New N-Terminal Fatty-Acid-Modified Melittin Analogs with Potent Biological Activity
Abstract
1. Introduction
2. Results and Discussion
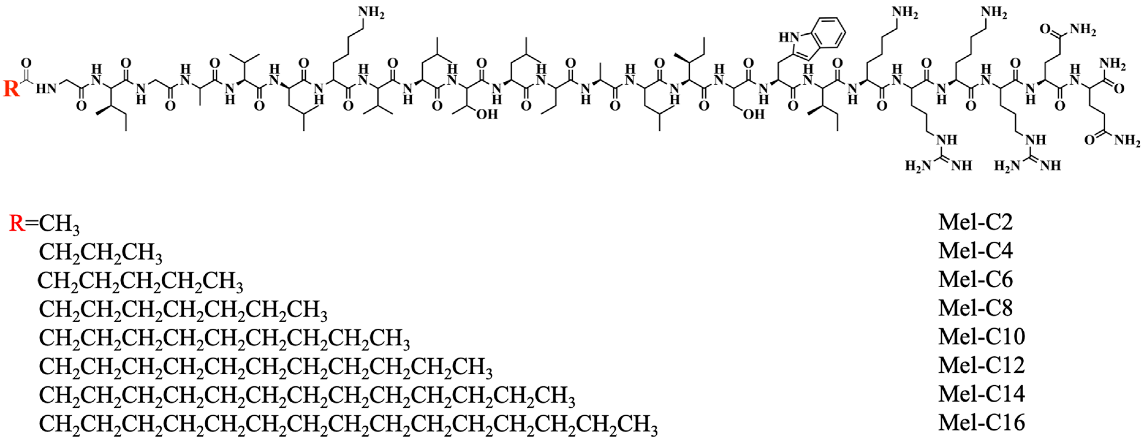
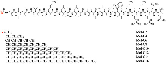
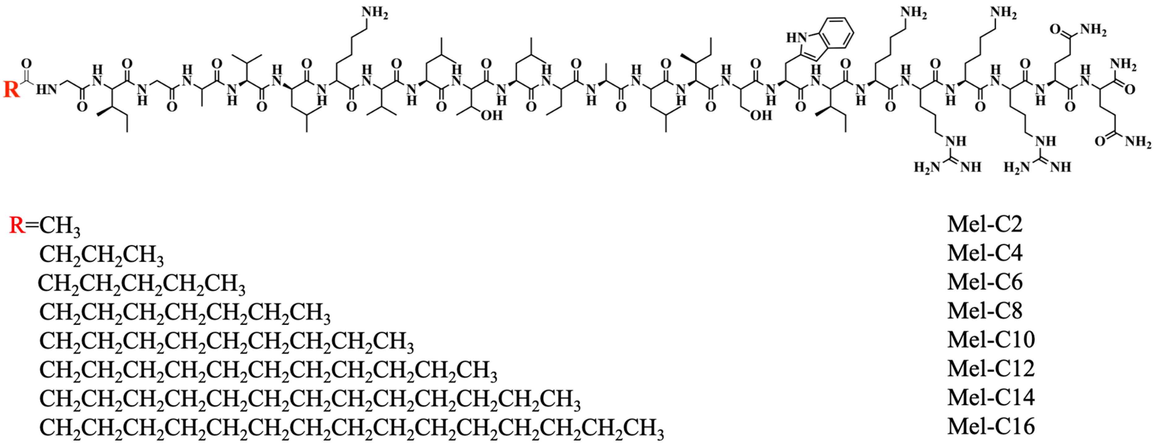
2.1. Characterization of MDLs
2.2. Secondary Structure of MDLs
2.3. Antimicrobial Activity In Vitro
2.4. Hemolytic Assay
2.5. Stability Assay
2.5.1. Protease Resistance Assay
2.5.2. Serum Stability
2.5.3. Salt Sensitivity
2.6. Antimicrobial Mechanisms of MDLs
2.6.1. Outer Membrane Permeabilization Assay
2.6.2. Inner Membrane Permeabilization Assay
2.6.3. LPS/LTA Competitive Inhibition Assay
3. Materials and Methods
3.1. Bacterial Strain
3.2. Peptide Design, Synthesis, and Analysis
3.3. Hydrophobicity Assay
3.4. CD Measurements
3.5. MIC Measurements
3.6. Hemolytic Activity Assay
3.7. Stability Assay
3.7.1. Protease Resistance Assay
3.7.2. Serum Stability
3.7.3. Salt Sensitivity
3.8. Antimicrobial Mechanism
3.8.1. Outer Membrane Permeabilization Assay
3.8.2. Inner Membrane Permeabilization Assay
3.8.3. LPS/LTA Competitive Inhibition Assay
4. Conclusions
Author Contributions
Funding
Institutional Review Board Statement
Informed Consent Statement
Data Availability Statement
Acknowledgments
Conflicts of Interest
References
- Reynolds, D.; Burnham, J.P.; Vazquez Guillamet, C.; McCabe, M.; Yuenger, V.; Betthauser, K.; Micek, S.T.; Kollef, M.H. The threat of multidrug-resistant/extensively drug-resistant gram-negative respiratory infections: Another pandemic. Eur. Respir. Rev. 2022, 31, 166. [Google Scholar] [CrossRef] [PubMed]
- Smith, R.P.; May, H.E.; AbuOun, M.; Stubberfield, E.; Gilson, D.; Chau, K.K.; Crook, D.W.; Shaw, L.P.; Read, D.S.; Stoesser, N.; et al. A longitudinal study reveals persistence of antimicrobial resistance on livestock farms is not due to antimicrobial usage alone. Front. Microbiol. 2023, 14, 1070340. [Google Scholar] [CrossRef] [PubMed]
- Shao, Y.; Wang, Y.; Yuan, Y.; Xie, Y. A systematic review on antibiotics misuse in livestock and aquaculture and regulation implications in China. Sci. Total Environ. 2021, 798, 149205. [Google Scholar] [CrossRef] [PubMed]
- Wu, D.; Fu, L.; Wen, W.; Dong, N. The dual antimicrobial and immunomodulatory roles of host defense peptides and their applications in animal production. J. Anim. Sci. Biotechnol. 2022, 13, 141. [Google Scholar] [CrossRef] [PubMed]
- Cen, X.; Liu, B.; Zhang, G.; Liu, H.; Yao, G.; He, M.; Liu, W. Molecular identification of a novel antimicrobial peptide in giant Triton snail Charonia tritonis: mRNA profiles for tissues and its potential antibacterial activity. Fish. Shellfish. Immun. 2023, 136, 108734. [Google Scholar] [CrossRef] [PubMed]
- Rani, P.; Kapoor, B.; Gulati, M.; Atanasov, A.G.; Alzahrani, Q.; Gupta, R. Antimicrobial peptides: A plausible approach for COVID-19 treatment. Expert Opin. Drug Discov. 2022, 17, 473–487. [Google Scholar] [CrossRef]
- Ma, L.; Huang, S.; Xie, H.; Ma, P.; Jia, B.; Yao, Y.; Gao, Y.; Li, W.; Song, J.; Zhang, W. Influence of chain length on the anticancer activity of the antimicrobial peptide CAMEL with fatty acid modification. Eur. J. Med. Chem. 2022, 239, 114557. [Google Scholar] [CrossRef]
- White, J.K.; Muhammad, T.; Alsheim, E.; Mohanty, S.; Blasi-Romero, A.; Gunasekera, S.; Strömstedt, A.A.; Ferraz, N.; Göransson, U.; Brauner, A. A stable cyclized antimicrobial peptide derived from LL-37 with host immunomodulatory effects and activity against uropathogens. Cell. Mol. Life Sci. 2022, 79, 411. [Google Scholar] [CrossRef]
- Hong, L.; Gontsarik, M.; Amenitsch, H.; Salentinig, S. Human antimicrobial peptide triggered colloidal transformations in bacteria membrane lipopolysaccharides. Small 2022, 18, 2104211. [Google Scholar] [CrossRef]
- Huang, S.; Wang, J.; Sun, H.; Fu, Y.; Wang, Y. Probing changes in Ca2+-induced interaction forces between calmodulin and melittin by atomic force microscopy. Micromachines 2020, 11, 906. [Google Scholar] [CrossRef]
- Pereira, A.F.M.; Sani, A.A.; Zapata, T.B.; Sousa, D.S.M.d.; Rossini, B.C.; Santos, L.D.d.; Rall, V.L.M.; Riccardi, C.d.S.; Fernandes Júnior, A. Synergistic Antibacterial Efficacy of Melittin in Combination with Oxacillin against Methicillin-Resistant Staphylococcus aureus (MRSA). Microorganisms 2023, 11, 2868. [Google Scholar] [CrossRef] [PubMed]
- Pandey, P.; Khan, F.; Khan, M.A.; Kumar, R.; Upadhyay, T.K. An updated review summarizing the anticancer efficacy of melittin from bee venom in several models of human cancers. Nutrients 2023, 15, 3111. [Google Scholar] [CrossRef]
- Yaacoub, C.; Wehbe, R.; Roufayel, R.; Fajloun, Z.; Coutard, B. Bee Venom and Its Two Main Components-Melittin and Phospholipase A2-As Promising Antiviral Drug Candidates. Pathogens 2023, 12, 1354. [Google Scholar] [CrossRef] [PubMed]
- Rady, I.; Siddiqui, I.A.; Rady, M.; Mukhtar, H. Melittin, a major peptide component of bee venom, and its conjugates in cancer therapy. Cancer Lett. 2017, 402, 16–31. [Google Scholar] [CrossRef] [PubMed]
- Raghuraman, H.; Chattopadhyay, A. Melittin: A membrane-active peptide with diverse functions. Biosci. Rep. 2007, 27, 189–223. [Google Scholar] [CrossRef]
- Norisada, K.; Javkhlantugs, N.; Mishima, D.; Kawamura, I.; Saito, H.; Ueda, K.; Naito, A. Dynamic structure and orientation of melittin bound to acidic lipid bilayers, as revealed by solid-state NMR and molecular dynamics simulation. J. Phys. Chem. B 2017, 121, 1802–1811. [Google Scholar] [CrossRef] [PubMed]
- Sun, D.; Forsman, J.; E Woodward, C. Current understanding of the mechanisms by which membrane-active peptides permeate and disrupt model lipid membranes. Curr. Top. Med. Chem. 2016, 16, 170–186. [Google Scholar] [CrossRef]
- Lima, W.G.; de Brito, J.C.M.; Cardoso, V.N.; Fernandes, S.O.A. In-depth characterization of antibacterial activity of melittin against Staphylococcus aureus and use in a model of non-surgical MRSA-infected skin wounds. Eur. J. Pharm. Sci. 2021, 156, 105592. [Google Scholar] [CrossRef]
- Pandey, B.K.; Ahmad, A.; Asthana, N.; Azmi, S.; Srivastava, R.M.; Srivastava, S.; Verma, R.; Vishwakarma, A.L.; Ghosh, J.K. Cell-selective lysis by novel analogues of melittin against human red blood cells and Escherichia coli. Biochemistry 2010, 49, 7920–7929. [Google Scholar] [CrossRef]
- Wang, H.; Wang, S.; Wang, R.; Wang, X.; Jiang, K.; Xie, C.; Zhan, C.; Wang, H.; Lu, W. Co-delivery of paclitaxel and melittin by glycopeptide-modified lipodisks for synergistic anti-glioma therapy. Nanoscale 2019, 11, 13069–13077. [Google Scholar] [CrossRef]
- Wang, X.; Yang, X.; Wang, Q.; Meng, D. Unnatural amino acids: Promising implications for the development of new antimicrobial peptides. Crit. Rev. Microbiol. 2023, 49, 231–255. [Google Scholar] [CrossRef] [PubMed]
- Liu, T.; Zhu, N.; Zhong, C.; Zhu, Y.; Gou, S.; Chang, L.; Bao, H.; Liu, H.; Zhang, Y.; Ni, J. Effect of N-methylated and fatty acid conjugation on analogs of antimicrobial peptide Anoplin. Eur. J. Pharm. Sci. 2020, 152, 105453. [Google Scholar] [CrossRef] [PubMed]
- Lai, Z.; Yuan, X.; Chen, H.; Zhu, Y.; Dong, N.; Shan, A. Strategies employed in the design of antimicrobial peptides with enhanced proteolytic stability. Biotechnol. Adv. 2022, 59, 107962. [Google Scholar] [CrossRef] [PubMed]
- Grimsey, E.; Collis, D.W.; Mikut, R.; Hilpert, K. The effect of lipidation and glycosylation on short cationic antimicrobial peptides. BBA Biomembr. 2020, 1862, 183195. [Google Scholar] [CrossRef] [PubMed]
- Li, R.; He, S.; Yin, K.; Zhang, B.; Yi, Y.; Zhang, M.; Pei, N.; Huang, L. Effects of N-terminal modifications on the stability of antimicrobial peptide SAMP-A4 analogues against protease degradation. J. Pept. Sci. 2021, 27, e3352. [Google Scholar] [CrossRef] [PubMed]
- Zhong, C.; Zhu, N.; Zhu, Y.; Liu, T.; Gou, S.; Xie, J.; Yao, J.; Ni, J. Antimicrobial peptides conjugated with fatty acids on the side chain of D-amino acid promises antimicrobial potency against multidrug-resistant bacteria. Eur. J. Pharm. Sci. 2020, 141, 105123. [Google Scholar] [CrossRef]
- Cui, A.L.; Hu, X.X.; Chen, Y.; Jin, J.; Yi, H.; Wang, X.K.; He, Q.Y.; You, X.F.; Li, Z.R. Design, synthesis, and bioactivity of cyclic lipopeptide antibiotics with varied polarity, hydrophobicity, and positive charge distribution. ACS Infect. Dis. 2020, 6, 1796–1806. [Google Scholar] [CrossRef]
- Balleza, D.; Alessandrini, A.; Beltrán García, M.J. Role of lipid composition, physicochemical interactions, and membrane mechanics in the molecular actions of microbial cyclic lipopeptides. J. Membrane Biol. 2019, 252, 131–157. [Google Scholar] [CrossRef]
- Neubauer, D.; Jaśkiewicz, M.; Bauer, M.; Gołacki, K.; Kamysz, W. Ultrashort cationic lipopeptides-effect of N-terminal amino acid and fatty acid type on antimicrobial activity and hemolysis. Molecules 2020, 25, 257. [Google Scholar] [CrossRef]
- Jujjavarapu, S.E.; Dhagat, S. In silico discovery of novel ligands for antimicrobial lipopeptides for computer-aided drug design. Probiotics Antimicrob. Proteins 2018, 10, 129–141. [Google Scholar] [CrossRef]
- Chu-Kung, A.F.; Bozzelli, K.N.; Lockwood, N.A.; Haseman, J.R.; Mayo, K.H.; Tirrell, M.V. Promotion of peptide antimicrobial activity by fatty acid conjugation. Bioconjugate Chem. 2004, 15, 530–535. [Google Scholar] [CrossRef] [PubMed]
- Zhong, C.; Liu, T.; Gou, S.; He, Y.; Zhu, N.; Zhu, Y.; Wang, L.; Liu, H.; Zhang, Y.; Yao, J. Design and synthesis of new N-terminal fatty acid modified-antimicrobial peptide analogues with potent in vitro biological activity. Eur. J. Med. Chem. 2019, 182, 111636. [Google Scholar] [CrossRef] [PubMed]
- Zhu, X.; Zhang, L.; Wang, J.; Ma, Z.; Xu, W.; Li, J.; Shan, A. Characterization of antimicrobial activity and mechanisms of low amphipathic peptides with different α-helical propensity. Acta Biomater. 2015, 18, 155–167. [Google Scholar] [CrossRef] [PubMed]
- Chen, Y.; Guarnieri, M.T.; Vasil, A.I.; Vasil, M.L.; Mant, C.T.; Hodges, R.S. Role of peptide hydrophobicity in the mechanism of action of α-helical antimicrobial peptides. Antimicrob. Agents Chemother. 2007, 51, 1398–1406. [Google Scholar] [CrossRef] [PubMed]
- Storck, P.; Umstätter, F.; Wohlfart, S.; Domhan, C.; Kleist, C.; Werner, J.; Brandenburg, K.; Zimmermann, S.; Haberkorn, U.; Mier, W. Fatty acid conjugation leads to length-dependent antimicrobial activity of a synthetic antibacterial peptide (Pep19-4LF). Antibiotics 2020, 9, 844. [Google Scholar] [CrossRef]
- Malina, A.; Shai, Y. Conjugation of fatty acids with different lengths modulates the antibacterial and antifungal activity of a cationic biologically inactive peptide. Biochem. J. 2005, 390, 695–702. [Google Scholar] [CrossRef]
- Liu, H.; Yang, N.; Teng, D.; Mao, R.; Hao, Y.; Ma, X.; Wang, X.; Wang, J. Fatty acid modified-antimicrobial peptide analogues with potent antimicrobial activity and topical therapeutic efficacy against Staphylococcus hyicus. Appl. Microbiol. Biot. 2021, 105, 5845–5859. [Google Scholar] [CrossRef]
- Chu-Kung, A.F.; Nguyen, R.; Bozzelli, K.N.; Tirrell, M. Chain length dependence of antimicrobial peptide–fatty acid conjugate activity. J. Colloid. Interf. Sci. 2010, 345, 160–167. [Google Scholar] [CrossRef]
- Fang, Y.; Zhong, W.; Wang, Y.; Xun, T.; Lin, D.; Liu, W.; Wang, J.; Lv, L.; Liu, S.; He, J. Tuning the antimicrobial pharmacophore to enable discovery of short lipopeptides with multiple modes of action. Eur. J. Med. Chem. 2014, 83, 36–44. [Google Scholar] [CrossRef]
- Krokhin, O.V.; Spicer, V. Peptide retention standards and hydrophobicity indexes in reversed-phase high-performance liquid chromatography of peptides. Anal. Chem. 2009, 81, 9522–9530. [Google Scholar] [CrossRef]
- Chen, N.; Jiang, C. Antimicrobial peptides: Structure, mechanism, and modification. Eur. J. Med. Chem. 2023, 255, 115377. [Google Scholar] [CrossRef] [PubMed]
- Mattei, B.; Miranda, A.; Perez, K.R.; Riske, K.A. Structure-activity relationship of the antimicrobial peptide gomesin: The role of peptide hydrophobicity in its interaction with model membranes. Langmuir 2014, 30, 3513–3521. [Google Scholar] [CrossRef] [PubMed]
- Koh, J.J.; Lin, H.; Caroline, V.; Chew, Y.S.; Pang, L.M.; Aung, T.T.; Li, J.; Lakshminarayanan, R.; Tan, D.T.; Verma, C. N-lipidated peptide dimers: Effective antibacterial agents against gram-negative pathogens through lipopolysaccharide permeabilization. J. Med. Chem. 2015, 58, 6533–6548. [Google Scholar] [CrossRef] [PubMed]
- Watala, C.; Gwoździński, K. Melittin-induced alterations in dynamic properties of human red blood cell membranes. Chem. Biol. Interact. 1992, 82, 135–149. [Google Scholar] [CrossRef] [PubMed]
- Rounds, T.; Straus, S.K. Lipidation of antimicrobial peptides as a design strategy for future alternatives to antibiotics. Int. J. Mol. Sci. 2020, 21, 9692. [Google Scholar] [CrossRef]
- Gao, J.; Xie, C.; Zhang, M.; Wei, X.; Yan, Z.; Ren, Y.; Ying, M.; Lu, W. RGD-modified lipid disks as drug carriers for tumor targeted drug delivery. Nanoscale 2016, 8, 7209–7216. [Google Scholar] [CrossRef] [PubMed]
- Lai, Z.; Tan, P.; Zhu, Y.; Shao, C.; Shan, A.; Li, L. Highly stabilized α-helical coiled coils kill gram-negative bacteria by multicomplementary mechanisms under acidic condition. ACS Appl. Mater. Interfaces 2019, 11, 22113–22128. [Google Scholar] [CrossRef]
- Tam, J.P.; Lu, Y.-A.; Yang, J.-L. Correlations of cationic charges with salt sensitivity and microbial specificity of cystine-stabilized β-strand antimicrobial peptides. J. Biol. Chem. 2002, 277, 50450–50456. [Google Scholar] [CrossRef]
- Wu, G.; Ding, J.; Li, H.; Li, L.; Zhao, R.; Fan, X.; Shen, Z. Effects of cations and pH on antimicrobial activity of thanatin and s-thanatin against Escherichia coli ATCC25922 and B. subtilis ATCC 21332. Curr. Microbiol. 2008, 57, 552–557. [Google Scholar] [CrossRef]
- Dou, X.; Zhu, X.; Wang, J.; Dong, N.; Shan, A. Novel design of heptad amphiphiles to enhance cell selectivity, salt resistance, antibiofilm properties and their membrane-disruptive mechanism. J. Med. Chem. 2017, 60, 2257–2270. [Google Scholar] [CrossRef]
- Hurdle, J.G.; O’neill, A.J.; Chopra, I.; Lee, R.E. Targeting bacterial membrane function: An underexploited mechanism for treating persistent infections. Nat. Rev. Microbiol. 2011, 9, 62–75. [Google Scholar] [CrossRef] [PubMed]
- Ciumac, D.; Gong, H.; Hu, X.; Lu, J.R. Membrane targeting cationic antimicrobial peptides. J. Colloid. Interf. Sci. 2019, 537, 163–185. [Google Scholar] [CrossRef] [PubMed]
- Zhu, N.; Zhong, C.; Liu, T.; Zhu, Y.; Gou, S.; Bao, H.; Yao, J.; Ni, J. Newly designed antimicrobial peptides with potent bioactivity and enhanced cell selectivity prevent and reverse rifampin resistance in gram-negative bacteria. Eur. J. Pharm. Sci. 2021, 158, 105665. [Google Scholar] [CrossRef] [PubMed]
- Choi, J.H.; Lee, T.K.; Byun, J.W.; Lee, Y.S. Preparation of a core-shell type MBHA resin and its application for solid-phase peptide synthesis. Tetrahedron Lett. 2009, 50, 4272–4275. [Google Scholar] [CrossRef]
- Kowalska-Krochmal, B.; Dudek-Wicher, R. The minimum inhibitory concentration of antibiotics: Methods, interpretation, clinical relevance. Pathogens 2021, 10, 165. [Google Scholar] [CrossRef]
- Zhao, X.; Wang, X.; Shukla, R.; Kumar, R.; Weingarth, M.; Breukink, E.; Kuipers, O.P. Brevibacillin 2V, a novel antimicrobial lipopeptide with an exceptionally low hemolytic activity. Front. Microbiol. 2021, 12, 693725. [Google Scholar] [CrossRef]
- Yu, H.; Shang, L.; Yang, G.; Dai, Z.; Zeng, X.; Qiao, S. Biosynthetic microcin J25 exerts strong antibacterial, anti-inflammatory activities, low cytotoxicity without increasing drug-resistance to bacteria target. Front. Immunol. 2022, 13, 811378. [Google Scholar] [CrossRef]









| Peptide | Sequence | Theoretical MW | Measured MW a | Net Charge | RT, Min b |
|---|---|---|---|---|---|
| Mel | GIGAVLKVLTTGLPALISWIKRKRQQ | 2846.46 | 2846.15 | +6 | 8.076 ± 0.014 |
| C2-Mel | C2-GIGAVLKVLTTGLPALISWIKRKRQQ | 2889.50 | 2889.45 | +6 | 12.247 ± 0.021 |
| C4-Mel | C4-GIGAVLKVLTTGLPALISWIKRKRQQ | 2917.56 | 2917.65 | +6 | 13.704 ± 0.005 |
| C6-Mel | C6-GIGAVLKVLTTGLPALISWIKRKRQQ | 2945.61 | 2945.70 | +6 | 15.567 ± 0.006 |
| C8-Mel | C8-GIGAVLKVLTTGLPALISWIKRKRQQ | 2973.66 | 2973.80 | +6 | 17.845 ± 0.013 |
| C10-Mel | C10-GIGAVLKVLTTGLPALISWIKRKRQQ | 3001.71 | 3001.60 | +6 | 20.541 ± 0.029 |
| C12-Mel | C12-GIGAVLKVLTTGLPALISWIKRKRQQ | 3029.77 | 3029.70 | +6 | 23.344 ± 0.004 |
| C14-Mel | C14-GIGAVLKVLTTGLPALISWIKRKRQQ | 3057.82 | 3057.6 | +6 | 25.621 ± 0.002 |
| C16-Mel | C16-GIGAVLKVLTTGLPALISWIKRKRQQ | 3085.87 | 3085.7 | +6 | 26.892 ± 0.005 |
| Peptide | PBS Buffer | 50% TFE | 25 mM SDS | |||
|---|---|---|---|---|---|---|
| α-Helix, % | β-Fold, % | α-Helix, % | β-Fold, % | α-Helix, % | β-Fold, % | |
| Mel | 6.8 | 38.5 | 34.5 | 5.5 | 21.5 | 17.9 |
| C2-MEL | 6 | 32.8 | 26.5 | 17.8 | 20.9 | 19.9 |
| C4-MEL | 6.1 | 33.7 | 20.7 | 25.4 | 19.3 | 23.8 |
| C6-MEL | 6.5 | 39.3 | 22.4 | 27 | 18.4 | 24.7 |
| C8-MEL | 7 | 40 | 18.8 | 25.5 | 18.2 | 25.4 |
| C10-MEL | 7.5 | 41.1 | 18.4 | 22.1 | 17.1 | 28.8 |
| C12-MEL | 11.5 | 31.3 | 19 | 21.5 | 15.9 | 29.5 |
| C14-MEL | 12 | 31 | 16 | 25.2 | 15.5 | 31.7 |
| C16-MEL | 12.5 | 30.4 | 14.3 | 26.8 | 15.2 | 33 |
| Peptide | MIC, μg/mL | ||||||
|---|---|---|---|---|---|---|---|
| Gram Positive | Gram Negative | ||||||
| Staphylococcus aureus (S. aureus) ATCC 43300 | Listeria monocytogenes (L. monocytogenes) CVCC 3764 | Enterococcus faecalis (E. faecalis) ATCC 29212 | Bacillus cereus (B. cereus) CVCC 4101 | Escherichia coli (E. coli) ATCC 25922 | Shigella castellani (S. castellani) CGMCC 1.1869 | Multidrug-Resistant Escherichia coli (E. coli) Strain | |
| Mel | 8 | 32 | 16 | 16 | 32 | 32 | 64 |
| C2-Mel | 4 | 32 | 4 | 8 | 16 | 8 | 64 |
| C4-Mel | 2 | 8 | 2 | 8 | 8 | 8 | 32 |
| C6-Mel | 1 | 4 | 2 | 4 | 4 | 8 | 8 |
| C8-Mel | 0.5 | 4 | 1 | 2 | 2 | 4 | 4 |
| C10-Mel | 2 | 16 | 8 | 8 | 8 | 32 | 8 |
| C12-Mel | 8 | 32 | 16 | 64 | 32 | 64 | 32 |
| C14-Mel | 32 | 128 | 32 | >256 | 128 | 128 | 128 |
| C16-Mel | 64 | >256 | 64 | >256 | >256 | 128 | >256 |
| Bacterial Strain | Peptide | Control | Salt | |||
|---|---|---|---|---|---|---|
| NaCl | KCl | MgCl2 | FeCl3 | |||
| E. coli ATCC 25922 | Mel | 32 | 32 | 32 | 64 | 64 |
| Mel-C2 | 16 | 16 | 16 | 32 | 32 | |
| Mel-C4 | 8 | 8 | 16 | 32 | 32 | |
| Mel-C6 | 4 | 4 | 8 | 16 | 16 | |
| Mel-C8 | 2 | 2 | 8 | 8 | 8 | |
| Mel-C10 | 8 | 8 | 16 | 32 | 32 | |
| Mel-C12 | 16 | 32 | 32 | 128 | 128 | |
| Mel-C14 | 32 | 128 | 64 | 256 | 256 | |
| Mel-C16 | 128 | >256 | 256 | >256 | >256 | |
| S. aureus ATCC 43300 | Mel | 8 | 8 | 8 | 32 | 32 |
| Mel-C2 | 4 | 4 | 4 | 16 | 16 | |
| Mel-C4 | 2 | 2 | 4 | 16 | 16 | |
| Mel-C6 | 1 | 1 | 2 | 8 | 8 | |
| Mel-C8 | 0.5 | 0.5 | 1 | 8 | 8 | |
| Mel-C10 | 2 | 2 | 8 | 32 | 32 | |
| Mel-C12 | 8 | 16 | 32 | 64 | 64 | |
| Mel-C14 | 32 | 64 | 64 | 256 | 256 | |
| Mel-C16 | 64 | 128 | 256 | >256 | >256 | |
Disclaimer/Publisher’s Note: The statements, opinions and data contained in all publications are solely those of the individual author(s) and contributor(s) and not of MDPI and/or the editor(s). MDPI and/or the editor(s) disclaim responsibility for any injury to people or property resulting from any ideas, methods, instructions or products referred to in the content. |
© 2024 by the authors. Licensee MDPI, Basel, Switzerland. This article is an open access article distributed under the terms and conditions of the Creative Commons Attribution (CC BY) license (https://creativecommons.org/licenses/by/4.0/).
Share and Cite
Huang, S.; Su, G.; Jiang, S.; Chen, L.; Huang, J.; Yang, F. New N-Terminal Fatty-Acid-Modified Melittin Analogs with Potent Biological Activity. Int. J. Mol. Sci. 2024, 25, 867. https://doi.org/10.3390/ijms25020867
Huang S, Su G, Jiang S, Chen L, Huang J, Yang F. New N-Terminal Fatty-Acid-Modified Melittin Analogs with Potent Biological Activity. International Journal of Molecular Sciences. 2024; 25(2):867. https://doi.org/10.3390/ijms25020867
Chicago/Turabian StyleHuang, Sheng, Guoqi Su, Shan Jiang, Li Chen, Jinxiu Huang, and Feiyun Yang. 2024. "New N-Terminal Fatty-Acid-Modified Melittin Analogs with Potent Biological Activity" International Journal of Molecular Sciences 25, no. 2: 867. https://doi.org/10.3390/ijms25020867
APA StyleHuang, S., Su, G., Jiang, S., Chen, L., Huang, J., & Yang, F. (2024). New N-Terminal Fatty-Acid-Modified Melittin Analogs with Potent Biological Activity. International Journal of Molecular Sciences, 25(2), 867. https://doi.org/10.3390/ijms25020867
