Probiotics Enhance Coilia nasus Growth Performance and Nutritional Value by Regulating Glucolipid Metabolism via the Gut–Liver Axis
Abstract
1. Introduction
2. Results
2.1. Effects of Probiotic Supplementation on Growth Performance
2.2. Effects of Probiotic Supplementation on Biochemical Indexes of Serum
2.3. Effects of Probiotic Supplementation on Hydrolyzed Amino Acids (HAAs) and Free Fatty Acids (FAAs) of Muscle
2.4. Metagenomic and Metabolomic Analysis of Intestinal Contents
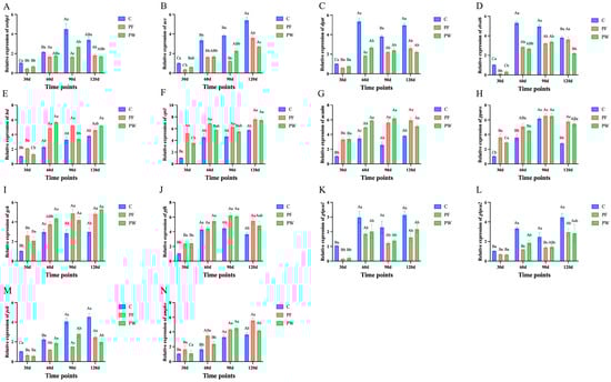
2.5. Analysis of Genes Related to Glucolipid Metabolism in Liver
2.6. Integration Analysis by Pearson Correlation and Mantel Test
3. Discussion
4. Materials and Methods
4.1. Experimental Animals and Sample Collection
4.2. Gut Microbiome Analysis Based on Metagenome Sequencing
4.3. Metabolome of Intestinal Contents Based on LC/MS
4.4. Detection of Biochemical Indexes of Serum
4.5. Detection of Hydrolyzed Amino Acids (HAAs) and Free Fatty Acids (FAAs)
4.6. Real-Time Quantitative PCR Analysis
4.7. Data Analysis
5. Conclusions
Supplementary Materials
Author Contributions
Funding
Institutional Review Board Statement
Informed Consent Statement
Data Availability Statement
Conflicts of Interest
Abbreviations
References
- Rohani, M.F.; Islam, S.M.M.; Hossain, M.K.; Ferdous, Z.; Siddik, M.A.B.; Nuruzzaman, M.; Padeniya, U.; Brown, C.; Shahjahan, M. Probiotics, Prebiotics and Synbiotics Improved the Functionality of Aquafeed: Upgrading Growth, Reproduction, Immunity and Disease Resistance in Fish. Fish Shellfish. Immunol. 2022, 120, 569–589. [Google Scholar] [CrossRef] [PubMed]
- El-Saadony, M.T.; Alagawany, M.; Patra, A.K.; Kar, I.; Tiwari, R.; Dawood, M.A.O.; Dhama, K.; Abdel-Latif, H.M.R. The Functionality of Probiotics in Aquaculture: An Overview. Fish Shellfish Immunol. 2021, 117, 36–52. [Google Scholar] [CrossRef] [PubMed]
- Garlock, T.; Asche, F.; Anderson, J.; Bjørndal, T.; Kumar, G.; Lorenzen, K.; Ropicki, A.; Smith, M.D.; Tveterås, R. A Global Blue Revolution: Aquaculture Growth Across Regions, Species, and Countries. Rev. Fish. Sci. Aquac. 2020, 28, 107–116. [Google Scholar] [CrossRef]
- Kober, A.K.M.H.; Riaz Rajoka, M.S.; Mehwish, H.M.; Villena, J.; Kitazawa, H. Immunomodulation Potential of Probiotics: A Novel Strategy for Improving Livestock Health, Immunity, and Productivity. Microorganisms 2022, 10, 388. [Google Scholar] [CrossRef]
- Abd El-Hack, M.E.; El-Saadony, M.T.; Shafi, M.E.; Qattan, S.Y.A.; Batiha, G.E.; Khafaga, A.F.; Abdel-Moneim, A.-M.E.; Alagawany, M. Probiotics in Poultry Feed: A Comprehensive Review. J. Anim. Physiol. Anim. Nutr. 2020, 104, 1835–1850. [Google Scholar] [CrossRef]
- Amoah, K.; Tan, B.; Zhang, S.; Chi, S.; Yang, Q.; Liu, H.; Yang, Y.; Zhang, H.; Dong, X. Host Gut-Derived Bacillus Probiotics Supplementation Improves Growth Performance, Serum and Liver Immunity, Gut Health, and Resistive Capacity against Vibrio Harveyi Infection in Hybrid Grouper (♀Epinephelus Fuscoguttatus × ♂Epinephelus Lanceolatus). Anim. Nutr. 2023, 14, 163–184. [Google Scholar] [CrossRef]
- Mohammadian, T.; Nasirpour, M.; Tabandeh, M.R.; Heidary, A.A.; Ghanei-Motlagh, R.; Hosseini, S.S. Administrations of Autochthonous Probiotics Altered Juvenile Rainbow Trout Oncorhynchus Mykiss Health Status, Growth Performance and Resistance to Lactococcus Garvieae, an Experimental Infection. Fish Shellfish Immunol. 2019, 86, 269–279. [Google Scholar] [CrossRef]
- El-Raghi, A.A.; El-Mezayen, M.M.; Areda, H.A. Potential Effects of Probiotics (Immunobacteryne; IMB) on Growth Performance, Feed Efficacy, Blood Biochemical, Redox Balance, Nonspecific Immunity and Heat-Shock Protein Expression of Nile Tilapia (Oreochromis Niloticus) Fingerlings. J. Anim. Physiol. Anim. Nutr. 2024, 108, 691–699. [Google Scholar] [CrossRef]
- Giron, M.; Thomas, M.; Dardevet, D.; Chassard, C.; Savary-Auzeloux, I. Gut Microbes and Muscle Function: Can Probiotics Make Our Muscles Stronger? J. Cachexia Sarcopenia Muscle 2022, 13, 1460–1476. [Google Scholar] [CrossRef]
- Prokopidis, K.; Giannos, P.; Kirwan, R.; Ispoglou, T.; Galli, F.; Witard, O.C.; Triantafyllidis, K.K.; Kechagias, K.S.; Morwani-Mangnani, J.; Ticinesi, A.; et al. Impact of Probiotics on Muscle Mass, Muscle Strength and Lean Mass: A Systematic Review and Meta-Analysis of Randomized Controlled Trials. J. Cachexia Sarcopenia Muscle 2023, 14, 30–44. [Google Scholar] [CrossRef]
- Liu, Y.; Li, Y.; Feng, X.; Wang, Z.; Xia, Z. Dietary Supplementation with Clostridium Butyricum Modulates Serum Lipid Metabolism, Meat Quality, and the Amino Acid and Fatty Acid Composition of Peking Ducks. Poult. Sci. 2018, 97, 3218–3229. [Google Scholar] [CrossRef] [PubMed]
- Liu, Z.-Y.; Yang, H.-L.; Hu, L.-H.; Yang, W.; Ai, C.-X.; Sun, Y.-Z. Autochthonous Probiotics Alleviate the Adverse Effects of Dietary Histamine in Juvenile Grouper (Epinephelus Coioides). Front. Microbiol. 2021, 12, 792718. [Google Scholar] [CrossRef]
- Ringø, E.; Harikrishnan, R.; Soltani, M.; Ghosh, K. The Effect of Gut Microbiota and Probiotics on Metabolism in Fish and Shrimp. Animals 2022, 12, 3016. [Google Scholar] [CrossRef] [PubMed]
- Luo, Y.; Li, M.; Wang, T.; Zhou, N.-N.; Qiao, F.; Du, Z.-Y.; Zhang, M.-L. Bacillus Cereus Alters Bile Acid Composition and Alleviates High-Carbohydrate Diet-Induced Hepatic Lipid Accumulation in Nile Tilapia (Oreochromis Niloticus). J. Agric. Food Chem. 2023, 71, 4825–4836. [Google Scholar] [CrossRef] [PubMed]
- Sánchez, B.; Delgado, S.; Blanco-Míguez, A.; Lourenço, A.; Gueimonde, M.; Margolles, A. Probiotics, Gut Microbiota, and Their Influence on Host Health and Disease. Mol. Nutr. Food Res. 2017, 61, 1600240. [Google Scholar] [CrossRef] [PubMed]
- Wang, J.; Zhu, N.; Su, X.; Gao, Y.; Yang, R. Gut-Microbiota-Derived Metabolites Maintain Gut and Systemic Immune Homeostasis. Cells 2023, 12, 793. [Google Scholar] [CrossRef]
- Su, X.; Gao, Y.; Yang, R. Gut Microbiota-Derived Tryptophan Metabolites Maintain Gut and Systemic Homeostasis. Cells 2022, 11, 2296. [Google Scholar] [CrossRef]
- He, J.; Zhang, P.; Shen, L.; Niu, L.; Tan, Y.; Chen, L.; Zhao, Y.; Bai, L.; Hao, X.; Li, X.; et al. Short-Chain Fatty Acids and Their Association with Signalling Pathways in Inflammation, Glucose and Lipid Metabolism. Int. J. Mol. Sci. 2020, 21, 6356. [Google Scholar] [CrossRef]
- Wang, B.; Kong, Q.; Li, X.; Zhao, J.; Zhang, H.; Chen, W.; Wang, G. A High-Fat Diet Increases Gut Microbiota Biodiversity and Energy Expenditure Due to Nutrient Difference. Nutrients 2020, 12, 3197. [Google Scholar] [CrossRef]
- González Hernández, M.A.; Canfora, E.E.; Jocken, J.W.E.; Blaak, E.E. The Short-Chain Fatty Acid Acetate in Body Weight Control and Insulin Sensitivity. Nutrients 2019, 11, 1943. [Google Scholar] [CrossRef]
- Xu, W.; Mawolo, P.Y.; Gao, J.; Chu, L.; Wang, Y.; Nie, Z.; Song, L.; Shao, N.; Gao, J.; Xu, P.; et al. Effects of Supplemental Effective Microorganisms in Feed on the Growth, Immunity, and Appetite Regulation in Juvenile GIFT Tilapia. Aquac. Rep. 2021, 19, 100577. [Google Scholar] [CrossRef]
- Akbari, H.; Shekrabi, S.P.H.; Soltani, M.; Mehrgan, M.S. Effects of Potential Probiotic Enterococcus Casseliflavus (EC-001) on Growth Performance, Immunity, and Resistance to Aeromonas Hydrophila Infection in Common Carp (Cyprinus Carpio). Probiotics Antimicrob. Proteins 2021, 13, 1316–1325. [Google Scholar] [CrossRef] [PubMed]
- Mirghaed, A.T.; Yarahmadi, P.; Hosseinifar, S.H.; Tahmasebi, D.; Gheisvandi, N.; Ghaedi, A. The Effects Singular or Combined Administration of Fermentable Fiber and Probiotic on Mucosal Immune Parameters, Digestive Enzyme Activity, Gut Microbiota and Growth Performance of Caspian White Fish (Rutilus Frisii Kutum) Fingerlings. Fish Shellfish Immunol. 2018, 77, 194–199. [Google Scholar] [CrossRef] [PubMed]
- Noshair, I.; Kanwal, Z.; Jabeen, G.; Arshad, M.; Yunus, F.-U.-N.; Hafeez, R.; Mairaj, R.; Haider, I.; Ahmad, N.; Alomar, S.Y. Assessment of Dietary Supplementation of Lactobacillus Rhamnosus Probiotic on Growth Performance and Disease Resistance in Oreochromis Niloticus. Microorganisms 2023, 11, 1423. [Google Scholar] [CrossRef] [PubMed]
- Soltani, M.; Pakzad, K.; Taheri-Mirghaed, A.; Mirzargar, S.; Shekarabi, S.P.H.; Yosefi, P.; Soleymani, N. Dietary Application of the Probiotic Lactobacillus Plantarum 426951 Enhances Immune Status and Growth of Rainbow Trout (Oncorhynchus Mykiss) Vaccinated Against Yersinia Ruckeri. Probiotics Antimicrob. Proteins 2019, 11, 207–219. [Google Scholar] [CrossRef]
- Jiang, W.-D.; Wen, H.-L.; Liu, Y.; Jiang, J.; Wu, P.; Zhao, J.; Kuang, S.-Y.; Tang, L.; Tang, W.-N.; Zhang, Y.-A.; et al. Enhanced Muscle Nutrient Content and Flesh Quality, Resulting from Tryptophan, Is Associated with Anti-Oxidative Damage Referred to the Nrf2 and TOR Signalling Factors in Young Grass Carp (Ctenopharyngodon Idella): Avoid Tryptophan Deficiency or Excess. Food Chem. 2016, 199, 210–219. [Google Scholar] [CrossRef]
- Lei, Y.; Kim, I.H. Effect of Phaffia Rhodozyma on Performance, Nutrient Digestibility, Blood Characteristics, and Meat Quality in Finishing Pigs. J. Anim. Sci. 2014, 92, 171–176. [Google Scholar] [CrossRef]
- Jiang, W.-D.; Chen, L.; Liu, Y.; Feng, L.; Wu, P.; Jiang, J.; Kuang, S.-Y.; Tang, L.; Tang, W.-N.; Zhou, X.-Q. Impact and Consequences of Dietary Riboflavin Deficiency Treatment on Flesh Quality Loss in On-Growing Grass Carp (Ctenopharyngodon Idella). Food Funct. 2019, 10, 3396–3409. [Google Scholar] [CrossRef]
- von Schacky, C. Importance of EPA and DHA Blood Levels in Brain Structure and Function. Nutrients 2021, 13, 1074. [Google Scholar] [CrossRef]
- Bertolio, R.; Napoletano, F.; Mano, M.; Maurer-Stroh, S.; Fantuz, M.; Zannini, A.; Bicciato, S.; Sorrentino, G.; Del Sal, G. Sterol Regulatory Element Binding Protein 1 Couples Mechanical Cues and Lipid Metabolism. Nat. Commun. 2019, 10, 1326. [Google Scholar] [CrossRef]
- Pang, Y.; Xu, X.; Xiang, X.; Li, Y.; Zhao, Z.; Li, J.; Gao, S.; Liu, Q.; Mai, K.; Ai, Q. High Fat Activates O-GlcNAcylation and Affects AMPK/ACC Pathway to Regulate Lipid Metabolism. Nutrients 2021, 13, 1740. [Google Scholar] [CrossRef] [PubMed]
- Zhou, T.; Cao, L.; Du, Y.; Qin, L.; Lu, Y.; Zhang, Q.; He, Y.; Tan, D. Gypenosides Ameliorate High-Fat Diet-Induced Nonalcoholic Fatty Liver Disease in Mice by Regulating Lipid Metabolism. PeerJ 2023, 11, e15225. [Google Scholar] [CrossRef] [PubMed]
- Althaher, A.R. An Overview of Hormone-Sensitive Lipase (HSL). Sci. World J. 2022, 2022, 1964684. [Google Scholar] [CrossRef] [PubMed]
- Fougerat, A.; Schoiswohl, G.; Polizzi, A.; Régnier, M.; Wagner, C.; Smati, S.; Fougeray, T.; Lippi, Y.; Lasserre, F.; Raho, I.; et al. ATGL-Dependent White Adipose Tissue Lipolysis Controls Hepatocyte PPARα Activity. Cell. Rep. 2022, 39, 110910. [Google Scholar] [CrossRef]
- Idrees, M.; Xu, L.; El Sheikh, M.; Sidrat, T.; Song, S.-H.; Joo, M.-D.; Lee, K.-L.; Kong, I.-K. The PPARδ Agonist GW501516 Improves Lipolytic/Lipogenic Balance through CPT1 and PEPCK during the Development of Pre-Implantation Bovine Embryos. Int. J. Mol. Sci. 2019, 20, 6066. [Google Scholar] [CrossRef]
- Pramfalk, C.; Eriksson, M.; Parini, P. Role of TG-Interacting Factor (Tgif) in Lipid Metabolism. Biochim. Biophys. Acta (BBA) Mol. Cell Biol. Lipids 2015, 1851, 9–12. [Google Scholar] [CrossRef]
- Mir, M.M.; Mir, R.; Alghamdi, M.A.A.; Wani, J.I.; Elfaki, I.; Sabah, Z.U.; Alhujaily, M.; Jeelani, M.; Marakala, V.; Alharthi, M.H.; et al. Potential Impact of GCK, MIR-196A-2 and MIR-423 Gene Abnormalities on the Development and Progression of Type 2 Diabetes Mellitus in Asir and Tabuk Regions of Saudi Arabia. Mol. Med. Rep. 2022, 25, 162. [Google Scholar] [CrossRef]
- Chan, C.-Y.; Dominguez, D.; Parra, K.J. Regulation of Vacuolar H+-ATPase (V-ATPase) Reassembly by Glycolysis Flow in 6-Phosphofructo-1-Kinase (PFK-1)-Deficient Yeast Cells*. J. Biol. Chem. 2016, 291, 15820–15829. [Google Scholar] [CrossRef]
- Wang, Z.; Dong, C. Gluconeogenesis in Cancer: Function and Regulation of PEPCK, FBPase, and G6Pase. Trends Cancer 2019, 5, 30–45. [Google Scholar] [CrossRef]
- Ke, R.; Xu, Q.; Li, C.; Luo, L.; Huang, D. Mechanisms of AMPK in the Maintenance of ATP Balance during Energy Metabolism. Cell. Biol. Int. 2018, 42, 384–392. [Google Scholar] [CrossRef]
- Hardie, D.G. AMP-Activated Protein Kinase: A Key Regulator of Energy Balance with Many Roles in Human Disease. J. Intern. Med. 2014, 276, 543–559. [Google Scholar] [CrossRef] [PubMed]
- Lin, S.-C.; Hardie, D.G. AMPK: Sensing Glucose as Well as Cellular Energy Status. Cell. Metab. 2018, 27, 299–313. [Google Scholar] [CrossRef] [PubMed]
- Wang, Q.; Liu, S.; Zhai, A.; Zhang, B.; Tian, G. AMPK-Mediated Regulation of Lipid Metabolism by Phosphorylation. Biol. Pharm. Bull. 2018, 41, 985–993. [Google Scholar] [CrossRef]
- Zhu, L.; Kong, Y.; Chang, X.; Feng, J.; Wang, X.; Hou, L.; Zhao, X.; Pei, C.; Kong, X. Effects of Two Fish-Derived Probiotics on Growth Performance, Innate Immune Response, Intestinal Health, and Disease Resistance of Procambarus Clarkii. Aquaculture 2023, 562, 738765. [Google Scholar] [CrossRef]
- Garron, M.-L.; Henrissat, B. The Continuing Expansion of CAZymes and Their Families. Curr. Opin. Chem. Biol. 2019, 53, 82–87. [Google Scholar] [CrossRef]
- Li, M.; Hu, F.-C.; Qiao, F.; Du, Z.-Y.; Zhang, M.-L. Sodium Acetate Alleviated High-Carbohydrate Induced Intestinal Inflammation by Suppressing MAPK and NF-ΚB Signaling Pathways in Nile Tilapia (Oreochromis Niloticus). Fish Shellfish Immunol. 2020, 98, 758–765. [Google Scholar] [CrossRef]
- Zhang, Y.; Liang, X.-F.; He, S.; Feng, H.; Li, L. Dietary Supplementation of Exogenous Probiotics Affects Growth Performance and Gut Health by Regulating Gut Microbiota in Chinese Perch (Siniperca Chuatsi). Aquaculture 2022, 547, 737405. [Google Scholar] [CrossRef]
- Tang, W.H.W.; Kitai, T.; Hazen, S.L. Gut Microbiota in Cardiovascular Health and Disease. Circ. Res. 2017, 120, 1183–1196. [Google Scholar] [CrossRef]
- Zhao, J.; Ling, Y.; Zhang, R.; Ke, C.; Hong, G. Effects of Dietary Supplementation of Probiotics on Growth, Immune Responses, and Gut Microbiome of the Abalone Haliotis Diversicolor. Aquaculture 2018, 493, 289–295. [Google Scholar] [CrossRef]
- Bianchi, F.; Dall’Asta, M.; Del Rio, D.; Mangia, A.; Musci, M.; Scazzina, F. Development of a Headspace Solid-Phase Microextraction Gas Chromatography–Mass Spectrometric Method for the Determination of Short-Chain Fatty Acids from Intestinal Fermentation. Food Chem. 2011, 129, 200–205. [Google Scholar] [CrossRef]
- Hylemon, P.B.; Zhou, H.; Pandak, W.M.; Ren, S.; Gil, G.; Dent, P. Bile Acids as Regulatory Molecules. J. Lipid Res. 2009, 50, 1509–1520. [Google Scholar] [CrossRef] [PubMed]
- Romano, N.; Kumar, V.; Yang, G.; Kajbaf, K.; Rubio, M.B.; Overturf, K.; Brezas, A.; Hardy, R. Bile Acid Metabolism in Fish: Disturbances Caused by Fishmeal Alternatives and Some Mitigating Effects from Dietary Bile Inclusions. Rev. Aquac. 2020, 12, 1792–1817. [Google Scholar] [CrossRef]
- Wen, J.; Mercado, G.P.; Volland, A.; Doden, H.L.; Lickwar, C.R.; Crooks, T.; Kakiyama, G.; Kelly, C.; Cocchiaro, J.L.; Ridlon, J.M.; et al. Fxr Signaling and Microbial Metabolism of Bile Salts in the Zebrafish Intestine. Sci. Adv. 2021, 7, eabg1371. [Google Scholar] [CrossRef] [PubMed]
- Meng, D.; Miao, C.; Liu, Y.; Wang, F.; Chen, L.; Huang, Z.; Fan, X.; Gu, P.; Li, Q. Metabolic Engineering for Biosynthesis of Poly(3-Hydroxybutyrate-Co-3-Hydroxyvalerate) from Glucose and Propionic Acid in Recombinant Escherichia Coli. Bioresour. Technol. 2022, 348, 126786. [Google Scholar] [CrossRef]
- Feng, J.; Cui, W.; Liu, S.; Liu, X.; Cai, Z.; Chang, X.; Yan, X.; Feng, S.; Zhang, J.; Nie, G. Dietary Sodium Acetate (SA) Improves the Growth Performance, Intestinal Health, and Carbohydrate Metabolism of Juvenile Common Carp (Cyprinus Carpio). Aquac. Rep. 2022, 27, 101350. [Google Scholar] [CrossRef]
- Yoshida, H.; Ishii, M.; Akagawa, M. Propionate Suppresses Hepatic Gluconeogenesis via GPR43/AMPK Signaling Pathway. Arch. Biochem. Biophys. 2019, 672, 108057. [Google Scholar] [CrossRef]
- Wu, S.; Pan, M.; Zan, Z.; Jakovlić, I.; Zhao, W.; Zou, H.; Ringø, E.; Wang, G. Regulation of Lipid Metabolism by Gut Microbiota in Aquatic Animals. Rev. Aquac. 2024, 16, 34–46. [Google Scholar] [CrossRef]
- Zhou, J.S.; Chen, H.J.; Ji, H.; Shi, X.C.; Li, X.X.; Chen, L.Q.; Du, Z.Y.; Yu, H.B. Effect of Dietary Bile Acids on Growth, Body Composition, Lipid Metabolism and Microbiota in Grass Carp (Ctenopharyngodon Idella). Aquac. Nutr. 2018, 24, 802–813. [Google Scholar] [CrossRef]
- Liao, Z.; Sun, B.; Zhang, Q.; Jia, L.; Wei, Y.; Liang, M.; Xu, H. Dietary Bile Acids Regulate the Hepatic Lipid Homeostasis in Tiger Puffer Fed Normal or High-Lipid Diets. Aquaculture 2020, 519, 734935. [Google Scholar] [CrossRef]
- Cai, J.; Rimal, B.; Jiang, C.; Chiang, J.Y.L.; Patterson, A.D. Bile Acid Metabolism and Signaling, the Microbiota, and Metabolic Disease. Pharmacol. Ther. 2022, 237, 108238. [Google Scholar] [CrossRef]
- Yu, H.; Nie, R.; Shen, C. The Role of Bile Acids in Regulating Glucose and Lipid Metabolism. Endocr. J. 2023, 70, 359–374. [Google Scholar] [CrossRef] [PubMed]
- Wang, S.-Z.; Yu, Y.-J.; Adeli, K. Role of Gut Microbiota in Neuroendocrine Regulation of Carbohydrate and Lipid Metabolism via the Microbiota-Gut-Brain-Liver Axis. Microorganisms 2020, 8, 527. [Google Scholar] [CrossRef] [PubMed]
- Wang, Y.; You, Y.; Tian, Y.; Sun, H.; Li, X.; Wang, X.; Wang, Y.; Liu, J. Pediococcus Pentosaceus PP04 Ameliorates High-Fat Diet-Induced Hyperlipidemia by Regulating Lipid Metabolism in C57BL/6N Mice. J. Agric. Food Chem. 2020, 68, 15154–15163. [Google Scholar] [CrossRef] [PubMed]
- Zhang, Q.; Guo, W.-L.; Chen, G.-M.; Qian, M.; Han, J.-Z.; Lv, X.-C.; Chen, L.-J.; Rao, P.-F.; Ai, L.-Z.; Ni, L. Pediococcus Acidilactici FZU106 Alleviates High-Fat Diet-Induced Lipid Metabolism Disorder in Association with the Modulation of Intestinal Microbiota in Hyperlipidemic Rats. Curr. Res. Food Sci. 2022, 5, 775–788. [Google Scholar] [CrossRef]
- Ridha, M.T.; Azad, I.S. Preliminary Evaluation of Growth Performance and Immune Response of Nile Tilapia Oreochromis Niloticus Supplemented with Two Putative Probiotic Bacteria. Aquac. Res. 2012, 43, 843–852. [Google Scholar] [CrossRef]
- Mang, Q.; Gao, J.; Li, Q.; Sun, Y.; Xu, G.; Xu, P. Integrative Analysis of Metagenome and Metabolome Provides New Insights into Intestinal Health Protection in Coilia nasus Larvae via Probiotic Intervention. Comp. Biochem. Physiol. Part D Genom. Proteom. 2024, 50, 101230. [Google Scholar] [CrossRef]
- Wang, N.; Li, Y.; Han, S.; Zhang, Y.; Yang, J.; Yin, Z.; Deng, C.; Liu, Z.; Wu, Y.; Wu, W.; et al. CFViSA: A Comprehensive and Free Platform for Visualization and Statistics in Omics-Data. Comput. Biol. Med. 2024, 171, 108206. [Google Scholar] [CrossRef]
- Chen, C.; Chen, H.; Zhang, Y.; Thomas, H.R.; Frank, M.H.; He, Y.; Xia, R. TBtools: An Integrative Toolkit Developed for Interactive Analyses of Big Biological Data. Mol. Plant 2020, 13, 1194–1202. [Google Scholar] [CrossRef]






| Index | 30d | 60d | 90d | 120d | ||||||||
|---|---|---|---|---|---|---|---|---|---|---|---|---|
| C | PW | PF | C | PW | PF | C | PW | PF | C | PW | PF | |
| FBW | 6.93 ± 1.57 bB | 8.38 ± 1.40 aB | 8.92 ± 2.96 aD | 8.31 ± 2.62 bB | 9.51 ± 1.90 abAB | 10.95 ± 2.39 aC | 9.18 ± 1.92 bB | 10.23 ± 3.59 abAB | 12.64 ± 3.47 aB | 10.49 ± 3.26 bA | 11.25 ± 2.74 bA | 16.44 ± 4.27 aA |
| BL | 12.38 ± 1.2 aC | 13.01 ± 0.77 aC | 13.21 ± 1.36 aC | 13.27 ± 1.30 bBC | 14.00 ± 1.01 abB | 14.77 ± 1.14 aB | 13.86 ± 1.18 bB | 14.91 ± 1.65 aB | 14.95 ± 1.71 aB | 16.20 ± 1.46 bA | 17.03 ± 1.29 abA | 17.65 ± 1.81 aA |
| SGR | 1.00 ± 0.78 bA | 1.68 ± 0.55 aA | 1.77 ± 1.01 aA | 0.83 ± 0.43 bAB | 1.04 ± 0.33 abAB | 1.27 ± 0.36 aA | 0.55 ± 0.23 bB | 0.74 ± 0.33 aB | 0.79 ± 0.35 aB | 0.58 ± 0.23 b | 0.65 ± 0.20 ab | 0.85 ± 0.25 a |
| VSI | 8.08 ± 2.69 A | 7.27 ± 2.04 A | 8.27 ± 2.48 A | 6.86 ± 2.40 AB | 8.15 ± 3.00 A | 7.73 ± 2.19 A | 6.90 ± 1.81 AB | 6.27 ± 1.70 AB | 6.13 ± 0.78 B | 5.78 ± 1.36 B | 5.34 ± 1.67 B | 6.61 ± 1.85 B |
| HSI | 0.82 ± 0.27 A | 0.89 ± 0.44 A | 1.17 ± 0.39 | 0.52 ± 0.14 B | 0.64 ± 0.36 AB | 0.55 ± 0.22 | 0.63 ± 0.19 AB | 0.51 ± 0.16 B | 0.50 ± 0.19 | 0.59 ± 0.25 AB | 0.51 ± 0.18 B | 0.64 ± 0.25 |
| CF | 0.36 ± 0.04 A | 0.38 ± 0.03 A | 0.38 ± 0.02 A | 0.35 ± 0.04 A | 0.34 ± 0.03 B | 0.34 ± 0.03 B | 0.30 ± 0.02 B | 0.30 ± 0.02 C | 0.31 ± 0.03 C | 0.24 ± 0.02 B | 0.22 ± 0.01 D | 0.26 ± 0.02 D |
| C30d | PF30d | PW30d | C60d | PF60d | PW60d | C90d | PF90d | PW90d | C120d | PF120d | PW120d | |
|---|---|---|---|---|---|---|---|---|---|---|---|---|
| Gly | 1197.85 ± 26.68 Ab | 1329.69 ± 21.91 Aa | 1265.83 ± 62.48 Aab | 1075.87 ± 63.28 Aa | 1084.03 ± 38.08 ABa | 833.03 ± 40.11 Ba | 866.61 ± 38.37 Bc | 934.19 ± 24.43 Bb | 1140.72 ± 41.99 Aa | 1001.01 ± 28.98 Aa | 892.79 ± 36.64 Bb | 1096.13 ± 36.44 Aa |
| Ala | 204.69 ± 10.41 Bb | 229.96 ± 9.55 Ba | 136.51 ± 16.21 Cc | 236.90 ± 9.27 ABa | 243.19 ± 15.31 ABa | 219.96 ± 14.59 Ba | 183.27 ± 5.64 Bb | 209.37 ± 12.93 Bb | 297.32 ± 8.05 Aa | 298.75 ± 29.98 Aab | 289.44 ± 1.72 Ab | 311.03 ± 9.94 Aa |
| Ser | 232.87 ± 5.02 Ab | 319.79 ± 13.61 Aa | 300.75 ± 4.23 Aa | 134.22 ± 5.69 Ba | 156.62 ± 6.64 Ba | 138.42 ± 8.98 Ca | 84.23 ± 0.43 Cc | 114.19 ± 1.48 Cb | 191.83 ± 1.46 Ba | 150.27 ± 5.17 Ba | 87.66 ± 3.93 Db | 182.59 ± 7.62 Ba |
| Pro | 86.85 ± 6.05 ABc | 128.75 ± 9.46 Ab | 204.17 ± 7.27 Aa | 55.45 ± 0.78 Bb | 63.91 ± 3.65 Bab | 85.62 ± 11.88 Ca | 62.62 ± 1.24 Bb | 87.26 ± 9.96 Bb | 124.99 ± 4.97 Ba | 104.01 ± 8.20 Aab | 98.56 ± 3.71 ABb | 140.84 ± 6.77 Ba |
| Asn | 38.86 ± 2.01 Aa | 25.14 ± 1.63 Ab | 22.89 ± 1.45 Ab | 15.06 ± 1.53 Bb | 21.62 ± 1.49 Aa | 22.66 ± 1.80 Aa | 29.29 ± 1.11 Aa | 27.23 ± 2.96 Aa | 26.44 ± 2.83 Aa | 6.39 ± 0.35 Cb | 13.03 ± 0.64 Ba | 11.91 ± 0.84 Ba |
| Asp | 19.87 ± 1.02 Bab | 16.77 ± 0.67 Cb | 23.50 ± 0.20 Aa | 28.49 ± 1.42 Aa | 25.41 ± 2.59 Ba | 23.88 ± 1.95 Aa | 32.26 ± 1.29 Ab | 44.01 ± 0.96 Aa | 28.76 ± 0.57 Ab | 24.76 ± 1.68 ABa | 24.90 ± 0.44 Ba | 27.33 ± 2.01 Aa |
| Gln | 76.32 ± 2.51 Ba | 34.77 ± 2.11 Cb | 31.56 ± 0.41 Db | 72.71 ± 2.19 Bb | 88.53 ± 3.59 Bb | 106.81 ± 5.94 Ba | 125.90 ± 1.65 Ab | 133.87 ± 2.39 Aa | 136.98 ± 2.94 Aa | 79.90 ± 3.88 Bb | 114.50 ± 3.59 Aa | 78.24 ± 5.15 Cb |
| Glu | 49.53 ± 2.94 Ca | 37.59 ± 1.72 Cb | 35.01 ± 1.56 Cb | 140.38 ± 8.87 Aa | 147.97 ± 9.74 Ba | 129.45 ± 10.31 Ba | 165.04 ± 3.98 Ac | 204.44 ± 1.97 Ab | 258.81 ± 3.09 Aa | 91.66 ± 7.89 Bc | 121.86 ± 5.47 Bb | 150.99 ± 8.81 Ba |
| His | 285.60 ± 15.87 Ab | 354.51 ± 26.49 Aa | 337.13 ± 23.33 Aa | 155.88 ± 11.14 Bb | 184.48 ± 19.54 Ca | 196.75 ± 27.36 Ba | 189.13 ± 26.29 Bb | 221.45 ± 13.55 Ba | 204.48 ± 15.01 Bab | 232.94 ± 35.00 Aa | 171.62 ± 8.07 Cb | 216.86 ± 13.16 Ba |
| Arg | 9.73 ± 0.51 Cb | 10.07 ± 0.61 Cb | 16.11 ± 0.97 Ca | 18.68 ± 0.87 ABb | 30.61 ± 2.83 Aa | 31.33 ± 4.11 Aa | 14.47 ± 1.65 Bb | 26.65 ± 1.08 Aa | 24.58 ± 1.22 Ba | 23.38 ± 3.10 Aa | 16.20 ± 0.80 Bb | 16.32 ± 1.06 Cb |
| Tyr | 16.59 ± 0.49 Bb | 23.76 ± 1.41 Aa | 24.75 ± 0.84 Aa | 25.08 ± 1.10 Aa | 23.79 ± 1.62 Aab | 20.06 ± 0.12 Ab | 17.25 ± 0.52 Bb | 20.69 ± 0.99 Aa | 20.73 ± 0.73 Aa | 23.44 ± 0.44 Aa | 19.41 ± 1.07 Aa | 23.47 ± 0.75 Aa |
| Val | 32.64 ± 0.14 Ba | 36.21 ± 2.22 BCa | 35.79 ± 2.94 Ba | 42.15 ± 1.69 Ab | 50.79 ± 1.41 Aa | 45.46 ± 1.28 ABab | 31.18 ± 0.37 Bc | 41.72 ± 1.67 Bb | 51.70 ± 0.74 Aa | 38.35 ± 0.19 ABb | 27.58 ± 1.46 Cc | 54.40 ± 3.20 Aa |
| Thr | 28.61 ± 3.06 Cb | 48.43 ± 3.50 Aa | 48.45 ± 1.10 Aa | 36.67 ± 1.29 Bb | 45.08 ± 4.79 Aa | 48.48 ± 5.16 Aa | 26.02 ± 1.42 Cc | 38.59 ± 2.22 Bb | 53.64 ± 1.42 Aa | 45.87 ± 6.18 Aa | 37.93 ± 1.03 Bb | 49.66 ± 3.79 Aa |
| Ile | 20.35 ± 0.37 Ba | 24.34 ± 1.02 Ba | 23.24 ± 1.38 Ba | 27.58 ± 1.24 Aa | 31.85 ± 1.09 Aa | 26.94 ± 0.70 Ba | 18.41 ± 0.52 Bc | 24.29 ± 0.63 Bb | 30.36 ± 0.38 ABa | 23.21 ± 0.27 ABb | 16.25 ± 1.06 Cc | 32.10 ± 1.72 Aa |
| Leu | 31.15 ± 0.06 Aa | 35.66 ± 2.14 Ba | 34.94 ± 1.61 Ba | 38.83 ± 1.54 Ab | 45.96 ± 2.60 Aa | 36.30 ± 0.73 Bb | 26.51 ± 0.47 Bc | 36.90 ± 1.11 Bb | 43.33 ± 0.73 ABa | 33.10 ± 0.42 Ab | 28.66 ± 1.81 Cb | 47.65 ± 1.98 Aa |
| Lys | 3.32 ± 0.07 Ba | 3.91 ± 0.22 BCa | 3.89 ± 0.28 Ba | 2.97 ± 0.14 Ba | 2.95 ± 0.17 Ca | 2.47 ± 0.16 Ca | 3.52 ± 3.24 Bb | 5.52 ± 0.19 Ba | 2.69 ± 0.05 Cb | 5.11 ± 0.47 Ab | 11.79 ± 0.65 Aa | 5.14 ± 0.55 Ab |
| Met | 21.70 ± 0.13 Bb | 28.88 ± 1.01 Aa | 27.13 ± 1.70 ABa | 29.97 ± 0.55 Aa | 27.52 ± 0.36 Aa | 24.01 ± 0.97 Ba | 24.65 ± 0.27 Ba | 27.75 ± 1.26 Aa | 29.27 ± 0.15 Aa | 31.71 ± 0.46 Aa | 26.45 ± 0.99 Ab | 33.58 ± 1.06 Aa |
| Phe | 19.88 ± 0.46 Bb | 25.21 ± 0.75 Aa | 26.19 ± 1.32 Aa | 28.21 ± 0.98 Aa | 26.28 ± 1.13 Aa | 19.37 ± 0.61 Bb | 20.04 ± 0.68 Ba | 24.47 ± 0.73 Aa | 22.61 ± 0.10 ABa | 24.42 ± 0.27 ABa | 19.85 ± 1.14 Aa | 25.27 ± 0.73 ABa |
| Trp | 7.14 ± 0.12 Bb | 8.73 ± 0.51 ABab | 9.43 ± 0.49 Aa | 9.71 ± 1.03 Aa | 8.65 ± 0.38 ABab | 7.05 ± 0.30 Bb | 7.88 ± 0.27 Bb | 9.81 ± 0.24 Aa | 7.55 ± 0.27 Bb | 9.31 ± 0.73 Aa | 7.64 ± 0.34 Bb | 7.33 ± 0.25 Bb |
| EAA | 164.82 ± 3.35 Bb | 211.41 ± 10.72 Aa | 209.08 ± 8.85 Ba | 216.12 ± 8.32 Aa | 239.11 ± 11.64 Aa | 210.11 ± 8.36 Ba | 158.24 ± 1.23 Bc | 209.07 ± 3.12 Ab | 241.18 ± 3.06 Aa | 211.11 ± 5.70 Ab | 176.18 ± 6.19 Bc | 255.16 ± 11.39 Aa |
| NEAA | 2218.79 ± 40.84 Aa | 2510.83 ± 72.01 Aa | 2398.26 ± 30.58 Aa | 1958.76 ± 95.86 ABa | 2070.21 ± 100.80 Ba | 1808.03 ± 119.83 Ba | 1770.11 ± 73.16 Bc | 2023.40 ± 14.78 Bb | 2455.67 ± 46.07 Aa | 2036.56 ± 120.75 ABab | 1850.03 ± 58.48 Cb | 2255.76 ± 87.58 ABa |
| TAA | 2383.62 ± 43.94 Ab | 2722.24 ± 82.65 Aa | 2607.35 ± 34.41 Aa | 2174.89 ± 102.61 ABb | 2309.32 ± 112.31 Ba | 2018.15 ± 128.19 Bb | 1928.35 ± 74.29 Bc | 2232.47 ± 15.30 Bb | 2696.86 ± 44.37 Aa | 2247.68 ± 126.28 ABab | 2026.21 ± 64.56 Cb | 2510.92 ± 98.95 Aa |
| C30d | PF30d | PW30d | C60d | PF60d | PW60d | C90d | PF90d | PW90d | C120d | PF120d | PW120d | |
|---|---|---|---|---|---|---|---|---|---|---|---|---|
| C6:0 | 0.99 ± 0.11 | 0.86 ± 0.04 | 0.95 ± 0.02 | 0.90 ± 0.01 | 0.89 ± 0.08 | 0.91 ± 0.02 | 0.93 ± 0.05 | 1.01 ± 0.12 | 0.88 ± 0.02 | 0.89 ± 0.02 | 0.92 ± 0.05 | 0.79 ± 0.04 |
| C8:0 | 0.17 ± 0.01 | 0.14 ± 0.01 | 0.14 ± 0.01 | 0.13 ± 0.01 | 0.14 ± 0.01 | 0.15 ± 0.01 | 0.11 ± 0.01 | 0.13 ± 0.01 | 0.12 ± 0.01 | 0.12 ± 0.01 | 0.12 ± 0.01 | 0.13 ± 0.01 |
| C10:0 | 1.13 ± 0.02 Aa | 1.12 ± 0.04 Aa | 1.55 ± 0.02 Aa | 0.80 ± 0.02 ABb | 1.03 ± 0.01 Aab | 1.33 ± 0.01 ABa | 0.60 ± 0.01 Bb | 1.02 ± 0.12 Aa | 0.81 ± 0.01 Bab | 0.59 ± 0.01 Bb | 0.45 ± 0.01 Bb | 0.93 ± 0.01 Ba |
| C11:0 | 0.35 ± 0.01 | 0.34 ± 0.01 | 0.45 ± 0.01 | 0.27 ± 0.01 | 0.33 ± 0.01 | 0.39 ± 0.01 | 0.23 ± 0.01 | 0.34 ± 0.04 | 0.27 ± 0.01 | 0.25 ± 0.01 | 0.16 ± 0.01 | 0.34 ± 0.01 |
| C12:0 | 4.89 ± 0.09 ABa | 4.70 ± 0.12 Aa | 5.96 ± 0.08 Aa | 4.37 ± 0.03 Bb | 5.24 ± 0.17 Aa | 5.90 ± 0.08 Aa | 4.20 ± 0.10 Bb | 5.57 ± 0.64 Aa | 4.38 ± 0.20 Bb | 5.28 ± 0.11 Aa | 3.31 ± 0.11 Bb | 5.86 ± 0.05 Aa |
| C13:0 | 1.42 ± 0.06 Aa | 1.32 ± 0.02 ABa | 1.69 ± 0.04 Aa | 1.20 ± 0.01 Aa | 1.50 ± 0.04 Aab | 1.95 ± 0.06 Aa | 1.19 ± 0.02 Ab | 1.68 ± 0.19 Aa | 1.51 ± 0.05 Aa | 1.57 ± 0.04 Aa | 0.87 ± 0.02 Bb | 1.84 ± 0.02 Aa |
| C14:0 | 144.26 ± 2.80 ABa | 139.93 ± 2.70 Ba | 172.75 ± 0.73 ABa | 129.37 ± 1.80 Bb | 157.11 ± 4.19 ABab | 187.09 ± 2.98 ABa | 113.59 ± 4.15 Bb | 177.21 ± 19.03 Aa | 161.90 ± 4.30 Ba | 161.69 ± 3.15 Ab | 99.99 ± 2.31 Cc | 210.62 ± 2.31 Aa |
| C14:1 | 3.74 ± 0.18 | 3.43 ± 0.13 | 4.14 ± 0.04 | 3.00 ± 0.09 | 3.50 ± 0.09 | 4.11 ± 0.03 | 2.60 ± 0.07 | 3.66 ± 0.21 | 3.42 ± 0.05 | 4.29 ± 0.11 | 2.43 ± 0.10 | 4.20 ± 0.12 |
| C15:0 | 14.93 ± 0.45 Aa | 14.16 ± 0.18 Ba | 16.83 ± 0.16 Ba | 13.65 ± 0.17 Ab | 16.59 ± 0.83 ABb | 21.04 ± 0.26 Aa | 14.03 ± 0.03 Ab | 20.50 ± 2.49 Aa | 18.93 ± 0.62 ABab | 18.91 ± 0.38 Aa | 10.43 ± 0.47 Cb | 22.97 ± 0.31 Aa |
| C15:1 | 1.04 ± 0.09 | 1.09 ± 0.02 | 0.99 ± 0.02 | 0.98 ± 0.01 | 0.89 ± 0.02 | 1.66 ± 0.04 | 0.94 ± 0.02 | 1.08 ± 0.02 | 1.19 ± 0.02 | 1.90 ± 0.04 | 0.85 ± 0.05 | 0.75 ± 0.02 |
| C16:0 | 1102.06 ± 19.01 Aa | 975.48 ± 37.35 Ba | 1093.18 ± 20.81 Ba | 950.55 ± 11.26 ABa | 1065.51 ± 40.43 ABa | 1181.35 ± 41.00 Ba | 870.31 ± 6.16 Bc | 1201.21 ± 121.28 Aa | 1097.27 ± 35.29 Bb | 1065.77 ± 18.06 Ab | 813.77 ± 18.37 Cc | 1275.54 ± 15.75 Aa |
| C16:1 | 336.65 ± 9.02 Aab | 313.66 ± 10.95 Ab | 384.05 ± 11.10 Aa | 262.40 ± 4.09 Ba | 329.43 ± 13.29 Ab | 360.95 ± 8.58 ABa | 191.04 ± 3.16 Cb | 326.33 ± 37.05 Aa | 305.99 ± 9.52 Ba | 289.99 ± 2.26 Bb | 175.86 ± 5.18 Bc | 393.80 ± 15.04 Aa |
| C17:0 | 14.72 ± 0.39 | 13.57 ± 0.31 | 14.80 ± 0.27 | 13.34 ± 0.12 | 16.70 ± 0.61 | 23.73 ± 0.61 | 16.12 ± 0.39 | 22.25 ± 3.07 | 21.20 ± 0.67 | 23.75 ± 0.20 | 12.04 ± 0.45 | 26.09 ± 0.73 |
| C17:1 | 11.54 ± 2.62 | 11.94 ± 1.16 | 12.01 ± 0.89 | 10.86 ± 1.61 | 11.91 ± 0.31 | 15.19 ± 3.08 | 12.01 ± 1.19 | 20.26 ± 2.81 | 16.74 ± 1.11 | 15.71 ± 3.36 | 9.00 ± 0.96 | 22.46 ± 0.35 |
| C18:0 | 186.39 ± 7.07 ABa | 161.23 ± 5.17 Ca | 189.56 ± 4.20 a | 165.42 ± 1.70 Bc | 197.07 ± 9.93 Bb | 244.40 ± 1.94 ABa | 191.02 ± 6.79 ABb | 250.62 ± 24.39 Aa | 222.97 ± 5.91 Bab | 239.13 ± 8.23 Aa | 168.50 ± 3.57 Cb | 297.13 ± 3.63 Aa |
| C18:1 | 2181.16 ± 159.84 Aab | 1838.44 ± 36.84 ABb | 2261.85 ± 111.02 Aa | 1926.65 ± 103.62 ABa | 2013.97 ± 67.10 AA | 2103.01 ± 154.95 ABA | 1607.82 ± 116.86 Bb | 1960.50 ± 161.01 ABa | 1845.72 ± 56.53 Bab | 1913.37 ± 112.22 ABa | 1602.24 ± 38.26 Bb | 1993.18 ± 59.04 Ba |
| C18:2 | 726.47 ± 15.68 Ba | 607.26 ± 14.41 Cb | 767.45 ± 21.22 Ca | 650.00 ± 11.42 Cc | 764.86 ± 48.92 Bb | 948.44 ± 14.70 Ba | 704.85 ± 7.95 BCc | 998.51 ± 106.08 Aa | 845.13 ± 8.42 Cb | 918.66 ± 20.24 Ab | 708.47 ± 18.18 Cc | 1114.57 ± 12.07 Aa |
| C18:3 | 92.92 ± 3.45 Ba | 97.97 ± 3.81 Ba | 107.63 ± 1.79 Ba | 89.97 ± 1.75 Bc | 132.26 ± 5.57 Ab | 176.75 ± 1.08 Aa | 104.29 ± 1.11 ABb | 148.17 ± 21.32 Aa | 134.17 ± 2.98 ABa | 145.52 ± 4.62 Aa | 98.62 ± 3.83 Bb | 172.95 ± 3.38 Aa |
| C19:1 | 5.61 ± 0.36 ABb | 5.07 ± 0.12 Cb | 6.88 ± 0.13 Ba | 4.83 ± 0.13 Bb | 6.50 ± 0.06 ABa | 7.98 ± 0.19 Aa | 5.55 ± 0.08 ABb | 7.84 ± 0.53 Aa | 6.50 ± 0.04 Bab | 7.21 ± 0.02 Ab | 6.08 ± 0.08 Bc | 9.15 ± 0.32 Aa |
| C20:0 | 12.07 ± 0.32 Aab | 10.37 ± 0.28 Bb | 13.89 ± 0.70 ABa | 10.01 ± 0.17 Ab | 10.98 ± 0.46 Bb | 15.36 ± 0.62 Aa | 9.45 ± 0.26 Ab | 14.91 ± 2.06 Aa | 12.65 ± 0.31 Bab | 12.32 ± 0.06 Ab | 7.96 ± 0.31 Cc | 16.73 ± 0.30 Aa |
| C20:1 | 65.28 ± 1.65 Aa | 56.94 ± 1.83 BCb | 69.48 ± 1.05 Ca | 54.98 ± 0.80 Bc | 66.10 ± 1.97 Bb | 85.60 ± 0.31 Ba | 54.76 ± 2.15 Bb | 85.18 ± 13.32 Aa | 73.03 ± 1.80 Ca | 68.29 ± 2.31 Ab | 44.52 ± 1.53 Cc | 95.15 ± 1.35 Aa |
| C20:2 | 18.94 ± 0.86 A | 16.21 ± 0.32 B | 17.45 ± 0.52 B | 13.87 ± 0.11 B | 16.39 ± 0.83 B | 18.52 ± 0.29 AB | 13.26 ± 0.13 B | 19.88 ± 2.37 A | 16.33 ± 0.53 B | 16.61 ± 0.19 A | 11.61 ± 0.55 C | 21.13 ± 0.20 A |
| C20:3 | 16.15 ± 1.44 ABa | 13.86 ± 0.23 Ba | 15.35 ± 0.39 Ba | 12.92 ± 0.33 Bb | 16.69 ± 0.68 ABa | 19.53 ± 0.31 Aa | 14.09 ± 0.35 Bb | 20.00 ± 2.19 Aa | 16.84 ± 0.68 Bb | 18.66 ± 0.36 Aa | 13.53 ± 0.58 Bb | 20.79 ± 0.21 Aa |
| C20:4 | 53.94 ± 1.61 Ba | 52.50 ± 1.51 Aa | 44.03 ± 2.25 Cb | 40.63 ± 0.66 Cc | 50.16 ± 1.88 Ab | 57.15 ± 2.36 Ba | 50.55 ± 1.00 Ba | 52.49 ± 6.06 Aa | 52.16 ± 1.68 Ba | 65.26 ± 3.33 Aa | 37.71 ± 1.86 Bb | 78.54 ± 1.92 Aa |
| C20:5 | 277.42 ± 4.56 Aa | 246.40 ± 3.78 Aa | 253.01 ± 11.13 Aa | 173.09 ± 3.46 Bb | 224.32 ± 12.41 Aa | 253.79 ± 3.73 Aa | 144.79 ± 3.29 Bb | 207.50 ± 21.68 Aa | 196.28 ± 7.95 Ba | 155.55 ± 5.12 Bb | 99.92 ± 6.68 Bc | 222.33 ± 10.58 ABa |
| C21:0 | 1.18 ± 0.10 | 1.06 ± 0.02 | 1.36 ± 0.06 | 1.07 ± 0.04 | 1.16 ± 0.04 | 1.64 ± 0.01 | 1.09 ± 0.03 | 1.53 ± 0.15 | 1.26 ± 0.01 | 1.41 ± 0.01 | 0.94 ± 0.05 | 1.72 ± 0.01 |
| C22:0 | 3.94 ± 0.05 Bb | 3.54 ± 0.04 ABb | 5.11 ± 0.17 Ba | 3.65 ± 0.03 Bb | 3.88 ± 0.07 Bb | 6.19 ± 0.12 Aa | 3.51 ± 0.07 Ba | 4.81 ± 0.39 Aa | 4.36 ± 0.01 Ba | 5.17 ± 0.07 Aa | 3.06 ± 0.10 Bb | 6.88 ± 0.16 Aa |
| C22:1 | 8.62 ± 0.73 Aa | 7.04 ± 0.08 Ab | 8.68 ± 0.17 Aa | 6.56 ± 0.14 Bb | 6.73 ± 0.34 Ab | 8.74 ± 0.15 Aa | 6.02 ± 0.08 Bb | 7.84 ± 0.55 Aa | 7.73 ± 0.03 Aa | 6.61 ± 0.13 Bb | 4.80 ± 0.19 Bc | 8.44 ± 0.08 Aa |
| C22:2 | 1.70 ± 0.30 | 1.27 ± 0.02 | 1.41 ± 0.08 | 1.23 ± 0.01 | 1.28 ± 0.06 | 1.52 ± 0.06 | 1.37 ± 0.02 | 1.69 ± 0.17 | 1.40 ± 0.03 | 1.40 ± 0.04 | 1.22 ± 0.03 | 1.44 ± 0.04 |
| C22:4 | 5.23 ± 0.60 ABa | 4.43 ± 0.14 Ba | 4.57 ± 0.20 Ba | 3.76 ± 0.03 Bb | 4.50 ± 0.22 Ba | 5.00 ± 0.08 Ba | 4.86 ± 0.07 Ba | 5.74 ± 0.78 Aa | 4.95 ± 0.03 Ba | 6.56 ± 0.13 Aab | 4.18 ± 0.19 Ba | 7.85 ± 0.13 Aa |
| C22:5 | 103.11 ± 4.54 Aa | 89.21 ± 0.94 Ab | 84.87 ± 1.83 Bb | 65.88 ± 0.50 Bb | 78.44 ± 2.99 Bb | 91.64 ± 1.93 ABa | 63.51 ± 0.95 Bb | 92.99 ± 11.63 Aa | 80.92 ± 0.67 Ba | 71.76 ± 2.01 Bb | 51.52 ± 2.37 Cc | 101.43 ± 2.37 Aa |
| C22:6 | 719.14 ± 12.33 Aa | 576.17 ± 20.14 Ab | 503.88 ± 17.14 Ab | 387.55 ± 12.70 Bb | 365.44 ± 9.55 Bb | 449.88 ± 15.43 ABa | 330.89 ± 2.48 Bb | 468.11 ± 57.17 Aa | 409.77 ± 8.21 Ba | 301.14 ± 8.53 Bb | 217.91 ± 9.30 Cb | 448.93 ± 13.90 ABa |
| C23:0 | 2.20 ± 0.07 Aa | 1.66 ± 0.06 Aa | 1.91 ± 0.03 Aa | 1.44 ± 0.05 ABa | 1.20 ± 0.01 Aa | 1.64 ± 0.09 Aa | 1.21 ± 0.01 Ba | 1.55 ± 0.10 Aa | 1.32 ± 0.03 Aa | 1.76 ± 0.04 ABa | 1.16 ± 0.06 Ab | 1.71 ± 0.03 Aa |
| C24:0 | 3.27 ± 0.37 A | 2.49 ± 0.09 B | 3.29 ± 0.19 A | 2.82 ± 0.04 A | 2.94 ± 0.20 B | 3.83 ± 0.08 A | 3.28 ± 0.03 A | 4.04 ± 0.38 A | 3.26 ± 0.07 A | 3.72 ± 0.11 A | 2.17 ± 0.09 B | 5.12 ± 0.14 A |
| C24:1 | 12.59 ± 1.56 Aa | 9.09 ± 0.29 ABa | 10.50 ± 0.37 Aa | 8.52 ± 0.16 Ba | 8.27 ± 0.28 ABa | 10.06 ± 0.05 Aa | 7.59 ± 0.26 Bb | 11.81 ± 1.43 Aa | 10.14 ± 0.23 Aa | 9.20 ± 0.26 ABab | 6.44 ± 0.28 Bb | 12.20 ± 0.24 Aa |
| ΣSFA | 1494.04 ± 28.01 Aa | 1332.04 ± 45.96 Bb | 1523.49 ± 27.12 Ba | 1299.07 ± 14.57 Bb | 1482.37 ± 56.91 ABab | 1696.96 ± 46.80 ABa | 1230.96 ± 15.00 Bb | 1708.45 ± 173.35 Aa | 1553.16 ± 45.87 Ba | 1542.40 ± 23.08 Aa | 1125.91 ± 25.68 Cb | 1874.47 ± 22.48 Aa |
| ΣMUFA | 2626.28 ± 170.89 Aa | 2246.75 ± 48.62 Aa | 2758.62 ± 122.08 Aa | 2278.82 ± 99.14 ABa | 2447.33 ± 82.87 Aa | 2597.33 ± 160.46 Ba | 1888.36 ± 118.81 Bb | 2424.54 ± 215.15 Aa | 2270.49 ± 66.82 Cab | 2316.60 ± 107.97 Aa | 1852.27 ± 43.16 Bb | 2539.36 ± 72.65 Ba |
| ΣPUFA | 2015.08 ± 44.74 Aa | 1705.33 ± 44.92 Bb | 1799.70 ± 55.42 Bb | 1438.92 ± 4.79 Bb | 1654.39 ± 79.22 Bb | 2022.25 ± 32.67 ABa | 1432.50 ± 16.45 Bb | 2015.11 ± 229.34 Aa | 1757.98 ± 26.64 Bab | 1701.17 ± 39.53 ABb | 1244.75 ± 42.51 Cc | 2190.00 ± 34.67 Aa |
Disclaimer/Publisher’s Note: The statements, opinions and data contained in all publications are solely those of the individual author(s) and contributor(s) and not of MDPI and/or the editor(s). MDPI and/or the editor(s) disclaim responsibility for any injury to people or property resulting from any ideas, methods, instructions or products referred to in the content. |
© 2024 by the authors. Licensee MDPI, Basel, Switzerland. This article is an open access article distributed under the terms and conditions of the Creative Commons Attribution (CC BY) license (https://creativecommons.org/licenses/by/4.0/).
Share and Cite
Mang, Q.; Gao, J.; Li, Q.; Sun, Y.; Xu, G.; Xu, P. Probiotics Enhance Coilia nasus Growth Performance and Nutritional Value by Regulating Glucolipid Metabolism via the Gut–Liver Axis. Int. J. Mol. Sci. 2024, 25, 12196. https://doi.org/10.3390/ijms252212196
Mang Q, Gao J, Li Q, Sun Y, Xu G, Xu P. Probiotics Enhance Coilia nasus Growth Performance and Nutritional Value by Regulating Glucolipid Metabolism via the Gut–Liver Axis. International Journal of Molecular Sciences. 2024; 25(22):12196. https://doi.org/10.3390/ijms252212196
Chicago/Turabian StyleMang, Qi, Jun Gao, Quanjie Li, Yi Sun, Gangchun Xu, and Pao Xu. 2024. "Probiotics Enhance Coilia nasus Growth Performance and Nutritional Value by Regulating Glucolipid Metabolism via the Gut–Liver Axis" International Journal of Molecular Sciences 25, no. 22: 12196. https://doi.org/10.3390/ijms252212196
APA StyleMang, Q., Gao, J., Li, Q., Sun, Y., Xu, G., & Xu, P. (2024). Probiotics Enhance Coilia nasus Growth Performance and Nutritional Value by Regulating Glucolipid Metabolism via the Gut–Liver Axis. International Journal of Molecular Sciences, 25(22), 12196. https://doi.org/10.3390/ijms252212196
