plugin in TBtools (v2.110) [61].

4.6. Gene Replication and Collinearity Analysis of AcHSP70 Genes Family

Chromosome location data were obtained from the pineapple genome and annotation files, and the circular gene view function of TBtools (v2.110) was utilized to visualize the AcHSP70s gene location information. This approach enabled an intraspecific collinearity analysis of the pineapple HSP70 genes. Genomic and annotation files for Arabidopsis, cucumber, rice, and maize were retrieved from the Ensembl database (http://plants.ensembl.org/index.html, accessed on 21 August 2024) [52]. TBtools (v2.110) was subsequently employed to analyze and illustrate segmental duplication events among these four species in relation to pineapple, thereby facilitating an interspecific collinearity analysis [48].

4.7. Expression Pattern Analysis of AcHSP70 Genes

Transcriptome data from various tissues and developmental stages of pineapple have been published, with the data utilized in this study sourced from public databases (http://pineapple.zhangjisenlab.cn/pineapple/html/mRNA.html, accessed on 2 September 2024) [62]. We selected transcriptome data corresponding to the pineapple leaf tip, leaf base, root, flower, and fruit developmental stages. Utilizing TBtools (v2.110), we generated a heatmap to visualize the expression patterns of AcHSP70 genes.

4.8. Expression Analysis of the AcHSP70 Family Under Various Abiotic Stress Conditions

Total RNA was extracted from preserved ‘Bali’ pineapple leaves using the Fast Universal Plant RNA Extraction Kit 3.0 (Beijing Huayueyang Biotechnology Co., Ltd., Beijing, China). The concentration and purity of the extracted RNA were evaluated with a NanoDrop Lite spectrophotometer (Thermo Fisher Scientific, Waltham, MA, USA), yielding an OD260/280 ratio between 1.8 and 2.0. Total RNA was reverse transcribed into cDNA using the RevertAid First Strand cDNA Synthesis Kit (Thermo Fisher Scientific, Waltham, MA, USA) for fluorescence quantitative analysis of AcHSP70s. Quantitative real-time PCR (qRT-PCR) primers were designed using the Batch q-PCR Primer Design plugin in TBtools (v2.110) (Table S3). Following validation with Oligo 7.0 software, the primers were synthesized by Hainan Nanshan Biotechnology Co., Ltd. China. The expression pattern analysis of AcHSP70s was performed using the ChamQ Universal SYBR qPCR Master Mix (Nanjing Novogene Bioinformatics Technology Co., Ltd. China.), following the manufacturer’s instructions. The QuantStudio 1 Real-Time PCR instrument (Thermo Fisher Scientific, Waltham, MA USA) [63] was also used. The relative expression levels of target AcHSP70s were calculated using the 2−∆∆Ct method by normalizing internal reference, as described previously [64]. Statistical significance in gene expression levels was assessed using SPSS 16.0 software (p < 0.05), while gene expression graphs were generated using SigmaPlot 14.0 software.

5. Conclusions

The outcomes of our current study provide the identification of 21 AcHSP70 genes in the pineapple genome. Our investigation reveals that the pineapple AcHSP70 genes are classified into four subfamilies. The AcHSP70 genes transcriptome analysis and expression pattern suggest their diverse role against abiotic stresses in pineapple. Taken together, these findings potentially assist in facilitating further research regarding the evolutionary history and biological functions of the HSP70 gene family and provide essential clues for future research and in-depth identification of pineapple abiotic stress-resistant breeding candidate genes.

Supplementary Materials

The following supporting information can be downloaded at: https://www.mdpi.com/article/10.3390/ijms252413407/s1.

Author Contributions

Conceptualization, H.Z. and Y.W.; methodology and validation, R.X., F.W. and Y.C.; formal analysis and investigation, R.X. and Y.C.; resources, H.Z. and Y.W.; data curation, R.X. and Y.C.; writing—original draft preparation, R.X. and F.S.K.; writing—review and editing, F.S.K.; visualization, R.X.; supervision, Y.W. and H.Z.; project administration, Y.W. and H.Z.; funding acquisition, H.Z. All authors have read and agreed to the published version of the manuscript.

Funding

This work was supported by the National Key R&D Program of China (2023YFD2300804), the major science and technology project of Hainan Province (ZDKJ2021014), the National Natural Science Fund of China (32160687), and the Priming Scientific Research Foundation of Hainan University (KYQD(ZR)-20090).

Institutional Review Board Statement

Not applicable.

Informed Consent Statement

Not applicable.

Data Availability Statement

The data are available on request from the corresponding author.

Conflicts of Interest

The authors declare no conflicts of interest.

References

  1. Li, D.; Jing, M.; Dai, X.; Chen, Z.; Ma, C.; Chen, J. Current Status of Pineapple Breeding, Industrial Development, and Genetics in China. Euphytica 2022, 218, 85. [Google Scholar] [CrossRef]
  2. Song, K.; Zhang, X.; Liu, J.; Yao, Q.; Li, Y.; Hou, X.; Liu, S.; Qiu, X.; Yang, Y.; Chen, L.; et al. Integration of Metabolomics and Transcriptomics to Explore Dynamic Alterations in Fruit Color and Quality in ‘Comte de Paris’ Pineapples during Ripening Processes. Int. J. Mol. Sci. 2023, 24, 16384. [Google Scholar] [CrossRef] [PubMed]
  3. Lin, W.; Liu, S.; Xiao, X.; Sun, W.; Lu, X.; Gao, Y.; He, J.; Zhu, Z.; Wu, Q.; Zhang, X. Integrative Analysis of Metabolome and Transcriptome Provides Insights into the Mechanism of Flower Induction in Pineapple (Ananas comosus (L.) Merr.) by Ethephon. Int. J. Mol. Sci. 2023, 24, 17133. [Google Scholar] [CrossRef] [PubMed]
  4. Sinaga, A.O.Y.; Marpaung, D.S.S. Abiotic stress-induced gene expression in pineapple as a potential genetic marker. Adv. Agrochem 2024, 3, 133–142. [Google Scholar] [CrossRef]
  5. Huang, Y.; Chen, F.; Chai, M.; Xi, X.; Zhu, W.; Qi, J.; Liu, K.; Ma, S.; Su, H.; Tian, Y.; et al. Ectopic Overexpression of Pineapple Transcription Factor AcWRKY31 Reduces Drought and Salt Tolerance in Rice and Arabidopsis. Int. J. Mol. Sci. 2022, 23, 6269. [Google Scholar] [CrossRef]
  6. Bakır, M.; Uncuoğlu, A.A.; Özmen, C.Y.; Baydu, F.Y.; Kazan, K.; Kibar, U.; Schlauch, K.; Cushman, J.C.; Ergül, A. Comprehensive Expression Profiling Analysis to Investigate Salt and Drought Responding Genes in Wild Barley (Hordeum spontaneum L.). Plant Stress 2024, 11, 100315. [Google Scholar] [CrossRef]
  7. Kou, S.Y.; Wu, Z.G.; Li, H.Y.; Chen, X.; Liu, W.H.; Yuan, P.R.; Zhu, Z.H.; Yang, X.; Li, H.H.; Huang, P.; et al. Heterologous Expression of Heat-Shock Protein PpHSP70 Improves High Temperature and Drought Tolerance in Rice. Plant Stress 2023, 10, 100273. [Google Scholar] [CrossRef]
  8. Mugambwa, E.K. Effects of Climatic Variability on Pineapple Growing in Uganda: A Case Study of Pineapple Growers in Kangulumira Sub-County, Kayunga District; LAP Lambert Academic Publishing: Saarbrucken, Germany, 2014. [Google Scholar]
  9. Li, Z.; Li, G.; Cai, M.; Priyadarshani, S.V.G.N.; Aslam, M.; Zhou, Q.; Huang, X.; Wang, X.; Liu, Y.; Qin, Y. Genome-Wide Analysis of the YABBY Transcription Factor Family in Pineapple and Functional Identification of AcYABBY4 Involvement in Salt Stress. Int. J. Mol. Sci. 2019, 20, 5863. [Google Scholar] [CrossRef]
  10. Julius, I.P.; Tseng, H.; Lin, H.L. Low temperature effect on flower and fruit development of ‘Tainung No 17’ pineapple. Acta Hortic. 2015, 1166, 131–136. [Google Scholar] [CrossRef]
  11. Neales, T.F. Effect of Night Temperature on the Assimilation of Carbon Dioxide by Mature Pineapple Plants, Ananas comosus (L.) Merr. Aust. J. Biol. Sci. 1973, 26, 539–546. [Google Scholar] [CrossRef]
  12. Cunha, G.A. Applied aspects of pineapple flowering. Bragantia 2005, 64, 499–516. [Google Scholar] [CrossRef]
  13. Tarmizi, N.A.; Dolhaji, N. A review on chilling injury and antioxidant metabolism of pineapple (Ananas comosus). Food Res. 2022, 6, 13–24. [Google Scholar] [CrossRef] [PubMed]
  14. Liu, C.; Chen, J. Effects of Salt Stress on Growth, Ion Concentration, and Quality of Pineapple Fruits. Commun. Soil Sci. Plant Anal. 2014, 45, 1949–1960. [Google Scholar] [CrossRef]
  15. Fan, C.; Yang, J.; Chen, R.; Liu, W.; Xiang, X. Identification and Expression Analysis of the Litchi HSP70 Family in Response to Abiotic Stress. J. Biotechnol. 2024, 40, 1102–1119. [Google Scholar] [CrossRef]
  16. Tiwari, L.D.; Khungar, L.; Grover, A. AtHsc70-1 negatively regulates the basal heat tolerance in Arabidopsis thaliana through affecting the activity of HsfAs and Hsp101. Plant J. 2020, 103, 2069–2083. [Google Scholar] [CrossRef]
  17. Lv, Y.; Wu, D.; Kong, C.; Yang, Y.; Gong, M. Identification and Interaction Analysis of the Hsp70 Gene Family and Corresponding miRNAs in Vernicia fordii, and Their Roles in Low Temperature Adaptation. Plant Physiol. J. 2022, 58, 1221–1235. [Google Scholar] [CrossRef]
  18. Juneja, S.; Saini, R.; Adhikary, A.; Yadav, R.; Khan, S.A.; Nayyar, H.; Kumar, S. Drought Priming Evokes Essential Regulation of Hsp Gene Families, Hsfs and Their Related miRNAs and Induces Heat Stress Tolerance in Chickpea. Plant Stress 2023, 10, 100189. [Google Scholar] [CrossRef]
  19. Wang, H.; Charagh, S.; Dong, N.; Lu, F.; Wang, Y.; Cao, R.; Ma, L.; Wang, S.; Jiao, G.; Xie, L.; et al. Genome-Wide Analysis of Heat Shock Protein Family and Identification of Their Functions in Rice Quality and Yield. Int. J. Mol. Sci. 2024, 25, 11931. [Google Scholar] [CrossRef]
  20. Rehman, A.; Atif, R.M.; Qayyum, A.; Du, X.; Hinze, L.; Azhar, M.T. Genome-Wide Identification and Characterization of HSP70 Gene Family in Four Species of Cotton. Genomics 2020, 112, 4442–4453. [Google Scholar] [CrossRef]
  21. Jasrotia, R.S.; Jaiswal, S.; Yadav, P.K.; Raza, M.; Iquebal, M.A.; Rai, A.; Kumar, D. Genome-Wide Analysis of HSP70 Family Protein in Vigna Radiata and Coexpression Analysis Under Abiotic and Biotic Stress. J. Comput. Biol. 2020, 27, 738–754. [Google Scholar] [CrossRef]
  22. Kozeko, L. Different Roles of Inducible and Constitutive HSP70 and HSP90 in Tolerance of Arabidopsis Thaliana to High Temperature and Water Deficit. Acta Physiol. Plant. 2021, 43, 58. [Google Scholar] [CrossRef]
  23. Liu, J.; Pang, X.; Cheng, Y.; Yin, Y.; Zhang, Q.; Su, W.; Hu, B.; Guo, Q.; Ha, S.; Zhang, J. The Hsp70 gene family in Solanum tuberosum: Genome-wide identification, phylogeny, and expression patterns. Sci. Rep. 2018, 8, 16628. [Google Scholar] [CrossRef] [PubMed]
  24. Wu, Y.; Feng, Y.; Wang, T.; Qu, J.; Xiao, H.; Ma, C.; Zhang, J. Identification and Expression Analysis of the Hsp70 Gene Family in Wheat and Its Ancestral Species. Pratacultural Sci. 2024, 33, 53–67. [Google Scholar] [CrossRef]
  25. Song, Z.; Pan, F.; Lou, X.; Wang, D.; Yang, C.; Zhang, B.; Zhang, H. Genome-wide identification and characterization of Hsp70 gene family in Nicotiana tabacum. Mol. Biol. Rep. 2019, 46, 1941–1954. [Google Scholar] [CrossRef]
  26. Rosenzweig, R.; Nillegoda, N.B.; Mayer, M.P.; Bukau, B. The Hsp70 chaperone network. Nat. Rev. Mol. Cell Biol. 2019, 20, 665–680. [Google Scholar] [CrossRef]
  27. Mayer, M.P.; Gierasch, L.M. Recent advances in the structural and mechanistic aspects of Hsp70 molecular chaperones. J. Biol. Chem. 2019, 6, 2085–2097. [Google Scholar] [CrossRef]
  28. Sharma, L.; Priya, M.; Kaushal, N.; Bhandhari, K.; Chaudhary, S.; Dhankher, O.P.; Prasad, P.V.; Siddique, K.H.; Nayyar, H. Plant Growth-Regulating Molecules as Thermoprotectants: Functional Relevance and Prospects for Improving Heat Tolerance in Food Crops. J. Exp. Bot. 2020, 71, 569–594. [Google Scholar] [CrossRef]
  29. Wang, X.; Tian, X.; Zhang, H.; Li, H.; Zhang, S.; Li, H.; Zhu, J. Genome-wide Analysis of the Maize LACS Gene Family and Functional Characterization of the ZmLACS9 Responses to Heat Stress. Plant Stress 2023, 10, 100271. [Google Scholar] [CrossRef]
  30. Neuner, G. Low Temperatures at Higher Elevations Require Plants to Exhibit Increased Freezing Resistance throughout the Summer Months. Environ. Exp. Bot. 2020, 169, 103882. [Google Scholar] [CrossRef]
  31. Rani, S. Effect of Biopriming and Nanopriming on Physio-Biochemical Characteristics of Cicer arietinum L. under Drought Stress. Plant Stress 2024, 12, 100466. [Google Scholar] [CrossRef]
  32. Etri, K.; Gosztola, B.; Végvári, G.; Ficzek, G.; Radácsi, P.; Simon, G.; Pluhár, Z. Unravelling the Impact of Drought and Salt Stresses on Thymus Pannonicus: Morpho-Physiological and Biochemical Insights. Plant Stress 2024, 13, 100557. [Google Scholar] [CrossRef]
  33. Xing, Y.; Liao, X.; Wu, H.; Qiu, J.; Wan, R.; Wang, X.; Yi, R.; Xu, Q.; Liu, X. Comparison of Different Varieties on Quality Characteristics and Microbial Activity of Fresh-Cut Pineapple During Storage. Foods 2022, 11, 2788. [Google Scholar] [CrossRef] [PubMed]
  34. Narwal, P. Genome-Wide Profiling of CBL Interacting Protein Kinases (CIPKs) in Banana Unveils Their Role in Abiotic Stress Signaling and Stress Tolerance Enhancement. Plant Stress 2024, 11, 100417. [Google Scholar] [CrossRef]
  35. Liu, X.; Chen, H.; Li, S.; Wang, L. Genome-Wide Identification of the Hsp70 Gene Family in Grape and Their Expression Profile during Abiotic Stress. Horticulturae 2022, 8, 743. [Google Scholar] [CrossRef]
  36. Jiang, L.; Hu, W.; Qian, Y.; Ren, Q.; Zhang, J. Genome-Wide Identification, Classification and Expression Analysis of the Hsf and Hsp70 Gene Families in Maize. Gene 2021, 770, 145348. [Google Scholar] [CrossRef]
  37. Panchy, N.; Lehti-Shiu, M.; Shiu, S.H. Evolution of Gene Duplication in Plants. Plant Physiol. 2016, 171, 2294–2316. [Google Scholar] [CrossRef]
  38. Zhao, R.; Dong, M.; Chen, A.; Gao, Y. Identification and Expression Pattern Analysis of the Heat Shock Protein 70 (HSP70) Gene Family in Moso Bamboo. J. Agric. Biotechnol. 2023, 31, 2058–2071. [Google Scholar] [CrossRef]
  39. Anik, T.R. Genome-Wide Characterization of the Glutathione S-Transferase Gene Family in Phaseolus Vulgaris Reveals Insight into the Roles of Their Members in Responses to Multiple Abiotic Stresses. Plant Stress 2024, 12, 100489. [Google Scholar] [CrossRef]
  40. Gholizadeh, F.; Mirmazloum, I.; Janda, T. Genome-Wide Identification of HKT Gene Family in Wheat (Triticum aestivum L.): Insights from the Expression of Multiple Genes (HKT, SOS, TVP and NHX) under Salt Stress. Plant Stress 2024, 13, 100539. [Google Scholar] [CrossRef]
  41. Salika, R.; Riffat, J. Abiotic stress responses in maize: A review. Acta Physiol. Plant. 2021, 43, 130. [Google Scholar] [CrossRef]
  42. Usman, M.G.; Rafii, M.Y.; Martini, M.Y.; Yusuff, O.A.; Ismail, M.R.; Miah, G. Molecular Analysis of Hsp70 Mechanisms in Plants and Their Function in Response to Stress. Biotechnol. Genet. Eng. Rev. 2017, 33, 26–39. [Google Scholar] [CrossRef] [PubMed]
  43. Tabusam, J.; Shi, Q.; Feng, D.; Zulfiqar, S.; Shen, S.; Ma, W.; Zhao, J. HSP70 Gene Family in Brassica Rapa: Genome-Wide Identification, Characterization, and Expression Patterns in Response to Heat and Cold Stress. Cells 2022, 11, 2316. [Google Scholar] [CrossRef] [PubMed]
  44. Ding, Y.; Shu, H.; Gao, C.; Hao, Y.; Cheng, S.; Zhu, G.; Wang, Z. Analysis of HSP70 Gene Family in Chinese Pepper. J. Plant Sci. 2021, 39, 152–162. [Google Scholar] [CrossRef]
  45. Yoshida, T.; Fujita, Y.; Sayama, H.; Kidokoro, S.; Maruyama, K.; Mizoi, J.; Shinozaki, K.; Yamaguchi-Shinozaki, K. AREB1, AREB2, and ABF3 Are Master Transcription Factors That Cooperatively Regulate ABRE-dependent ABA Signaling Involved in Drought Stress Tolerance and Require ABA for Full Activation. Plant J. 2010, 61, 672–685. [Google Scholar] [CrossRef]
  46. Zhang, L.; Song, Z.; Li, F.; Li, X.; Ji, H.; Yang, S. The Specific MYB Binding Sites Bound by TaMYB in the GAPCp2/3 Promoters Are Involved in the Drought Stress Response in Wheat. BMC Plant Biol. 2019, 19, 366. [Google Scholar] [CrossRef]
  47. Feng, J.; Zhang, W.; Chen, C.; Liang, Y.; Li, T.; Wu, Y.; Liu, H.; Wu, J.; Lin, W.; Li, J.; et al. The Pineapple Reference Genome: Telomere-to-telomere Assembly, Manually Curated Annotation, and Comparative Analysis. J. Integr. Plant Biol. 2024, 66, 2208–2225. [Google Scholar] [CrossRef]
  48. Chen, C.; Chen, H.; Zhang, Y.; Thomas, H.R.; Frank, M.H.; He, Y.; Xia, R. TBtools: An Integrative Toolkit Developed for Interactive Analyses of Big Biological Data. Mol. Plant 2020, 13, 1194–1202. [Google Scholar] [CrossRef]
  49. Mistry, J.; Chuguransky, S.; Williams, L.; Qureshi, M.; Salazar, G.A.; Sonnhammer, E.L.L.; Tosatto, S.C.E.; Paladin, L.; Raj, S.; Richardson, L.J.; et al. Pfam: The Protein Families Database in 2021. Nucleic Acids Res. 2021, 49, D412–D419. [Google Scholar] [CrossRef]
  50. Marchler, B.A.; Bo, Y.; Han, L.; He, J.; Lanczycki, C.J.; Lu, S.; Chitsaz, F.; Derbyshire, M.K.; Geer, R.C.; Gonzales, N.R.; et al. CDD/SPARCLE: Functional Classification of Proteins via Subfamily Domain Architectures. Nucleic Acids Res. 2017, 45, D200–D203. [Google Scholar] [CrossRef]
  51. Yang, H.; Yao, W.; Fan, X.; Lu, Y.; Wang, Y.; Ma, Z. Genome-Wide Identification and Analysis of WD40 Family and Its Expression in F. Vesca at Different Coloring Stages. Int. J. Mol. Sci. 2024, 25, 12334. [Google Scholar] [CrossRef]
  52. Lin, B.L.; Wang, J.S.; Liu, H.C.; Chen, R.W.; Meyer, Y.; Barakat, A.; Delseny, M. Genomic Analysis of the Hsp70 Superfamily in Arabidopsis Thaliana. Cell Stress Chaperones 2001, 6, 201–208. [Google Scholar] [CrossRef] [PubMed]
  53. Zhou, Z.; Xiao, L.; Zhao, J.; Hu, Z.; Zhou, Y.; Liu, S.; Wu, H.; Zhou, Y. Comprehensive Genomic Analysis and Expression Profile of Hsp70 Gene Family Related to Abiotic and Biotic Stress in Cucumber. Horticulturae 2023, 9, 1057. [Google Scholar] [CrossRef]
  54. Sarkar, N.K.; Kundnani, P.; Grover, A. Functional Analysis of Hsp70 Superfamily Proteins of Rice (Oryza sativa). Cell Stress Chaperones 2013, 18, 427–437. [Google Scholar] [CrossRef] [PubMed]
  55. Chen, X.; Wu, X.; Qiu, S.; Zheng, H.; Lu, Y.; Peng, J.; Wu, G.; Chen, J.; Rao, S.; Yan, F. Genome-Wide Identification and Expression Profiling of the BZR Transcription Factor Gene Family in Nicotiana benthamiana. Int. J. Mol. Sci. 2021, 22, 10379. [Google Scholar] [CrossRef] [PubMed]
  56. Xu, Z.; Wu, J.; Jing, X.; Khan, F.S.; Chen, Y.; Chen, Z.; Zhang, H.; Wei, Y. Genome-Wide Identification of Litchi SPL Gene Family and Expression Analysis in Pericarp Anthocyanin Biosynthesis. Horticulturae 2024, 10, 762. [Google Scholar] [CrossRef]
  57. Zhang, P.; Gao, W.; Guo, L.; Chen, M.; Ma, J.; Tian, T.; Wang, Y.; Zhang, X.; Wei, Y.; Chen, T.; et al. Functional Characterization of Plant Peptide-Containing Sulfated Tyrosine (PSY) Family in Wheat (Triticum aestivum L.). Int. J. Mol. Sci. 2024, 25, 12663. [Google Scholar] [CrossRef]
  58. Ma, X.; Ai, X.; Li, C.; Wang, S.; Zhang, N.; Ren, J.; Wang, J.; Zhong, C.; Zhao, X.; Zhang, H.; et al. A Genome-Wide Analysis of the Jasmonic Acid Biosynthesis Gene Families in Peanut Reveals Their Crucial Roles in Growth and Abiotic Stresses. Int. J. Mol. Sci. 2024, 25, 7054. [Google Scholar] [CrossRef]
  59. Wang, Z.; You, L.; Gong, N.; Li, C.; Li, Z.; Shen, J.; Wan, L.; Luo, K.; Su, X.; Feng, L.; et al. Comprehensive Expression Analysis of the WRKY Gene Family in Phoebe bournei under Drought and Waterlogging Stresses. Int. J. Mol. Sci. 2024, 25, 7280. [Google Scholar] [CrossRef]
  60. Bokolia, M.; Singh, B.; Kumar, A.; Goyal, N.; Singh, K.; Chhabra, R. Genome-Wide Identification of NAC Transcription Factors in Avena Sativa under Salinity Stress. Plant Stress 2023, 10, 100276. [Google Scholar] [CrossRef]
  61. Xiong, G.; Cui, D.; Tian, Y.; Schwarzacher, T.; Heslop-Harrison, J.S.; Liu, Q. Genome-Wide Identification of the Lectin Receptor-like Kinase Gene Family in Avena sativa and Its Role in Salt Stress Tolerance. Int. J. Mol. Sci. 2024, 25, 12754. [Google Scholar] [CrossRef]
  62. Xie, T.; Chen, C.; Li, C.; Liu, J.; Liu, C.; He, Y. Genome-wide investigation of WRKY gene family in pineapple: Evolution and expression profiles during development and stress. BMC Genom. 2018, 19, 490. [Google Scholar] [CrossRef] [PubMed]
  63. Chen, H.; Hu, B.; Zhao, L.; Shi, D.; She, Z.; Huang, X.; Priyadarshani, S.V.; Niu, X.; Qin, Y. Differential Expression Analysis of Reference Genes in Pineapple (Ananas comosus L.) during Reproductive Development and Response to Abiotic Stress, Hormonal Stimuli. Trop. Plant Biol. 2019, 12, 67–77. [Google Scholar] [CrossRef]
  64. Shafique Khan, F.; Zeng, R.F.; Gan, Z.M.; Zhang, J.Z.; Hu, C.G. Genome-Wide Identification and Expression Profiling of the WOX Gene Family in Citrus sinensis and Functional Analysis of a CsWUS Member. Int. J. Mol. Sci. 2021, 22, 4919. [Google Scholar] [CrossRef] [PubMed]
Figure 1. Chromosome distribution of AcHSP70 genes in pineapple. The AcHSP70s were located on Chr 2, 3, 4, 7, 8, 13, 14, 16, 17, 19, 20, 21, 22, and 25. Chr: chromosome. The ruler located on the left side represents the chromosome length and is shown in megabase (Mb).
Figure 1. Chromosome distribution of AcHSP70 genes in pineapple. The AcHSP70s were located on Chr 2, 3, 4, 7, 8, 13, 14, 16, 17, 19, 20, 21, 22, and 25. Chr: chromosome. The ruler located on the left side represents the chromosome length and is shown in megabase (Mb).
Ijms 25 13407 g001
Figure 2. The phylogenetic analysis of AcHSP70 proteins with Arabidopsis, cucumber (Cucumis sativus L.), rice (Oryza sativa L.), and maize (Zea mays L.). The phylogenetic tree was made by using MEGA 11.0 software with the neighbor-joining (NJ) method, and the bootstrap replications were set to 1000 times. Different colors represent four groups (I–IV), and stars represent AcHSP70s.
Figure 2. The phylogenetic analysis of AcHSP70 proteins with Arabidopsis, cucumber (Cucumis sativus L.), rice (Oryza sativa L.), and maize (Zea mays L.). The phylogenetic tree was made by using MEGA 11.0 software with the neighbor-joining (NJ) method, and the bootstrap replications were set to 1000 times. Different colors represent four groups (I–IV), and stars represent AcHSP70s.
Ijms 25 13407 g002
Figure 3. Gene structures and conserved motifs of AcHSP70s. (A) Different colors represent the four groups of AcHSP70 genes (I–IV). (B) The motifs of AcHSP70 proteins are shown as colored boxes. (C) Gene structures of AcHSP70 genes. The yellow blocks represent the coding sequence (CDS), the green blocks represent the untranslated region (UTR), and the black lines represent introns.
Figure 3. Gene structures and conserved motifs of AcHSP70s. (A) Different colors represent the four groups of AcHSP70 genes (I–IV). (B) The motifs of AcHSP70 proteins are shown as colored boxes. (C) Gene structures of AcHSP70 genes. The yellow blocks represent the coding sequence (CDS), the green blocks represent the untranslated region (UTR), and the black lines represent introns.
Ijms 25 13407 g003
Figure 4. Three-dimensional structural analysis of AcHSP70s.
Figure 4. Three-dimensional structural analysis of AcHSP70s.
Ijms 25 13407 g004
Figure 5. The cis-acting elements in promoters of AcHSP70 genes. The amounts of cis-elements in AcHSP70s promoter regions were displayed in different colors and numbers in the grid.
Figure 5. The cis-acting elements in promoters of AcHSP70 genes. The amounts of cis-elements in AcHSP70s promoter regions were displayed in different colors and numbers in the grid.
Ijms 25 13407 g005
Figure 6. Intraspecies synteny analysis of AcHSP70 genes. The black curve represents duplication events between AcHSP70 genes. Chr 1–25: Chromosome 1–25.
Figure 6. Intraspecies synteny analysis of AcHSP70 genes. The black curve represents duplication events between AcHSP70 genes. Chr 1–25: Chromosome 1–25.
Ijms 25 13407 g006
Figure 7. Collinearity of HSP70 genes in pineapple. The gray line represents the collinearity of all the genes in the pineapple, and the red line represents the collinearity of the AcHSP70 genes.
Figure 7. Collinearity of HSP70 genes in pineapple. The gray line represents the collinearity of all the genes in the pineapple, and the red line represents the collinearity of the AcHSP70 genes.
Ijms 25 13407 g007
Figure 8. Expression profiles of AcHSP70 family members in pineapple leaves with and without spines. Transcriptomic data (Le_1: Leaf apices; Le_2: Leaf base; Ro: Root; Fl: Flower; Fr: fruit) were analyzed using Log2(FPKM) values. The color scale on the right represents the relative expression level, from high (orange) to low (blue).
Figure 8. Expression profiles of AcHSP70 family members in pineapple leaves with and without spines. Transcriptomic data (Le_1: Leaf apices; Le_2: Leaf base; Ro: Root; Fl: Flower; Fr: fruit) were analyzed using Log2(FPKM) values. The color scale on the right represents the relative expression level, from high (orange) to low (blue).
Ijms 25 13407 g008
Figure 9. Expression levels of AcHSP70 genes under 0 h control (CK), 4 h, 12 h, 24 h, and 72 h of heat stress treatment. Data are expressed as means ± SD (n = 3). Different letters indicate significant differences between groups (p < 0.05).
Figure 9. Expression levels of AcHSP70 genes under 0 h control (CK), 4 h, 12 h, 24 h, and 72 h of heat stress treatment. Data are expressed as means ± SD (n = 3). Different letters indicate significant differences between groups (p < 0.05).
Ijms 25 13407 g009
Figure 10. Expression levels of AcHSP70 genes under 0 h control (CK), 4 h, 12 h, 24 h, and 72 h of cold stress treatment. Data are expressed as means ± SD (n = 3). Different letters indicate significant differences between groups (p < 0.05).
Figure 10. Expression levels of AcHSP70 genes under 0 h control (CK), 4 h, 12 h, 24 h, and 72 h of cold stress treatment. Data are expressed as means ± SD (n = 3). Different letters indicate significant differences between groups (p < 0.05).
Ijms 25 13407 g010
Figure 11. Expression levels of AcHSP70 genes under 0 h control (CK), 4 h, 12 h, 24 h, and 72 h of drought treatment. Data are expressed as means ± SD (n = 3). Different letters indicate significant differences between groups (p < 0.05).
Figure 11. Expression levels of AcHSP70 genes under 0 h control (CK), 4 h, 12 h, 24 h, and 72 h of drought treatment. Data are expressed as means ± SD (n = 3). Different letters indicate significant differences between groups (p < 0.05).
Ijms 25 13407 g011
Figure 12. Expression levels of AcHSP70 genes under 0 h control (CK), 4 h, 12 h, 24 h, and 72 h of salt stress treatment. Data are expressed as means ± SD (n = 3). Different letters indicate significant differences between groups (p < 0.05).
Figure 12. Expression levels of AcHSP70 genes under 0 h control (CK), 4 h, 12 h, 24 h, and 72 h of salt stress treatment. Data are expressed as means ± SD (n = 3). Different letters indicate significant differences between groups (p < 0.05).
Ijms 25 13407 g012
Disclaimer/Publisher’s Note: The statements, opinions and data contained in all publications are solely those of the individual author(s) and contributor(s) and not of MDPI and/or the editor(s). MDPI and/or the editor(s) disclaim responsibility for any injury to people or property resulting from any ideas, methods, instructions or products referred to in the content.

Share and Cite

MDPI and ACS Style

Xu, R.; Wei, F.; Chen, Y.; Khan, F.S.; Wei, Y.; Zhang, H. Identification, Phylogeny, and Expression Profiling of Pineapple Heat Shock Proteins (HSP70) Under Various Abiotic Stresses. Int. J. Mol. Sci. 2024, 25, 13407. https://doi.org/10.3390/ijms252413407

AMA Style

Xu R, Wei F, Chen Y, Khan FS, Wei Y, Zhang H. Identification, Phylogeny, and Expression Profiling of Pineapple Heat Shock Proteins (HSP70) Under Various Abiotic Stresses. International Journal of Molecular Sciences. 2024; 25(24):13407. https://doi.org/10.3390/ijms252413407

Chicago/Turabian Style

Xu, Rui, Fangjun Wei, Yanzhao Chen, Faiza Shafique Khan, Yongzan Wei, and Hongna Zhang. 2024. "Identification, Phylogeny, and Expression Profiling of Pineapple Heat Shock Proteins (HSP70) Under Various Abiotic Stresses" International Journal of Molecular Sciences 25, no. 24: 13407. https://doi.org/10.3390/ijms252413407

APA Style

Xu, R., Wei, F., Chen, Y., Khan, F. S., Wei, Y., & Zhang, H. (2024). Identification, Phylogeny, and Expression Profiling of Pineapple Heat Shock Proteins (HSP70) Under Various Abiotic Stresses. International Journal of Molecular Sciences, 25(24), 13407. https://doi.org/10.3390/ijms252413407

Note that from the first issue of 2016, this journal uses article numbers instead of page numbers. See further details here.

Article Metrics

Back to TopTop