Medicinally Privileged Natural Chalcones: Abundance, Mechanisms of Action, and Clinical Trials
Abstract
1. Introduction
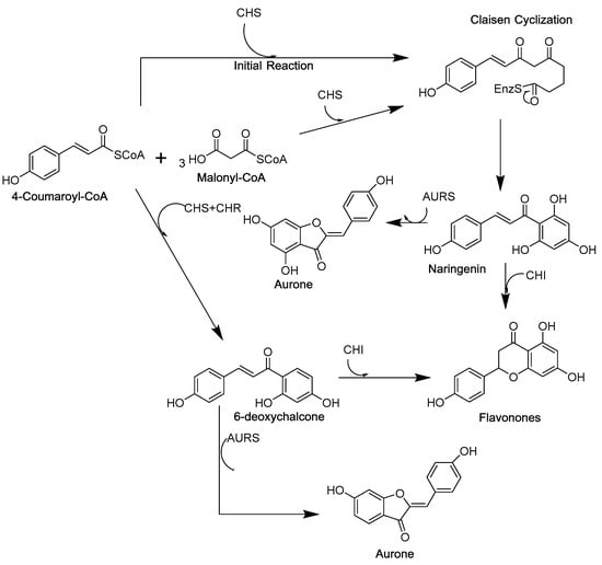
2. Biosynthesis of Natural Chalcones
3. Medicinal Activity of the Natural Chalcones
3.1. Chalcones as Michael Acceptors
3.2. Classification of Natural Chalcones and Their Mechanisms of Action
4. Chalcones as Antioxidants
4.1. Food Chalcones as Antioxidants
4.2. Further Roles as Antioxidants
5. Chalcones with Anticancer Properties
5.1. Chalcones Being Investigated as Potential Anti-Breast Cancer Agents
5.2. Chalcones as Anti-Liver Cancer Agents
5.3. Chalcones as Potential Anti-Lung Cancer Agents
6. Chalcones as Antidiabetic Agents
7. Anti-Inflammatory Chalcones
8. Chalcones as Neuroprotective Agents
9. Cardioprotective Chalcones
10. Antimalarial Chalcones
11. Antibacterial Chalcones
12. Antiviral Chalcones
13. Natural Chalcones in Clinical Trials
| Natural Chalcones | Evaluation Phases, Including Clinical Trials | ||||
|---|---|---|---|---|---|
| In Vitro | In Vivo | Phase I | Phase II | Phase III | |
| Naringenin | [95] | [95] | [96] | n/a | n/a |
| Phloretin | [97] | [97] | [97] | n/a | n/a |
| Xanthohumol | [98] | [98] | [98] | [99] | n/a |
| Licochalcone A | [100] | [100] | [101] | [102] | n/a |
| Licochalcone E | [103] | [103] | n/a | n/a | n/a |
| Butein | [104] | [104] | n/a | n/a | n/a |
| Isoliquiritigenin | [105] | [105] | n/a | n/a | n/a |
| Quercetin | [106] | [106] | [107] | [108] | n/a |
| Helichristen | [40] | [40] | n/a | n/a | n/a |
| Cardamonin | [109] | [109] | n/a | n/a | n/a |
| Flavokawain A | [110] | [110] | n/a | n/a | n/a |
| Xanthoangelol | [111] | [111] | n/a | n/a | n/a |
| 4-Hydroxyderrecin | [112] | [112] | n/a | n/a | n/a |
14. Conclusions
Author Contributions
Funding
Acknowledgments
Conflicts of Interest
References
- Zhuang, C.; Zhang, W.; Sheng, C.; Zhang, W.; Xing, C.; Miao, Z. Chalcone: A privileged structure in medicinal chemistry. Chem. Rev. 2017, 117, 7762–7810. [Google Scholar] [CrossRef] [PubMed]
- Sahu, N.K.; Balbhadra, S.S.; Choudhary, J.; Kohli, D.V. Exploring pharmacological significance of chalcone scaffold: A review. Curr. Med. Chem. 2012, 19, 209–225. [Google Scholar] [CrossRef] [PubMed]
- Rudrapal, M.; Khan, J.; Bin Dukhyil, A.A.; Alarousy, R.M.I.I.; Attah, E.I.; Sharma, T.; Khairnar, S.J.; Bendale, A.R. Chalcone Scaffolds, Bioprecursors of Flavonoids: Chemistry, Bioactivities, and Pharmacokinetics. Molecules 2021, 26, 7177. [Google Scholar] [CrossRef]
- Batovska, D.I.; Todorova, I.T. Trends in utilization of the pharmacological potential of chalcones. Curr. Clin. Pharmacol. 2010, 5, 1–29. [Google Scholar] [CrossRef]
- Akihisa, T.; Tokuda, H.; Ukiya, M.; Iizuka, M.; Schneider, S.; Ogasawara, K.; Mukainaka, T.; Iwatsuki, K.; Suzuki, T.; Nishino, H. Chalcones, coumarins and flavanones from theexudate of Angelica keiskei and their chemopreventive effects. Cancer Lett. 2003, 201, 133–137. [Google Scholar] [CrossRef]
- Dao, T.T.H.; Linthorst, H.J.M.; Verpoorte, R. Chalcone synthase and its functions in plant resistance. Phytochem. Rev. 2011, 10, 397–412. [Google Scholar] [CrossRef] [PubMed]
- Austin, M.B.; Noel, J.P. The chalcone synthase superfamily of type III polyketide synthases. Nat. Prod. Rep. 2003, 20, 79–110. [Google Scholar] [CrossRef] [PubMed]
- Abe, I.; Morita, H. Structure and function of the chalcone synthase superfamily of plant type III polyketide synthases. Nat. Prod. Rep. 2010, 27, 809–838. [Google Scholar] [CrossRef]
- Ferrer, J.L.; Jez, J.M.; Bowman, M.E.; Dixon, R.A.; Noel, J.P. Structure of chalcone synthase and the molecular basis of plant polyketide biosynthesis. Nat. Struct. Biol. 1999, 6, 775–784. [Google Scholar] [CrossRef]
- Molitor, C.; Mauracher, S.G.; Rompel, A. Aurone synthase is a catechol oxidase with hydroxylase activity and provides insights into the mechanism of plant polyphenol oxidases. Proc. Natl. Acad. Sci. USA 2016, 113, E1806–E1815. [Google Scholar] [CrossRef]
- Gutierrez, R.M.P.; Ramirez, A.M.; Sauceda, J.V. Review: The potential of chalcones as a source of drugs. Afr. J. Pharm. Pharmacol. 2015, 9, 237–257. [Google Scholar]
- Jiraungkoorskul, W.; Ongwisespaiboon, O. Fingerroot, Boesenbergia rotunda and its aphrodisiac activity. Pharmacogn. Rev. 2017, 11, 27–30. [Google Scholar] [CrossRef] [PubMed]
- Alias, Y.; Awang, K.; Hadi, A.H.A.; Thoison, O.; Sevenet, T. An antimitotic and cytotoxic chalcone from Fissistigma lanuginosum. J. Nat. Prod. 1995, 58, 1160–1166. [Google Scholar] [CrossRef] [PubMed]
- Gargantilla, M.; López-Fernández, J.; Camarasa, M.-J.; Persoons, L.; Daelemans, D.; Priego, E.-M.; Pérez-Pérez, M.-J. Inhibition of XPO-1 Mediated Nuclear Export through the Michael-Acceptor Character of Chalcones. Pharmaceuticals 2021, 14, 1131. [Google Scholar] [CrossRef] [PubMed]
- Bhoj, P.S.; Bahekar, S.; Khatri, V.; Singh, N.; Togre, N.S.; Goswami, K.; Chandak, H.S.; Dash, D. Role of Glutathione in Chalcone Derivative Induced Apoptosis of Brugia malayi and its Possible Therapeutic Implication. Acta Parasitol. 2021, 66, 406–415. [Google Scholar] [CrossRef] [PubMed]
- Mohamed, M.F.A.; Abuo-Rahma, G.E.-D.A. Molecular targets and anticancer activity of quinoline–chalcone hybrids: Literature review. RSC Adv. 2020, 10, 31139–31155. [Google Scholar] [CrossRef]
- Li, J.; Zhang, H.; Wang, J.; Ye, J. Structure-Activity Relationship of Chalcones: Cytotoxicity, Antioxidant Activity, and Mitochondrial Dysfunction Studies. ChemMedChem 2017, 12, 550–561. [Google Scholar]
- Lin, H.; Su, M.; Wen, C.; Tang, Y.; Li, H.; Wu, Y.; Ge, R.-S.; Li, X.-W.; Lin, H. Chalcones from plants cause toxicity by inhibiting human and rat 11β-hydroxysteroid dehydrogenase 2: 3D-quantitative structure-activity relationship (3D-QSAR) and in silico docking analysis. Food Chem. Toxicol. 2024, 184, 114415. [Google Scholar] [CrossRef]
- Janković, T.; Turković, N.; Kotur-Stevuljević, J.; Vujić, Z.; Ivković, B. Differences in antioxidant potential of chalcones in human serum: In vitro study. Chem.-Biol. Interact. 2020, 324, 109084. [Google Scholar] [CrossRef]
- Matos, M.J.; Vazquez-Rodriguez, S.; Uriarte, E.; Santana, L. Potential pharmacological uses of chalcones: A patent review (from June 2011–2014). Expert Opin. Ther. Pat. 2015, 25, 351–366. [Google Scholar] [CrossRef] [PubMed]
- Aoki, N.; Muko, M.; Ohta, E.; Ohta, S. C-gernylated chalcones from the stems of Angelica keiskei with superoxide scavenging activity. J. Nat. Prod. 2008, 71, 1308–1310. [Google Scholar] [CrossRef]
- Vasil’ev, R.F.; Kancheva, V.D.; Fedorova, G.F.; Batovska, D.I.; Trofimov, A.V. Antioxidant Activity of Chalcones: The Chemiluminescence Determination of the Reactivity and the Quantum Chemical Calculation of the Energies and Structures of Reagents and Intermediates. Kinet. Catal. 2010, 51, 507–515. [Google Scholar] [CrossRef]
- Jasim, H.A.; Nahar, L.; Jasim, M.A.; Moore, S.A.; Ritchie, K.J.; Sarker, S.D. Chalcones: Synthetic Chemistry Follows Where Nature Leads. Biomolecules 2021, 11, 1203. [Google Scholar] [CrossRef] [PubMed]
- Brahimawad, M.; Abdullah, H.D.; Nadeem, A.M.; Hamid, H. Characterization of two chalcone derivatives isolated from Finger root with nutraceutical potentials. Int. J. Adv. Res. 2018, 6, 1089–1094. [Google Scholar]
- Ngo, V.; Duennwald, M.L. Nrf2 and Oxidative Stress: A General Overview of Mechanisms and Implications in Human Disease. Antioxidants 2022, 11, 2345. [Google Scholar] [CrossRef] [PubMed]
- Wu, L.; Wang, Z.; Zhao, L.; Li, S. Pharmacological Modulation of Mitochondrial Dysfunction: A Promising Therapeutic Approach for Neurological Disorders. Acta Pharm. Sin. B 2020, 10, 33–41. [Google Scholar]
- Mah, S.H. Chalcones in Diets. In Handbook of Dietary Phytochemicals; Xiao, J., Sarker, S.D., Asakawa, Y., Eds.; Springer: Singapore, 2021. [Google Scholar]
- Maisto, M.; Marzocchi, A.; Keivani, N.; Piccolo, V.; Summa, V.; Tenore, G.C. Natural Chalcones for the Management of Obesity Disease. Int. J. Mol. Sci. 2023, 24, 15929. [Google Scholar] [CrossRef]
- Chen, X.; Liu, Z.; Meng, R.; Shi, C.; Guo, N. Antioxidative and anticancer properties of Licochalcone A from licorice. J. Ethnopharmacol. 2017, 198, 331–337. [Google Scholar] [CrossRef]
- Pérez-González, A.; Castañeda-Arriaga, R.; Guzmán-López, E.G.; Hernández-Ayala, L.F.; Galano, A. Chalcone Derivatives with a High Potential as Multifunctional Antioxidant Neuroprotectors. ACS Omega 2022, 7, 38254–38268. [Google Scholar] [CrossRef]
- Michalkova, R.; Mirossay, L.; Kello, M.; Mojzisova, G.; Baloghova, J.; Podracka, A.; Mojzis, J. Anticancer Potential of Natural Chalcones: In Vitro and In Vivo Evidence. Int. J. Mol. Sci. 2023, 24, 10354. [Google Scholar] [CrossRef] [PubMed]
- Constantinescu, T.; Lungu, C.N. Anticancer Activity of Natural and Synthetic Chalcones. Int. J. Mol. Sci. 2021, 22, 11306. [Google Scholar] [CrossRef] [PubMed]
- Kulkarni, R.R.; Tupe, S.G.; Gample, S.P.; Chandgude, M.G.; Sarkar, D.; Deshpande, M.V.; Joshi, S.P. Antifungal dimeric chalcone derivative kamalachalcone E from Mallotus philippinensis. Nat. Prod. Res. 2014, 28, 245–250. [Google Scholar] [CrossRef] [PubMed]
- Michalkova, R.; Kello, M.; Cizmarikova, M.; Bardelcikova, A.; Mirossay, L.; Mojzis, J. Chalcones and Gastrointestinal Cancers: Experimental Evidence. Int. J. Mol. Sci. 2023, 24, 5964. [Google Scholar] [CrossRef] [PubMed]
- Menta, A.; Fouad, T.M.; Lucci, A.; Le-Petross, H.; Stauder, M.C.; Woodward, W.A.; Ueno, N.T.; Lim, B. Inflammatory Breast Cancer What to Know About This Unique, Aggressive Breast Cancer. Surg. Clin. N. Am. 2018, 98, 787–800. [Google Scholar] [CrossRef]
- Kang, Y.; Park, M.-A.; Heo, S.-W.; Park, S.-Y.; Kang, K.W.; Park, P.-H.; Kim, J.-A. The radio-sensitizing effect of xanthohumol is mediated by STAT3 and EGFR suppression in doxorubicin-resistant MCF-7 human breast cancer cells. Biochim. Biophys. Acta (BBA)-Gen. Subj. 2013, 1830, 2638–2648. [Google Scholar] [CrossRef]
- Rumgay, H.; Arnold, M.; Ferlay, J.; Lesi, O.; Cabasag, C.J.; Vignat, J.; Laversanne, M.; McGlynn, K.A.; Soerjomataram, I. Global burden of primary liver cancer in 2020 and predictions to 2040. J. Hepatol. 2022, 77, 1598–1606. [Google Scholar] [CrossRef]
- Zhou, X.; Zhou, R.; Li, Q.; Jie, X.; Hong, J.; Zong, Y.; Dong, X.; Zhang, S.; Li, Z.; Wu, G. Cardamonin Inhibits the Proliferation and Metastasis of Non-Small-Cell Lung Cancer Cells by Suppressing the PI3K/Akt/mTOR Pathway. Anti-Cancer Drugs 2019, 30, 241–250. [Google Scholar] [CrossRef]
- Fong, H.Y.; Malek, S.N.A.; Yee, H.S.; Karsani, S.A. Helichrysetin induces DNA damage that triggers JNK-mediated apoptosis in Ca Ski cells. Pharmacogn. Mag. 2017, 13, 607–612. [Google Scholar] [CrossRef]
- Wang, P.; Jin, J.M.; Liang, X.H.; Yu, M.Z.; Yang, C.; Huang, F.; Wu, H.; Zhang, B.B.; Fei, X.Y.; Wang, Z.T.; et al. Helichrysetin Inhibits Gastric Cancer Growth by Targeting c-Myc/PDHK1 Axis-Mediated Energy Metabolism Reprogramming. Acta Pharmacol. Sin. 2022, 43, 1581–1593. [Google Scholar] [CrossRef]
- Ho, Y.F.; Karsani, S.A.; Yong, W.K.; Malek, S.N.A. Induction of Apoptosis and Cell Cycle Blockade by Helichrysetin in A549 Human Lung Adenocarcinoma Cells. Evid.-Based Complement. Altern. Med. eCAM 2013, 2013, 1–10. [Google Scholar] [CrossRef]
- Mahapatra, D.K.; Asati, V.; Bharti, S.K. Chalcones and their therapeutic targets for the management of diabetes: Structural and pharmacological perspectives. Eur. J. Med. Chem. 2015, 92, 839–865. [Google Scholar] [CrossRef]
- Uddin, J.; Shah, S.W.A.; Zahoor, M.; Ullah, R.; Alotaibi, A. Chalcones: The flavonoid derivatives synthesis, characterization, their antioxidant and in vitro/in vivo antidiabetic potentials. Heliyon 2023, 9, e22546. [Google Scholar] [CrossRef]
- Hu, X.; Zhang, H.; Wang, D. The role of chalcones in the inhibition of α-glucosidase and aldose reductase for diabetic complications prevention. Eur. J. Med. Chem. 2018, 157, 772–784. [Google Scholar]
- Padmavathi, G.; Roy, N.K.; Bordoloi, D.; Arfuso, F.; Mishra, S.; Sethi, G.; Bishayee, A.; Kunnumakkara, A.B. Butein in health and disease: A comprehensive review. Phytomedicine 2017, 25, 118–127. [Google Scholar] [CrossRef] [PubMed]
- Yadav, V.R.; Prasad, S.; Sung, B.; Aggarwal, B.B. The Role of Chalcones in Suppression of NF-κB-Mediated Inflammation and Cancer. Int. Immunopharmacol. 2011, 11, 295–309. [Google Scholar] [CrossRef]
- Kim, K.H.; Moon, E.; Choi, S.U.; Kim, S.Y.; Lee, K.R. Polyphenols from the bark of Rhus verniciflua and their biological evaluation on antitumor and anti-inflammatory activities. Phytochemistry 2013, 92, 113–121. [Google Scholar] [CrossRef] [PubMed]
- Viana, G.S.B.; Bandeira, M.A.M.; Matos, F.J.A. Analgesic and antiinflammatory effects of chalcones isolated from Myracrodruon urundeuva Allemão. Phytomedicine 2003, 10, 189–195. [Google Scholar] [CrossRef] [PubMed]
- Hsieh, H.; Lee, T.; Wang, J.; Wang, J.; Lin, C. Synthesis and anti-inflammatory effect of chalcones and related compounds. Pharm. Res. 1998, 15, 39–46. [Google Scholar] [CrossRef]
- Rowhanirad, S.; Taherianfard, M. The neuroprotective effects of Chalcones from Ashitaba on cuprizone-induced demyelination via modulation of brain-derived neurotrophic factor and tumor necrosis factor α. Brain Behav. 2023, 13, e3144. [Google Scholar] [CrossRef]
- Lamptey, R.N.L.; Chaulagain, B.; Trivedi, R.; Gothwal, A.; Layek, B.; Singh, J. A Review of the Common Neurodegenerative Disorders: Current Therapeutic Approaches and the Potential Role of Nanotherapeutics. Int. J. Mol. Sci. 2022, 23, 1851. [Google Scholar] [CrossRef]
- Królicka, E.; Kieć-Kononowicz, K.; Łażewska, D. Chalcones as Potential Ligands for the Treatment of Parkinson’s Disease. Pharmaceuticals 2022, 15, 847. [Google Scholar] [CrossRef] [PubMed]
- Guglielmi, P.; Mathew, B.; Secci, D.; Carradori, S. Chalcones: Unearthing Their Therapeutic Possibility as Monoamine Oxidase B Inhibitors. Eur. J. Med. Chem. 2020, 205, 112650. [Google Scholar] [CrossRef] [PubMed]
- Caesar, L.K.; Cech, N.B. A Review of the Medicinal Uses and Pharmacology of Ashitaba. Planta Medica 2016, 82, 1236–1245. [Google Scholar] [CrossRef] [PubMed]
- Mathew, B.; Mathew, G.E.; Uçar, G.; Baysal, I.; Suresh, J.; Vilapurathu, J.K.; Prakasan, A.; Suresh, J.K.; Thomas, A. Development of Fluorinated Methoxylated Chalcones as Selective Monoamine Oxidase-B Inhibitors: Synthesis, Biochemistry, and Molecular Docking Studies. Bioorg. Chem. 2015, 62, 22–29. [Google Scholar] [CrossRef] [PubMed]
- Barber, K.; Mendonca, P.; Soliman, K.F.A. The Neuroprotective Effects and Therapeutic Potential of the Chalcone Cardamonin for Alzheimer’s Disease. Brain Sci. 2023, 13, 145. [Google Scholar] [CrossRef]
- Agostinho, P.; Cunha, R.A.; Oliveira, C. Neuroinflammation, oxidative stress and the pathogenesis of Alzheimer’s disease. Curr. Pharm. Des. 2010, 16, 2766–2778. [Google Scholar] [CrossRef]
- Prasathkumar, M.; Anisha, S.; Dhrisya, C.; Becky, R.; Sadhasivam, S. Therapeutic and pharmacological efficacy of selective Indian medicinal plants—A review. Phytomedicine Plus 2021, 1, 100029. [Google Scholar] [CrossRef]
- Hatziieremia, S.; Gray, A.I.; Ferro, V.A.; Paul, A.; Plevin, R. The effects of cardamonin on lipopolysaccharide-induced inflammatory protein production and MAP kinase and NFkappaB signalling pathways in monocytes/macrophages. Br. J. Pharmacol. 2006, 149, 188–198. [Google Scholar] [CrossRef]
- Gonçalves, L.M.; Valente, I.M.; Rodrigues, J.A. An Overview on Cardamonin. J. Med. Food 2014, 17, 633–640. [Google Scholar] [CrossRef]
- Benjamin, E.J.; Virani, S.S.; Callaway, C.W.; Chamberlain, A.M.; Chang, A.R.; Cheng, S.; Chiuve, S.E.; Cushman, M.; Delling, F.N.; Deo, R.; et al. Heart Disease and Stroke Statistics-2018 Update: A Report From the American Heart Association. Circulation 2018, 137, e67–e492. [Google Scholar] [CrossRef]
- Olvera Lopez, E.; Ballard, B.D.; Jan, A. Cardiovascular Disease. In StatPearls; StatPearls Publishing: Treasure Island, FL, USA, 2024. [Google Scholar]
- Santos, L.; Curi Pedrosa, R.; Correa, R.; Cechinel Filho, V.; Nunes, R.J.; Yunes, R.A. Biological Evaluation of Chalcones and Analogues as Hypolipidemic Agents. Arch. Pharm. Pharm. Med. Chem. 2006, 339, 541–546. [Google Scholar] [CrossRef]
- Ogawa, H.; Ohno, M.; Baba, K. Hypotensive and lipid regulatory actions of 4-hydroxyderricin, a chalcone from Angelica keiskei, in stroke-prone spontaneously hypertensive rats. Clin. Exp. Pharmacol. Physiol. 2005, 32, 9–23. [Google Scholar] [CrossRef]
- Kimura, Y.; Taniguchi, M.; Baba, K. Antitumor and antimetastatic activities of 4-hydroxyderricin isolated from Angelica keiskei Roots. Planta Medica 2004, 70, 211–219. [Google Scholar] [CrossRef]
- Funakoshi-Tago, M.; Tanabe, S.; Tago, K.; Itoh, H.; Mashino, T.; Sonoda, Y.; Kasahara, T. Licochalcone A Potently Inhibits Tumor Necrosis Factor Alpha-Induced Nuclear Factor-KappaB Activation through the Direct Inhibition of IkappaB Kinase Complex Activation. Mol. Pharmacol. 2009, 76, 745–753. [Google Scholar] [CrossRef] [PubMed]
- Venkatesan, P. The 2023 WHO World Malaria Report. Available online: https://www.thelancet.com/journals/lanmic/article/PIIS2666-5247(24)00016-8/fulltext (accessed on 12 June 2024).
- White, N.J. The treatment of malaria. N. Engl. J. Med. 1996, 335, 800–806. [Google Scholar] [CrossRef] [PubMed]
- Dondorp, A.M.; Nosten, F.; Yi, P.; Das, D.; Phyo, A.P.; Tarning, J.; Lwin, K.M.; Ariey, F.; Hanpithakpong, W.; Lee, S.J.; et al. Artemisinin resistance in Plasmodium falciparum Malaria. N. Engl. J. Med. 2009, 361, 455–467. [Google Scholar] [CrossRef]
- Chen, M.; Theander, T.G.; Christensen, S.B.; Hviid, L.; Zhai, L.; Kharazmi, A. Licochalcone A, a New Antimalarial Agent, Inhibits In Vitro Growth of the Human Malaria Parasite Plasmodium falciparum and Protects mice from P. yoelii Infection. Antimicrob. Agents Chemother. 1994, 38, 1470–1475. [Google Scholar] [CrossRef]
- Zhai, L.; Blom, J.; Chen, M.; Christensen, S.B.; Kharazmi, A. The antileishmanial agent licochalcone A interferes with the function of parasite mitochondria. Antimicrob. Agents Chemother. 1995, 39, 2742–2748. [Google Scholar] [CrossRef] [PubMed][Green Version]
- Ziegler, H.L.; Hansen, H.S.; Stærk, D.; Christensen, S.B.; Hägerstrand, H.; Jaroszewski, J.W. The antiparasitic compound licochalcone a is a potent echinocytogenic agent that modifies the erythrocyte membrane in the concentration range where antiplasmodial activity is observed. Antimicrob. Agents Chemother. 2004, 48, 4067–4071. [Google Scholar] [CrossRef]
- Narender, T.; Shweta; Tanvir, K.; Srinivasa Rao, M.; Srivastava, K.; Puri, S.K. Prenylated chalcones isolated from Crotalaria genus inhibits in vitro growth of the human malaria parasite Plasmodium falciparum. Med. Chem. Lett. 2005, 15, 2453–2455. [Google Scholar] [CrossRef]
- Sinha, S.; Medhi, B.; Radotra, B.D.; Batovska, D.I.; Markova, N.; Bhalla, A.; Sehgal, R. Antimalarial and Immunomodulatory Potential of Chalcone Derivatives in Experimental Model of Malaria. BMC Complement. Med. Ther. 2022, 22, 1–14. [Google Scholar] [CrossRef] [PubMed]
- GBD 2019 Antimicrobial Resistance Collaborators. Global mortality associated with 33 bacterial pathogens in 2019: A systematic analysis for the Global Burden of Disease Study 2019. Lancet 2022, 400, 2221–2248. [Google Scholar] [CrossRef]
- Wang, S.; Li, C.; Zhang, L.; Sun, B.; Cui, Y.; Sang, F. Isolation and Biological Activity of Natural Chalcones Based on Antibacterial Mechanism Classification. Bioorg. Med. Chem. 2023, 93, 117454. [Google Scholar] [CrossRef] [PubMed]
- Brightman, A.O.; Morré, D.J. NADH Oxidase of Plasma Membranes. J. Bioenerg. Biomembr. 1991, 23, 469–489. [Google Scholar] [CrossRef]
- Tsukiyama, R.-I.; Katsura, H.; Tokuriki, N.; Kobayashi, M. Antibacterial Activity of Licochalcone A against Spore-Forming Bacteria. Antimicrob. Agents Chemother. 2002, 46, 1226–1230. [Google Scholar] [CrossRef]
- Qiu, J.; Feng, H.; Xiang, H.; Wang, D.; Xia, L.; Jiang, Y.; Song, K.; Lu, J.; Yu, L.; Deng, X. Influence of Subinhibitory Concentrations of Licochalcone A on the Secretion of Enterotoxins A and B by Staphylococcus aureus. FEMS Microbiol. Lett. 2010, 307, 135–141. [Google Scholar] [CrossRef]
- Elkhalifa, D.; Al-Hashimi, I.; Al Moustafa, A.-E.; Khalil, A. A comprehensive review on the antiviral activities of chalcones. J. Drug Target. 2020, 29, 403–419. [Google Scholar] [CrossRef] [PubMed]
- Irwin, K.K.; Renzette, N.; Kowalik, T.F.; Jensen, J.D. Antiviral drug resistance as an adaptive process. Virus Evol. 2016, 2, vew014. [Google Scholar] [CrossRef]
- Brody, H. Influenza. Nature 2019, 573, S49. [Google Scholar] [CrossRef]
- Vijayakumar, B.G.; Ramesh, D.; Joji, A.; Jayachandra Prakasan, J.; Kannan, T. In silico pharmacokinetic and molecular docking studies of natural flavonoids and synthetic indole chalcones against essential proteins of SARS-CoV-2. Eur. J. Pharmacol. 2020, 886, 173448. [Google Scholar] [CrossRef]
- Valipour, M. Recruitment of chalcone’s potential in drug discovery of anti-SARS-CoV-2 agents. Phytother Res. 2022, 36, 4477–4490. [Google Scholar] [CrossRef] [PubMed]
- Wang, H.; Jia, X.; Zhang, M.; Cheng, C.; Liang, X.; Wang, X.; Xie, F.; Wang, J.; Yu, Y.; He, Y.; et al. Isoliquiritigenin inhibits virus replication and virus-mediated inflammation via NRF2 signaling. Phytomedicine 2023, 114, 154786. [Google Scholar] [CrossRef]
- Kaur, R.; Sharma, P.; Gupta, G.K.; Ntie-Kang, F.; Kumar, D. Structure-Activity-Relationship and Mechanistic Insights for Anti-HIV Natural Products. Molecules 2020, 25, 2070. [Google Scholar] [CrossRef]
- Mahapatra, D.K.; Bharti, S.K.; Asati, V. Chalcone scaffolds as anti-infective agents: Structural and molecular target perspectives. Eur. J. Med. Chem. 2015, 101, 496–524. [Google Scholar] [CrossRef] [PubMed]
- Jung, F.; Staltner, R.; Tahir, A.; Baumann, A.; Burger, K.; Halilbasic, E.; Hellerbrand, C.; Bergheim, I. Oral intake of xanthohumol attenuates lipoteichoic acid-induced inflammatory response in human PBMCs. Eur. J. Nutr. 2022, 61, 4155–4166. [Google Scholar] [CrossRef]
- Watanabe, N.; Inoue, K.; Hara, H.; Midorikawa, M.; Ohta, M.; Ohkura, N. Randomised, double-blind, parallel group comparison of Ashitaba (Angelica Keiskei) chalcone effects on visceral fat areas and waist circumference of overweight persons. Int. J. Food Sci. Nutr. 2024, 75, 426–435. [Google Scholar] [CrossRef] [PubMed]
- Hanif, N.; Iswantini, D.; Hioki, Y.; Murni, A.; Kita, M.; Tanaka, J. Flavokawains, Plant-derived Chalcones, Inhibit Differentiation of Murine Pre-adipocytes. Chem. Lett. 2021, 51, 54–57. [Google Scholar] [CrossRef]
- Zhang, T.; Yamamoto, N.; Yamashita, Y.; Ashida, H. The chalcones cardamonin and flavokawain B inhibit the differentiation of preadipocytes to adipocytes by activating ERK. Arch. Biochem. Biophys. 2014, 554, 44–54. [Google Scholar] [CrossRef]
- Rossi, M.; Caruso, F.; Crespi, E.J.; Pedersen, J.Z.; Nakano, G.; Duong, M.; Mckee, C.; Lee, S.; Jiwrajka, M.; Caldwell, C.; et al. Probing antioxidant activity of 2‘-hydroxychalcones: Crystal and molecular structures, in vitro antiproliferative studies and in vivo effects on glucose regulation. Biochimie 2013, 95, 1954–1963. [Google Scholar] [CrossRef]
- Dao, T.T.; Nguyen, P.H.; Lee, H.S.; Kim, E.; Park, J.; Lim, S.I.; Oh, W.K. Chalcones as novel influenza A (H1N1) neuraminidase inhibitors from Glycyrrhiza inflata. Bioorg. Med. Chem. Lett. 2011, 21, 294–298. [Google Scholar] [CrossRef]
- Park, J.Y.; Ko, J.A.; Kim, D.W.; Kim, Y.M.; Kwon, H.J.; Jeong, H.J.; Kim, C.Y.; Park, K.H.; Lee, W.S.; Ryu, Y.B.; et al. Chalcones isolated from Angelica keiskei inhibit cysteine proteases of SARS-CoV. J. Enzyme Inhib. Med. Chem. 2016, 31, 23–30. [Google Scholar] [CrossRef]
- Guan, M.; Shi, R.; Zheng, Y.; Zeng, X.; Fan, W.; Wang, Y.; Su, W. Characterization, in Vitro and in Vivo Evaluation of Naringenin-Hydroxypropyl-β-Cyclodextrin Inclusion for Pulmonary Delivery. Molecules 2020, 25, 554. [Google Scholar] [CrossRef] [PubMed]
- Salehi, B.; Fokou, P.V.T.; Sharifi-Rad, M.; Zucca, P.; Pezzani, R.; Martins, N.; Sharifi-Rad, J. The Therapeutic Potential of Naringenin: A Review of Clinical Trials. Pharmaceuticals 2019, 12, 11. [Google Scholar] [CrossRef]
- Tuli, H.S.; Rath, P.; Chauhan, A.; Ramniwas, S.; Vashishth, K.; Varol, M.; Jaswal, V.S.; Haque, S.; Sak, K. Phloretin, as a Potent Anticancer Compound: From Chemistry to Cellular Interactions. Molecules 2022, 27, 8819. [Google Scholar] [CrossRef] [PubMed]
- Bradley, R.; Langley, B.O.; Ryan, J.J.; Phipps, J.; Hanes, D.A.; Stack, E.; Jansson, J.K.; Metz, T.O.; Stevens, J.F. Xanthohumol Microbiome and Signature in Healthy Adults (the XMaS Trial): A Phase I Triple-Masked, Placebo-Controlled Clinical Trial. Trials 2020, 21, 835. [Google Scholar] [CrossRef] [PubMed]
- ClinicalTrials.gov. A Phase 2 Clinical Trial: Xanthohumol Metabolism and Signature (XMaS) in Crohn’s Disease (XMaS). ClinicalTrials.gov Identifier: NCT04590508. Available online: https://classic.clinicaltrials.gov/ct2/show/NCT04590508 (accessed on 16 June 2024).
- Liu, J.; Deng, L.; Wang, L.; Qian, D.; He, C.; Ren, Q.; Zhang, Q.; Chen, Y. Licochalcone A Induces G2/M Phase Arrest and Apoptosis via Regulating p53 Pathways in Esophageal Cancer: In Vitro and In Vivo Study. Eur. J. Pharmacol. 2023, 958, 176080. [Google Scholar] [CrossRef]
- Kolbe, L.; Immeyer, J.; Batzer, J.; Wensorra, U.; Dieck, K.T.; Mundt, C.; Wolber, R.; Stäb, F.; Schönrock, U.; Ceilley, R.I.; et al. Anti-inflammatory efficacy of Licochalcone A: Correlation of clinical potency and in vitro effects. Arch. Dermatol. Res. 2006, 298, 23–30. [Google Scholar] [CrossRef]
- Kulthanan, K.; Trakanwittayarak, S.; Tuchinda, P.; Chularojanamontri, L.; Limphoka, P.; Varothai, S. A Double-Blinded, Randomized, Vehicle-Controlled Study of the Efficacy of Moisturizer Containing Licochalcone A, Decanediol, L-Carnitine, and Salicylic Acid for Prevention of Acne Relapse in Asian Population. BioMed Res. Int. 2020, 2020, 1–11. [Google Scholar] [CrossRef]
- Liu, X.; Xiong, Y.; Shi, Y.; Deng, X.; Deng, Q.; Liu, Y.; Yu, Z.; Li, D.; Zheng, J.; Li, P. In Vitro Activities of Licochalcone A against Planktonic Cells and Biofilm of Enterococcus faecalis. Front. Microbiol. 2022, 13, 970901. [Google Scholar] [CrossRef]
- Yang, P.; Hu, D.; Kao, Y.; Lin, I.; Liu, F. Butein Induces Apoptotic Cell Death of Human Cervical Cancer Cells. Oncol. Lett. 2018, 16, 6615–6623. [Google Scholar] [CrossRef]
- Hsu, Y.-W.; Chen, H.-Y.; Chiang, Y.-F.; Chang, L.-C.; Lin, P.-H.; Hsia, S.-M. The Effects of Isoliquiritigenin on Endometriosis In Vivo and In Vitro Study. Phytomedicine 2020, 77, 153214. [Google Scholar] [CrossRef]
- Shi, G.-J.; Li, Y.; Cao, Q.-H.; Wu, H.-X.; Tang, X.-Y.; Gao, X.-H.; Yu, J.-Q.; Chen, Z.; Yang, Y. In Vitro and In Vivo Evidence that Quercetin Protects against Diabetes and Its Complications: A Systematic Review of the Literature. Biomed. Pharmacother. 2018, 109, 1085–1099. [Google Scholar] [CrossRef] [PubMed]
- ClinicalTrials.gov. A Study of the Safety, Tolerability, and Pharmacokinetics of Multiple Doses of ABBV-157 in Adults with Celiac Disease (NCT02989129). Available online: https://clinicaltrials.gov/ct2/show/NCT02989129 (accessed on 16 January 2024).
- Pfahler, N.; Klovaite, G.; Aman, S.; Zaparackas, Z.; Knepper, P.A. One-Year Results of a Phase 2 Clinical Trial Evaluating Resveratrol, Quercetin, and Curcumin (RQC) for the Treatment of Geographic Atrophy. ARVO Annu. Meet. Abstr. 2023, 64, 2266. [Google Scholar]
- Ruibin, J.; Bo, J.; Danying, W.; Jianguo, F.; Linhui, G. Cardamonin Induces G2/M Phase Arrest and Apoptosis through Inhibition of NF-κB and mTOR Pathways in Ovarian Cancer. Aging 2020, 12, 25730–25743. [Google Scholar] [CrossRef] [PubMed]
- Hseu, Y.-C.; Chiang, Y.-C.; Gowrisankar, Y.V.; Lin, K.-Y.; Huang, S.-T.; Shrestha, S.; Chang, G.-R.; Yang, H.-L. The In Vitro and In Vivo Anticancer Properties of Chalcone Flavokawain B through Induction of ROS-Mediated Apoptotic and Autophagic Cell Death in Human Melanoma Cells. Cancers 2020, 12, 2936. [Google Scholar] [CrossRef] [PubMed]
- Sumiyoshi, M.; Taniguchi, M.; Baba, K.; Kimura, Y. Antitumor and Antimetastatic Actions of Xanthoangelol and 4-Hydroxyderricin Isolated from Angelica keiskei Roots through the Inhibited Activation and Differentiation of M2 Macrophages. Phytomedicine 2015, 22, 759–767. [Google Scholar] [CrossRef]
- Chen, Q.; Lei, J.; Zhou, J.; Ma, S.; Huang, Q.; Ge, B. Chemopreventive Effect of 4‘-Hydroxychalcone on Intestinal Tumorigenesis in ApcMin Mice. Oncol. Lett. 2021, 21, 213. [Google Scholar] [CrossRef]






Disclaimer/Publisher’s Note: The statements, opinions and data contained in all publications are solely those of the individual author(s) and contributor(s) and not of MDPI and/or the editor(s). MDPI and/or the editor(s) disclaim responsibility for any injury to people or property resulting from any ideas, methods, instructions or products referred to in the content. |
© 2024 by the authors. Licensee MDPI, Basel, Switzerland. This article is an open access article distributed under the terms and conditions of the Creative Commons Attribution (CC BY) license (https://creativecommons.org/licenses/by/4.0/).
Share and Cite
Villa, S.M.; Heckman, J.; Bandyopadhyay, D. Medicinally Privileged Natural Chalcones: Abundance, Mechanisms of Action, and Clinical Trials. Int. J. Mol. Sci. 2024, 25, 9623. https://doi.org/10.3390/ijms25179623
Villa SM, Heckman J, Bandyopadhyay D. Medicinally Privileged Natural Chalcones: Abundance, Mechanisms of Action, and Clinical Trials. International Journal of Molecular Sciences. 2024; 25(17):9623. https://doi.org/10.3390/ijms25179623
Chicago/Turabian StyleVilla, Sophia M., Justin Heckman, and Debasish Bandyopadhyay. 2024. "Medicinally Privileged Natural Chalcones: Abundance, Mechanisms of Action, and Clinical Trials" International Journal of Molecular Sciences 25, no. 17: 9623. https://doi.org/10.3390/ijms25179623
APA StyleVilla, S. M., Heckman, J., & Bandyopadhyay, D. (2024). Medicinally Privileged Natural Chalcones: Abundance, Mechanisms of Action, and Clinical Trials. International Journal of Molecular Sciences, 25(17), 9623. https://doi.org/10.3390/ijms25179623

