Discovery of Kuraridin as a Potential Natural Anti-Melanogenic Agent: Focusing on Specific Target Genes and Multidirectional Signaling Pathways
Abstract
1. Introduction
2. Results
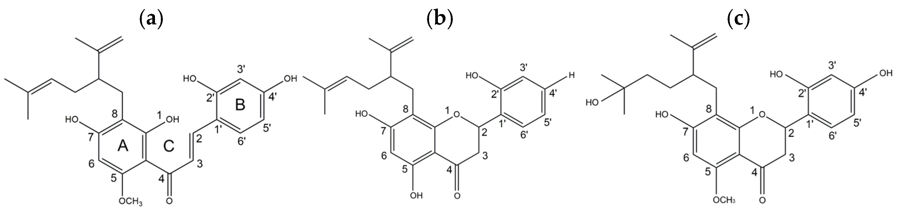
2.1. Anti-Tyrosinase Activities of Kuraridin, Kushenol A, and Kurarinol with L-Tyrosine and L-DOPA Substrates
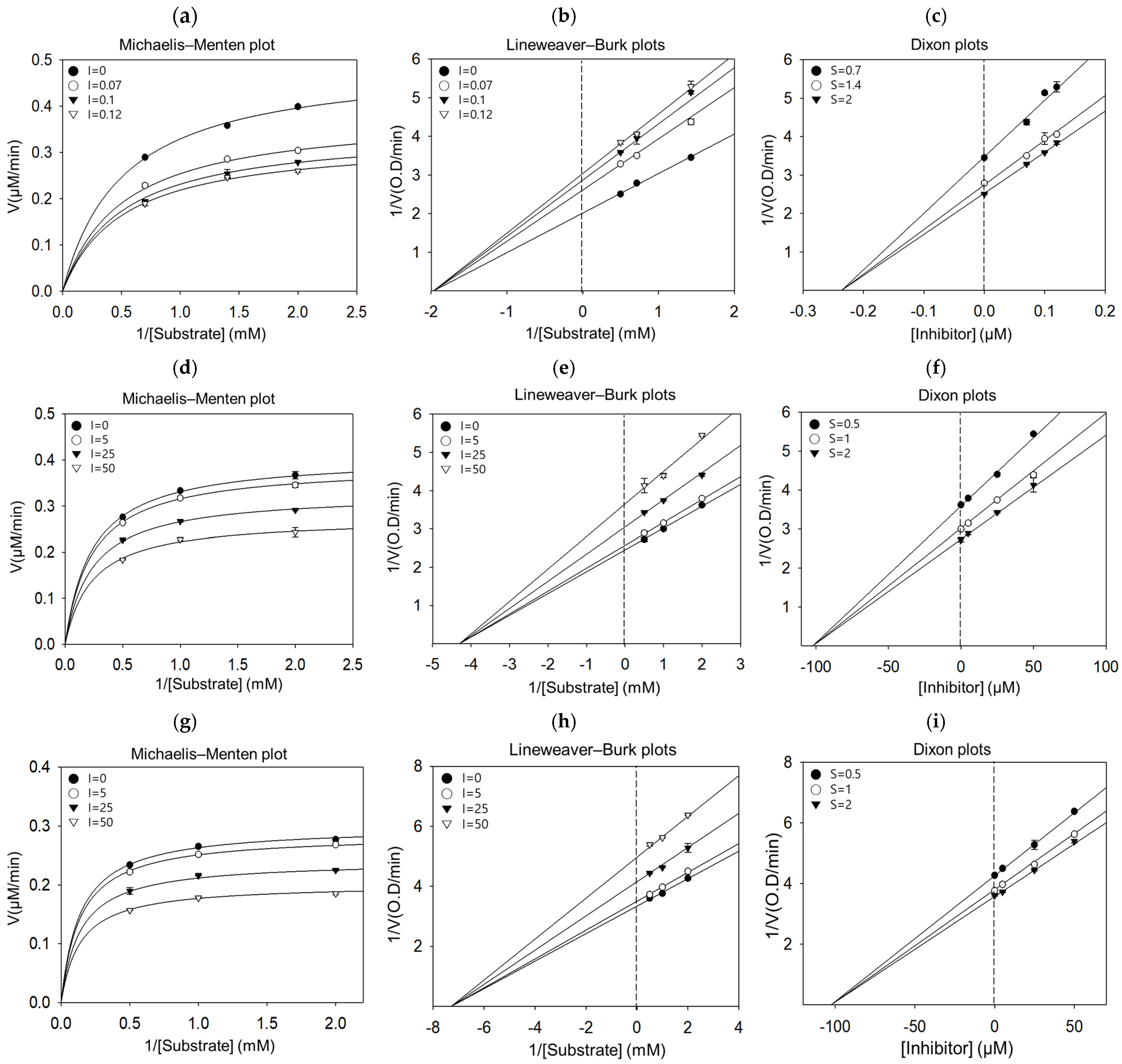
2.2. Enzyme Kinetic Analysis of Prenylated Flavonoids Against Tyrosinase
2.3. Pharmacokinetic Profiles of Prenylated Flavonoids for Bioavailability
2.4. Inhibitory Effect of Kuraridin on Melanogenesis in B16F10 Cell
2.5. Anti-Melanogenic Effect of Kuraridin in 3D Human Skin Model
2.6. Targets of Kuraridin on Anti-Melanogenesis Using Network Pharmacology
2.7. Molecular Docking Validation of Kuraridin
3. Discussion
4. Materials and Methods
4.1. Chemicals
4.2. Tyrosinase Activity Assay
4.3. Kinetic Analysis
4.4. In Silico Skin Bioavailability and Molecular Docking Simulation
4.5. In Silico Network Pharmacology Analysis
4.6. Cell Culture and Cell Viability
4.7. In Cellular Melanin Content Analysis
4.8. Evaluation of Cellular Tyrosinase Activity
4.9. Ex Vivo 3D Pigmented Human Skin Model
4.10. Statistical Analysis
5. Conclusions
Author Contributions
Funding
Institutional Review Board Statement
Informed Consent Statement
Data Availability Statement
Conflicts of Interest
Correction Statement
References
- Cichorek, M.; Wachulska, M.; Stasiewicz, A.; Tymińska, A. Skin melanocytes: Biology and development. Postepy Dermatol. Alergol. 2013, 30, 30–41. [Google Scholar] [CrossRef]
- Bonaventure, J.; Domingues, M.J.; Larue, L. Cellular and molecular mechanisms controlling the migration of melanocytes and melanoma cells. Pigment Cell Melanoma Res. 2013, 26, 316–325. [Google Scholar] [CrossRef]
- Naidoo, L.; Khoza, N.; Dlova, N.C. A fairer face, a fairer tomorrow? A review of skin lighteners. Cosmetics 2016, 3, 33. [Google Scholar] [CrossRef]
- Sagoe, D.; Pallesen, S.; Dlova, N.C.; Lartey, M.; Ezzedine, K.; Dadzie, O. The global prevalence and correlates of skin bleaching: A meta-analysis and meta-regression analysis. Int. J. Dermatol. 2019, 58, 24–44. [Google Scholar] [CrossRef]
- Straits Research, Skin Lightening Products Market. Available online: https://straitsresearch.com/report/skin-lightening-products-market (accessed on 29 May 2024).
- Lee, A.Y. Recent progress in melasma pathogenesis. Pigment Cell Melanoma Res. 2015, 28, 648–660. [Google Scholar] [CrossRef]
- Rodríguez, C.I.; Setaluri, V. Cyclic AMP (cAMP) signaling in melanocytes and melanoma. Arch. Biochem. Biophys. 2014, 563, 22–27. [Google Scholar] [CrossRef]
- Halaban, R.; Patton, R.S.; Cheng, E.; Svedine, S.; Trombetta, E.S.; Wahl, M.L.; Ariyan, S.; Hebert, D.N. Abnormal acidification of melanoma cells induces tyrosinase retention in the early secretory pathway. J. Biol. Chem. 2002, 277, 14821–14828. [Google Scholar] [CrossRef]
- Singh, B.K.; Park, S.H.; Lee, H.-B.; Goo, Y.-A.; Kim, H.S.; Cho, S.H.; Lee, J.H.; Ahn, G.W.; Kim, J.P.; Kang, S.M.; et al. Kojic Acid Peptide: A new compound with anti-tyrosinase potential. Ann. Dermatol. 2016, 28, 555. [Google Scholar] [CrossRef]
- Garcia-Jimenez, A.; Teruel-Puche, J.A.; Berna, J.; Rodriguez-Lopez, J.N.; Tudela, J.; Garcia-Canovas, F. Action of tyrosinase on alpha and beta-arbutin: A kinetic study. PLoS ONE 2017, 12, e0177330. [Google Scholar] [CrossRef]
- Pillaiyar, T.; Manickam, M.; Namasivayam, V. Skin whitening agents: Medicinal chemistry perspective of tyrosinase inhibitors. J. Enzym. Inhib. Med. Chem. 2017, 32, 403–425. [Google Scholar] [CrossRef]
- He, X.R.; Fang, J.C.; Huang, L.H.; Wang, J.H.; Huang, X.Q. Sophora flavescens Ait.: Traditional usage, phytochemistry and pharmacology of an important traditional Chinese medicine. J. Ethnopharmacol. 2015, 172, 10–29. [Google Scholar] [CrossRef]
- Li, J.; Lin, Y.; He, L.; Ou, R.; Chen, T.; Zhang, X.; Li, Q.; Zeng, Z.; Long, Q. Two New Isoprenoid Flavonoids from Sophora flavescens with Antioxidant and Cytotoxic Activities. Molecules 2021, 26, 7228. [Google Scholar] [CrossRef]
- Boozari, M.; Soltani, S.; Iranshahi, M. Biologically active prenylated flavonoids from the genus Sophora and their structure-activity relationship—A review. Phytother. Res. 2019, 33, 546–560. [Google Scholar] [CrossRef]
- Deri, B.; Kanteev, M.; Goldfeder, M.; Lecina, D.; Guallar, V.; Adir, N.; Fishman, A. The unravelling of the complex pattern of tyrosinase inhibition. Sci. Rep. 2016, 6, 34993. [Google Scholar]
- Obaid, R.J.; Mughal, E.U.; Naeem, N.; Sadiq, A.; Alsantali, R.I.; Jassas, R.S.; Moussa, Z.; Ahmed, S.A. Natural and synthetic flavonoid derivatives as new potential tyrosinase inhibitors: A systematic review. RSC Adv. 2021, 11, 22159–22198. [Google Scholar] [CrossRef]
- Qian, W.; Liu, W.; Zhu, D.; Cao, Y.; Tang, A.; Gong, G.; Su, H. Natural skin-whitening compounds for the treatment of melanogenesis. Exp. Ther. Med. 2020, 20, 173–185. [Google Scholar] [CrossRef]
- Nogales, C.; Mamdouh, Z.M.; List, M.; Kiel, C.; Casas, A.I.; Schmidt, H.H.H.W. Network pharmacology: Curing causal mechanisms instead of treating symptoms. Trends Pharmacol. Sci. 2022, 43, 136–150. [Google Scholar] [CrossRef]
- Xiang, C.; Chen, C.; Li, X.; Wu, Y.; Xu, Q.; Wen, L.; Xiong, W.; Liu, Y.; Zhang, T.; Dou, C.; et al. Computational approach to decode the mechanism of curcuminoids against neuropathic pain. Comput. Biol. Med. 2022, 147, 105739. [Google Scholar] [CrossRef]
- Hearing, V.J. Determination of melanin synthetic pathways. J. Investig. Dermat. 2011, 17, E8–E11. [Google Scholar] [CrossRef]
- Martinez-Anton, A.; Gras, D.; Bourdin, A.; Dubreuil, P.; Chanez, P. KIT as a therapeutic target for non-oncological diseases. Pharmacol. Ther. 2019, 197, 11–37. [Google Scholar] [CrossRef]
- Hu, S.; Chen, Y.; Zhao, B.; Yang, N.; Chen, S.; Shen, J.; Bao, G.; Wu, X. KIT is involved in melanocyte proliferation, apoptosis and melanogenesis in the Rex Rabbit. PeerJ 2020, 8, e9402. [Google Scholar] [CrossRef]
- Ko, G.A.; Cho, S.K. Phytol suppresses melanogenesis through proteasomal degradation of MITF via the ROS-ERK signaling pathway. Chem. Biol. Interact. 2018, 286, 132–140. [Google Scholar] [CrossRef]
- Taofiq, O.; Barreiro, M.F.; Ferreira, I.C.F.R. The role of bioactive compounds and other metabolites from mushrooms against skin disorders—A systematic review assessing their cosmeceutical and nutricosmetic outcomes. Curr. Med. Chem. 2020, 27, 6926–6965. [Google Scholar] [CrossRef]
- Pires, D.E.; Blundell, T.L.; Ascher, D.B. pkCSM: Predicting small-molecule pharmacokinetic and toxicity properties using graph-based signatures. J. Med. Chem. 2015, 58, 4066–4072. [Google Scholar] [CrossRef]












| Compound | IC50 (µM) | Ki (µM) | Inhibition Type | |||
|---|---|---|---|---|---|---|
| L-Tyrosine | L-DOPA | L-Tyrosine | L-DOPA | L-Tyrosine | L-DOPA | |
| Kuraridin | 0.16 | 0.04 | 0.24 | 0.33 | Non-competitive | Competitive |
| Kushenol A | 62.70 | 136.10 | 102.30 | - | Non-competitive | - |
| Kurarinol | 86.92 | 205.30 | 100.60 | - | Non-competitive | - |
| Kojic acid 1 | 23.73 | 21.25 | 1.10 2 | 3.60 2 | Mixed 2 | Mixed 2 |
| Property | Samples | Desired Value | ||
|---|---|---|---|---|
| Kuraridin | Kushenol A | Kurarinol | ||
| Human intestinal absorption (%) | 73.66 | 90.12 | 79.35 | <30% (poorly absorbed) |
| Skin permeability (Log Kp) | −2.73 | −2.74 | −2.73 | Low skin permeability > −2.5 |
| Minnow toxicity | 0.81 | 0.88 | 2.02 | High acute toxicity < −0.3 |
| Skin sensitization | No | No | No | No |
| Mutagenicity | No | No | No | No |
| Hepatotoxicity | No | No | No | No |
| Carcinogenicity | No | No | No | No |
| Genes | Degree | Average Shortest Path Length | Betweenness Centrality | Closeness Centrality |
|---|---|---|---|---|
| PPARG | 12 | 1.333 | 0.255 | 0.750 |
| PTGS2 | 11 | 1.444 | 0.193 | 0.692 |
| KIT | 9 | 1.500 | 0.180 | 0.667 |
| PARP1 | 9 | 1.667 | 0.040 | 0.600 |
| PRKCA | 8 | 1.611 | 0.205 | 0.621 |
| TERT | 7 | 1.722 | 0.027 | 0.581 |
| CDK2 | 6 | 1.833 | 0.005 | 0.546 |
| CDK4 | 6 | 1.889 | 0.003 | 0.529 |
| MAP2K1 | 6 | 1.889 | 0.008 | 0.529 |
| PPARA | 5 | 1.833 | 0.027 | 0.546 |
Disclaimer/Publisher’s Note: The statements, opinions and data contained in all publications are solely those of the individual author(s) and contributor(s) and not of MDPI and/or the editor(s). MDPI and/or the editor(s) disclaim responsibility for any injury to people or property resulting from any ideas, methods, instructions or products referred to in the content. |
© 2024 by the authors. Licensee MDPI, Basel, Switzerland. This article is an open access article distributed under the terms and conditions of the Creative Commons Attribution (CC BY) license (https://creativecommons.org/licenses/by/4.0/).
Share and Cite
Jeon, S.; Youn, K.; Jun, M. Discovery of Kuraridin as a Potential Natural Anti-Melanogenic Agent: Focusing on Specific Target Genes and Multidirectional Signaling Pathways. Int. J. Mol. Sci. 2024, 25, 11227. https://doi.org/10.3390/ijms252011227
Jeon S, Youn K, Jun M. Discovery of Kuraridin as a Potential Natural Anti-Melanogenic Agent: Focusing on Specific Target Genes and Multidirectional Signaling Pathways. International Journal of Molecular Sciences. 2024; 25(20):11227. https://doi.org/10.3390/ijms252011227
Chicago/Turabian StyleJeon, Subin, Kumju Youn, and Mira Jun. 2024. "Discovery of Kuraridin as a Potential Natural Anti-Melanogenic Agent: Focusing on Specific Target Genes and Multidirectional Signaling Pathways" International Journal of Molecular Sciences 25, no. 20: 11227. https://doi.org/10.3390/ijms252011227
APA StyleJeon, S., Youn, K., & Jun, M. (2024). Discovery of Kuraridin as a Potential Natural Anti-Melanogenic Agent: Focusing on Specific Target Genes and Multidirectional Signaling Pathways. International Journal of Molecular Sciences, 25(20), 11227. https://doi.org/10.3390/ijms252011227

