Impact of Disease Severity and Disease-Modifying Therapies on Myostatin Levels in SMA Patients
Abstract
1. Introduction
2. Results
2.1. Patients’ Demographics and Clinical Characteristics
2.2. Myostatin and Follistatin Levels at Baseline in Nusinersen-Naïve Patients
2.2.1. Myostatin and Follistatin Levels Per SMA Type and SMN2 Copy Number
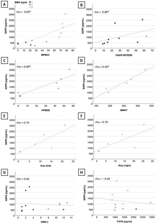
2.2.2. Correlation between Myostatin and Follistatin Levels and Baseline Characteristics
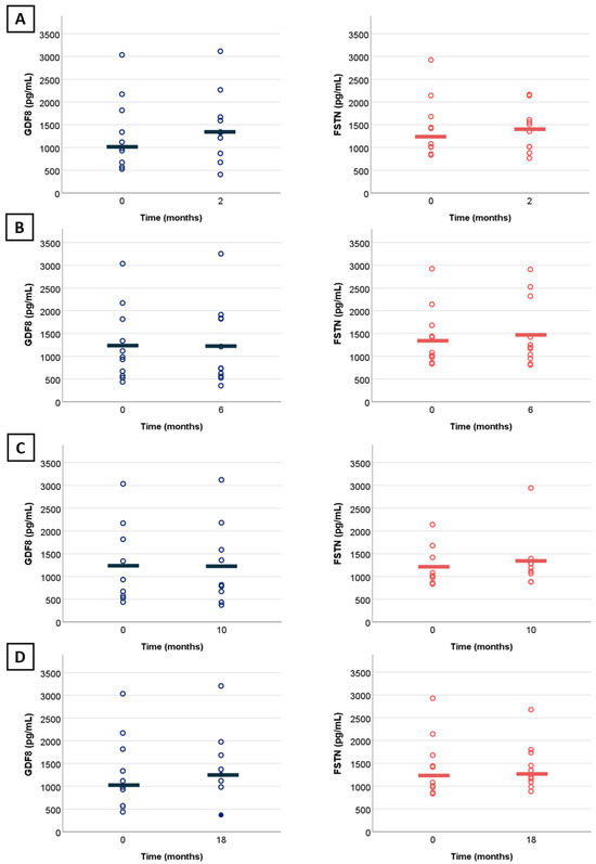
2.3. Change in Myostatin and Follistatin Levels over Time in Treated Patients

3. Discussion
4. Methods
Patient Characteristics and Study Protocol
Supplementary Materials
Author Contributions
Funding
Institutional Review Board Statement
Informed Consent Statement
Data Availability Statement
Acknowledgments
Conflicts of Interest
Abbreviations
| 6MWT | Six-Minute Walk Test |
| BMD | Becker muscular dystrophy |
| CHOP-INTEND | Children’s Hospital of Philadelphia Infant-Test-of-Neuromuscular-Disorders |
| DMD | Duchenne muscular dystrophy |
| DMTs | Disease-modifying therapies |
| FSTN | Follistatin |
| GDF8 | Growth differentiation factor-8 |
| HFMSE | Hammersmith Functional Motor Scale Expanded |
| HINE-2 | Hammersmith Infant Neurological Examination 2 |
| LGMD2A | Limb-girdle muscular dystrophy type 2A |
| MFM32 | 32-item Motor Function Measure |
| NBS | Newborn screening |
| RCT | Randomized control trial |
| RHS | Revised Hammersmith Scale |
| RULM | Revised Upper Limb Module |
| SMA | Spinal muscular atrophy |
| SMN | Survival motor neuron |
| TGFβ | Transforming growth factor-β |
References
- Lefebvre, S.; Bürglen, L.; Reboullet, S.; Clermont, O.; Burlet, P.; Viollet, L.; Benichou, B.; Cruaud, C.; Millasseau, P.; Zeviani, M. Identification and characterization of a spinal muscular atrophy-determining gene. Cell 1995, 80, 155–165. [Google Scholar] [CrossRef]
- Gavrilov, D.K.; Shi, X.; Das, K.; Gilliam, T.C.; Wang, C.H. Differential SMN2 expression associated with SMA severity. Nat. Genet. 1998, 20, 230–231. [Google Scholar] [CrossRef]
- Swoboda, K.J.; Prior, T.W.; Scott, C.B.; McNaught, T.P.; Wride, M.C.; Reyna, S.P.; Bromberg, M.B. Natural history of denervation in SMA: Relation to age, SMN2 copy number, and function. Ann. Neurol. Off. J. Am. Neurol. Assoc. Child Neurol. Soc. 2005, 57, 704–712. [Google Scholar] [CrossRef]
- Annoussamy, M.; Seferian, A.M.; Daron, A.; Péréon, Y.; Cances, C.; Vuillerot, C.; De Waele, L.; Laugel, V.; Schara, U.; Gidaro, T.; et al. Natural history of Type 2 and 3 spinal muscular atrophy: 2-year NatHis-SMA study. Ann. Clin. Transl. Neurol. 2021, 8, 359–373. [Google Scholar] [CrossRef] [PubMed]
- Finkel, R.S.; McDermott, M.P.; Kaufmann, P.; Darras, B.T.; Chung, W.K.; Sproule, D.M.; Kang, P.B.; Foley, A.R.; Yang, M.L.; Martens, W.B. Observational study of spinal muscular atrophy type I and implications for clinical trials. Neurology 2014, 83, 810–817. [Google Scholar] [CrossRef] [PubMed]
- Zerres, K.; Rudnik-Schöneborn, S. Natural history in proximal spinal muscular atrophy: Clinical analysis of 445 patients and suggestions for a modification of existing classifications. Arch. Neurol. 1995, 52, 518–523. [Google Scholar] [CrossRef] [PubMed]
- Chabanon, A.; Seferian, A.M.; Daron, A.; Péréon, Y.; Cances, C.; Vuillerot, C.; De Waele, L.; Cuisset, J.-M.; Laugel, V.; Schara, U. Prospective and longitudinal natural history study of patients with type 2 and 3 spinal muscular atrophy: Baseline data NatHis-SMA study. PLoS ONE 2018, 13, e0201004. [Google Scholar] [CrossRef]
- Mercuri, E. Spinal muscular atrophy: From rags to riches. Neuromuscul. Disord. 2021, 31, 998–1003. [Google Scholar] [CrossRef] [PubMed]
- Tizzano, E.F.; Finkel, R.S. Spinal muscular atrophy: A changing phenotype beyond the clinical trials. Neuromuscul. Disord. 2017, 27, 883–889. [Google Scholar] [CrossRef]
- Chen, T.-H. New and developing therapies in spinal muscular atrophy: From genotype to phenotype to treatment and where do we stand? Int. J. Mol. Sci. 2020, 21, 3297. [Google Scholar] [CrossRef]
- Dangouloff, T.; Vrscaj, E.; Servais, L.; Osredkar, D.; Group, S.N.W.S. Newborn screening programs for spinal muscular atrophy worldwide: Where we stand and where to go. Neuromuscul. Disord. 2021, 31, 574–582. [Google Scholar] [CrossRef]
- Chiriboga, C.A.; Swoboda, K.J.; Darras, B.T.; Iannaccone, S.T.; Montes, J.; De Vivo, D.C.; Norris, D.A.; Bennett, C.F.; Bishop, K.M. Results from a phase 1 study of nusinersen (ISIS-SMNRx) in children with spinal muscular atrophy. Neurology 2016, 86, 890–897. [Google Scholar] [CrossRef] [PubMed]
- Finkel, R.S.D.; Chiriboga, C.A.M.D.; Vajsar, J.M.D.; Day, J.W.M.D.; Montes, J.E.; De Vivo, D.C.M.D.; Yamashita, M.M.D.; Rigo, F.P.; Hung, G.M.D.; Schneider, E.M.D.; et al. Treatment of infantile-onset spinal muscular atrophy with nusinersen: A phase 2, open-label, dose-escalation study. Lancet 2016, 388, 3017–3026. [Google Scholar] [CrossRef] [PubMed]
- Finkel, R.S.; Mercuri, E.; Darras, B.T.; Connolly, A.M.; Kuntz, N.L.; Kirschner, J.; Chiriboga, C.A.; Saito, K.; Servais, L.; Tizzano, E.; et al. Nusinersen versus Sham Control in Infantile-Onset Spinal Muscular Atrophy. N. Engl. J. Med. 2017, 377, 1723–1732. [Google Scholar] [CrossRef] [PubMed]
- Mendell, J.R.; Al-Zaidy, S.; Shell, R.; Arnold, W.D.; Rodino-Klapac, L.R.; Prior, T.W.; Lowes, L.; Alfano, L.; Berry, K.; Church, K. Single-dose gene-replacement therapy for spinal muscular atrophy. N. Engl. J. Med. 2017, 377, 1713–1722. [Google Scholar] [CrossRef] [PubMed]
- Darras, B.T.; Masson, R.; Mazurkiewicz-Bełdzińska, M.; Rose, K.; Xiong, H.; Zanoteli, E.; Baranello, G.; Bruno, C.; Vlodavets, D.; Wang, Y.; et al. Risdiplam-Treated Infants with Type 1 Spinal Muscular Atrophy versus Historical Controls. N. Engl. J. Med. 2021, 385, 427–435. [Google Scholar] [CrossRef]
- Baranello, G.; Darras, B.T.; Day, J.W.; Deconinck, N.; Klein, A.; Masson, R.; Mercuri, E.; Rose, K.; El-Khairi, M.; Gerber, M.; et al. Risdiplam in Type 1 Spinal Muscular Atrophy. N. Engl. J. Med. 2021, 384, 915–923. [Google Scholar] [CrossRef]
- Dangouloff, T.; Servais, L. Clinical Evidence Supporting Early Treatment Of Patients With Spinal Muscular Atrophy: Current Perspectives. Ther. Clin. Risk Manag. 2019, 15, 1153–1161. [Google Scholar] [CrossRef]
- Aragon-Gawinska, K.; Mouraux, C.; Dangouloff, T.; Servais, L. Spinal Muscular Atrophy Treatment in Patients Identified by Newborn Screening—A Systematic Review. Genes 2023, 14, 1377. [Google Scholar] [CrossRef]
- Darras, B.T.; Chiriboga, C.A.; Iannaccone, S.T.; Swoboda, K.J.; Montes, J.; Mignon, L.; Xia, S.; Bennett, C.F.; Bishop, K.M.; Shefner, J.M. Nusinersen in later-onset spinal muscular atrophy: Long-term results from the phase 1/2 studies. Neurology 2019, 92, e2492–e2506. [Google Scholar] [CrossRef]
- Baranello, G.; Roy, S.Q.; Servais, L.; Munell, F.; Molinero, M.A.; de Benito, D.N.; Nascimento, A.; Gomez-Andres, D.; Comellas, L.C.; Exposito, J. The emerging spectrum of neurodevelopmental comorbidities in early-onset Spinal Muscular Atrophy. Eur. J. Paediatr. Neurol. 2024, 48, 67–68. [Google Scholar] [CrossRef] [PubMed]
- Steffens, P.; Weiss, D.; Perez, A.; Appel, M.; Weber, P.; Weiss, C.; Stoltenburg, C.; Ehinger, U.; von der Hagen, M.; Schallner, J. Cognitive function in SMA patients with 2 or 3 SMN2 copies treated with SMN-modifying or gene addition therapy during the first year of life. Eur. J. Paediatr. Neurol. 2024, 51, 17–23. [Google Scholar] [CrossRef] [PubMed]
- Ngawa, M.; Dal Farra, F.; Marinescu, A.-D.; Servais, L. Longitudinal developmental profile of newborns and toddlers treated for spinal muscular atrophy. Ther. Adv. Neurol. Disord. 2023, 16, 17562864231154335. [Google Scholar] [CrossRef] [PubMed]
- Ramdas, S.; Servais, L. New treatments in spinal muscular atrophy: An overview of currently available data. Expert Opin. Pharmacother. 2020, 21, 307–315. [Google Scholar] [CrossRef] [PubMed]
- Servais, L.; Baranello, G.; Scoto, M.; Daron, A.; Oskoui, M. Therapeutic interventions for spinal muscular atrophy: Preclinical and early clinical development opportunities. Expert Opin. Investig. Drugs 2021, 30, 519–527. [Google Scholar] [CrossRef] [PubMed]
- Argilés, J.M.; Orpí, M.; Busquets, S.; López-Soriano, F.J. Myostatin: More than just a regulator of muscle mass. Drug Discov. Today 2012, 17, 702–709. [Google Scholar] [CrossRef] [PubMed]
- Rybalka, E.; Timpani, C.A.; Debruin, D.A.; Bagaric, R.M.; Campelj, D.G.; Hayes, A. The Failed Clinical Story of Myostatin Inhibitors against Duchenne Muscular Dystrophy: Exploring the Biology behind the Battle. Cells 2020, 9, 2657. [Google Scholar] [CrossRef] [PubMed]
- Abati, E.; Manini, A.; Comi, G.P.; Corti, S. Inhibition of myostatin and related signaling pathways for the treatment of muscle atrophy in motor neuron diseases. Cell. Mol. Life Sci. CMLS 2022, 79, 374. [Google Scholar] [CrossRef]
- Mariot, V.; Joubert, R.; Hourdé, C.; Féasson, L.; Hanna, M.; Muntoni, F.; Maisonobe, T.; Servais, L.; Bogni, C.; Le Panse, R.; et al. Downregulation of myostatin pathway in neuromuscular diseases may explain challenges of anti-myostatin therapeutic approaches. Nat. Commun. 2017, 8, 1859. [Google Scholar] [CrossRef]
- Mariot, V.; Le Guiner, C.; Barthélémy, I.; Montus, M.; Blot, S.; Torelli, S.; Morgan, J.; Muntoni, F.; Voit, T.; Dumonceaux, J. Myostatin Is a Quantifiable Biomarker for Monitoring Pharmaco-gene Therapy in Duchenne Muscular Dystrophy. Mol. Ther. Methods Clin. Dev. 2020, 18, 415–421. [Google Scholar] [CrossRef]
- Dumonceaux, J.; Marie, S.; Beley, C.; Trollet, C.; Vignaud, A.; Ferry, A.; Butler-Browne, G.; Garcia, L. Combination of Myostatin Pathway Interference and Dystrophin Rescue Enhances Tetanic and Specific Force in Dystrophic mdx Mice. Mol. Ther. 2010, 18, 881–887. [Google Scholar] [CrossRef] [PubMed]
- Hellbach, N.; Karrer, T.; Ly-Le Moal, M.; King, N.; Glaab, W.; Daron, A.; Annoussamy, M.; Pereon, Y.; Cances, C.; Seferian, A. Characterizing novel exploratory biomarkers in a longitudinal natural history study in patients with Types 2 and 3 SMA. Change 2021, 7, 5. [Google Scholar]
- de Albuquerque, A.L.A.; Chadanowicz, J.K.; Giudicelli, G.C.; Staub, A.L.P.; Weber, A.C.; Silva, J.M.D.S.; Becker, M.M.; Kowalski, T.W.; Siebert, M.; Saute, J.A.M. Serum myostatin as a candidate disease severity and progression biomarker of spinal muscular atrophy. Brain Commun. 2024, 6, fcae062. [Google Scholar] [CrossRef] [PubMed]
- McPherron, A.C.; Lawler, A.M.; Lee, S.-J. Regulation of skeletal muscle mass in mice by a new TGF-p superfamily member. Nature 1997, 387, 83–90. [Google Scholar] [CrossRef]
- Tries, R.S.; Chen, T.; Da Vies, M.V.; Tomkinson, K.N.; Pearson, A.A.; Shakey, Q.A.; Wolfman, N.M. GDF-8 propeptide binds to GDF-8 and antagonizes biological activity by inhibiting GDF-8 receptor binding. Growth Factors 2001, 18, 251–259. [Google Scholar] [CrossRef] [PubMed]
- Hill, J.J.; Davies, M.V.; Pearson, A.A.; Wang, J.H.; Hewick, R.M.; Wolfman, N.M.; Qiu, Y. The myostatin propeptide and the follistatin-related gene are inhibitory binding proteins of myostatin in normal serum. J. Biol. Chem. 2002, 277, 40735–40741. [Google Scholar] [CrossRef]
- Wolfman, N.M.; McPherron, A.C.; Pappano, W.N.; Davies, M.V.; Song, K.; Tomkinson, K.N.; Wright, J.F.; Zhao, L.; Sebald, S.M.; Greenspan, D.S. Activation of latent myostatin by the BMP-1/tolloid family of metalloproteinases. Proc. Natl. Acad. Sci. USA 2003, 100, 15842–15846. [Google Scholar] [CrossRef] [PubMed]
- Lee, S.-J.; McPherron, A.C. Regulation of myostatin activity and muscle growth. Proc. Natl. Acad. Sci. USA 2001, 98, 9306–9311. [Google Scholar] [CrossRef] [PubMed]
- Cash, J.N.; Rejon, C.A.; McPherron, A.C.; Bernard, D.J.; Thompson, T.B. The structure of myostatin: Follistatin 288: Insights into receptor utilization and heparin binding. EMBO J. 2009, 28, 2662–2676. [Google Scholar] [CrossRef]
- Amthor, H.; Nicholas, G.; McKinnell, I.; Kemp, C.F.; Sharma, M.; Kambadur, R.; Patel, K. Follistatin complexes Myostatin and antagonises Myostatin-mediated inhibition of myogenesis. Dev. Biol. 2004, 270, 19–30. [Google Scholar] [CrossRef]
- Kambadur, R.; Sharma, M.; Smith, T.P.; Bass, J.J. Mutations in myostatin (GDF8) in double-muscled Belgian Blue and Piedmontese cattle. Genome Res. 1997, 7, 910–915. [Google Scholar] [CrossRef] [PubMed]
- McPherron, A.C.; Lee, S.-J. Double muscling in cattle due to mutations in the myostatin gene. Proc. Natl. Acad. Sci. USA 1997, 94, 12457–12461. [Google Scholar] [CrossRef] [PubMed]
- Clop, A.; Marcq, F.; Takeda, H.; Pirottin, D.; Tordoir, X.; Bibé, B.; Bouix, J.; Caiment, F.; Elsen, J.-M.; Eychenne, F. A mutation creating a potential illegitimate microRNA target site in the myostatin gene affects muscularity in sheep. Nat. Genet. 2006, 38, 813–818. [Google Scholar] [CrossRef] [PubMed]
- Schuelke, M.; Wagner, K.R.; Stolz, L.E.; Hübner, C.; Riebel, T.; Kömen, W.; Braun, T.; Tobin, J.F.; Lee, S.-J. Myostatin mutation associated with gross muscle hypertrophy in a child. N. Engl. J. Med. 2004, 350, 2682–2688. [Google Scholar] [CrossRef]
- Whittemore, L.-A.; Song, K.; Li, X.; Aghajanian, J.; Davies, M.; Girgenrath, S.; Hill, J.J.; Jalenak, M.; Kelley, P.; Knight, A. Inhibition of myostatin in adult mice increases skeletal muscle mass and strength. Biochem. Biophys. Res. Commun. 2003, 300, 965–971. [Google Scholar] [CrossRef]
- Bogdanovich, S.; Krag, T.O.; Barton, E.R.; Morris, L.D.; Whittemore, L.-A.; Ahima, R.S.; Khurana, T.S. Functional improvement of dystrophic muscle by myostatin blockade. Nature 2002, 420, 418–421. [Google Scholar] [CrossRef]
- Qiao, C.; Li, J.; Jiang, J.; Zhu, X.; Wang, B.; Li, J.; Xiao, X. Myostatin propeptide gene delivery by adeno-associated virus serotype 8 vectors enhances muscle growth and ameliorates dystrophic phenotypes in mdx mice. Hum. Gene Ther. 2008, 19, 241–254. [Google Scholar] [CrossRef]
- Lee, Y.-S.; Lehar, A.; Sebald, S.; Liu, M.; Swaggart, K.A.; Talbot, C.C., Jr.; Pytel, P.; Barton, E.R.; McNally, E.M.; Lee, S.-J. Muscle hypertrophy induced by myostatin inhibition accelerates degeneration in dysferlinopathy. Hum. Mol. Genet. 2015, 24, 5711–5719. [Google Scholar] [CrossRef]
- Harish, P.; Malerba, A.; Lu-Nguyen, N.; Forrest, L.; Cappellari, O.; Roth, F.; Trollet, C.; Popplewell, L.; Dickson, G. Inhibition of myostatin improves muscle atrophy in oculopharyngeal muscular dystrophy (OPMD). J. Cachexia Sarcopenia Muscle 2019, 10, 1016–1026. [Google Scholar] [CrossRef]
- Bartoli, M.; Poupiot, J.; Vulin, A.; Fougerousse, F.; Arandel, L.; Daniele, N.; Roudaut, C.; Noulet, F.; Garcia, L.; Danos, O. AAV-mediated delivery of a mutated myostatin propeptide ameliorates calpain 3 but not α-sarcoglycan deficiency. Gene Ther. 2007, 14, 733–740. [Google Scholar] [CrossRef][Green Version]
- Long, K.K.; O’Shea, K.M.; Khairallah, R.J.; Howell, K.; Paushkin, S.; Chen, K.S.; Cote, S.M.; Webster, M.T.; Stains, J.P.; Treece, E.; et al. Specific inhibition of myostatin activation is beneficial in mouse models of SMA therapy. Hum. Mol. Genet. 2019, 28, 1076–1089. [Google Scholar] [CrossRef] [PubMed]
- Feng, Z.; Ling, K.K.; Zhao, X.; Zhou, C.; Karp, G.; Welch, E.M.; Naryshkin, N.; Ratni, H.; Chen, K.S.; Metzger, F. Pharmacologically induced mouse model of adult spinal muscular atrophy to evaluate effectiveness of therapeutics after disease onset. Hum. Mol. Genet. 2016, 25, 964–975. [Google Scholar] [CrossRef]
- Liu, M.; Hammers, D.W.; Barton, E.R.; Sweeney, H.L. Activin receptor type IIB inhibition improves muscle phenotype and function in a mouse model of spinal muscular atrophy. PLoS ONE 2016, 11, e0166803. [Google Scholar] [CrossRef] [PubMed]
- Rose, F.F., Jr.; Mattis, V.B.; Rindt, H.; Lorson, C.L. Delivery of recombinant follistatin lessens disease severity in a mouse model of spinal muscular atrophy. Hum. Mol. Genet. 2009, 18, 997–1005. [Google Scholar] [CrossRef]
- Crawford, T.O.; Darras, B.T.; Day, J.W.; Dunaway Young, S.; Duong, T.; Nelson, L.L.; Barrett, D.; Song, G.; Bilic, S.; Cote, S. Safety and Efficacy of Apitegromab in Patients With Spinal Muscular Atrophy Types 2 and 3: The Phase 2 TOPAZ Study. Neurology 2024, 102, e209151. [Google Scholar] [CrossRef] [PubMed]
- Pokrzywinski, R.; Cutts, K.; Shah, H.; Kertesz, N.; Lesh, S.; Sadanowicz, M.; Song, G.; O’Neil, J.; Barrett, D.; Barnobi, E. Treatment Effects Among Patients with Type 2 and Type 3 SMA Directly Reported by Patients and Caregivers from the TOPAZ Clinical Trial (P2-8.010). Neurology 2023, 100, 3355. [Google Scholar] [CrossRef]
- Crawford, T.; Darras, B.; Day, J.; De Vivo, D.; Mercuri, E.; Nascimento, A.; Mazzone, E.; Waugh, A.; Song, G.; Evans, R. P224 Effect of apitegromab on motor function at 36 months in patients with nonambulatory spinal muscular atrophy aged 2-12 years old. Neuromuscul. Disord. 2023, 33, S91. [Google Scholar] [CrossRef]
- Muntoni, F.; Byrne, B.J.; McMillan, H.J.; Ryan, M.M.; Wong, B.L.; Dukart, J.; Bansal, A.; Cosson, V.; Dreghici, R.; Guridi, M. The Clinical Development of Taldefgrobep Alfa: An Anti-Myostatin Adnectin for the Treatment of Duchenne Muscular Dystrophy. Neurol. Ther. 2024, 13, 183–219. [Google Scholar] [CrossRef]
- Lair, L.; Qureshi, I.; Bechtold, C.; Heller, L.; Durham, S.; Campbell, D.; Marin, J.; Chen, K.; Coric, V. P04 Taldefgrobep alfa: Preclinical and clinical data supporting the phase 3 RESILIENT study in spinal muscular atrophy. Neuromuscul. Disord. 2023, 33, S163. [Google Scholar] [CrossRef]
- Lair, L.; Qureshi, I.; Bechtold, C.; Durham, S.; Campbell, D.; Marin, J.; Coric, V. The Phase 3 RESILIENT Study: Taldefgrobep Alfa in Spinal Muscular Atrophy (P2-11.008). In Neurology; Lippincott Williams & Wilkins: Hagerstown, MD, USA, 2024; p. 3255. [Google Scholar]
- Duong, T.; Darras, B.; Morrow, J.; Muntoni, F.; Servais, L.; Rabbia, M.; Gerber, M.; Kletzl, H.; Gaki, E.; Fletcher, S. MANATEE: GYM329 (RO7204239) in combination with risdiplam treatment in patients with spinal muscular atrophy (SMA). Neuromuscul. Disord. 2023, 33, S92. [Google Scholar] [CrossRef]
- Al-Zaidy, S.A.; Sahenk, Z.; Rodino-Klapac, L.R.; Kaspar, B.; Mendell, J.R. Follistatin gene therapy improves ambulation in Becker muscular dystrophy. J. Neuromuscul. Dis. 2015, 2, 185–192. [Google Scholar] [CrossRef] [PubMed]
- Mendell, J.R.; Sahenk, Z.; Malik, V.; Gomez, A.M.; Flanigan, K.M.; Lowes, L.P.; Alfano, L.N.; Berry, K.; Meadows, E.; Lewis, S. A phase 1/2a follistatin gene therapy trial for becker muscular dystrophy. Mol. Ther. 2015, 23, 192–201. [Google Scholar] [CrossRef] [PubMed]
- Amato, A.A.; Sivakumar, K.; Goyal, N.; David, W.S.; Salajegheh, M.; Praestgaard, J.; Lach-Trifilieff, E.; Trendelenburg, A.-U.; Laurent, D.; Glass, D.J. Treatment of sporadic inclusion body myositis with bimagrumab. Neurology 2014, 83, 2239–2246. [Google Scholar] [CrossRef] [PubMed]
- Campbell, C.; McMillan, H.J.; Mah, J.K.; Tarnopolsky, M.; Selby, K.; McClure, T.; Wilson, D.M.; Sherman, M.L.; Escolar, D.; Attie, K.M. Myostatin inhibitor ACE-031 treatment of ambulatory boys with Duchenne muscular dystrophy: Results of a randomized, placebo-controlled clinical trial. Muscle Nerve 2017, 55, 458–464. [Google Scholar] [CrossRef]
- Wagner, K.R. The elusive promise of myostatin inhibition for muscular dystrophy. Curr. Opin. Neurol. 2020, 33, 621–628. [Google Scholar] [CrossRef] [PubMed]
- Garber, K. No longer going to waste. Nat. Biotechnol. 2016, 34, 458–462. [Google Scholar] [CrossRef]
- Wagner, K.R.; Fleckenstein, J.L.; Amato, A.A.; Barohn, R.J.; Bushby, K.; Escolar, D.M.; Flanigan, K.M.; Pestronk, A.; Tawil, R.; Wolfe, G.I. A phase I/IItrial of MYO-029 in adult subjects with muscular dystrophy. Ann. Neurol. 2008, 63, 561–571. [Google Scholar] [CrossRef]
- Zhou, H.; Meng, J.; Marrosu, E.; Janghra, N.; Morgan, J.; Muntoni, F. Repeated low doses of morpholino antisense oligomer: An intermediate mouse model of spinal muscular atrophy to explore the window of therapeutic response. Hum. Mol. Genet. 2015, 24, 6265–6277. [Google Scholar] [CrossRef]
- van de Velde, N.M.; Koeks, Z.; Signorelli, M.; Verwey, N.; Overzier, M.; Bakker, J.A.; Sajeev, G.; Signorovitch, J.; Ricotti, V.; Verschuuren, J. Longitudinal Assessment of Creatine Kinase, Creatine/Creatinineratio, and Myostatin as Monitoring Biomarkers in Becker Muscular Dystrophy. Neurology 2023, 100, e975–e984. [Google Scholar] [CrossRef] [PubMed]
- Moore, U.; Fernández-Simón, E.; Schiava, M.; Cox, D.; Gordish-Dressman, H.; James, M.K.; Mayhew, A.; Wilson, I.; Guglieri, M.; Rufibach, L. Myostatin and follistatin as monitoring and prognostic biomarkers in dysferlinopathy. Neuromuscul. Disord. 2023, 33, 199–207. [Google Scholar] [CrossRef]
- Burch, P.M.; Pogoryelova, O.; Palandra, J.; Goldstein, R.; Bennett, D.; Fitz, L.; Guglieri, M.; Bettolo, C.M.; Straub, V.; Evangelista, T. Reduced serum myostatin concentrations associated with genetic muscle disease progression. J. Neurol. 2017, 264, 541–553. [Google Scholar] [CrossRef] [PubMed]
- Koch, C.; Buono, S.; Menuet, A.; Robé, A.; Djeddi, S.; Kretz, C.; Gomez-Oca, R.; Depla, M.; Monseur, A.; Thielemans, L. Myostatin: A circulating biomarker correlating with disease in myotubular myopathy mice and patients. Molecular 2020, 17, 1178–1189. [Google Scholar] [CrossRef]
- Mahoudeau, A.; Anquetil, C.; Tawara, N.; Khademian, H.; Amelin, D.; Bolko, L.; Silvestro, M.; Cin, J.D.; Tendrel, B.; Tardif, V. Myostatin in idiopathic inflammatory myopathies: Serum assessment and disease activity. Neuropathol. Appl. Neurobiol. 2023, 49, e12849. [Google Scholar] [CrossRef] [PubMed]
- Benjamini, Y.; Hochberg, Y. Controlling the false discovery rate: A practical and powerful approach to multiple testing. J. R. Stat. Soc. Ser. B 1995, 57, 289–300. [Google Scholar] [CrossRef]
- Schober, P.; Vetter, T.R. Repeated measures designs and analysis of longitudinal data: If at first you do not succeed—Try, try again. Anesth. Analg. 2018, 127, 569–575. [Google Scholar] [CrossRef]
- Lilien, C.; Vrscaj, E.; Thapaliya, G.; Deconinck, N.; De Waele, L.; Duong, T.; Haberlová, J.; Kumhera, M.; Peirens, G.; Szabo, L. Patients’ Perceptions of Nusinersen Effects according to Their Responder Status. J. Clin. Med. 2024, 13, 3418. [Google Scholar] [CrossRef]
- Li, G.; Taljaard, M.; Van den Heuvel, E.R.; Levine, M.A.; Cook, D.J.; Wells, G.A.; Devereaux, P.J.; Thabane, L. An introduction to multiplicity issues in clinical trials: The what, why, when and how. Int. J. Epidemiol. 2016, 46, 746–755. [Google Scholar] [CrossRef]



| Apitegromab | Taldefgrobep Alfa | RO7204239 | |
|---|---|---|---|
| Manufacturer | Scholar Rock | Biohaven | Roche |
| Mechanism | Fully human monoclonal antibody targeting inactive precursor forms of myostatin and pro- and latent myostatin | Fully human anti-myostatin antibody, targeting the C-terminal of mature myostatin and the ActRIIB–myostatin complex | Recycling and sweeping humanized antibody targeting latent myostatin |
| Clinical Trail | Phase II (TOPAZ, NCT03921528) Phase III (SAPPHIRE, NCT05156320) Open label access (ONYX, NCT05626855) | Phase III (RESILIENT, NCT05337553) | Phase II (MANATEE; NCT05115110) Phase III (MANATEE; NCT05115110) |
| Delivery Route | IV | SC | SC |
| Dosing Frequency | 1×/4 weeks | 1×/week | 1×/4 weeks |
| Age range | TOPAZ: 2–21 y SAPPHIRE: ≥2 y ONYX: ≥2 y | 4–21 y | Part 1: 2–10 y (ambulant), 5–10 y (non-ambulant) Part 2: 2–25 y |
| SMA types | Type II and type III | Any | All |
| Ambulatory Status | TOPAZ: Ambulatory and non-ambulatory SAPPHIRE: Non-ambulatory ONYX: Non-ambulatory | Ambulant or non-ambulant | Part 1: Ambulant and non-ambulant Part 2: Ambulant |
| Concomitant treatment | Nusinersen or risdiplam | Spinraza or Evrysdi and/or history of Zolgensma | Evrysdi and/or history of treatment with Zolgensma |
| Motor score used as primary outcomes | TOPAZ: RHS, HFMSE SAPPHIRE: HFMSE ONYX: N/A | MFM32 | RHS |
| Completion date | TOPAZ: February 2024 SAPPHIRE: December 2024 ONYX: 27 January | 25 January | 26 June |
Disclaimer/Publisher’s Note: The statements, opinions and data contained in all publications are solely those of the individual author(s) and contributor(s) and not of MDPI and/or the editor(s). MDPI and/or the editor(s) disclaim responsibility for any injury to people or property resulting from any ideas, methods, instructions or products referred to in the content. |
© 2024 by the authors. Licensee MDPI, Basel, Switzerland. This article is an open access article distributed under the terms and conditions of the Creative Commons Attribution (CC BY) license (https://creativecommons.org/licenses/by/4.0/).
Share and Cite
Mackels, L.; Mariot, V.; Buscemi, L.; Servais, L.; Dumonceaux, J. Impact of Disease Severity and Disease-Modifying Therapies on Myostatin Levels in SMA Patients. Int. J. Mol. Sci. 2024, 25, 8763. https://doi.org/10.3390/ijms25168763
Mackels L, Mariot V, Buscemi L, Servais L, Dumonceaux J. Impact of Disease Severity and Disease-Modifying Therapies on Myostatin Levels in SMA Patients. International Journal of Molecular Sciences. 2024; 25(16):8763. https://doi.org/10.3390/ijms25168763
Chicago/Turabian StyleMackels, Laurane, Virginie Mariot, Laura Buscemi, Laurent Servais, and Julie Dumonceaux. 2024. "Impact of Disease Severity and Disease-Modifying Therapies on Myostatin Levels in SMA Patients" International Journal of Molecular Sciences 25, no. 16: 8763. https://doi.org/10.3390/ijms25168763
APA StyleMackels, L., Mariot, V., Buscemi, L., Servais, L., & Dumonceaux, J. (2024). Impact of Disease Severity and Disease-Modifying Therapies on Myostatin Levels in SMA Patients. International Journal of Molecular Sciences, 25(16), 8763. https://doi.org/10.3390/ijms25168763

