Physiological, Metabolome and Gene Expression Analyses Reveal the Accumulation and Biosynthesis Pathways of Soluble Sugars and Amino Acids in Sweet Sorghum under Osmotic Stresses
Abstract
1. Introduction
2. Results
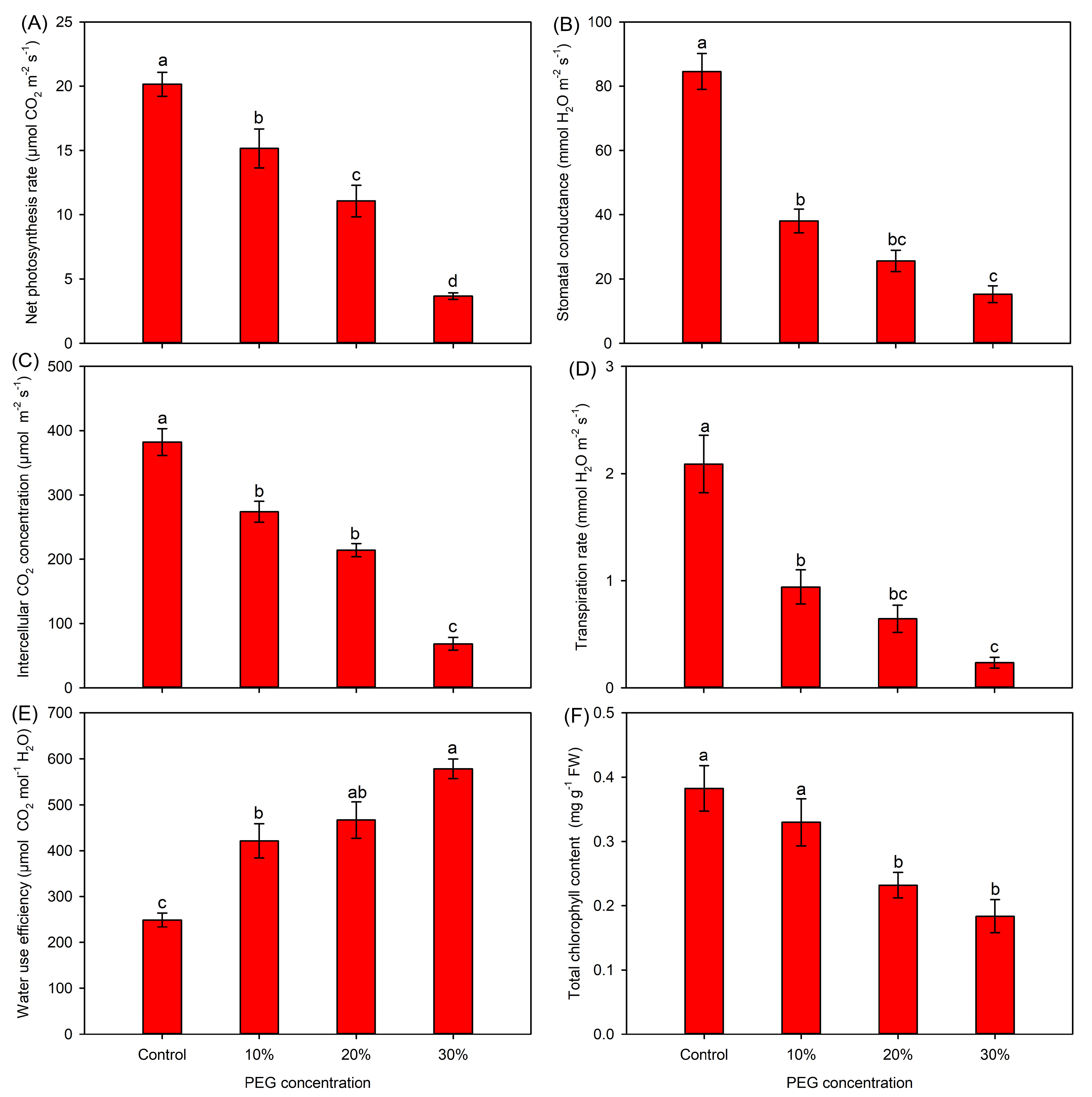
2.1. The Effects of Osmotic Stresses on the Growth and Photosynthesis of Sweet Sorghum
2.2. The Effects of Osmotic Stresses on the Tissue K+ and NO3− Contents and Leaf Osmotic Adjustment in Sweet Sorghum
2.3. Metabolome Profiling of Sweet Sorghum under Osmotic Stresses
2.4. The Identification of DAMs Categorized into Soluble Sugars and Amino Acids in the Stems and Leaves of Sweet Sorghum under Osmotic Stresses
2.5. Transcriptome Sequencing of Sweet Sorghum under Osmotic Stresses
2.6. The Identification of DEGs Involved in the Biosynthesis Pathways of Soluble Sugars in Sweet Sorghum under Osmotic Stresses
2.7. The Identification of DEGs Involved in the Biosynthesis Pathways of Amino Acids in Sweet Sorghum under Osmotic Stresses
2.8. The Expression Patterns of Key Genes Involved in the Biosynthesis Pathways of Sugars and Amino Acids under Osmotic Stresses
3. Discussion
3.1. Sweet Sorghum Could Efficiently Enhance the Osmotic Adjustment Ability under Osmotic Stresses
3.2. The Large Accumulation of Soluble Sugars for Osmotic Adjustment Is a Key Strategy of Sweet Sorghum in Adaptation to Osmotic Stresses
3.3. Amino Acids Play Crucial Roles in the Response of Sweet Sorghum to Osmotic Stresses
4. Materials and Methods
4.1. Plant Material and Growth Conditions
4.2. Determination of Growth-Related Parameters
4.3. Determination of Photosynthesis-Related Parameters
4.4. Determination of Tissue K+ and NO3− Contents
4.5. Determination of Leaf Osmotic Adjustment-Related Parameters
4.6. Metabolome Analysis
4.7. Transcriptome Sequencing
4.8. qRT-PCR Analysis
4.9. Data Analysis
5. Conclusions
Supplementary Materials
Author Contributions
Funding
Institutional Review Board Statement
Informed Consent Statement
Data Availability Statement
Conflicts of Interest
References
- Carmo-Silva, A.E.; Gore, M.A.; Andrade-Sanchez, P.; French, A.N.; Hunsaker, D.J.; Salvucci, M.E. Decreased CO2 availability and inactivation of Rubisco limit photosynthesis in cotton plants under heat and drought stress in the field. Environ. Exp. Bot. 2012, 83, 1–11. [Google Scholar] [CrossRef]
- Cui, Y.N.; Xia, Z.R.; Ma, Q.; Wang, W.Y.; Chai, W.W.; Wang, S.M. The synergistic effects of sodium and potassium on the xerophyte Apocynum venetum in response to drought stress. Plant Physiol. Bioch. 2019, 135, 489–498. [Google Scholar] [CrossRef] [PubMed]
- Li, J.; Lei, S.; Gong, H.; Liu, Z.; Zhang, Y.; Ouyang, Z. Field performance of sweet sorghum in salt-affected soils in China: A quantitative synthesis. Environ. Res. 2023, 222, 115362. [Google Scholar] [CrossRef]
- López-Sandin, I.; Zavala-García, F.; Levin, L.; Ruiz, H.A.; Hernández-Luna, C.E.; Gutiérrez-Soto, G. Evaluation of bioethanol production from sweet sorghum variety roger under different tillage and fertilizer treatments. Bioenerg. Res. 2021, 14, 1058–1069. [Google Scholar] [CrossRef]
- Yang, Z.; Li, J.L.; Liu, L.N.; Xie, Q.; Sui, N. Photosynthetic regulation under salt stress and salt-tolerance mechanism of sweet sorghum. Front. Plant Sci. 2020, 10, 1722. [Google Scholar] [CrossRef] [PubMed]
- Almodares, A.; Hotjatabady, R.H.; Mirniam, E. Effects of drought stress on biomass and carbohydrate contents of two sweet sorghum cultivars. J. Environ. Biol. 2013, 34, 585–589. [Google Scholar]
- Song, Y.; Li, S.; Sui, Y.; Zheng, H.; Han, G.; Sun, X.; Yang, W.; Wang, H.; Zhuang, K.; Kong, F.; et al. SbbHLH85, a bHLH member, modulates resilience to salt stress by regulating root hair growth in sorghum. Theor. Appl. Genet. 2022, 135, 201–216. [Google Scholar] [CrossRef]
- Guo, H.; Nie, C.Y.; Li, Z.; Kang, J.; Wang, X.L.; Cui, Y.N. Physiological and transcriptional analyses provide insight into maintaining ion homeostasis of sweet sorghum under salt stress. Int. J. Mol. Sci. 2023, 24, 11045. [Google Scholar] [CrossRef]
- Gowda, V.R.P.; Henry, A.; Yamauchi, A.; Shashidhar, H. Root biology and genetic improvement for drought avoidance in rice. Field Crop. Res. 2011, 122, 1–13. [Google Scholar] [CrossRef]
- Kim, H.; Yu, S.l.; Jung, S.H.; Lee, B.H.; Suh, M.C. The F-box protein SAGL1 and ECERIFERUM3 regulate cuticular wax biosynthesis in response to changes in humidity in Arabidopsis. Plant Cell 2019, 31, 2223–2240. [Google Scholar] [CrossRef]
- Petek-Petrik, A.; Petrík, P.; Lamarque, L.J.; Cochard, H.; Burlett, R.; Delzon, S. Drought survival in conifer species is related to the time required to cross the stomatal safety margin. J. Exp. Bot. 2023, 74, 6847–6859. [Google Scholar] [CrossRef]
- Mahajan, S.; Tuteja, N. Cold, salinity and drought stresses: An overview. Arch. Biochem. Biophys. 2005, 444, 139–158. [Google Scholar] [CrossRef] [PubMed]
- Shim, J.S.; Jeong, H.I.; Bang, S.W.; Jung, S.E.; Kim, G.; Kim, Y.S.; Redillas, M.C.F.R.; Oh, S.J.; Seo, J.S.; Kim, J.K. Drought-induced branched-chain amino acid aminotransferase enhances drought tolerance in rice. Plant Physiol. 2023, 191, 1435–1447. [Google Scholar] [CrossRef]
- Chen, H.; Jiang, J.G. Osmotic responses of Dunaliella to the changes of salinity. J. Cell. Physiol. 2009, 219, 251–258. [Google Scholar] [CrossRef]
- Wu, G.Q.; Wang, C.M.; Su, Y.Y.; Zhang, J.J.; Feng, R.J.; Liang, N. Assessment of drought tolerance in seedlings of sugar beet (Beta vulgaris L.) cultivars using inorganic and organic solutes accumulation criteria. Soil Sci. Plant Nutr. 2014, 60, 565–576. [Google Scholar]
- Moustakas, M.; Sperdouli, I.; Kouna, T.; Antonopoulou, C.I.; Therios, I. Exogenous proline induces soluble sugar accumulation and alleviates drought stress effects on photosystem II functioning of Arabidopsis thaliana leaves. Plant Growth Regul. 2011, 65, 315–325. [Google Scholar] [CrossRef]
- Cui, Y.N.; Li, X.T.; Yuan, J.Z.; Wang, F.Z.; Guo, H.; Xia, Z.R.; Wang, S.M.; Ma, Q. Chloride is beneficial for growth of the xerophyte Pugionium cornutum by enhancing osmotic adjustment capacity under salt and drought stresses. J. Exp. Bot. 2020, 71, 4215–4231. [Google Scholar] [CrossRef]
- Egert, A.; Eicher, B.; Keller, F.; Peters, S. Evidence for water deficit-induced mass increases of raffinose family oligosaccharides (RFOs) in the leaves of three Craterostigma resurrection plant species. Front. Physiol. 2015, 6, 206. [Google Scholar] [CrossRef]
- Liang, Y.; Wei, G.; Ning, K.; Li, M.; Zhang, G.; Luo, L.; Zhao, G.; Wei, J.; Liu, Y.; Dong, L.; et al. Increase in carbohydrate content and variation in microbiome are related to the drought tolerance of Codonopsis pilosula. Plant Physol. Biochem. 2021, 165, 19–35. [Google Scholar] [CrossRef]
- Liu, Y.; Li, T.; Zhang, C.; Zhang, W.; Deng, N.; Dirk, L.M.A.; Downie, A.B.; Zhao, T. Raffinose positively regulates maize drought tolerance by reducing leaf transpiration. Plant J. 2023, 114, 55–67. [Google Scholar] [CrossRef]
- Wang, P.; Lei, X.; Lü, J.; Gao, C. Overexpression of the ThTPS gene enhanced salt and osmotic stress tolerance in Tamarix hispida. J. For. Res. 2022, 33, 299–308. [Google Scholar] [CrossRef]
- Massacci, A.; Battistella, A.; Loret, F. Effect of drought stress on photosynthetic characteristics, growth and sugar accumulation of field-grown sweet sorghum. Aust. J. Plant Physiol. 1996, 23, 33140. [Google Scholar] [CrossRef]
- Kaur, G.; Asthir, B. Proline: A key player in plant abiotic stress tolerance. Biol. Plantarum 2015, 59, 609–619. [Google Scholar] [CrossRef]
- Poustini, K.; Siosemardeh, A.; Ranjbar, M. Proline accumulation as a response to salt stress in 30 wheat (Triticum aestivum L.) cultivars differing in salt tolerance. Genet. Resour. Crop Evol. 2007, 54, 925–934. [Google Scholar] [CrossRef]
- Pan, Y.Q.; Guo, H.; Wang, S.M.; Zhao, B.; Zhang, J.L.; Ma, Q.; Yin, H.J.; Bao, A.K. The photosynthesis, Na+/K+ homeostasis and osmotic adjustment of Atriplex canescens in response to salinity. Front. Plant Sci. 2016, 7, 848. [Google Scholar] [CrossRef]
- Sun, Y.; Zhou, Y.; Long, Q.; Xing, J.; Guo, P.; Liu, Y.; Zhang, C.; Zhang, Y.; Fernie, A.R.; Shi, Y.; et al. OsBCAT2, a gene responsible for the degradation of branched-chain amino acids, positively regulates salt tolerance by promoting the synthesis of vitamin B5. New Phytol. 2024, 241, 2558–2574. [Google Scholar] [CrossRef]
- Du, H.; Wang, Z.; Yu, W.; Huang, B. Metabolic responses of hybrid bermudagrass to short-term and long-term drought stress. J. Amer. Soc. Hort. Sci. 2012, 137, 411–420. [Google Scholar] [CrossRef]
- Huang, T.; Jander, G. Abscisic acid-regulated protein degradation causes osmotic stress-induced accumulation of branched-chain amino acids in Arabidopsis thaliana. Planta 2017, 246, 737–747. [Google Scholar] [CrossRef]
- de Querioz, G.C.M.; de Medeiros, J.F.; da Silva, R.R.; da Silva Morais, F.M.; de Sousa, L.V.; de Souza, M.V.P.; da Nóbrega Santos, E.; Ferreira, F.N.; da Silva, J.M.C.; Clemente, M.I.B.; et al. Growth, solute accumulation, and ion distribution in sweet sorghum under salt and drought stresses in a Brazilian potiguar semiarid area. Agriculture 2023, 13, 803. [Google Scholar] [CrossRef]
- Fünfgeld, M.M.F.F.; Wang, W.; Ishihara, H.; Arrivault, S.; Feil, R.; Smith, A.M.; Stitt, M.; Lunn, J.E.; Niittylä, N. Sucrose synthases are not involved in starch synthesis in Arabidopsis leaves. Nat. Plants 2022, 8, 574–582. [Google Scholar] [CrossRef] [PubMed]
- Joshi, V.; Joung, J.G.; Fei, Z.; Jander, G. Interdependence of threonine, methionine and isoleucine metabolism in plants: Accumulation and transcriptional regulation under abiotic stress. Amino Acids 2010, 39, 933–947. [Google Scholar] [CrossRef]
- Ma, Q.; Bao, A.K.; Chai, W.W.; Wang, W.Y.; Zhang, J.L.; Li, Y.X.; Wang, S.M. Transcriptomic analysis of the succulent xerophyte Zygophyllum xanthoxylum in response to salt treatment and osmotic stress. Plant Soil 2016, 402, 343–361. [Google Scholar] [CrossRef]
- Huang, X.; Rong, W.; Zhang, X.; Gao, Y.; Zhou, Y.; Su, J.; Luo, H.; Chu, G.; Wang, M. Transcriptome and metabolome analysis reveal the dynamic changes and biosynthesis pathways of alkaloids in Sophora alopecuroides L. under drought stress. Ind. Crop. Prod. 2024, 212, 118365. [Google Scholar] [CrossRef]
- Chen, A.; Gibney, P.A. Dietary trehalose as a bioactive nutrient. Nutrients 2023, 15, 1393. [Google Scholar] [CrossRef]
- Ruan, Y.L.; Jin, Y.; Yang, Y.J.; Li, G.J.; Boyer, J.S. Sugar input, metabolism, and signaling mediated by invertase: Roles in development, yield potential, and response to drought and heat. Mol Plant 2010, 3, 942–955. [Google Scholar] [CrossRef]
- Fan, Z.Q.; Ba, L.J.; Shan, W.; Xiao, Y.Y.; Lu, W.J.; Kuang, J.F.; Chen, J.Y. A banana R2R3-MYB transcription factor MaMYB3 is involved in fruit ripening through modulation of starch degradation by repressing starch degradation-related genes and MabHLH6. Plant J. 2018, 96, 1191–1205. [Google Scholar] [CrossRef] [PubMed]
- Szabados, L.; Savoure, A. Proline: A multifunctional amino acid. Trends Plant Sci. 2010, 15, 89–97. [Google Scholar] [CrossRef]
- Binder, S. Branched-chain amino acid metabolism in Arabidopsis thaliana. Arab. Book 2010, 8, e0137. [Google Scholar] [CrossRef]
- Wulfert, S.; Krueger, S. Phosphoserine aminotransferase1 is part of the phosphorylated pathways for serine biosynthesis and essential for light and sugar-dependent growth promotion. Front. Plant Sci. 2010, 9, 1712. [Google Scholar] [CrossRef]
- Haines, R.J.; Corbin, K.D.; Pendleton, L.C.; Eichler, D.C. Protein kinase Cα phosphorylates a novel argininosuccinate synthase site at serine 328 during calcium-dependent stimulation of endothelial nitric-oxide synthase in vascular endothelial cells. J. Biol. Chem. 2012, 287, 26168–26176. [Google Scholar] [CrossRef]
- Munns, R.; Tester, M. Mechanisms of salinity tolerance. Annu. Rev. Plant Biol. 2008, 59, 651–681. [Google Scholar] [CrossRef] [PubMed]
- Wang, P.; Wang, C.M.; Gao, L.; Cui, Y.N.; Yang, H.L.; Silva, N.D.G.; Ma, Q.; Bao, A.K.; Flowers, T.J.; Rowland, O.; et al. Aliphatic suberin confers salt tolerance to Arabidopsis by limiting Na+ influx, K+ efflux and water backflow. Plant Soil 2020, 448, 603–620. [Google Scholar] [CrossRef]
- Wang, W.F.; Zong, Y.Z.; Zhang, S.Q. Water- and nitrogen-use efficiencies of sweet sorghum seedlings are improved under water stress. Int. J. Agric. Biol. 2014, 16, 285–292. [Google Scholar]
- Varoquaux, N.; Cole, B.; Gao, C.; Pierroz, G.; Baker, C.R.; Patel, D.; Madera, M.; Jeffers, T.; Hollingsworth, J.; Sievert, J.; et al. Transcriptomic analysis of field-droughted sorghum from seedling to maturity reveals biotic and metabolic responses. Proc. Natl. Acad. Sci. USA 2019, 116, 27124–27132. [Google Scholar] [CrossRef] [PubMed]
- Okamoto, T.; Taguchi, H.; Nakamura, K.; Ikenaga, H. Production of ethanol from maltose by Zymobacter palmae fermentation. Biosci. Biotech. Bioch. 1994, 58, 1328–1329. [Google Scholar] [CrossRef]
- Batista-Silva, W.; Heinemann, B.; Rugen, N.; Nunes-Nesi, A.; Araújo, W.L.; Braun, H.P.; Hildebrandt, T.M. The role of amino acid metabolism during abiotic stress release. Plant Cell Environ. 2019, 42, 1630–1644. [Google Scholar] [CrossRef] [PubMed]
- Bandurska, H.; Niedziela, J.; Pietrowska-Borek, M.; Nuc, K.; Chadzinikolau, T.; Radzikowska, D. Regulation of proline biosynthesis and resistance to drought stress in two barley (Hordeum vulgare L.) genotypes of different origin. Plant Physiol. Biochem. 2017, 118, 427–437. [Google Scholar] [CrossRef] [PubMed]
- Maghsoudi, K.; Emam, Y.; Niazi, A.; Pessarakli, M.; Arvin, M.J. P5CS expression level and proline accumulation in the sensitive and tolerant wheat cultivars under control and drought stress conditions in the presence/absence of silicon and salicylic acid. J. Plant Interact. 2018, 13, 461–471. [Google Scholar] [CrossRef]
- Zhu, F.; Alseekh, S.; Koper, K.; Tong, H.; Nikoloski, Z.; Naake, T.; Liu, H.; Yan, J.; Brotman, Y.; Wen, W.; et al. Genome-wide association of the metabolic shifts underpinning dark-induced senescence in Arabidopsis. Plant Cell 2022, 34, 557–578. [Google Scholar] [CrossRef]
- Kochevenko, A.; Araujo, W.L.; Maloney, G.S.; Tieman, D.M.; Do, P.T.; Taylor, M.G.; Klee, H.J.; Fernie, A.R. Catabolism of branched chain amino acids supports respiration but not volatile synthesis in tomato fruits. Mol. Plant 2012, 5, 366–375. [Google Scholar] [CrossRef]
- Malatrasi, M.; Corradi, M.; Svensson, J.T.; Close, T.J.; Gulli, M.; Marmiroli, N. A branched-chain amino acid aminotransferase gene isolated from Hordeum vulgare is diVerentially regulated by drought stress. Theor. Appl. Genet. 2006, 113, 965–976. [Google Scholar] [CrossRef] [PubMed]
- Buffagni, V.; Vurro, F.; Janni, M.; Gullì, M.; Keller, A.A.; Marmiroli, N. Shaping durum wheat for the future: Gene expression analyses and metabolites profiling support the contribution of BCAT genes to drought stress response. Front. Plant Sci. 2020, 11, 891. [Google Scholar] [CrossRef] [PubMed]
- Peever, T.L.; Higgins, V.J. Electrolyte leakage, lipoxygenase, and lipid peroxidation induced in tomato leaf tissue by specific and nonspecific elicitors from Cladosporium fluvum. Plant Physiol. 1989, 90, 867–875. [Google Scholar] [CrossRef] [PubMed]
- Arnon, D.I. Copper enzymes in isolated chloroplasts. Polyphenoloxidase in Beta vulgaris. Plant Physiol. 1949, 24, 1–15. [Google Scholar] [CrossRef] [PubMed]
- Liu, R.W.; Yuan, J.Z.; Li, X.Y.; Cui, Y.N.; Cai, M.M.; He, Z.H.; Ma, Q. Aluminum-activated Malate Transporter 12 is involved in restricting root-to-shoot Cl− transport in Arabidopsis under Cl−-salt stress. Plant Soil 2022, 479, 631–648. [Google Scholar] [CrossRef]
- Ma, Q.; Yue, L.J.; Zhang, J.L.; Wu, G.Q.; Bao, A.K.; Wang, S.M. Sodium chloride improves photosynthesis and water status in the succulent xerophyte Zygophyllum xanthoxylum. Tree Physiol. 2012, 32, 4–13. [Google Scholar] [CrossRef] [PubMed]
- Ueda, A.; Kanechi, M.; Uno, Y.; Inagaki, N. Photosynthetic limitations of a halophyte sea aster (Aster tripolium L.) under water stress and NaCl stress. J. Plant Res. 2003, 116, 65–70. [Google Scholar] [CrossRef] [PubMed]
- Dang, Z.H.; Zheng, L.L.; Wang, J.; Gao, Z.; Wu, S.B.; Qi, Z.; Wang, Y.C. Transcriptomic profiling of the salt-stress response in the wild recretohalophyte Reaumuria trigyna. BMC Genom. 2013, 14, 29. [Google Scholar] [CrossRef]
- Zhang, H.; Yu, F.; Xie, P.; Sun, S.; Qiao, X.; Tang, S.; Chen, C.; Yang, S.; Mei, C.; Yang, D.; et al. A Gγ protein regulates alkaline sensitivity in crops. Science 2023, 379, eade8416. [Google Scholar] [CrossRef]









| PEG Concentrations | Water Potential (Ψw, MPa) | Osmotic Potential (Ψs, MPa) | Turgor Pressure (Ψt, MPa) |
|---|---|---|---|
| 0 | −0.20 ± 0.01 a | −0.64 ± 0.02 a | 0.44 ± 0.02 a |
| 10% | −0.52 ± 0.02 b | −0.90 ± 0.04 b | 0.38 ± 0.02 a |
| 20% | −0.67 ± 0.02 c | −0.98 ± 0.03 c | 0.31 ± 0.02 b |
| 30% | −1.17 ± 0.05 d | −1.36 ± 0.04 d | 0.19 ± 0.01 c |
| Samples | Raw Reads | Raw Bases | Clean Reads | Clean Bases | Q20 Rate | Q30 Rate | GC Content |
|---|---|---|---|---|---|---|---|
| C6S-1 | 70,005,740 | 10,500,861,000 | 70,001,138 | 10,075,876,352 | 98.28% | 94.51% | 56.69% |
| C6S-2 | 70,053,232 | 10,507,984,800 | 70,049,684 | 10,089,966,374 | 98.37% | 94.77% | 55.03% |
| C6S-3 | 70,007,322 | 10,501,098,300 | 70,003,242 | 10,048,450,864 | 98.33% | 94.67% | 57.02% |
| C6L-1 | 70,056,834 | 10,508,525,100 | 70,053,032 | 10,093,545,900 | 98.58% | 95.41% | 58.91% |
| C6L-2 | 70,045,804 | 10,506,870,600 | 70,041,984 | 10,064,095,400 | 98.35% | 94.73% | 58.03% |
| C6L-3 | 70,001,696 | 10,500,254,400 | 69,997,174 | 10,145,080,392 | 98.32% | 94.60% | 57.59% |
| O6S-1 | 70,040,106 | 10,506,015,900 | 70,035,658 | 10,057,149,930 | 98.48% | 95.15% | 57.09% |
| O6S-2 | 70,056,348 | 10,508,452,200 | 70,051,780 | 10,105,534,410 | 98.35% | 94.74% | 57.66% |
| O6S-3 | 70,044,758 | 10,506,713,700 | 70,040,118 | 10,020,534,800 | 98.26% | 94.46% | 56.76% |
| O6L-1 | 70,017,270 | 10,502,590,500 | 70,013,280 | 10,101,772,052 | 98.43% | 94.97% | 58.11% |
| O6L-2 | 70,022,412 | 10,503,361,800 | 70,018,022 | 10,120,521,096 | 98.36% | 94.77% | 56.89% |
| O6L-3 | 70,060,316 | 10,509,047,400 | 70,056,164 | 10,164,256,440 | 98.38% | 94.79% | 57.55% |
| C48S-1 | 70,033,840 | 10,505,076,000 | 70,030,128 | 10,071,890,906 | 98.37% | 94.74% | 57.69% |
| C48S-2 | 70,041,786 | 10,506,267,900 | 70,037,872 | 10,084,509,768 | 98.35% | 94.72% | 56.84% |
| C48S-3 | 70,049,066 | 10,507,359,900 | 70,045,014 | 10,004,322,094 | 98.32% | 94.63% | 56.42% |
| C48L-1 | 70,035,786 | 10,505,367,900 | 70,032,108 | 10,168,334,388 | 98.31% | 94.59% | 57.13% |
| C48L-2 | 70,001,862 | 10,500,279,300 | 69,998,332 | 10,099,317,072 | 98.37% | 94.76% | 57.74% |
| C48L-3 | 70,021,386 | 10,503,207,900 | 70,017,298 | 10,119,140,744 | 98.30% | 94.58% | 56.92% |
| O48S-1 | 70,061,314 | 10,509,197,100 | 70,057,064 | 10,074,893,538 | 98.44% | 94.97% | 55.84% |
| O48S-2 | 70,053,770 | 10,508,065,500 | 70,049,636 | 10,042,732,892 | 98.39% | 94.82% | 56.13% |
| O48S-3 | 70,044,590 | 10,506,688,500 | 70,040,532 | 10,086,926,960 | 98.56% | 95.38% | 56.64% |
| O48L-1 | 70,009,878 | 10,501,481,700 | 70,006,172 | 10,156,806,710 | 98.31% | 94.58% | 57.14% |
| O48L-2 | 70,029,000 | 10,504,350,000 | 70,024,454 | 10,138,265,670 | 98.42% | 94.93% | 55.70% |
| O48L-3 | 70,009,212 | 10,501,381,800 | 70,005,354 | 10,062,381,550 | 98.59% | 95.45% | 56.32% |
Disclaimer/Publisher’s Note: The statements, opinions and data contained in all publications are solely those of the individual author(s) and contributor(s) and not of MDPI and/or the editor(s). MDPI and/or the editor(s) disclaim responsibility for any injury to people or property resulting from any ideas, methods, instructions or products referred to in the content. |
© 2024 by the authors. Licensee MDPI, Basel, Switzerland. This article is an open access article distributed under the terms and conditions of the Creative Commons Attribution (CC BY) license (https://creativecommons.org/licenses/by/4.0/).
Share and Cite
Cui, Y.-N.; Yan, S.-J.; Zhang, Y.-N.; Wang, R.; Song, L.-L.; Ma, Y.; Guo, H.; Yang, P.-Z. Physiological, Metabolome and Gene Expression Analyses Reveal the Accumulation and Biosynthesis Pathways of Soluble Sugars and Amino Acids in Sweet Sorghum under Osmotic Stresses. Int. J. Mol. Sci. 2024, 25, 8942. https://doi.org/10.3390/ijms25168942
Cui Y-N, Yan S-J, Zhang Y-N, Wang R, Song L-L, Ma Y, Guo H, Yang P-Z. Physiological, Metabolome and Gene Expression Analyses Reveal the Accumulation and Biosynthesis Pathways of Soluble Sugars and Amino Acids in Sweet Sorghum under Osmotic Stresses. International Journal of Molecular Sciences. 2024; 25(16):8942. https://doi.org/10.3390/ijms25168942
Chicago/Turabian StyleCui, Yan-Nong, Shi-Jie Yan, Yi-Nuo Zhang, Rong Wang, Le-Ling Song, Yue Ma, Huan Guo, and Pei-Zhi Yang. 2024. "Physiological, Metabolome and Gene Expression Analyses Reveal the Accumulation and Biosynthesis Pathways of Soluble Sugars and Amino Acids in Sweet Sorghum under Osmotic Stresses" International Journal of Molecular Sciences 25, no. 16: 8942. https://doi.org/10.3390/ijms25168942
APA StyleCui, Y.-N., Yan, S.-J., Zhang, Y.-N., Wang, R., Song, L.-L., Ma, Y., Guo, H., & Yang, P.-Z. (2024). Physiological, Metabolome and Gene Expression Analyses Reveal the Accumulation and Biosynthesis Pathways of Soluble Sugars and Amino Acids in Sweet Sorghum under Osmotic Stresses. International Journal of Molecular Sciences, 25(16), 8942. https://doi.org/10.3390/ijms25168942
