Relationships Among Origin, Genotype, and Oenological Traits of Brettanomyces Yeasts
Abstract
1. Introduction
2. Results
2.1. Biotyping of Brettanomyces spp.
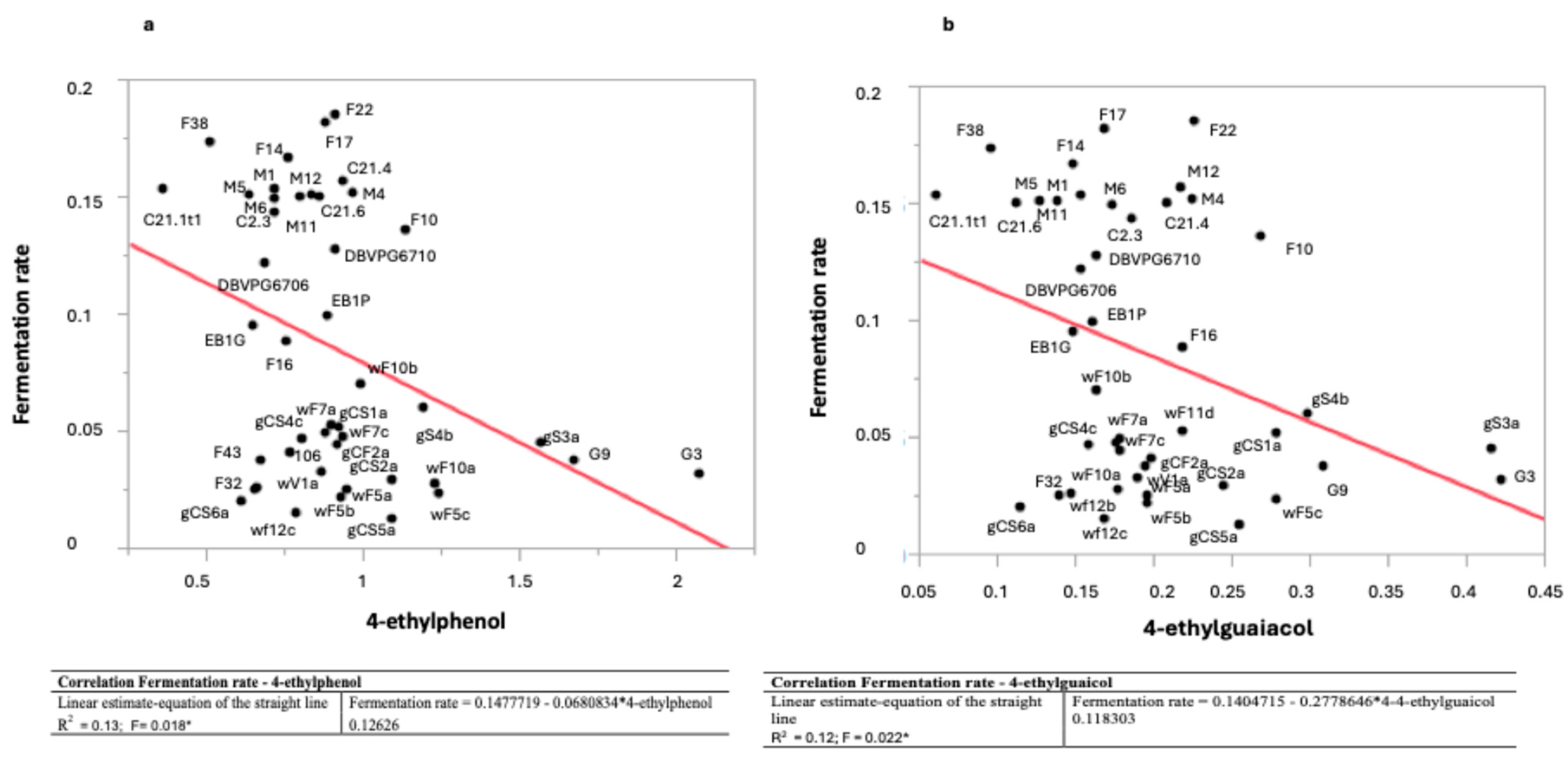
2.2. Analysis of Oenological Parameters
2.3. Relationship Among Oenological Characters and Multiparametric Evaluations
3. Discussion
4. Materials and Methods
4.1. Yeast Strains and Media
4.2. Molecular Identification and Biotyping
4.3. Microfermentation Trials
4.4. Fermentation Parameters and Analytical Compounds
4.5. Statistical Analysis
5. Conclusions
Supplementary Materials
Author Contributions
Funding
Institutional Review Board Statement
Data Availability Statement
Conflicts of Interest
References
- Schifferdecker, A.J.; Dashko, S.; Ishchuk, O.P.; Piškur, J. The wine and beer yeast Dekkera bruxellensis. Yeast 2014, 31, 323–332. [Google Scholar] [CrossRef] [PubMed]
- Smith, B.D.; Divol, B. Brettanomyces bruxellensis, a survivalist prepared for the wine apocalypse and other beverages. Food Microbiol. 2016, 59, 161–175. [Google Scholar] [CrossRef] [PubMed]
- Ciani, M.; Ferraro, L. Role of Oxygen on Acetic Acid Production by Brettanomyces/Dekkera in Winemaking. J. Sci. Food Agric. 1997, 75, 489–495. [Google Scholar] [CrossRef]
- Satora, P.; Pater, A. The Influence of Different Non-Conventional Yeasts on the Odour-Active Compounds of Produced Beers. Appl. Sci. 2023, 13, 2872. [Google Scholar] [CrossRef]
- Wedral, D.; Shewfelt, R.; Frank, J. The challenge of Brettanomyces in wine. LWT Food Sci. Technol. 2010, 43, 1474–1479. [Google Scholar] [CrossRef]
- Malfeito-Ferreira, M. Two Decades of “Horse Sweat” Taint and Brettanomyces Yeasts in Wine: Where do We Stand Now? Beverages 2018, 4, 32. [Google Scholar] [CrossRef]
- Woolfit, M.; Rozpędowska, E.; Piškur, J.; Wolfe, K.H. Genome Survey Sequencing of the Wine Spoilage Yeast Dekkera (Brettanomyces) bruxellensis. Eukaryot. Cell 2007, 6, 721–733. [Google Scholar] [CrossRef]
- Agnolucci, M.; Rea, F.; Sbrana, C.; Cristani, C.; Fracassetti, D.; Tirelli, A.; Nuti, M. Sulphur dioxide affects culturability and volatile phenol production by Brettanomyces/Dekkera bruxellensis. Int. J. Food Microbiol. 2010, 143, 76–80. [Google Scholar] [CrossRef]
- Romano, A.; Perello, M.; de Revel, G.; Lonvaud-Funel, A. Growth and volatile compound production by Brettanomyces/Dekkera bruxellensis in red wine. J. Appl. Microbiol. 2008, 104, 1577–1585. [Google Scholar] [CrossRef]
- Barata, A.; Caldeira, J.; Botelheiro, R.; Pagliara, D.; Malfeito-Ferreira, M.; Loureiro, V. Survival patterns of Dekkera bruxellensis in wines and inhibitory effect of sulphur dioxide. Int. J. Food Microbiol. 2008, 121, 201–207. [Google Scholar] [CrossRef][Green Version]
- Guzzon, R.; Larcher, R.; Guarcello, R.; Francesca, N.; Settanni, L.; Moschetti, G. Spoilage potential of brettanomyces bruxellensis strains isolated from Italian wines. Food Res. Int. 2018, 105, 668–677. [Google Scholar] [CrossRef] [PubMed]
- Le Montagner, P.; Bakhtiar, Y.; Miot-Sertier, C.; Guilbaud, M.; Albertin, W.; Moine, V.; Dols-Lafargue, M.; Masneuf-Pomarède, I. Effect of abiotic and biotic factors on Brettanomyces bruxellensis bioadhesion properties. Food Microbiol. 2024, 120, 104480. [Google Scholar] [CrossRef] [PubMed]
- Pinto, L.; Baruzzi, F.; Cocolin, L.; Malfeito-Ferreira, M. Emerging technologies to control Brettanomyces spp. in wine: Recent advances and future trends. Trends Food Sci. Technol. 2020, 99, 88–100. [Google Scholar] [CrossRef]
- Steensels, J.; Daenen, L.; Malcorps, P.; Derdelinckx, G.; Verachtert, H.; Verstrepen, K.J. Brettanomyces yeasts—From spoilage organisms to valuable contributors to industrial fermentations. Int. J. Food Microbiol. 2015, 206, 24–38. [Google Scholar] [CrossRef] [PubMed]
- Borneman, A.R.; Zeppel, R.; Chambers, P.J.; Curtin, C.D. Insights into the Dekkera bruxellensis Genomic Landscape: Comparative Genomics Reveals Variations in Ploidy and Nutrient Utilisation Potential amongst Wine Isolates. PLoS Genet. 2014, 10, e1004161. [Google Scholar] [CrossRef]
- Crauwels, S.; Zhu, B.; Steensels, J.; Busschaert, P.; De Samblanx, G.; Marchal, K.; Willems, K.A.; Verstrepen, K.J.; Lievens, B. Assessing Genetic Diversity among Brettanomyces Yeasts by DNA Fingerprinting and Whole-Genome Sequencing. Appl. Environ. Microbiol. 2014, 80, 4398–4413. [Google Scholar] [CrossRef]
- Curtin, C.D.; Borneman, A.R.; Chambers, P.J.; Pretorius, I.S. De-Novo Assembly and Analysis of the Heterozygous Triploid Genome of the Wine Spoilage Yeast Dekkera bruxellensis AWRI1499. PLoS ONE 2012, 7, e33840. [Google Scholar] [CrossRef]
- Fournier, T.; Gounot, J.-S.; Freel, K.; Cruaud, C.; Lemainque, A.; Aury, J.-M.; Wincker, P.; Schacherer, J.; Friedrich, A. High-Quality de Novo Genome Assembly of the Dekkera bruxellensis Yeast Using Nanopore MinION Sequencing. G3 Genes|Genomes|Genetics 2017, 7, 3243–3250. [Google Scholar] [CrossRef]
- Olsen, R.-A.; Bunikis, I.; Tiukova, I.; Holmberg, K.; Lötstedt, B.; Pettersson, O.V.; Passoth, V.; Käller, M.; Vezzi, F. De novo assembly of Dekkera bruxellensis: A multi technology approach using short and long-read sequencing and optical mapping. Gigascience 2015, 4, 56. [Google Scholar] [CrossRef]
- Piškur, J.; Ling, Z.; Marcet-Houben, M.; Ishchuk, O.P.; Aerts, A.; LaButti, K.; Copeland, A.; Lindquist, E.; Barry, K.; Compagno, C.; et al. The genome of wine yeast Dekkera bruxellensis provides a tool to explore its food-related properties. Int. J. Food Microbiol. 2012, 157, 202–209. [Google Scholar] [CrossRef]
- Hellborg, L.; Piškur, J. Complex Nature of the Genome in a Wine Spoilage Yeast, Dekkera bruxellensis. Eukaryot. Cell 2009, 8, 1739–1749. [Google Scholar] [CrossRef] [PubMed]
- Campolongo, S.; Rantsiou, K.; Giordano, M.; Gerbi, V.; Cocolin, L. Prevalence and Biodiversity of Brettanomyces bruxellensis in Wine from Northwestern Italy. Am. J. Enol. Vitic. 2010, 61, 486–491. [Google Scholar] [CrossRef]
- Conterno, L.; Joseph, C.L.; Arvik, T.J.; Henick-Kling, T.; Bisson, L.F. Genetic and Physiological Characterization of Brettanomyces bruxellensis Strains Isolated from Wines. Am. J. Enol. Vitic. 2006, 57, 139–147. [Google Scholar] [CrossRef]
- Crauwels, S.; Van Opstaele, F.; Jaskula-Goiris, B.; Steensels, J.; Verreth, C.; Bosmans, L.; Paulussen, C.; Herrera-Malaver, B.; de Jonge, R.; De Clippeleer, J.; et al. Fermentation assays reveal differences in sugar and (off-) flavor metabolism across different Brettanomyces bruxellensis strains. FEMS Yeast Res. 2016, 17. [Google Scholar] [CrossRef]
- Di Toro, M.R.; Capozzi, V.; Beneduce, L.; Alexandre, H.; Tristezza, M.; Durante, M.; Tufariello, M.; Grieco, F.; Spano, G. Intraspecific biodiversity and ‘spoilage potential’ of Brettanomyces bruxellensis in Apulian wines. LWT 2015, 60, 102–108. [Google Scholar] [CrossRef]
- Oelofse, A.; Lonvaud-Funel, A.; du Toit, M. Molecular identification of Brettanomyces bruxellensis strains isolated from red wines and volatile phenol production. Food Microbiol. 2009, 26, 377–385. [Google Scholar] [CrossRef]
- Vigentini, I.; Romano, A.; Compagno, C.; Merico, A.; Molinari, F.; Tirelli, A.; Foschino, R.; Volonterio, G. Physiological and oenological traits of different Dekkera/Brettanomyces bruxellensis strains under wine-model conditions. FEMS Yeast Res. 2008, 8, 1087–1096. [Google Scholar] [CrossRef]
- Harrouard, J. Phenotypic Diversity of Brettanomyces bruxellensis and Adaptation to Fermentation Processes. Ph.D. Thesis, University of Bordeaux, Bordeaux, France, 9 December 2022. [Google Scholar]
- Avramova, M.; Cibrario, A.; Peltier, E.; Coton, M.; Coton, E.; Schacherer, J.; Spano, G.; Capozzi, V.; Blaiotta, G.; Salin, F.; et al. Brettanomyces bruxellensis population survey reveals a diploid-triploid complex structured according to substrate of isolation and geographical distribution. Sci. Rep. 2018, 8, 1–13. [Google Scholar] [CrossRef]
- Hixson, J.L.; Sleep, N.R.; Capone, D.L.; Elsey, G.M.; Curtin, C.D.; Sefton, M.A.; Taylor, D.K. Hydroxycinnamic Acid Ethyl Esters as Precursors to Ethylphenols in Wine. J. Agric. Food Chem. 2012, 60, 2293–2298. [Google Scholar] [CrossRef]
- Madsen, M.G.; Edwards, N.K.; Petersen, M.A.; Mokwena, L.; Swiegers, J.H.; Arneborg, N. Influence of Oenococcus oeni and Brettanomyces bruxellensis on Hydroxycinnamic Acids and Volatile Phenols of Aged Wine. Am. J. Enol. Vitic. 2016, 68, 23–29. [Google Scholar] [CrossRef]
- Romano, D.; Valdetara, F.; Zambelli, P.; Galafassi, S.; De Vitis, V.; Molinari, F.; Compagno, C.; Foschino, R.; Vigentini, I. Cloning the putative gene of vinyl phenol reductase of Dekkera bruxellensis in Saccharomyces cerevisiae. Food Microbiol. 2017, 63, 92–100. [Google Scholar] [CrossRef] [PubMed]
- Zepeda-Mendoza, M.L.; Edwards, N.K.; Madsen, M.G.; Abel-Kistrup, M.; Puetz, L.; Sicheritz-Ponten, T.; Swiegers, J.H. Influence of Oenococcus oeni and Brettanomyces bruxellensis on Wine Microbial Taxonomic and Functional Potential Profiles. Am. J. Enol. Vitic. 2018, 69, 321–333. [Google Scholar] [CrossRef]
- Chandra, M.; Madeira, I.; Coutinho, A.-R.; Albergaria, H.; Malfeito-Ferreira, M. Growth and volatile phenol production by Brettanomyces bruxellensis in different grapevine varieties during fermentation and in finished wine. Eur. Food Res. Technol. 2015, 242, 487–494. [Google Scholar] [CrossRef]
- Cibrario, A.; Avramova, M.; Dimopoulou, M.; Magani, M.; Miot-Sertier, C.; Mas, A.; Portillo, M.C.; Ballestra, P.; Albertin, W.; Masneuf-Pomarede, I.; et al. Brettanomyces bruxellensis wine isolates show high geographical dispersal and long persistence in cellars. PLoS ONE 2019, 14, e0222749. [Google Scholar] [CrossRef] [PubMed]
- Dias, L.; Pereira-Da-Silva, S.; Tavares, M.; Malfeito-Ferreira, M.; Loureiro, V. Factors affecting the production of 4-ethylphenol by the yeast Dekkera bruxellensis in enological conditions. Food Microbiol. 2003, 20, 377–384. [Google Scholar] [CrossRef]
- Zhu, L.; Zhang, Y.; Lu, J. Phenolic Contents and Compositions in Skins of Red Wine Grape Cultivars among Various Genetic Backgrounds and Originations. Int. J. Mol. Sci. 2012, 13, 3492–3510. [Google Scholar] [CrossRef]
- Lentz, M.; Harris, C. Analysis of Growth Inhibition and Metabolism of Hydroxycinnamic Acids by Brewing and Spoilage Strains of Brettanomyces Yeast. Foods 2015, 4, 581–593. [Google Scholar] [CrossRef]
- Richard, P.; Viljanen, K.; Penttilä, M. Overexpression of PAD1 and FDC1 results in significant cinnamic acid decarboxylase activity in Saccharomyces cerevisiae. AMB Express 2015, 5, 1–5. [Google Scholar] [CrossRef]
- Renouf, V.; Lonvaud-Funel, A.; Coulon, J. The origin of Brettanomyces bruxellensis in wines: A review. OENO One 2007, 41, 161–173. [Google Scholar] [CrossRef]
- Nishino, H.; Miyazaki, S.; Tohjo, K. Effect of Osmotic Pressure on the Growth Rate and Fermentation Activity of Wine Yeasts. Am. J. Enol. Vitic. 1985, 36, 170–174. [Google Scholar] [CrossRef]
- Nardi, T.; Remize, F.; Alexandre, H. Adaptation of yeasts Saccharomyces cerevisiae and Brettanomyces bruxellensis to winemaking conditions: A comparative study of stress genes expression. Appl. Microbiol. Biotechnol. 2010, 88, 925–937. [Google Scholar] [CrossRef] [PubMed]
- Oro, L.; Canonico, L.; Marinelli, V.; Ciani, M.; Comitini, F. Occurrence of Brettanomyces bruxellensis on Grape Berries and in Related Winemaking Cellar. Front. Microbiol. 2019, 10, 415. [Google Scholar] [CrossRef] [PubMed]
- Stringini, M.; Comitini, F.; Taccari, M.; Ciani, M. Yeast diversity during tapping and fermentation of palm wine from Cameroon. Food Microbiol. 2009, 26, 415–420. [Google Scholar] [CrossRef] [PubMed]
- Kurtzman, C.P.; Robnett, C.J. Identification and phylogeny of ascomycetous yeasts from analysis of nuclear large subunit (26S) ribosomal DNA partial sequences. Antonie Van Leeuwenhoek 1998, 73, 331–371. [Google Scholar] [CrossRef] [PubMed]
- Canonico, L.; Comitini, F.; Ciani, M. TdPIR minisatellite fingerprinting as a useful new tool for Torulaspora delbrueckii molecular typing. Int. J. Food Microbiol. 2015, 200, 47–51. [Google Scholar] [CrossRef]
- Regulation 2000/2870; Community Reference Methods for the Analysis of Spirits Drinks. European Commission: Brussels, Belgium, 2000.
- Canonico, L.; Agarbati, A.; Galli, E.; Comitini, F.; Ciani, M. Biocontrol Using Torulaspora delbrueckii in Sequential Fermentation: New Insights into Low-Sulfite Verdicchio Wines. Foods 2023, 12, 2899. [Google Scholar] [CrossRef]
cluster 1;
cluster 2;
cluster 3; and
cluster 4.
cluster 1;
cluster 2;
cluster 3; and
cluster 4.


| CLUSTER | Fermentation Rate gCO2/Day * | Theoretical Ethanol (% v/v) | Volatile Acidity (mg/L) | 4-ethyl Phenol (mg/L) | 4-ethyl Guaiacol (mg/L) |
|---|---|---|---|---|---|
| Cluster 1 | 0.042 ± 0.025 b | 8.59 ± 2.06 ab | 1.214 ± 0.591 c | 0.957 ± 0.251 a | 0.208 ± 0.075 a |
| Cluster 2 | 0.126 ± 0.053 a | 8.38 ± 1.49 ab | 0.898 ± 0.349 c | 0.727 ± 0.255 a | 0.146 ± 0.070 b |
| Cluster 3 | 0.120 ± 0.056 a | 9.30 ± 2.13 a | 1.436 ± 0.697 b | 0.907 ± 0.435 a | 0.194 ± 0.086 ab |
| Cluster 4 | 0.116 ± 0.00 a | 8.17 ± 0.00 b | 1.865 ± 0.000 a | 0.713 ± 0.00 a | 0.178 ± 0.000 ab |
| Environment | Fermentation Rate gCO2/Day * | Theoretical Ethanol (% v/v) | Volatile Acidity (mg/L) | 4-ethyl Phenol (mg/L) | 4-ethyl Guaiacol (mg/L) |
|---|---|---|---|---|---|
| Vicarello (Tuscany 1, Italy) | 0.039 ± 0.015 c | 8.68 ± 1.90 ab | 1.02 ± 0.52 a | 0.960 ± 0.220 b | 0.206 ± 0.073 b |
| Spontaneous fermentation (DBVPG) | 0.125 ± 0.005 ab | 8.56 ± 0.76 ab | 1.88 ± 0.29 a | 0.740 ± 0.230 b | 0.157 ± 0.007 b |
| CAMEROON | 0.151 ± 0.006 a | 7.52 ± 0.93 ab | 1.32 ± 0.69 a | 0.727 ± 0.255 b | 0.143 ± 0.071 b |
| Winery (Italy, Marche region) | 0.151 ± 0.001 a | 9.25 ± 0.46 ab | 1.07 ± 0.23 a | 0.781 ± 0.106 b | 0.169 ± 0.039 b |
| Red wine (Italy, Lombardy) | 0.097 ± 0.003 b | 7.13 ± 0.35 b | 1.63 ± 0.46 a | 0.762 ± 0.167 b | 0.153 ± 0.009 b |
| Gueze Beer (Belgium) | 0.035 ± 0.005 c | 8.58 ± 1.59 ab | 1.59 ± 0.84 a | 2.170 ± 0.069 a | 0.364 ± 0.081 a |
| Winery (Italy, Tuscany 2, Chianti) | 0.125 ± 0.066 ab | 10.11 ± 1.772 a | 1.53 ± 0.89 a | 0.787 ± 0.199 b | 0.187 ± 0.046 b |
| Strain Code | Specie | Source of Isolation |
|---|---|---|
| M1 | B. bruxellensis | Winery (Italy, Marche region) |
| M4 | B. bruxellensis | |
| M5 | B. bruxellensis | |
| M6 | B. bruxellensis | |
| M11 | B. bruxellensis | |
| M12 | B. bruxellensis | |
| C2.3 | B. bruxellensis | Cameroon (isolated from Corrosol) |
| C 21.4 | B. anomalus | Cameroon (isolated from Cocoa seeds) |
| C 21.6 | B. anomalus | |
| C 21.1 t1 | B. anomalus | |
| EB1G | B. bruxellensis | Red wine (Italy, Lombardy) |
| EB1P | B. bruxellensis | |
| F6 | B. bruxellensis | Winery (Italy, Tuscany 2, Chianti) |
| F10 | B. bruxellensis | |
| F14 | B. bruxellensis | |
| F17 | B. bruxellensis | |
| F22 | B. bruxellensis | |
| F32 | B. bruxellensis | |
| F38 | B. bruxellensis | |
| F42 | B. bruxellensis | |
| G3 | B. bruxellensis | Gueze beer (Belgium) |
| G9 | B. bruxellensis | |
| DBVPG 6710 | B. bruxellensis | Spontaneous fermentation (DBVPG) |
| DBVPG 6706 | B. bruxellensis | |
| gCS1a | B. bruxellensis | (Tuscany 1, Italy) grape surface and winery |
| gCS2a | B. bruxellensis | |
| gCS5a | B. bruxellensis | |
| gCS6a | B. bruxellensis | |
| gS4b | B. bruxellensis | |
| gS4c | B. bruxellensis | |
| gS3a | B. bruxellensis | |
| gCF2a | B. bruxellensis | |
| wF5a | B. bruxellensis | |
| wF5b | B. bruxellensis | |
| wF5c | B. bruxellensis | |
| wF7a | B. bruxellensis | |
| wF7c | B. bruxellensis | |
| wF9a | B. bruxellensis | |
| wF10a | B. bruxellensis | |
| wF10b | B. bruxellensis | |
| wF11d | B. bruxellensis | |
| wF12b | B. bruxellensis | |
| wF12c | B. bruxellensis | |
| wV1a | B. bruxellensis |
Disclaimer/Publisher’s Note: The statements, opinions and data contained in all publications are solely those of the individual author(s) and contributor(s) and not of MDPI and/or the editor(s). MDPI and/or the editor(s) disclaim responsibility for any injury to people or property resulting from any ideas, methods, instructions or products referred to in the content. |
© 2024 by the authors. Licensee MDPI, Basel, Switzerland. This article is an open access article distributed under the terms and conditions of the Creative Commons Attribution (CC BY) license (https://creativecommons.org/licenses/by/4.0/).
Share and Cite
Canonico, L.; Agarbati, A.; Comitini, F.; Ciani, M. Relationships Among Origin, Genotype, and Oenological Traits of Brettanomyces Yeasts. Int. J. Mol. Sci. 2024, 25, 11781. https://doi.org/10.3390/ijms252111781
Canonico L, Agarbati A, Comitini F, Ciani M. Relationships Among Origin, Genotype, and Oenological Traits of Brettanomyces Yeasts. International Journal of Molecular Sciences. 2024; 25(21):11781. https://doi.org/10.3390/ijms252111781
Chicago/Turabian StyleCanonico, Laura, Alice Agarbati, Francesca Comitini, and Maurizio Ciani. 2024. "Relationships Among Origin, Genotype, and Oenological Traits of Brettanomyces Yeasts" International Journal of Molecular Sciences 25, no. 21: 11781. https://doi.org/10.3390/ijms252111781
APA StyleCanonico, L., Agarbati, A., Comitini, F., & Ciani, M. (2024). Relationships Among Origin, Genotype, and Oenological Traits of Brettanomyces Yeasts. International Journal of Molecular Sciences, 25(21), 11781. https://doi.org/10.3390/ijms252111781

