High-Throughput Luminescence-Based Serum Bactericidal Assay Optimization and Characterization to Assess Human Sera Functionality Against Multiple Shigella flexneri Serotypes
Abstract
1. Introduction
2. Results
2.1. Setup of L-SBA Conditions on Human Sera Against S. flexneri 4a, 5b, 6, X, and Y Strains
2.2. Optimization of L-SBA on Human Sera Against S. flexneri 1b and 3a
2.3. L-SBA Characterization Against S. flexneri Serotypes
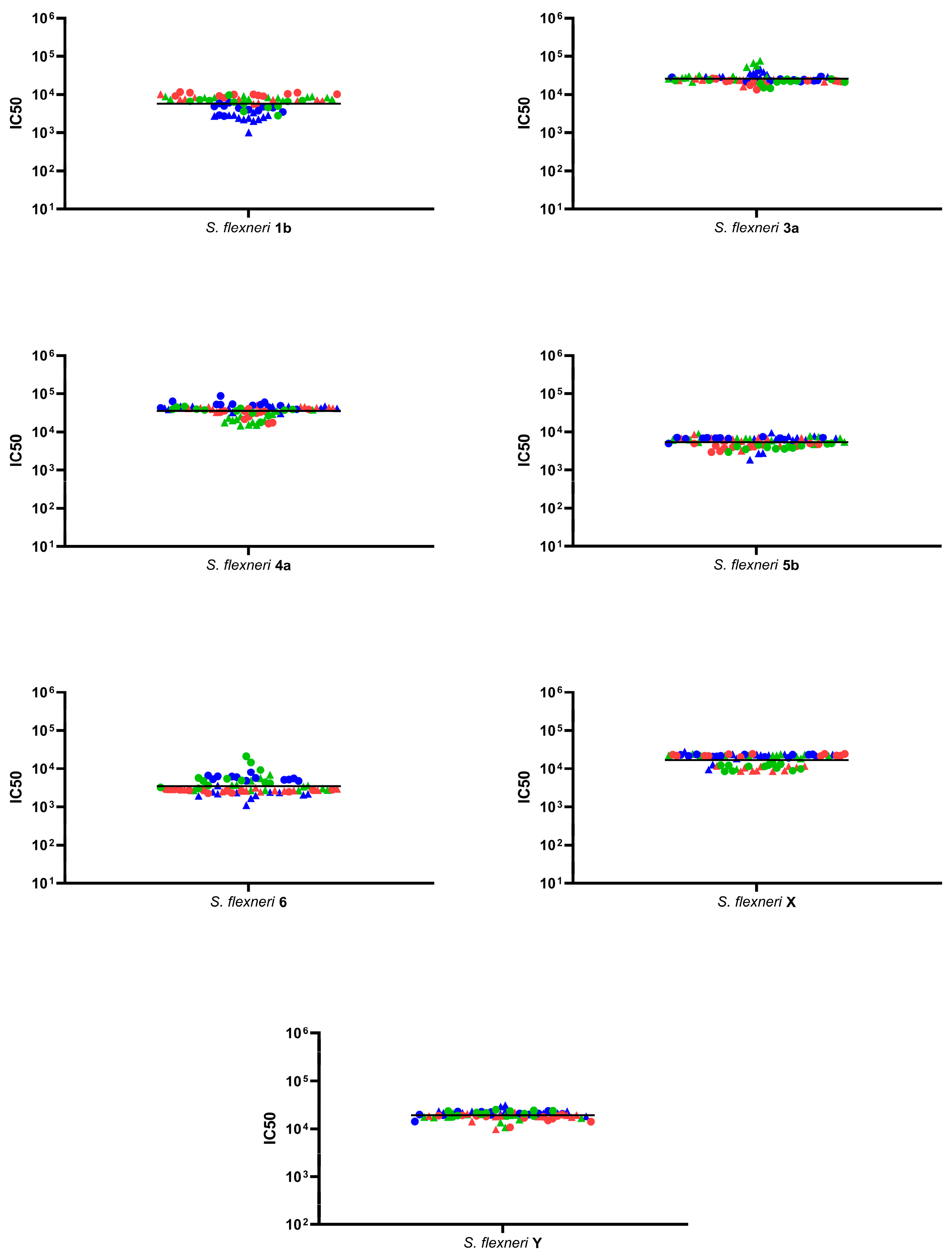
2.3.1. Precision
2.3.2. Linearity
2.3.3. Specificity
2.3.4. Limit of Detection (LoD) and Limit of Quantification (LoQ)
3. Discussion
4. Materials and Methods
4.1. Bacterial Strains and Reagents
4.2. Serum Samples
4.3. Luminescence-Based SBA
4.4. Calculations
4.5. Precision
4.6. Linearity
4.7. Specificity
4.8. Limit of Detection and Limit of Quantification Assessment
4.9. Statistical Analysis
5. Conclusions
Author Contributions
Funding
Institutional Review Board Statement
Informed Consent Statement
Data Availability Statement
Acknowledgments
Conflicts of Interest
References
- Black, R.E.; Perin, J.; Yeung, D.; Rajeev, T.; Miller, J.; Elwood, S.E.; Platts-Mills, J.A. Estimated global and regional causes of deaths from diarrhoea in children younger than 5 years during 2000–21: A systematic review and Bayesian multinomial analysis. Lancet Glob. Health 2024, 12, e919–e928. [Google Scholar] [CrossRef] [PubMed]
- Yassine, I.; Lefèvre, S.; Hansen, E.E.; Ruckly, C.; Carle, I.; Lejay-Collin, M.; Fabre, L.; Rafei, R.; Clermont, D.; de la Gandara, M.P.; et al. Population structure analysis and laboratory monitoring of Shigella by core-genome multilocus sequence typing. Nat. Commun. 2022, 13, 1–14. [Google Scholar] [CrossRef] [PubMed]
- Sadredinamin, M.; Yazdansetad, S.; Alebouyeh, M.; Yazdi, M.M.K.; Ghalavand, Z. Shigella flexneri Serotypes: O-antigen Structure, Serotype Conversion, and Serotyping Methods. Oman Med. J. 2023, 38, e522. [Google Scholar] [CrossRef] [PubMed]
- Kotloff, K.L.; Riddle, M.S.; A Platts-Mills, J.; Pavlinac, P.; Zaidi, A.K.M. Shigellosis. Lancet 2018, 391, 801–812. [Google Scholar] [CrossRef]
- Zaidi, M.B.; Estrada-García, T. Shigella: A Highly Virulent and Elusive Pathogen. Curr. Trop. Med. Rep. 2014, 1, 81–87. [Google Scholar] [CrossRef]
- Hausdorff, W.P.; Anderson, J.D.; Bagamian, K.H.; Bourgeois, A.L.; Mills, M.; Sawe, F.; Scheele, S.; Talaat, K.; Giersing, B.K. Vaccine value profile for Shigella. Vaccine 2023, 41, S76–S94. [Google Scholar] [CrossRef]
- Troeger, C.; Colombara, D.V.; Rao, P.C.; Khalil, I.A.; Brown, A.; Brewer, T.G.; Guerrant, R.L.; Houpt, E.R.; Kotloff, K.L.; Misra, K.; et al. Global disability-adjusted life-year estimates of long-term health burden and undernutrition attributable to diarrhoeal diseases in children younger than 5 years. Lancet Glob. Health 2018, 6, e255–e269. [Google Scholar] [CrossRef]
- Libby, T.E.; Delawalla, M.L.; Al-Shimari, F.; MacLennan, C.A.; Vannice, K.S.; Pavlinac, P.B. Consequences of Shigella infection in young children: A systematic review. Int. J. Infect. Dis. 2023, 129, 78–95. [Google Scholar] [CrossRef]
- Kasumba, I.N.; Badji, H.; Powell, H.; Hossain, M.J.; Omore, R.; Sow, S.O.; Verani, J.R.; Platts-Mills, J.A.; Widdowson, M.-A.; A Zaman, S.M.; et al. Shigella in Africa: New Insights from the Vaccine Impact on Diarrhea in Africa (VIDA) Study. Clin. Infect. Dis. 2023, 76, S66–S76. [Google Scholar] [CrossRef]
- Bagamian, K.H.; Iv, J.D.A.; Blohm, G.; Scheele, S. Shigella and childhood stunting: Evidence, gaps, and future research directions. PLOS Neglected Trop. Dis. 2023, 17, e0011475. [Google Scholar] [CrossRef]
- Liu, L.; Oza, S.; Hogan, D.; Chu, Y.; Perin, J.; Zhu, J.; Lawn, J.E.; Cousens, S.; Mathers, C.; Black, R.E. Global, regional, and national causes of under-5 mortality in 2000–15: An updated systematic analysis with implications for the Sustainable Development Goals. Lancet 2016, 388, 3027–3035. [Google Scholar] [CrossRef] [PubMed]
- Khalil, I.A.; Troeger, C.; Blacker, B.F.; Rao, P.C.; Brown, A.; Atherly, D.E.; Brewer, T.G.; Engmann, C.M.; Houpt, E.R.; Kang, G.; et al. Morbidity and mortality due to shigella and enterotoxigenic Escherichia coli diarrhoea: The Global Burden of Disease Study 1990–2016. Lancet Infect. Dis. 2018, 18, 1229–1240. [Google Scholar] [CrossRef] [PubMed]
- Salleh, M.Z.; Zuraina, N.M.N.N.; Hajissa, K.; Ilias, M.I.; Singh, K.K.B.; Deris, Z.Z. Prevalence of Multidrug-Resistant and Extended-Spectrum Beta-Lactamase-Producing Shigella Species in Asia: A Systematic Review and Meta-Analysis. Antibiotics 2022, 11, 1653. [Google Scholar] [CrossRef]
- Phiri, A.F.; Abia, A.L.K.; Amoako, D.G.; Mkakosya, R.; Sundsfjord, A.; Essack, S.Y.; Simonsen, G.S. Burden, Antibiotic Resistance, and Clonality of Shigella spp. Implicated in Community-Acquired Acute Diarrhoea in Lilongwe, Malawi. Trop. Med. Infect. Dis. 2021, 6, 63. [Google Scholar] [CrossRef] [PubMed]
- Toro, C.S.; Farfán, M.; Contreras, I.; Flores, O.; Navarro, N.; Mora, G.C.; Prado, V. Genetic analysis of antibiotic-resistance determinants in multidrug-resistant Shigella strains isolated from Chilean children. Epidemiol. Infect. 2004, 133, 81–86. [Google Scholar] [CrossRef]
- Qiu, S.; Wang, Y.; Xu, X.; Li, P.; Hao, R.; Yang, C.; Liu, N.; Li, Z.; Wang, Z.; Wang, J.; et al. Multidrug-Resistant Atypical Variants of Shigella flexneri in China. Emerg. Infect. Dis. 2013, 19, 1147–1150. [Google Scholar] [CrossRef]
- Lefèvre, S.; Njamkepo, E.; Feldman, S.; Ruckly, C.; Carle, I.; Lejay-Collin, M.; Fabre, L.; Yassine, I.; Frézal, L.; de la Gandara, M.P.; et al. Rapid emergence of extensively drug-resistant Shigella sonnei in France. Nat. Commun. 2023, 14, 1–10. [Google Scholar] [CrossRef]
- Gaufin, T.; Blumenthal, J.; Ramirez-Sanchez, C.; Mehta, S.; Pride, D.T.; Fierer, J.; Jenks, J.D. Antimicrobial-Resistant Shigella spp. in San Diego, California, USA, 2017–2020. Emerg. Infect. Dis. 2022, 28, 1110–1116. [Google Scholar] [CrossRef]
- Thorley, K.; Charles, H.; Greig, D.R.; Prochazka, M.; E Mason, L.C.; Baker, K.S.; Godbole, G.; Sinka, K.; Jenkins, C. Emergence of extensively drug-resistant and multidrug-resistant Shigella flexneri serotype 2a associated with sexual transmission among gay, bisexual, and other men who have sex with men, in England: A descriptive epidemiological study. Lancet Infect. Dis. 2023, 23, 732–739. [Google Scholar] [CrossRef]
- Williams, P.C.M.; Isaacs, D.; A Berkley, J. Antimicrobial resistance among children in sub-Saharan Africa. Lancet Infect. Dis. 2017, 18, e33–e44. [Google Scholar] [CrossRef]
- Matanza, X.M.; Clements, A. Pathogenicity and virulence of Shigella sonnei: A highly drug-resistant pathogen of increasing prevalence. Virulence 2023, 14, 2280838. [Google Scholar] [CrossRef] [PubMed]
- Nisa, I.; Qasim, M.; Yasin, N.; Ullah, R.; Ali, A. Shigella flexneri: An emerging pathogen. Folia Microbiol. 2020, 65, 275–291. [Google Scholar] [CrossRef] [PubMed]
- Knirel, Y.A.; Sun, Q.; Senchenkova, S.N.; Perepelov, A.V.; Shashkov, A.S.; Xu, J. O-Antigen modifications providing antigenic diversity of Shigella flexneri and underlying genetic mechanisms. Biochemistry 2015, 80, 901–914. [Google Scholar] [CrossRef] [PubMed]
- Cohen, D.; Meron-Sudai, S.; Bialik, A.; Asato, V.; Goren, S.; Ariel-Cohen, O.; Reizis, A.; Hochberg, A.; Ashkenazi, S. Serum IgG antibodies to Shigella lipopolysaccharide antigens—A correlate of protection against shigellosis. Hum. Vaccines Immunother. 2019, 15, 1401–1408. [Google Scholar] [CrossRef]
- Conti, V.; Rossi, O.; Clarkson, K.A.; Mancini, F.; Nakakana, U.N.; Sarakinou, E.; Callegaro, A.; Ferruzzi, P.; Acquaviva, A.; Arora, A.K.; et al. Putative correlates of protection against shigellosis assessing immunomarkers across responses to S. sonnei investigational vaccine. npj Vaccines 2024, 9, 56. [Google Scholar] [CrossRef]
- Cohen, D.; Ashkenazi, S.; Schneerson, R.; Farzam, N.; Bialik, A.; Meron-Sudai, S.; Asato, V.; Goren, S.; Baran, T.Z.; Muhsen, K.; et al. Threshold protective levels of serum IgG to Shigella lipopolysaccharide: Re-analysis of Shigella vaccine trials data. Clin. Microbiol. Infect. 2022, 29, 366–371. [Google Scholar] [CrossRef]
- Livio, S.; Strockbine, N.A.; Panchalingam, S.; Tennant, S.M.; Barry, E.M.; Marohn, M.E.; Antonio, M.; Hossain, A.; Mandomando, I.; Ochieng, J.B.; et al. Shigella Isolates from the Global Enteric Multicenter Study Inform Vaccine Development. Clin. Infect. Dis. 2014, 59, 933–941. [Google Scholar] [CrossRef]
- World Health Organization. WHO Preferred Product Characteristics for Vaccines Against Shigella; World Health Organization: Geneva, Switzerland, 2021. [Google Scholar]
- Noriega, F.R.; Liao, F.M.; Maneval, D.R.; Ren, S.; Formal, S.B.; Levine, M.M. Strategy for Cross-Protection Among Shigella flexneri Serotypes. Infect. Immun. 1999, 67, 782–788. [Google Scholar] [CrossRef]
- Van De Verg, L.L.; Bendiuk, N.O.; Kotloff, K.; Marsh, M.M.; Puryear, J.L.; Taylor, D.N.; Hartman, A.B. Cross-reactivity of Shigella flexneri serotype 2a O antigen antibodies following immunization or infection. Vaccine 1996, 14, 1062–1068. [Google Scholar] [CrossRef]
- MacLennan, C.A.; Grow, S.; Ma, L.-F.; Steele, A.D. The Shigella Vaccines Pipeline. Vaccines 2022, 10, 1376. [Google Scholar] [CrossRef]
- Rossi, O.; Citiulo, F.; Giannelli, C.; Cappelletti, E.; Gasperini, G.; Mancini, F.; Acquaviva, A.; Raso, M.M.; Sollai, L.; Alfini, R.; et al. A next-generation GMMA-based vaccine candidate to fight shigellosis. npj Vaccines 2023, 8, 130. [Google Scholar] [CrossRef] [PubMed]
- Mancini, F.; Alfini, R.; Caradonna, V.; Monaci, V.; Carducci, M.; Gasperini, G.; Piccioli, D.; Biagini, M.; Giannelli, C.; Rossi, O.; et al. Exploring the Role of GMMA Components in the Immunogenicity of a 4-Valent Vaccine against Shigella. Int. J. Mol. Sci. 2023, 24, 2742. [Google Scholar] [CrossRef] [PubMed]
- Micoli, F.; Nakakana, U.N.; Scorza, F.B. Towards a Four-Component GMMA-Based Vaccine against Shigella. Vaccines 2022, 10, 328. [Google Scholar] [CrossRef] [PubMed]
- Leroux-Roels, I.; Maes, C.; Mancini, F.; Jacobs, B.; Sarakinou, E.; Alhatemi, A.; Joye, J.; Grappi, S.; Cilio, G.L.; Serry-Bangura, A.; et al. Safety and Immunogenicity of a 4-Component Generalized Modules for Membrane Antigens Shigella Vaccine in Healthy European Adults: Randomized, Phase 1/2 Study. J. Infect. Dis. 2024, jiae273. [Google Scholar] [CrossRef]
- Martin, P.; Alaimo, C. The Ongoing Journey of a Shigella Bioconjugate Vaccine. Vaccines 2022, 10, 212. [Google Scholar] [CrossRef]
- Mo, Y.; Fang, W.; Li, H.; Chen, J.; Hu, X.; Wang, B.; Feng, Z.; Shi, H.; He, Y.; Huang, D.; et al. Safety and Immunogenicity of a Shigella Bivalent Conjugate Vaccine (ZF0901) in 3-Month- to 5-Year-Old Children in China. Vaccines 2021, 10, 33. [Google Scholar] [CrossRef]
- Meron-Sudai, S.; Asato, V.; Adler, A.; Bialik, A.; Goren, S.; Ariel-Cohen, O.; Reizis, A.; Mulard, L.A.; Phalipon, A.; Cohen, D. A Shigella flexneri 2a synthetic glycan-based vaccine induces a long-lasting immune response in adults. npj Vaccines 2023, 8, 35. [Google Scholar] [CrossRef]
- McIntosh, E.; Bröker, M.; Wassil, J.; Welsch, J.; Borrow, R. Serum bactericidal antibody assays—The role of complement in infection and immunity. Vaccine 2015, 33, 4414–4421. [Google Scholar] [CrossRef]
- Frasch, C.E.; Borrow, R.; Donnelly, J. Bactericidal antibody is the immunologic surrogate of protection against meningococcal disease. Vaccine 2009, 27, B112–B116. [Google Scholar] [CrossRef]
- Boero, E.; Vezzani, G.; Micoli, F.; Pizza, M.; Rossi, O. Functional assays to evaluate antibody-mediated responses against Shigella: A review. Front. Cell. Infect. Microbiol. 2023, 13. [Google Scholar] [CrossRef]
- Kaminski, R.W.; Pasetti, M.F.; Aguilar, A.O.; A Clarkson, K.; Rijpkema, S.; Bourgeois, A.L.; Cohen, D.; Feavers, I.; A MacLennan, C. Consensus Report on Shigella Controlled Human Infection Model: Immunological Assays. Clin. Infect. Dis. 2019, 69, S596–S601. [Google Scholar] [CrossRef]
- Kapulu, M.C.; Nakakana, U.; Sciré, A.S.; Sarakinou, E.; Conti, V.; Rossi, O.; Acquaviva, A.; Necchi, F.; Obiero, C.W.; Martin, L.B.; et al. Complement-mediated serum bactericidal activity of antibodies elicited by the Shigella sonnei GMMA vaccine in adults from a shigellosis-endemic country: Exploratory analysis of a Phase 2a randomized study. Front. Immunol. 2022, 13. [Google Scholar] [CrossRef] [PubMed]
- Micoli, F.; Rossi, O.; Conti, V.; Launay, O.; Sciré, A.S.; Aruta, M.G.; Nakakana, U.N.; Marchetti, E.; Rappuoli, R.; Saul, A.; et al. Antibodies Elicited by the Shigella sonnei GMMA Vaccine in Adults Trigger Complement-Mediated Serum Bactericidal Activity: Results from a Phase 1 Dose Escalation Trial Followed by a Booster Extension. Front. Immunol. 2021, 12. [Google Scholar] [CrossRef] [PubMed]
- Citiulo, F.; Necchi, F.; Mancini, F.; Rossi, O.; Aruta, M.G.; Gasperini, G.; Alfini, R.; Rondini, S.; Micoli, F.; Rappuoli, R.; et al. Rationalizing the design of a broad coverage Shigella vaccine based on evaluation of immunological cross-reactivity among S. flexneri serotypes. PLOS Neglected Trop. Dis. 2021, 15, e0009826. [Google Scholar] [CrossRef]
- Mancini, F.; Micoli, F.; Rossi, O. Setup and Characterization of a High-Throughput Luminescence-Based Serum Bactericidal Assay (L-SBA) to Determine Functionality of Human Sera against Shigella flexneri. BioTech 2022, 11, 29. [Google Scholar] [CrossRef]
- Gulati, S.; Rice, P.A.; Ram, S. Complement-dependent serum bactericidal assays for Neisseria gonorrhoeae. In Neisseria gonorrhoeae: Methods and Protocols; Springer: Berlin/Heidelberg, Germany, 2019; Volume 1997, pp. 267–280. [Google Scholar] [CrossRef]
- Kleinschmidt, A.; Vadivelu, K.; Serino, L.; Neidig, N.; de Wergifosse, B. Endogenous complement human serum bactericidal assay (enc-hSBA) for vaccine effectiveness assessments against meningococcal serogroup B. npj Vaccines 2021, 6, 29. [Google Scholar] [CrossRef]
- Townsend, K.; Ladhani, S.N.; Findlow, H.; Borrow, R. Evaluation and validation of a serum bactericidal antibody assay for Haemophilus influenzae type b and the threshold of protection. Vaccine 2014, 32, 5650–5656. [Google Scholar] [CrossRef]
- Necchi, F.; Saul, A.; Rondini, S. Development of a high-throughput method to evaluate serum bactericidal activity using bacterial ATP measurement as survival readout. PLoS ONE 2017, 12, e0172163. [Google Scholar] [CrossRef]
- Gerke, C.; Colucci, A.M.; Giannelli, C.; Sanzone, S.; Vitali, C.G.; Sollai, L.; Rossi, O.; Martin, L.B.; Auerbach, J.; Di Cioccio, V.; et al. Production of a Shigella sonnei Vaccine Based on Generalized Modules for Membrane Antigens (GMMA), 1790GAHB. PLoS ONE 2015, 10, e0134478. [Google Scholar] [CrossRef]
- Rossi, O.; Molesti, E.; Saul, A.; Giannelli, C.; Micoli, F.; Necchi, F. Intra-Laboratory Evaluation of Luminescence Based High-Throughput Serum Bactericidal Assay (L-SBA) to Determine Bactericidal Activity of Human Sera against Shigella. BioTech 2020, 9, 14. [Google Scholar] [CrossRef]
- The International Council for Harmonisation. ICH Harmonized Guideline, Validation of Analytical Procedures, Q2(R2); ICH: Geneva, Switzerland, 2022. [Google Scholar]






| LogIC50 | |||||||
|---|---|---|---|---|---|---|---|
| S. flexneri 1b | S. flexneri 3a | S. flexneri 4a | S. flexneri 5b | S. flexneri 6 | S. flexneri X | S. flexneri Y | |
| n | 72 | 72 | 72 | 72 | 72 | 72 | 72 |
| Average | 3.7 | 4.4 | 4.5 | 3.7 | 3.5 | 4.2 | 4.2 |
| SD | 0.2 | 0.1 | 0.2 | 0.1 | 0.2 | 0.1 | 0.0 |
| CV% day (p-value) | 5.8 (0.191) | 0.7 (0.418) | 4.0 (0.181) | 0.0 (0) | 0.0 (0) | 4.3 (0.16) | 1.0 (0.253) |
| CV% operator (p-value) | 0.0 (0) | 2.0 (0.289) | 0.0 (0) | 1.0 (0.409) | 3.1 (0.341) | 0.4 (0.313) | 0.0 (0) |
| CV% day*operator (p-value) | 3.0 (0.125) | 1.6 (0.192) | 1.6 (0.153) | 2.4 (0.107) | 4.4 (0.091) | 0.0 (0) | 0.8 (0.181) |
| CV% R | 2.6 | 2.2 | 2.4 | 3 | 3.8 | 1.6 | 1.7 |
| CV% IP | 7 | 3.4 | 4.9 | 4 | 6.6 | 4.6 | 2.1 |
| Term | Coef | 95% CI | p-Value | |
|---|---|---|---|---|
| S. flexneri 1b | Constant | −0.205 | (−1.168; 0.759) | 0.587 |
| T | 1.088 | (0.772; 1.404) | ||
| S. flexneri 3a | Constant | −0.681 | (−2.531; 1.170) | 0.365 |
| T | 1.185 | (0.684: 1.686) | ||
| S. flexneri 4a | Constant | −0.857 | (−1.0971; −0.6172) | 0.001 |
| T | 1.1057 | (1.0436; 1.1678) | ||
| S. flexneri 5b | Constant | −0.208 | (−0.577; 0.162) | 0.194 |
| T | 1.0005 | (0.8780; 1.1229) | ||
| S. flexneri 6 | Constant | 0.128 | (−0.350; 0.605) | 0.499 |
| T | 1.036 | (0.8678; 1.2041) | ||
| S. flexneri X | Constant | 0.3808 | (0.1580; 0.6037) | 0.009 |
| T | 1.002 | (0.9386; 1.0654) | ||
| S. flexneri Y | Constant | −0.018 | (−0.589; 0.552) | 0.933 |
| T | 1.0178 | (0.8579; 1.1777) |
| S. flexneri 1b | S. flexneri 3a | S. flexneri 4a | S. flexneri 5b | S. flexneri 6 | S. flexneri X | S. flexneri Y | |
|---|---|---|---|---|---|---|---|
| LoD | 9 | 7 | 5 | 7 | 7 | 10 | 6 |
| LoQ | 42 | 21 | 8 | 26 | 18 | 68 | 14 |
Disclaimer/Publisher’s Note: The statements, opinions and data contained in all publications are solely those of the individual author(s) and contributor(s) and not of MDPI and/or the editor(s). MDPI and/or the editor(s) disclaim responsibility for any injury to people or property resulting from any ideas, methods, instructions or products referred to in the content. |
© 2024 by the authors. Licensee MDPI, Basel, Switzerland. This article is an open access article distributed under the terms and conditions of the Creative Commons Attribution (CC BY) license (https://creativecommons.org/licenses/by/4.0/).
Share and Cite
Caradonna, V.; Pinto, M.; Alfini, R.; Giannelli, C.; Iturriza, M.; Micoli, F.; Rossi, O.; Mancini, F. High-Throughput Luminescence-Based Serum Bactericidal Assay Optimization and Characterization to Assess Human Sera Functionality Against Multiple Shigella flexneri Serotypes. Int. J. Mol. Sci. 2024, 25, 11123. https://doi.org/10.3390/ijms252011123
Caradonna V, Pinto M, Alfini R, Giannelli C, Iturriza M, Micoli F, Rossi O, Mancini F. High-Throughput Luminescence-Based Serum Bactericidal Assay Optimization and Characterization to Assess Human Sera Functionality Against Multiple Shigella flexneri Serotypes. International Journal of Molecular Sciences. 2024; 25(20):11123. https://doi.org/10.3390/ijms252011123
Chicago/Turabian StyleCaradonna, Valentina, Marika Pinto, Renzo Alfini, Carlo Giannelli, Miren Iturriza, Francesca Micoli, Omar Rossi, and Francesca Mancini. 2024. "High-Throughput Luminescence-Based Serum Bactericidal Assay Optimization and Characterization to Assess Human Sera Functionality Against Multiple Shigella flexneri Serotypes" International Journal of Molecular Sciences 25, no. 20: 11123. https://doi.org/10.3390/ijms252011123
APA StyleCaradonna, V., Pinto, M., Alfini, R., Giannelli, C., Iturriza, M., Micoli, F., Rossi, O., & Mancini, F. (2024). High-Throughput Luminescence-Based Serum Bactericidal Assay Optimization and Characterization to Assess Human Sera Functionality Against Multiple Shigella flexneri Serotypes. International Journal of Molecular Sciences, 25(20), 11123. https://doi.org/10.3390/ijms252011123

