A Multi-Omics View of Maize’s (Zea mays L.) Response to Low Temperatures During the Seedling Stage
Abstract
1. Introduction
2. Results
2.1. Principal Component Analysis (PCA)
2.2. Correlation Analysis
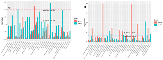
2.3. KEGG Enrichment and Pathway Analysis
2.4. Cluster Analysis and Correlation Network Analysis
2.5. O2PLS Analysis
2.6. Analysis of Low-Temperature Tolerance Mechanism in Seedling Stage
2.7. Validation of Transcriptome by qPCR
3. Discussion
3.1. Amino Acids Metabolites Involved in Low-Temperature Stress
3.2. Lipids Metabolites Involved in Low-Temperature Stress
3.3. Phenolic Metabolites Involved in Low-Temperature Stress
3.4. Flavonoid Metabolites in Response to Low-Temperature Stress
3.5. Glyoxylate and Dicarboxylate Signal Pathway in Response to Low-Temperature Stress
4. Materials and Methods
4.1. Plant Materials
4.2. Transcriptome Sequencing Analysis
4.3. Sample Preparation and Metabolic Profiling Analysis
4.4. Integration Analysis of Transcriptome and Metabolome
4.5. Transcriptome Data Validation by qPCR
5. Conclusions
Supplementary Materials
Author Contributions
Funding
Institutional Review Board Statement
Informed Consent Statement
Data Availability Statement
Conflicts of Interest
References
- Zhao, X.; Niu, Y.; Hossain, Z.; Shi, J.; Mao, T.; Bai, X. A meta-analysis of low temperature tolerance QTL in maize. Electron. J. Biotechnol. 2022, 58, 82–91. [Google Scholar] [CrossRef] [PubMed]
- Yu, T.; Zhang, J.; Cao, J.; Cai, Q.; Li, X.; Sun, Y.; Li, S.; Li, Y.; Hu, G.; Cao, S.; et al. Leaf transcriptomic response mediated by cold stress in two maize inbred lines with contrasting tolerance levels. Genomics 2021, 113, 782–794. [Google Scholar] [CrossRef] [PubMed]
- Wu, Z.G.; Jiang, W.; Chen, S.L.; Mantri, N.; Tao, Z.M.; Jiang, C.X. Insights from the cold transcriptome and metabolome of Dendrobium officinale: Global reprogramming of metabolic and gene regulation networks during cold acclimation. Front. Plant Sci. 2016, 7, 1653. [Google Scholar] [CrossRef] [PubMed]
- Bielecka, M.; Watanabe, M.; Morcuende, R.; Scheible, W.R.; Hawkesford, M.J.; Hesse, H.; Hoefgen, R. Transcriptome and metabolome analysis of plant sulfate starvation and resupply provides novel information on transcriptional regulation of metabolism associated with sulfur, nitrogen and phosphorus nutritional responses in Arabidopsis. Front. Plant Sci. 2015, 5, 805. [Google Scholar] [CrossRef] [PubMed]
- Tohge, T.; Nishiyama, Y.; Hirai, M.Y.; Yano, M.; Nakajima, J.I.; Awazuhara, M.; Inoue, E.; Takahashi, H.; Goodenowe, D.B.; Kitayama, M. Functional genomics by integrated analysis of metabolome and transcriptome of Arabidopsis plants over-expressing an MYB transcription factor. Plant J. 2005, 42, 218–235. [Google Scholar] [CrossRef] [PubMed]
- Yang, X.; Xia, X.; Zhang, Z.; Nong, B.; Zeng, Y.; Wu, Y.; Xiong, F.; Zhang, Y.; Liang, H.; Pan, Y. Identification of anthocyanin biosynthesis genes in rice pericarp using PCAMP. Plant Biotechnol. J. 2019, 17, 1700–1702. [Google Scholar] [CrossRef] [PubMed]
- Zeng, R.; Li, Z.; Shi, Y.; Fu, D.; Yin, P.; Cheng, J.; Jiang, C.; Yang, S. Natural variation in a type-A response regulator confers maize chilling tolerance. Nat. Commun. 2021, 12, 4713. [Google Scholar] [CrossRef] [PubMed]
- Li, X.; Jiang, Y. Expression of ZmNAC3 responsive to various abiotic stresses in maize (Zea mays L.). Bangladesh J. Bot. 2021, 50, 141–146. [Google Scholar] [CrossRef]
- Jiang, H.; Shi, Y.; Liu, J.; Li, Z.; Fu, D.; Wu, S.; Li, M.; Yang, Z.; Shi, Y.; Lai, J.; et al. Natural polymorphism of ZmICE1 contributes to amino acid metabolism that impacts cold tolerance in maize. Nat. Plants. 2022, 8, 1176–1190. [Google Scholar] [CrossRef] [PubMed]
- Ma, H.; Liu, C.; Li, Z.; Ran, Q.; Xie, G.; Wang, B.; Fang, S.; Chu, J.; Zhang, J. ZmbZIP4 Contributes to Stress Resistance in Maize by Regulating ABA Synthesis and Root Development. Plant Physiol. 2018, 178, 753–770. [Google Scholar] [CrossRef] [PubMed]
- Nicholson, J.K.; Lindon, J.C.; Holmes, E. ‘Metabonomics’: Understanding the metabolic responses of living systems to pathophysiological stimuli via multivariate statistical analysis of biological NMR spectroscopic data. Xenobiotica 1999, 29, 1181–1189. [Google Scholar] [CrossRef] [PubMed]
- Yu, T.; Zhang, J.; Cao, J.; Li, X.; Li, S.; Liu, C.; Wang, L. Metabolic Insight into Cold Stress Response in Two Contrasting Maize Lines. Life 2022, 12, 282. [Google Scholar] [CrossRef] [PubMed]
- Urrutia, M.; Blein-Nicolas, M.; Prigent, S.; Bernillon, S.; Deborde, C.; Balliau, T.; Maucourt, M.; Jacob, D.; Ballias, P.; Bénard, C.; et al. Maize metabolome and proteome responses to controlled cold stress partly mimic early-sowing effects in the field and differ from those of Arabidopsis. Plant Cell Environ. 2021, 44, 1504–1521. [Google Scholar] [CrossRef] [PubMed]
- Garzon, C.D.; Lequart, M.; Rautengarten, C.; Bassard, S.; Sellier-Richard, H.; Baldet, P.; Heazlewood, J.L.; Gibon, Y.; Domon, J.M.; Giauffret, C.; et al. Regulation of carbon metabolism in two maize sister lines contrasted for chilling tolerance. J. Exp. Bot. 2020, 71, 356–369. [Google Scholar] [CrossRef] [PubMed]
- Guo, Q.; Li, X.; Niu, L.; Jameson, P.E.; Zhou, W. Transcription-associated metabolomic adjustments in maize occur during combined drought and cold stress. Plant Physiol. 2021, 186, 677–695. [Google Scholar] [CrossRef] [PubMed]
- Yang, X.; Liu, C.; Li, M.; Li, Y.; Yan, Z.; Feng, G.; Liu, D. Integrated transcriptomics and metabolomics analysis reveals key regulatory network that response to cold stress in common Bean (Phaseolus vulgaris L.). BMC Plant Biol. 2023, 23, 85. [Google Scholar] [CrossRef] [PubMed]
- Jiang, F.; Lv, S.; Zhang, Z.; Chen, Q.; Mai, J.; Wan, X.; Liu, P. Integrated metabolomics and transcriptomics analysis during seed germination of waxy corn under low temperature stress. BMC Plant Biol. 2023, 23, 190. [Google Scholar] [CrossRef] [PubMed]
- Xu, J.; Chen, Z.; Wang, F.; Jia, W.; Xu, Z. Combined transcriptomic and metabolomic analyses uncover rearranged gene expression and metabolite metabolism in tobacco during cold acclimation. Sci. Rep. 2020, 10, 5242. [Google Scholar] [CrossRef] [PubMed]
- Li, F.; Lu, X.; Duan, P.; Liang, Y.; Cui, J. Integrating transcriptome and metabolome analyses of the response to cold stress in pumpkin (Cucurbita maxima). PLoS ONE 2021, 16, e0249108. [Google Scholar] [CrossRef] [PubMed]
- Xu, C.; Gui, Z.; Huang, Y.; Yang, H.; Luo, J.; Zeng, X. Integrated Transcriptomics and Metabolomics Analyses Provide Insights into Qingke in Response to Cold Stress. J. Agric. Food Chem. 2023, 71, 18345–18358. [Google Scholar] [PubMed]
- Erb, M.; Kliebenstein, D.J. Plant secondary metabolites as defenses, regulators, and primary metabolites: The blurred functional trichotomy. Plant Physiol. 2020, 184, 39–52. [Google Scholar] [CrossRef] [PubMed]
- Simonson, M.; Boirie, Y.; Guillet, C. Protein, amino acids and obesity treatment. Rev. Endocr. Metab. Disord. 2020, 21, 341–353. [Google Scholar] [CrossRef] [PubMed]
- Yoshida, T.; Fernie, A.R. Hormonal regulation of plant primary metabolism under drought. J. Exp. Bot. 2024, 14, 1714–1725. [Google Scholar] [CrossRef] [PubMed]
- Kawade, K.; Tabeta, H.; Ferjani, A.; Hirai, M.Y. The Roles of Functional Amino Acids in Plant Growth and Development. Plant Cell Physiol. 2023, 64, 1482–1493. [Google Scholar] [CrossRef] [PubMed]
- Yang, D.S.; Zhang, J.; Li, M.-X.; Shi, L.X. Metabolomics Analysis Reveals the Salt-Tolerant Mechanism in Glycine soja. J. Plant Growth Regul. 2017, 36, 460–471. [Google Scholar] [CrossRef]
- Haslam, R.P.; Sayanova, O.; Kim, H.J.; Cahoon, E.B.; Napier, J.A. Synthetic redesign of plant lipid metabolism. Plant J. 2016, 87, 76–86. [Google Scholar] [CrossRef] [PubMed]
- Ackah, M.; Shi, Y.; Wu, M.; Wang, L.; Guo, P.; Guo, L.; Jin, X.; Li, S.; Zhang, Q.; Qiu, C.; et al. Metabolomics Response to Drought Stress in Morus alba L. Variety Yu-711. Plants 2021, 10, 1636. [Google Scholar] [CrossRef] [PubMed]
- Li, Y.; Zong, Y.; Li, W.; Guo, G.; Zhou, L.; Xu, H.; Gao, R.; Liu, C. Transcriptomics integrated with metabolomics reveals the effect of cold stress on rice microspores. BMC Plant Biol. 2023, 23, 521. [Google Scholar] [CrossRef] [PubMed]
- Rivero, R.M.; Mittler, R.; Blumwald, E.; Zandalinas, S.I. Developing climate-resilient crops: Improving plant tolerance to stress combination. Plant J. 2021, 109, 373–389. [Google Scholar] [CrossRef] [PubMed]
- Jian, H.; Xie, L.; Wang, Y.; Cao, Y.; Wan, M.; Lv, D.; Li, J.; Lu, K.; Xu, X.; Liu, L. Characterization of cold stress responses in different rapeseed ecotypes based on metabolomics and transcriptomics analyses. PeerJ 2020, 8, e8704. [Google Scholar] [CrossRef] [PubMed]
- Pál, M.; Janda, T.; Majláth, I.; Szalai, G. Involvement of Salicylic Acid and Other Phenolic Compounds in Light-Dependent Cold Acclimation in Maize. Int. J. Mol. Sci. 2020, 21, 1942. [Google Scholar] [CrossRef] [PubMed]
- Pang, Y.; Ahmed, S.; Xu, Y.; Beta, T.; Zhu, Z.; Shao, Y.; Bao, J. Bound phenolic compounds and antioxidant properties of whole grain and bran of white, red and black rice. Food Chem. 2018, 240, 212–221. [Google Scholar] [CrossRef] [PubMed]
- Liu, H.; Bruce, D.R.; Sissons, M.; Able, A.J.; Able, J.A. Genotype-dependent changes in the phenolic content of durum under water-deficit stress. Cereal Chem. 2018, 95, 59–78. [Google Scholar] [CrossRef]
- Kiani, R.; Arzani, A.; Mirmohammady Maibody, S.A.M. Polyphenols, Flavonoids, and Antioxidant Activity Involved in Salt Tolerance in Wheat, Aegilops cylindrica and Their Amphidiploids. Front. Plant Sci. 2021, 12, 646221. [Google Scholar] [CrossRef] [PubMed]
- Hichem, H.; Mounir, D.; Naceur, E.A. Differential responses of two maize (Zea mays L.) varieties to salt stress: Changes on polyphenols composition of foliage and oxidative damages. Ind. Crops Prod. 2009, 30, 144–151. [Google Scholar] [CrossRef]
- Rivero, R.M.; Ruiz, J.M.; García, P.C.; López-Lefebre, L.R.; Sánchez, E.; Romero, L. Resistance to cold and heat stress: Accumulation of phenolic compounds in tomato and watermelon plants. Plant Sci. 2001, 160, 315–321. [Google Scholar] [CrossRef] [PubMed]
- Shen, N.; Wang, T.; Gan, Q.; Liu, S.; Wang, L.; Jin, B. Plant flavonoids: Classification, distribution, biosynthesis, and antioxidant activity. Food Chem. 2022, 383, 132531. [Google Scholar] [CrossRef] [PubMed]
- Reimer, J.J.; Shaaban, B.; Drummen, N.; Sanjeev Ambady, S.; Genzel, F.; Poschet, G.; Wiese-Klinkenberg, A.; Usadel, B.; Wormit, A. Capsicum leaves under stress: Using Multi-Omics analysis to detect abiotic stress network of secondary metabolism in two species. Antioxidants 2022, 11, 671. [Google Scholar] [CrossRef] [PubMed]
- Baskar, V.; Venkatesh, R.; Ramalingam, S. Flavonoids (Antioxidants Systems) in Higher Plants and Their Response to Stresses. In Antioxidants and Antioxidant Enzymes in Higher Plants; Springer: Cham, Switzerland, 2018; pp. 253–268. [Google Scholar] [CrossRef]
- Zhang, Y.; Yang, L.; Hu, H.; Yang, J.; Cui, J.; Wei, G.; Xu, J. Transcriptome and metabolome changes in Chinese cedar during cold acclimation reveal the roles of flavonoids in needle discoloration and cold resistance. Tree Physiol. 2022, 42, 1858–1875. [Google Scholar] [CrossRef] [PubMed]
- Kong, Y.; Hou, X.; Liu, Z.; Li, Y. Cold-stress induced metabolomic and transcriptomic changes in leaves of three mango varieties with different cold tolerance. BMC Plant Biol. 2024, 24, 266. [Google Scholar] [CrossRef] [PubMed]
- Li, P.; Li, Y.J.; Zhang, F.J.; Zhang, G.Z.; Jiang, X.Y.; Yu, H.M.; Hou, B.K. The Arabidopsis UDP-glycosyltransferases UGT79B2 and UGT79B3, contribute to cold, salt and drought stress tolerance via modulating anthocyanin accumulation. Plant J. 2017, 89, 85–103. [Google Scholar] [CrossRef] [PubMed]
- Zhang, B.; Hu, Z.L.; Zhang, Y.J.; Li, Y.; Zhou, S.; Chen, G.P. A putative functional MYB transcription factor induced by low temperature regulates anthocyanin biosynthesis in purple kale (Brassica oleracea var. acephala f. tricolor). Plant Cell Rep. 2012, 31, 281–289. [Google Scholar] [CrossRef] [PubMed]
- Gaiotti, F.; Pastore, C.; Filippetti, I.; Lovat, L.; Belfiore, N.; Tomasi, D. Low night temperature at veraison enhances the accumulation of anthocyanins in Corvina grapes (Vitis vinifera L.). Sci. Rep. 2018, 8, 8719. [Google Scholar] [CrossRef] [PubMed]
- Wang, G.; Cao, F.; Chang, L.; Guo, X.; Wang, J. Temperature has more effects than soil moisture on biosynthesis of flavonoidsin Ginkgo (Ginkgo biloba L.) leaves. New For. 2014, 45, 797–812. [Google Scholar] [CrossRef]
- Wu, L.; Meng, F.; Su, X.; Chen, N.; Peng, D.; Xing, S. Transcriptomic responses to cold stress in Dendrobium huoshanense C.Z. Tang et S.J. Cheng. Physiol. Mol. Biol. Plants. 2023, 11, 1633–1646. [Google Scholar] [CrossRef] [PubMed]
- Edwards, M.C.; Liepman, A.H. Spectrophotometric Assays for Measuring Photorespiratory Glutamate:Glyoxylate and Serine:Glyoxylate Aminotransferase Reactions. Methods Mol. Biol. 2024, 2792, 41–49. [Google Scholar] [CrossRef] [PubMed]
- Huang, L.B.; Peng, L.N.; Yan, X.H. Multi-omics responses of red algae Pyropia haitanensis to intertidal desiccation during low tides. Algal Res. 2021, 58, 102376. [Google Scholar] [CrossRef]
- Cheng, M.; Pan, Z.; Cui, K.; Zheng, J.; Luo, X.; Chen, Y.; Yang, T.; Wang, H.; Li, X.; Zhou, Y.; et al. RNA sequencing and weighted gene co-expression network analysis uncover the hub genes controlling cold tolerance in Helictotrichon virescens seedlings. Front. Plant Sci. 2022, 13, 938859. [Google Scholar] [CrossRef] [PubMed]
- Liao, H.S.; Chung, Y.H.; Hsieh, M.H. Glutamate: A multifunctional amino acid in plants. Plant Sci. 2022, 18, 111238. [Google Scholar] [CrossRef] [PubMed]
- Qiu, X.M.; Sun, Y.Y.; Ye, X.Y.; Li, Z.G. Signaling Role of Glutamate in Plants. Front. Plant Sci. 2020, 10, 1743. [Google Scholar] [CrossRef] [PubMed]
- Li, Z.G.; Ye, X.Y.; Qiu, X.M. Glutamate signaling enhances the heat tolerance of maize seedlings by plant glutamate receptor-like channels-mediated calcium signaling. Protoplasma 2019, 256, 1165–1169. [Google Scholar] [CrossRef] [PubMed]
- Hou, Y.; Deng, R.; Shataer, D.; Hong, J.; Wang, L.; Jin, P.; Zhao, Y. L-Glutamate treatment alleviates chilling injury of prune (Prunus domestica L.) fruit by regulating ROS homeostasis, GABA shunt, and energy metabolism. Food Chem. 2024, 61, 140899. [Google Scholar] [CrossRef] [PubMed]
- Li, H.; Jiang, X.; Lv, X.; Ahammed, G.J.; Guo, Z.; Qi, Z.; Yu, J.; Zhou, Y. Tomato GLR3.3 and GLR3.5 mediate cold acclimation-induced chilling tolerance by regulating apoplastic H2O2 production and redox homeostasis. Plant Cell Environ. 2019, 42, 3326–3339. [Google Scholar] [CrossRef] [PubMed]
- Zheng, Y.; Luo, L.; Wei, J.; Chen, Q.; Yang, Y.; Hu, X.; Kong, X. The glutamate receptors AtGLR1.2 and AtGLR1.3 increase cold tolerance by regulating jasmonate signaling in Arabidopsis thaliana. Biochem. Biophys. Res. Commun. 2018, 506, 895–900. [Google Scholar] [CrossRef] [PubMed]
- Bayliak, M.M.; Lylyk, M.P.; Shmihel, H.V.; Sorochynska, O.M.; Manyukh, O.V.; Pierzynowski, S.G.; Lushchak, V.I. Dietary alpha-ketoglutarate increases cold tolerance in Drosophila melanogaster and enhances protein pool and antioxidant defense in sex-specific manner. J. Therm. Biol. 2016, 60, 1–11. [Google Scholar] [CrossRef] [PubMed]
- Li, Z.; Hu, G.; Liu, X.; Zhou, Y.; Li, Y.; Zhang, X.; Yuan, X.; Zhang, Q.; Yang, D.; Wang, T.; et al. Transcriptome sequencing identified genes and gene ontologies associated with early freezing tolerance in maize. Front. Plant Sci. 2016, 7, 1477. [Google Scholar] [CrossRef] [PubMed]
- Anders, S.; Huber, W. Differential Expression of RNA-Seq Data at the Gene Level—The DESeq Package. European Molecular Biology Laboratory (EMBL). 2012. Available online: https://xueshu.baidu.com/usercenter/paper/show?paperid=f695bb4776db574d10054f4d3cb3543f&site=xueshu_se&hitarticle=1 (accessed on 24 February 2013).
- Deng, G.; Sheng, O.; Bi, F.; Li, C.; Dou, T.; Dong, T.; Yang, Q.; Gao, H.; Liu, J.; Zhong, X. Metabolic profiling in banana pseudo-stem reveals a diverse set of bioactive compounds with potential nutritional and industrial applications. Phyton 2020, 89, 1101–1130. [Google Scholar] [CrossRef]
- Gao, J.; Xiong, K.; Li, W.; Zhou, W. Differential metabolome landscape of Kadsura coccinea fruit tissues and potential valorization of the peel and seed tissues. Biocell 2022, 46, 285–296. [Google Scholar] [CrossRef]
- Xu, L.; Xu, Z.; Wang, X.; Wang, B.; Liao, X. The application of pseudotargeted metabolomics method for fruit juices discrimination. Food Chem. 2020, 316, 126278. [Google Scholar] [CrossRef] [PubMed]
- Chen, W.; Gong, L.; Guo, Z.; Wang, W.; Zhang, H.; Liu, X.; Yu, S.; Xiong, L.; Luo, J. A novel integrated method for large-scale detection, identification, and quantification of widely targeted metabolites: Application in the study of rice metabolomics. Mol. Plant 2013, 6, 1769–1780. [Google Scholar] [CrossRef] [PubMed]








| KO-Id | Kegg_Pathway | Gene Count | Meta Count | p-Value Gene | p-Value Meta |
|---|---|---|---|---|---|
| ko00941 | Flavonoid biosynthesis | 22 | 2 | 0.006 | 0.103 |
| ko01110 | Biosynthesis of secondary metabolites | 500 | 9 | 0.030 | 0.162 |
| ko00480 | Glutathione metabolism | 48 | 2 | 0.073 | 0.033 |
| ko00250 | Alanine, aspartate, and glutamate metabolism | 26 | 3 | 0.123 | 0.025 |
| ko00430 | Taurine and hypotaurine metabolism | 4 | 2 | 0.161 | 0.011 |
| ko00630 | Glyoxylate and dicarboxylate metabolism | 31 | 3 | 0.413 | 0.014 |
| ko00910 | Nitrogen metabolism | 15 | 2 | 0.549 | 0.004 |
| ko00220 | Arginine biosynthesis | 12 | 3 | 0.758 | 0.010 |
| ko00650 | Butanoate metabolism | 8 | 2 | 0.775 | 0.033 |
| ko00660 | C5-branched dibasic acid metabolism | 2 | 2 | 0.917 | 0.033 |
| KO-Id | Kegg_Pathway | Gene Count | Meta Count | p-Value Gene | p-Value Meta |
|---|---|---|---|---|---|
| ko00030 | Pentose phosphate pathway | 34 | 1 | 1.685 × 10−4 | 0.381 |
| ko00500 | Starch and sucrose metabolism | 57 | 1 | 0.002 | 0.491 |
| ko00250 | Alanine, aspartate, and glutamate metabolism | 29 | 2 | 0.002 | 0.263 |
| ko01200 | Carbon metabolism | 110 | 3 | 0.002 | 0.192 |
| ko00052 | Galactose metabolism | 30 | 1 | 0.004 | 0.538 |
| ko00591 | Linoleic acid metabolism | 8 | 2 | 0.041 | 0.299 |
| ko00910 | Nitrogen metabolism | 18 | 1 | 0.048 | 0.174 |
| ko00430 | Taurine and hypotaurine metabolism | 3 | 2 | 0.285 | 0.023 |
| ko00232 | Caffeine metabolism | 1 | 2 | 0.466 | 0.023 |
| ko00230 | Purine metabolism | 30 | 8 | 0.639 | 5.833 × 10−5 |
| ko00240 | Pyrimidine metabolism | 17 | 4 | 0.757 | 0.046 |
| ko00660 | C5-branched dibasic acid metabolism | 1 | 3 | 0.968 | 0.006 |
| ko00630 | Glyoxylate and dicarboxylate metabolism | 36 | 3 | 0.006 | 0.039 |
| Gene Short Name | Forward Primer Sequence | Reversed Primer Sequence |
|---|---|---|
| LOC103633247 | GCCCATATCACTCCACCAAACCC | GACGGCGGCTTCTCCTCTCC |
| LOC100273222 | ACACGACGCCGAGAGATCACC | CAACGCCGCTGTCTCCGATG |
| gst2 | CAAGAAGCTGCTGTCGGAGA | GGTCCTCGAGCATGACCATC |
| LOC100193263 | AAGTACATACGCTGCTCCAACTGC | AGCCTGCTCAACAATGTTCCTCAC |
| LOC103629384 | GCAGCACCCAGGACGAAGTTAC | TGACAGCAACACCACCAGCAAG |
Disclaimer/Publisher’s Note: The statements, opinions and data contained in all publications are solely those of the individual author(s) and contributor(s) and not of MDPI and/or the editor(s). MDPI and/or the editor(s) disclaim responsibility for any injury to people or property resulting from any ideas, methods, instructions or products referred to in the content. |
© 2024 by the authors. Licensee MDPI, Basel, Switzerland. This article is an open access article distributed under the terms and conditions of the Creative Commons Attribution (CC BY) license (https://creativecommons.org/licenses/by/4.0/).
Share and Cite
Yu, T.; Zhang, J.; Ma, X.; Cao, S.; Li, W.; Yang, G. A Multi-Omics View of Maize’s (Zea mays L.) Response to Low Temperatures During the Seedling Stage. Int. J. Mol. Sci. 2024, 25, 12273. https://doi.org/10.3390/ijms252212273
Yu T, Zhang J, Ma X, Cao S, Li W, Yang G. A Multi-Omics View of Maize’s (Zea mays L.) Response to Low Temperatures During the Seedling Stage. International Journal of Molecular Sciences. 2024; 25(22):12273. https://doi.org/10.3390/ijms252212273
Chicago/Turabian StyleYu, Tao, Jianguo Zhang, Xuena Ma, Shiliang Cao, Wenyue Li, and Gengbin Yang. 2024. "A Multi-Omics View of Maize’s (Zea mays L.) Response to Low Temperatures During the Seedling Stage" International Journal of Molecular Sciences 25, no. 22: 12273. https://doi.org/10.3390/ijms252212273
APA StyleYu, T., Zhang, J., Ma, X., Cao, S., Li, W., & Yang, G. (2024). A Multi-Omics View of Maize’s (Zea mays L.) Response to Low Temperatures During the Seedling Stage. International Journal of Molecular Sciences, 25(22), 12273. https://doi.org/10.3390/ijms252212273
