Comparative Metabolomic Analysis of Moringa oleifera Leaves of Different Geographical Origins and Their Antioxidant Effects on C2C12 Myotubes
Abstract
1. Introduction
2. Results
2.1. Cultivation of Moringa oleifera Trees and Leaf Sampling
2.2. LC-MSMS ZenoTOF MOLE Qualitative Profiling
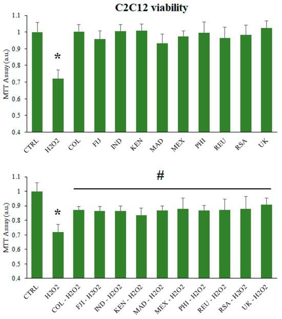
2.3. Cell Viability
2.4. Evaluation of MOLE Trolox Equivalents Antioxidant Capacity
3. Discussion
4. Materials and Methods
4.1. Cultivation of Moringa oleifera Trees and Leaf Sampling
4.2. MOLE: Ethanolic Extract of Moringa oleifera Leaves
4.3. LC-MSMS SCIEX ZenoTOF 7600 System MOLE Qualitative Profiling
4.4. Cell Cultures
4.5. TAC: Trolox Equivalents Antioxidant Capacity
4.6. Statistical Analysis
5. Conclusions
Supplementary Materials
Author Contributions
Funding
Institutional Review Board Statement
Informed Consent Statement
Data Availability Statement
Conflicts of Interest
References
- Ferreira, P.M.P.; Farias, D.F.; Oliveira, J.T.D.A.; Carvalho, A.D.F.U. Moringa oleifera: Bioactive compounds and nutritional potential. Rev. Nutr. 2008, 21, 431–437. [Google Scholar] [CrossRef]
- Mishra, G.; Singh, P.; Verma, R.; Kumar, R.S.; Srivastava, S.; Khosla, R.L. Traditional uses, phytochemistry and pharmacological properties of Moringa oleifera plant: An overview. Der. Pharm. Lett. 2011, 3, 141–164. [Google Scholar]
- Tejas, G.H.; Umang, J.H.; Payal, B.N.; Tusharbinu, D.R.; Pravin, T.R. A panoramic view on pharmacognostic, pharmacological, nutritional, therapeutic and prophylactic values of Moringa olifera Lam. Int. Res. J. Pharm. 2012, 3, 1–7. [Google Scholar]
- Lopez-Teros, V.; Ford, J.L.; Green, M.H.; Tang, G.; Grusak, M.A.; Quihui-Cota, L.; Muzhingi, T.; Paz-Cassini, M.; Astiazaran-Garcia, H. Use of a “Super-child” Approach to Assess the Vitamin A Equivalence of Moringa oleifera Leaves, Develop a Compartmental Model for Vitamin A Kinetics, and Estimate Vitamin A Total Body Stores in Young Mexican Children. J. Nutr. 2017, 147, 2356–2363. [Google Scholar] [CrossRef] [PubMed]
- Arora, S.; Arora, S. Nutritional significance and therapeutic potential of Moringa oleifera: The wonder plant. J Food Biochem. 2021, 45, e13933. [Google Scholar] [CrossRef] [PubMed]
- Wang, F.; Bao, Y.; Zhang, C.; Zhan, L.; Khan, W.; Siddiqua, S.; Ahmad, S.; Capanoglu, E.; Skalicka-Woźniak, K.; Zou, L.; et al. Bioactive components and anti-diabetic properties of Moringa oleifera Lam. Crit. Rev. Food Sci. Nutr. 2022, 62, 3873–3897. [Google Scholar] [CrossRef] [PubMed]
- Davinelli, S.; Bertoglio, J.C.; Zarrelli, A.; Pina, R.; Scapagnini, G. A randomized clinical trial evaluating the efficacy of an anthocyanin-maqui berry extract (Delphinol®) on oxidative stress biomarkers. J. Am. Coll Nutr. 2015, 34 (Suppl. S1), 28–33. [Google Scholar] [CrossRef] [PubMed]
- Ayoola, G.A.; Coker, H.A.B.; Adesegun, S.A.; Adepoju-Bello, A.A.; Obaweya, K.; Ezennia, E.C. Phytochemical screening and antioxidant activities of some selected medicinal plants used for malaria therapy in southwestern Nigeria. Trop. J. Pharm. Res. 2008, 7, 1019–1024. [Google Scholar]
- Fahey, J.W.; Olson, M.E.; Stephenson, K.K.; Wade, K.L.; Chodur, G.M.; Odee, D.; Nouman, W.; Massiah, M.; Alt, J.; Egner, P.A.; et al. The diversity of chemoprotective glucosinolates in Moringaceae (Moringa spp.). Sci. Rep. 2018, 8, 7994. [Google Scholar] [CrossRef] [PubMed]
- Chodur, G.M.; Olson, M.E.; Wade, K.L.; Stephenson, K.K.; Nouman, W.; Garima; Fahey, J.W. Wild and domesticated Moringa oleifera differ in taste, glucosinolate composition, and antioxidant potential, but not myrosinase activity or protein content. Sci. Rep. 2018, 8, 7995. [Google Scholar] [CrossRef]
- Fahey, J.W.; Wade, K.L.; Stephenson, K.K.; Shi, Y.; Liu, H.; Panjwani, A.A.; Warrick, C.R.; Olson, M.E. A Strategy to Deliver Precise Oral Doses of the Glucosinolates or Isothiocyanates from Moringa oleifera Leaves for Use in Clinical Studies. Nutrients 2019, 11, 1547. [Google Scholar] [CrossRef] [PubMed]
- Spiers, C.S. The Semantics of Sharpness and the Prohibition of the Pungent: Garlic, Sanskrit śigru (ka)-, and Old Persian* θigra (ka)-. Indo-Iran. J. 2022, 265, 93–121. [Google Scholar] [CrossRef]
- Posmontie, B. The medicinal qualities of Moringa oleifera. Holist. Nurs. Pract. 2011, 25, 80–87. [Google Scholar] [CrossRef] [PubMed]
- Stohs, S.J.; Hartman, M.J. Review of the safety and efficacy of Moringa Oleifera. Phytother. Res. 2015, 29, 796–804. [Google Scholar] [CrossRef]
- Nahar, S.; Faisal, F.M.; Iqbal, J.; Rahman, M.M.; Yusuf, M.A. Antiobesity activity of Moringa Oleifera leaves against high fat diet-induced obesity in rats. Int. J. Basic Clin. Pharmacol. 2016, 5, 1263–1268. [Google Scholar] [CrossRef]
- Bais, S.; Singh, G.S.; Sharma, R. Anti obesity and hypolipidemic activity of Moringa Oleifera leaves against high fat diet induced obesity in rats. Adv. Biol. 2014, 2014, 162914. [Google Scholar] [CrossRef]
- Murillo, A.G.; Fernandez, M.L. The relevance of dietary polyphenols in cardiovascular protection. Curr. Pharmacol. Rev. Curr. Pharm. Des. 2017, 23, 2444–2452. [Google Scholar] [CrossRef]
- Pokorny, J. Introduction. In Antioxidant in Foods: Practical Applications; Pokorny, J., Yanishlieva, N., Gordon, N.H., Eds.; Woodhead Publishing Limited: Cambridge, UK, 2001; pp. 1–3. [Google Scholar]
- Zheng, W.; Wang, S.Y. Antioxidant activity and phenolic compounds in selected herbs. J. Agric. Food Chem. 2001, 49, 5165–5170. [Google Scholar] [CrossRef] [PubMed]
- Sies, H.; Berndt, C.; Jones, D.P. Oxidative Stress. Annu. Rev. Biochem. 2017, 86, 715–748. [Google Scholar] [CrossRef]
- Antonioni, A.; Fantini, C.; Dimauro, I.; Caporossi, D. Redox homeostasis in sport: Do athletes really need antioxidant support? Res. Sports Med. 2019, 27, 147–165. [Google Scholar] [CrossRef]
- Pingitore, A.; Lima, G.P.; Mastorci, F.; Quinones, A.; Iervasi, G.; Vassalle, C. Exercise and oxidative stress: Potential effects of antioxidant dietary strategies in sports. Nutrition 2015, 31, 916–922. [Google Scholar] [CrossRef]
- Edenfield, K.M. Sports Supplements: Pearls and Pitfalls. Prim. Care 2020, 47, 37–48. [Google Scholar] [CrossRef]
- Kerasioti, E.; Stagos, D.; Priftis, A.; Aivazidis, S.; Tsatsakis, A.M.; Hayes, A.W.; Kouretas, D. Antioxidant effects of whey protein on muscle C2C12 cells. Food Chem. 2014, 155, 271–278. [Google Scholar] [CrossRef]
- Powers, S.K.; Jackson, M.J. Exercise-induced oxidative stress: Cellular mechanisms and impact on muscle force production. Physiol. Rev. 2008, 88, 1243–1276. [Google Scholar] [CrossRef]
- Gomez-Cabrera, M.C.; Viña, J.; Ji, L.L. Interplay of oxidants and antioxidants during exercise: Implications for muscle health. Phys. Sportsmed. 2009, 37, 116–123. [Google Scholar] [CrossRef]
- Veal, E.; Jackson, T.; Latimer, H. Role/s of ‘Antioxidant’ Enzymes in Ageing. Subcell. Biochem. 2018, 90, 425–450. [Google Scholar]
- Fougere, B.; van Kan, G.A.; Vellas, B.; Cesari, M. Redox Systems, Antioxidants and Sarcopenia. Curr. Protein Pept. Sci. 2018, 19, 643–648. [Google Scholar] [CrossRef]
- Alkadi, H. A Review on Free Radicals and Antioxidants. Infect. Disord. Drug Targets. 2020, 20, 16–26. [Google Scholar]
- Gomez-Cabrera, M.C.; Carretero, A.; Millan-Domingo, F.; Garcia-Dominguez, E.; Correas, A.G.; Olaso-Gonzalez, G.; Viña, J. Redox-related biomarkers in physical exercise. Redox Biol. 2021, 42, 101956. [Google Scholar] [CrossRef] [PubMed]
- Turrens, J.F. Mitochondrial formation of reactive oxygen species. J. Physiol. 2003, 552, 335–344. [Google Scholar] [CrossRef] [PubMed]
- Murphy, M.P. How mitochondria produce reactive oxygen species. Biochem. J. 2009, 417, 1–13. [Google Scholar] [CrossRef]
- Duranti, G.; Maldini, M.; Crognale, D.; Sabatini, S.; Corana, F.; Horner, K.; Ceci, R. Moringa oleifera leaf extract influences oxidative metabolism in C2C12 myotubes through SIRT1-PPARa pathway. Phytomed. PLUS 2021, 1, 100014. [Google Scholar] [CrossRef]
- Duranti, G.; Maldini, M.; Crognale, D.; Horner, K.; Dimauro, I.; Sabatini, S.; Ceci, R. Moringa oleifera Leaf Extract Upregulates Nrf2/HO-1 Expression and Ameliorates Redox Status in C2C12 Skeletal Muscle Cells. Molecules 2021, 26, 5041. [Google Scholar] [CrossRef]
- Ceci, R.; Maldini, M.; Olson, M.E.; Crognale, D.; Horner, K.; Dimauro, I.; Sabatini, S.; Duranti, G. Moringa oleifera leaf extract protects C2C12 myotubes against H2O2-induced oxidative stress. Antioxidants 2022, 11, 1435. [Google Scholar] [CrossRef]
- Sailaja, B.S.; Hassan, S.; Cohen, E.; Tmenova, I.; Farias-Pereira, R.; Verzi, M.P.; Raskin, I. Moringa isothiocyanate-1 inhibits LPS-induced inflammation in mouse myoblasts and skeletal muscle. PLoS ONE 2022, 17, e0279370. [Google Scholar] [CrossRef]
- Montoro, P.; Maldini, M.; Piacente, S.; Macchia, M.; Pizza, C. Metabolite fingerprinting of Camptotheca acuminata and the HPLC-ESI-MS/MS analysis of camptothecin and related alkaloids. J. Pharm. Biomed. Anal. 2010, 51, 405–415. [Google Scholar] [CrossRef]
- Wang, S.; Liu, G.; Xie, C.; Zhou, Y.; Yang, R.; Wu, J.; Xu, J.; Tu, K. Metabolomics Analysis of Different Quinoa Cultivars Based on UPLC-ZenoTOF-MS/MS and Investigation into Their Antioxidant Characteristics. Plants 2024, 13, 240. [Google Scholar] [CrossRef]
- Duranti, G.; Boenzi, S.; Rizzo, C.; Ravà, L.; Di Ciommo, V.; Carrozzo, R.; Meschini, M.C.; Johnson, D.W.; Dionisi-Vici, C. Urine acylcarnitine analysis by ESI-MS/MS: A new tool for the diagnosis of peroxisomal biogenesis disorders. Clin. Chim. Acta. 2008, 398, 86–89. [Google Scholar] [CrossRef]
- Stockert, J.C.; Horobin, R.W.; Colombo, L.L.; Blázquez-Castro, A. Tetrazolium salts and formazan products in Cell Biology: Viability assessment, fluorescence imaging, and labeling perspectives. Acta Histochem. 2018, 120, 159–167. [Google Scholar] [CrossRef] [PubMed]
- Duranti, G.; La Rosa, P.; Dimauro, I.; Wannenes, F.; Bonini, S.; Sabatini, S.; Parisi, P.; Caporossi, D. Effects of salmeterol on skeletal muscle cells: Metabolic and pro-apoptotic features. Med. Sci. Sports Exerc. 2011, 43, 2259–2273. [Google Scholar] [CrossRef] [PubMed]
- Guerrero-Beltrán, C.E.; Calderón-Oliver, M.; Pedraza-Chaverri, J.; Chirino, Y.I. Protective effect of sulforaphane against oxidative stress: Recent advances. Exp. Toxicol. Pathol. 2012, 64, 503–508. [Google Scholar] [CrossRef] [PubMed]
- Förster, N.; Mewis, I.; Glatt, H.; Haack, M.; Brigelius-Flohé, R.; Schreiner, M.; Ulrichs, C. Characteristic single glucosinolates from Moringa oleifera: Induction of detoxifying enzymes and lack of genotoxic activity in various model systems. Food Funct. 2016, 7, 4660–4674. [Google Scholar] [CrossRef] [PubMed]
- Jana, S.; Patel, D.; Patel, S.; Upadhyay, K.; Thadani, J.; Mandal, R.; Das, S.; Devkar, R. Anthocyanin rich extract of Brassica oleracea L. alleviates experimentally induced myocardial infarction. PLoS ONE 2017, 12, e0182137. [Google Scholar] [CrossRef] [PubMed]
- Liu, J.; Ma, G.; Wang, Y.; Zhang, Y. Moringa oleifera leaf flavonoids protect bovine mammary epithelial cells from hydrogen peroxide-induced oxidative stress in vitro. Reprod. Domest. Anim. 2020, 55, 711–719. [Google Scholar] [CrossRef] [PubMed]
- Soliman, M.M.; Aldhahrani, A.; Alkhedaide, A.; Nassan, M.A.; Althobaiti, F.; Mohamed, W.A. The ameliorative impacts of Moringa oleifera leaf extract against oxidative stress and methotrexate-induced hepato-renal dysfunction. Biomed. Pharmacother. 2020, 128, 110259. [Google Scholar] [CrossRef] [PubMed]
- Sailaja, B.S.; Aita, R.; Maledatu, S.; Ribnicky, D.; Verzi, M.P.; Raskin, I. Moringa isothiocyanate-1 regulates Nrf2 and NF-B pathway in response to LPS-driven sepsis and inflammation. PLoS ONE. 2021, 16, e0248691. [Google Scholar] [CrossRef] [PubMed]
- Kim, C.G.; Chang, S.N.; Park, S.M.; Hwang, B.S.; Kang, S.A.; Kim, K.S.; Park, J.G. Moringa oleifera mitigates ethanol-induced oxidative stress, fatty degeneration and hepatic steatosis by promoting Nrf2 in mice. Phytomedicine 2022, 100, 154037. [Google Scholar] [CrossRef] [PubMed]
- Shen, N.; Wang, T.; Gan, Q.; Liu, S.; Wang, L.; Jin, B. Plant flavonoids: Classification, distribution, biosynthesis, and antioxidant activity. Food Chem. 2022, 383, 132531. [Google Scholar] [CrossRef] [PubMed]
- Foss, K.; Przybyłowicz, K.E.; Sawicki, T. Antioxidant Activity and Profile of Phenolic Compounds in Selected Herbal Plants. Plant Foods Hum. Nutr. 2022, 77, 383–389. [Google Scholar] [CrossRef]
- Xu, H.; Yu, S.; Lin, C.; Dong, D.; Xiao, J.; Ye, Y.; Wang, M. Roles of flavonoids in ischemic heart disease: Cardioprotective effects and mechanisms against myocardial ischemia and reperfusion injury. Phytomedicine 2024, 126, 155409. [Google Scholar] [CrossRef]
- Wang, J.; Mao, S.; Liang, M.; Zhang, W.; Chen, F.; Huang, K.; Wu, Q. Preharvest Methyl Jasmonate Treatment Increased Glucosinolate Biosynthesis, Sulforaphane Accumulation, and Antioxidant Activity of Broccoli. Antioxidants 2022, 11, 1298. [Google Scholar] [CrossRef]
- Connolly, E.L.; Sim, M.; Travica, N.; Marx, W.; Beasy, G.; Lynch, G.S.; Bondonno, C.P.; Lewis, J.R.; Hodgson, J.M.; Blekkenhorst, L.C. Glucosinolates From Cruciferous Vegetables and Their Potential Role in Chronic Disease: Investigating the Preclinical and Clinical Evidence. Front Pharmacol. 2021, 12, 767975. [Google Scholar] [CrossRef] [PubMed]
- Mitsiogianni, M.; Koutsidis, G.; Mavroudis, N.; Trafalis, D.T.; Botaitis, S.; Franco, R.; Zoumpourlis, V.; Amery, T.; Galanis, A.; Pappa, A.; et al. The Role of Isothiocyanates as Cancer Chemo-Preventive, Chemo-Therapeutic and Anti-Melanoma Agents. Antioxidants 2019, 8, 106. [Google Scholar] [CrossRef] [PubMed]
- Bai, Y.; Wang, X.; Zhao, S.; Ma, C.; Cui, J.; Zheng, Y. Sulforaphane Protects against Cardiovascular Disease via Nrf2 Activation. Oxidative Med. Cell. Longev. 2015, 2015, 407580. [Google Scholar]
- Esteve, M. Mechanisms Underlying Biological Effects of Cruciferous Glucosinolate-Derived Isothiocyanates/Indoles: A Focus on Metabolic Syndrome. Front. Nutr. 2020, 7, 111. [Google Scholar] [CrossRef] [PubMed]
- Nguyen, V.P.T.; Stewart, J.; Lopez, M.; Ioannou, I.; Allais, F. Glucosinolates: Natural Occurrence, Biosynthesis, Accessibility, Isolation, Structures, and Biological Activities. Molecules 2020, 25, 4537. [Google Scholar] [CrossRef] [PubMed]
- Zhang, Y.; Gilmour, A.; Ahn, Y.H.; de la Vega, L.; Dinkova-Kostova, A.T. The isothiocyanate sulforaphane inhibits mTOR in an NRF2- independent manner. Phytomedicine 2021, 86, 153062. [Google Scholar] [CrossRef] [PubMed]
- Sato, K.; Kihara, H.; Kumazawa, Y.; Tatara, K. Oral chronic sulforaphane effects on heavy resistance exercise: Implications for inflammatory and muscle damage parameters in young practitioners. Nutrition 2021, 90, 111266. [Google Scholar] [CrossRef] [PubMed]
- Komine, S.; Miura, I.; Miyashita, N.; Oh, S.; Tokinoya, K.; Shoda, J.; Ohmori, H. Effect of a sulforaphane supplement on muscle soreness and damage induced by eccentric exercise in young adults: A pilot study. Physiol. Rep. 2021, 9, e15130. [Google Scholar] [CrossRef] [PubMed]
- Choi, H.; Kim, H.; Han, S.; Woo Park, H.; Ha, I.J.; Kim, J.S.; Lee, S.G. Antioxidant and Anti-Inflammatory Activities of High-Glucosinolate-Synthesis Lines of Brassica rapa. Antioxidants 2023, 12, 1693. [Google Scholar] [CrossRef]
- Saha, S.; Buttari, B.; Panieri, E.; Profumo, E.; Saso, L. An Overview of Nrf2 Signaling Pathway and Its Role in Inflammation. Molecules 2020, 25, 5474. [Google Scholar] [CrossRef]
- Singh, S.; Nagalakshmi, D.; Sharma, K.K.; Ravichandiran, V. Natural antioxidants for neuroinflammatory disorders and possible involvement of Nrf2 pathway: A review. Heliyon 2021, 7, e06216. [Google Scholar] [CrossRef]
- Kesavan, P.; Banerjee, A.; Banerjee, A.; Murugesan, R.; Marotta, F.; Pathak, S. An overview of dietary polyphenols and their therapeutic effects. In Polyphenols: Mechanisms of Action in Human Health and Disease; Academic Press: Cambridge, MA, USA, 2018; pp. 221–235. [Google Scholar]
- Dai, J.; Mumper, R.J. Plant phenolics: Extraction, analysis and their antioxidant and anticancer properties. Molecules 2010, 15, 7313–7352. [Google Scholar] [CrossRef] [PubMed]
- Mutha, R.E.; Tatiya, A.U.; Surana, S.J. Flavonoids as natural phenolic compounds and their role in therapeutics: An overview. Future J. Pharm. Sci. 2021, 7, 1–13. [Google Scholar] [CrossRef] [PubMed]
- Guan, R.; Van Le, Q.; Yang, H.; Zhang, D.; Gu, H.; Yang, Y.; Sonne, C.; Lam, S.S.; Zhong, J.; Jianguang, Z.; et al. A review of dietary phytochemicals and their relation to oxidative stress and human diseases. Chemosphere 2021, 271, 129499. [Google Scholar] [CrossRef] [PubMed]
- Pietta, P.-G. Flavonoids as antioxidants. J. Nat. Prod. 2000, 63, 1035–1042. [Google Scholar] [CrossRef] [PubMed]
- Islam, H.; Hood, D.A.; Gurd, B.J. Looking beyond PGC-1 a: Emerging regulators of exercise-induced skeletal muscle mitochondrial biogenesis and their activation by dietary compounds. Appl. Physiol. Nutr. Metab. 2020, 45, 11–23. [Google Scholar] [CrossRef] [PubMed]
- Patrizio, F.; Ditroilo, M.; Felici, F.; Duranti, G.; De Vito, G.; Sabatini, S.; Sacchetti, M.; Bazzucchi, I. The acute effect of Quercetin on muscle performance following a single resistance training session. Eur. J. Appl. Physiol. 2018, 118, 1021–1031. [Google Scholar] [CrossRef] [PubMed]
- Bazzucchi, I.; Patrizio, F.; Ceci, R.; Duranti, G.; Sabatini, S.; Sgrò, P.; Di Luigi, L.; Sacchetti, M. Quercetin supplementation improves neuromuscular function recovery from muscle damage. Nutrients 2020, 12, 2850. [Google Scholar] [CrossRef] [PubMed]
- Bazzucchi, I.; Patrizio, F.; Ceci, R.; Duranti, G.; Sgrò, P.; Sabatini, S.; Di Luigi, L.; Sacchetti, M.; Felici, F. The effects of quercetin supplementation on eccentric exercise-induced muscle damage. Nutrients 2019, 11, 205. [Google Scholar] [CrossRef] [PubMed]
- Sgrò, P.; Ceci, R.; Lista, M.; Patrizio, F.; Sabatini, S.; Felici, F.; Sacchetti, M.; Bazzucchi, I.; Duranti, G.; Di Luigi, L. Quercetin modulates IGF-I and IGF-II levels after eccentric exercise-induced muscle-damage: A placebo-controlled study. Front. Endocrinol. 2021, 12, 745959. [Google Scholar] [CrossRef] [PubMed]
- Kim, Y.; Kim, C.S.; Joe, Y.; Chung, H.T.; Ha, T.Y.; Yu, R. Quercetin Reduces Tumor Necrosis Factor Alpha-Induced Muscle Atrophy by Upregulation of Heme Oxygenase-1. J. Med. Food. 2018, 21, 551–559. [Google Scholar] [CrossRef] [PubMed]
- Rana, A.; Samtiya, M.; Dhewa, T.; Mishra, V.; Aluko, R.E. Health benefits of polyphenols: A concise review. J. Food Biochem. 2022, 46, e14264. [Google Scholar] [CrossRef] [PubMed]
- Williams, R.J.; Spencer, J.P.; Rice-Evans, C. Flavonoids: Antioxidants or signalling molecules? Free. Radic. Biol. Med. 2004, 36, 838–849. [Google Scholar] [CrossRef] [PubMed]
- Sharifi-Rad, M.; Pezzani, R.; Redaelli, M.; Zorzan, M.; Imran, M.; Ahmed Khalil, A.; Salehi, B.; Sharopov, F.; Cho, W.C.; Sharifi-Rad, J. Preclinical activities of epigallocatechin gallate in signaling pathways in cancer. Molecules 2020, 25, 467. [Google Scholar] [CrossRef] [PubMed]
- Losada-Barreiro, S.; Bravo-Diaz, C. Free radicals and polyphenols: The redox chemistry of neurodegenerative diseases. Eur. J. Med. Chem. 2017, 133, 379–402. [Google Scholar] [CrossRef] [PubMed]
- Olszowy, M. What is responsible for antioxidant properties of polyphenolic compounds from plants? Plant Physiol. Biochem. 2019, 144, 135–143. [Google Scholar] [CrossRef]
- Kumar, N.; Goel, N. Phenolic acids: Natural versatile molecules with promising therapeutic applications. Biotechnol. Rep. 2019, 24, e00370. [Google Scholar] [CrossRef]
- Liu, J.; Yong, H.; Liu, Y.; Bai, R. Recent advances in the preparation, structural characteristics, biological properties and applications of gallic acid grafted polysaccharides. Int. J. Biol. Macromol. 2020, 156, 1539–1555. [Google Scholar] [CrossRef]
- Damasceno, S.S.; Dantas, B.B.; Ribeiro-Filho, J.; Araújo, A.M.; da Costa, G.M. Chemical properties of caffeic and ferulic acids in biological system: Implications in cancer therapy. A review. Curr. Pharm. Des. 2017, 23, 3015–3023. [Google Scholar] [CrossRef]
- Zhang, H.; Tsao, R. Dietary polyphenols, oxidative stress and antioxidant and anti-inflammatory effects. Curr. Opin. Food Sci. 2016, 8, 33–42. [Google Scholar] [CrossRef]
- Rahman, I.; Biswas, S.K.; Kirkham, P.A. Regulation of inflammation and redox signaling by dietary polyphenols. Biochem. Pharmacol. 2006, 72, 1439–1452. [Google Scholar] [CrossRef] [PubMed]
- Landete, J. Dietary intake of natural antioxidants: Vitamins and polyphenols. Crit. Rev. Food Sci. Nutr. 2013, 53, 706–721. [Google Scholar] [CrossRef] [PubMed]
- Leri, M.; Scuto, M.; Ontario, M.L.; Calabrese, V.; Calabrese, E.J.; Bucciantini, M.; Stefani, M. Healthy effects of plant polyphenols: Molecular mechanisms. Int. J. Mol. Sci. 2020, 21, 1250. [Google Scholar] [CrossRef] [PubMed]
- Rothschild, J.A.; Bishop, D.J. Effects of Dietary Supplements on Adaptations to Endurance Training. Sports Med. 2020, 50, 25–53. [Google Scholar] [CrossRef] [PubMed]
- Tanabe, Y.; Fujii, N.; Suzuki, K. Dietary Supplementation for Attenuating Exercise-Induced Muscle Damage and Delayed-Onset Muscle Soreness in Humans. Nutrients 2021, 14, 70. [Google Scholar] [CrossRef] [PubMed]
- Canals-Garzón, C.; Guisado-Barrilao, R.; Martínez-García, D.; Chirosa-Ríos, I.J.; Jerez-Mayorga, D.; Guisado-Requena, I.M. Effect of Antioxidant Supplementation on Markers of Oxidative Stress and Muscle Damage after Strength Exercise: A Systematic Review. Int. J. Environ. Res. Public Health 2022, 19, 1803. [Google Scholar] [CrossRef]
- Wang, H.; Yang, Z.; Zhang, X.; Xie, J.; Xie, Y.; Gokulnath, P.; Vulugundam, G.; Xiao, J. Antioxidants Supplementation During Exercise: Friends or Enemies for Cardiovascular Homeostasis? J. Cardiovasc. Transl. Res. 2023, 16, 51–62. [Google Scholar] [CrossRef]
- Zhao, X.; Wang, J.; Deng, Y.; Liao, L.; Zhou, M.; Peng, C.; Li, Y. Quercetin as a protective agent for liver diseases: A comprehensive descriptive review of the molecular mechanism. Phytother. Res. 2021, 35, 4727–4747. [Google Scholar] [CrossRef]
- Aaseth, J.; Alexander, J.; Alehagen, U. Coenzyme Q10 supplementation—In ageing and disease. Mech. Ageing Dev. 2021, 197, 111521. [Google Scholar] [CrossRef]
- Jaafaru, M.S.; Nordin, N.; Rosli, R.; Shaari, K.; Bako, H.Y.; Saad, N.; Noor, N.M.; Abdull Razis, A.F. Neuroprotective effects of glucomoringin-isothiocyanate against H2O2-Induced cytotoxicity in neuroblastoma (SH-SY5Y) cells. Neurotoxicology 2019, 75, 89–104. [Google Scholar] [CrossRef] [PubMed]
- Gu, T.; Zhang, Z.; Liu, J.; Chen, L.; Tian, Y.; Xu, W.; Zeng, T.; Wu, W.; Lu, L. Chlorogenic Acid Alleviates LPS-Induced Inflammation and Oxidative Stress by Modulating CD36/AMPK/PGC-1alpha in RAW264.7 Macrophages. Int. J. Mol. Sci. 2023, 24, 13516. [Google Scholar] [CrossRef] [PubMed]
- Tofighi, N.; Asle-Rousta, M.; Rahnema, M.; Amini, R. Protective effect of alpha-linoleic acid on Abeta-induced oxidative stress, neuroinflammation, and memory impairment by alteration of alpha7 nAChR and NMDAR gene expression in the hippocampus of rats. Neurotoxicology 2021, 85, 245–253. [Google Scholar] [CrossRef] [PubMed]
- Bullock, S. Climate of Chamela, Jalisco, and trends in the south coastal region of Mexico. Arch. Meteorol. Geophys. Bioclimatol. Ser. B 1986, 36, 297–316. [Google Scholar] [CrossRef]
- García-Oliva, F.; Camou, A.; Maas, J. El clima de la región central de la costa del Pacífico mexicano. In Historia Natural de Chamela; Noguera, F., Vega Rivera, J., García Aldrete, A., Quesada Avendaño, M., Eds.; Instituto de Biología, UNAM: México, Mexico, 2002; pp. 3–10. [Google Scholar]
- Schaaf, P. Geología y geofísica de la costa de Jalisco. In Historia natural de Chamela; Noguera, F., Vega Rivera, J., García Aldrete, A., Quesada Avendaño, M., Eds.; Instituto de Biología, UNAM: México, Mexico, 2002; pp. 11–16. [Google Scholar]
- Abubakar, B.Y.; MuA’zu, S.; Khan, A.U.; Adamu, A.K. Morpho-anatomical variation in some accessions of Moringa oleifera Lam. from Northern Nigeria. Afr. J. Plant Sci. 2011, 5, 742–748. [Google Scholar]
- Mobarak, A.A.; Shaltout, K.; Ali, H.I.; Baraka, D.; Aly, S. Morphological Variability among Moringa oleifera (Lam.) Populations in Egypt. Egypt. J. Bot. 2017, 57, 241–257. [Google Scholar]
- Popoola, J.O.; Bello, O.A.; Obembe, O.O. Phenotypic intraspecific variability among some accessions of drumstick (Moringa oleifera Lam.). Can. J. Pure Appl. Sci. 2016, 10, 3681–3693. [Google Scholar]
- Olson, M.E.; Sankaran, R.P.; Fahey, J.W.; Grusak, M.A.; Odee, D.; Nouman, W. Leaf Protein and Mineral Concentrations across the “Miracle Tree” Genus Moringa. PLoS ONE 2016, 11, e0159782. [Google Scholar] [CrossRef] [PubMed]
- Ceci, R.; Duranti, G.; Rossi, A.; Savini, I.; Sabatini, S. Skeletal muscle differentiation: Role of dehydroepiandrosterone sulfate. Horm. Metab. Res. 2011, 43, 702–707. [Google Scholar] [CrossRef]
- Antinozzi, C.; Duranti, G.; Ceci, R.; Lista, M.; Sabatini, S.; Caporossi, D.; Di Luigi, L.; Sgrò, P.; Dimauro, I. Hydrogen peroxide stimulates dihydrotestosterone release in C2C12 myotubes: A new perspective for exercise-related muscle steroidogenesis? Int. J. Mol. Sci. 2022, 23, 6566. [Google Scholar] [CrossRef]
- Duranti, G.; Ceci, R.; Sgrò, P.; Sabatini, S.; Di Luigi, L. Influence of the PDE5 inhibitor tadalafil on redox status and antioxidant defense system in C2C12 skeletal muscle cells. Cell Stress Chaperones 2017, 22, 389–396. [Google Scholar] [CrossRef] [PubMed]










| IMGCC 1 Accession | Country of Origin | Locality |
|---|---|---|
| 1 | Madagascar | Tolagnaro |
| 2 | Mexico | Mérida, Yucatán |
| 4 | Kenya | Isiolo Town, Isiolo County |
| 34 | Fiji | Suva, Viti Levu |
| 82 | Réunion | Saint-Leu, Île de la Réunion |
| 324 | South Africa | Commercial nursery |
| 362 | Philippines | Mabini Town, Batangas Province |
| 382 | India | Jodhpur, Rajasthan |
| 383 | Colombia | Cartagena, Departamento de Bolívar |
| Colombia | Fiji | India | Kenya | Madagascar | Mexico | Philippines | Reunion | South Africa | UK | |
|---|---|---|---|---|---|---|---|---|---|---|
| Glucosynolates/isothicianates % | ||||||||||
| hydroxybutyl (390.05_2.1) | 0.05 | 0.01 | 0.01 | 0.10 | 0.24 | 0.02 | 0.01 | 0.02 | 0.01 | 0.00 |
| Glucomoringin (570.1_4.6) | 17.00 | 5.93 | 9.71 | 24.22 | 4.77 | 9.00 | 4.67 | 10.08 | 8.56 | 10.31 |
| Glucosoonjnain (586.09_4.6) | 0.06 | 0.02 | 0.03 | 0.07 | 0.02 | 0.03 | 0.01 | 0.03 | 0.02 | 0.03 |
| 4-O-acetylrhamnopyranosyloxybenzyl-GS 1 (612.11_5.2) | 28.91 | 25.85 | 34.59 | 0.08 | 24.15 | 34.88 | 33.59 | 20.01 | 22.63 | 22.34 |
| 4-O-acetylrhamnopyranosyloxybenzyl-GS 2 (612.11_4.8) | 3.18 | 2.99 | 3.58 | 0.01 | 1.91 | 2.90 | 2.81 | 3.14 | 2.43 | 6.10 |
| 4-O-acetylrhamnopyranosyloxybenzyl-GS 3 (612.11_4.9) | 1.40 | 1.47 | 1.79 | 0.01 | 0.86 | 1.16 | 1.16 | 1.59 | 1.35 | 3.12 |
| 4-O-acetylglucopyranosyloxybenzyl-GS 1 (628.1_5.1) | 0.10 | 0.06 | 0.11 | 0.00 | 0.07 | 0.10 | 0.10 | 0.05 | 0.06 | 0.10 |
| 4-O-acetylglucopyranosyloxybenzyl-GS 2 (628.1_5.2) | 0.02 | 0.02 | 0.02 | 0.00 | 0.03 | 0.04 | 0.03 | 0.01 | 0.01 | 0.02 |
| 4-O-acetylglucopyranosyloxybenzyl-GS 3 (628.1_4.7) | 0.02 | 0.01 | 0.01 | 0.00 | 0.01 | 0.01 | 0.01 | 0.01 | 0.01 | 0.03 |
| 4-O-acetylglucopyranosyloxybenzyl-GS 4 (628.1_4.8) | 0.01 | 0.01 | 0.01 | 0.00 | 0.01 | 0.01 | 0.01 | 0.01 | 0.01 | 0.02 |
| C22H41O15NS3 (654.16_6.1) | 0.00 | 0.00 | 0.00 | 0.00 | 0.00 | 0.00 | 0.00 | 0.00 | 0.00 | 0.01 |
| C22H41O15NS3 bis (654.15_6.1) | 0.00 | 0.00 | 0.00 | 0.00 | 0.00 | 0.00 | 0.00 | 0.00 | 0.00 | 0.01 |
| Glucoputranjivin (360.04_2.1) | 0.01 | 0.00 | 0.01 | 0.01 | 0.01 | 0.01 | 0.00 | 0.00 | 0.00 | 0.00 |
| Glucoconringiin (390.05_2.1) | 0.05 | 0.01 | 0.01 | 0.10 | 0.24 | 0.02 | 0.01 | 0.02 | 0.01 | 0.00 |
| Glucosinalbin1 (424.04_4.6) | 0.01 | 0.00 | 0.00 | 0.01 | 0.00 | 0.01 | 0.00 | 0.00 | 0.00 | 0.01 |
| Glucoalyssin (450.06_5.2) | 0.00 | 0.00 | 0.00 | 0.00 | 0.00 | 0.00 | 0.00 | 0.00 | 0.00 | 0.00 |
| Colombia | Fiji | India | Kenya | Madagascar | Mexico | Philippines | Reunion | South Africa | UK | |
| Flavonoids % | ||||||||||
| Pinocembrin 1 (255.07_8.4) | 0.01 | 0.00 | 0.00 | 0.02 | 0.02 | 0.01 | 0.01 | 0.00 | 0.01 | 0.03 |
| Pinocembrin 2 (255.07_8.1) | 0.01 | 0.00 | 0.00 | 0.02 | 0.01 | 0.01 | 0.01 | 0.01 | 0.01 | 0.02 |
| Kaempferol (285.04_9) | 0.01 | 0.02 | 0.05 | 0.02 | 0.06 | 0.01 | 0.05 | 0.03 | 0.03 | 0.04 |
| Catechin (289.07_5.8) | 0.15 | 0.01 | 0.01 | 0.11 | 0.01 | 0.03 | 0.07 | 0.00 | 0.02 | 0.00 |
| Epicatechin (289.07_5.5) | 0.01 | 0.00 | 0.00 | 0.01 | 0.00 | 0.00 | 0.00 | 0.00 | 0.00 | 0.00 |
| Salidroside (299.11_5) | 0.04 | 0.02 | 0.03 | 0.13 | 0.02 | 0.04 | 0.03 | 0.03 | 0.04 | 0.06 |
| Quercetin (301.04_8.3) | 0.03 | 0.07 | 0.01 | 0.03 | 0.08 | 0.04 | 0.02 | 0.06 | 0.04 | 0.04 |
| Isorhamnetin (315.05_9.1) | 0.01 | 0.04 | 0.02 | 0.03 | 0.04 | 0.04 | 0.01 | 0.05 | 0.03 | 0.02 |
| Esculin (339.07_5.3) | 0.06 | 0.06 | 0.05 | 0.06 | 0.02 | 0.04 | 0.05 | 0.13 | 0.05 | 0.12 |
| Puerarin 1 (415.1_6.9) | 0.01 | 0.01 | 0.00 | 0.02 | 0.02 | 0.01 | 0.01 | 0.01 | 0.01 | 0.01 |
| Puerarin 2 (415.1_7.5) | 0.01 | 0.01 | 0.00 | 0.02 | 0.03 | 0.00 | 0.01 | 0.01 | 0.01 | 0.01 |
| Vitexin (431.1_6.4) | 0.33 | 0.41 | 1.12 | 1.63 | 2.00 | 2.01 | 1.32 | 1.83 | 1.52 | 1.22 |
| Isovitexin (431.1_6.6) | 0.69 | 0.54 | 1.49 | 2.45 | 2.68 | 2.80 | 1.78 | 2.20 | 2.16 | 1.38 |
| Genistin (431.1_7.6) | 0.01 | 0.01 | 0.03 | 0.01 | 0.03 | 0.02 | 0.02 | 0.02 | 0.02 | 0.01 |
| Astragalin (447.09_7) | 2.03 | 2.50 | 8.97 | 2.67 | 8.98 | 0.95 | 6.48 | 2.41 | 6.52 | 4.50 |
| orientin_2 (447.09_6.1) | 0.17 | 0.10 | 0.14 | 0.23 | 0.51 | 0.13 | 0.31 | 0.37 | 0.33 | 0.16 |
| Kaempferide 7-O-glucoside 1 (461.11_7.3) | 0.02 | 0.03 | 0.03 | 0.04 | 0.03 | 0.01 | 0.05 | 0.03 | 0.03 | 0.07 |
| Kaempferide 7-O-glucoside 2 (461.11_7.5) | 0.00 | 0.01 | 0.01 | 0.01 | 0.01 | 0.00 | 0.01 | 0.01 | 0.01 | 0.01 |
| Isoquercitrin (463.09_6.7) | 6.67 | 7.65 | 2.67 | 7.14 | 8.62 | 5.43 | 3.15 | 6.87 | 7.29 | 6.30 |
| Nepetin 7-glucoside (477.1_7.1) | 0.75 | 0.63 | 0.42 | 0.74 | 1.28 | 0.35 | 0.17 | 0.86 | 0.95 | 0.62 |
| Quercetin-O- ð› ½-D-glucose-acetate isomer 1 (505.1_6.8) | 1.74 | 1.27 | 0.47 | 1.46 | 2.97 | 1.51 | 0.67 | 0.69 | 1.57 | 0.02 |
| Quercetin-O- 𛠽− D-glucose-acetate isomer 2 (505.1_7) | 0.23 | 0.16 | 0.04 | 0.18 | 0.34 | 0.14 | 0.07 | 0.09 | 0.18 | 0.00 |
| Quercetin-O- ð› ½-D-glucose-acetate isomer 3 (505.1_7.1) | 0.10 | 0.19 | 0.03 | 0.14 | 0.26 | 0.09 | 0.08 | 0.18 | 0.16 | 0.49 |
| Kaempferol 3-O-(3 ′ ’,4 ′ ’-di-O-acetyl- 𛠼-L-rhamnopyranoside) (515.12_8) | 0.02 | 0.08 | 0.23 | 0.03 | 0.16 | 0.03 | 0.18 | 0.11 | 0.20 | 0.13 |
| Pinoresinol-glucoside (519.19_6.8) | 0.30 | 0.05 | 0.10 | 0.09 | 0.03 | 0.13 | 0.03 | 0.82 | 0.25 | 0.17 |
| Procyanidin B2_a (577.14_5.4) | 0.04 | 0.00 | 0.00 | 0.00 | 0.00 | 0.01 | 0.00 | 0.00 | 0.00 | 0.00 |
| Procyanidin B2_b (577.14_5.7) | 0.00 | 0.00 | 0.00 | 0.00 | 0.00 | 0.00 | 0.00 | 0.00 | 0.00 | 0.00 |
| Procyanidin B2_c (577.14_6.2) | 0.01 | 0.00 | 0.00 | 0.00 | 0.00 | 0.00 | 0.00 | 0.00 | 0.00 | 0.00 |
| Glucosylvitexin (593.15_6) | 0.01 | 0.01 | 0.07 | 0.02 | 0.02 | 0.25 | 0.04 | 0.21 | 0.04 | 0.05 |
| Kaempferol-3-O-rutinoside (593.15_5.6) | 0.53 | 1.88 | 1.18 | 1.52 | 1.76 | 0.02 | 3.27 | 0.03 | 1.04 | 0.82 |
| Puerarin xyloside (593.15_5.9) | 0.01 | 0.03 | 0.01 | 0.02 | 0.02 | 0.00 | 0.06 | 0.00 | 0.01 | 0.02 |
| Rutin (609.15_6.5) | 7.07 | 0.00 | 0.00 | 0.11 | 0.00 | 0.00 | 0.00 | 0.01 | 0.01 | 2.35 |
| Isorhamnetin-O-neohespeidoside (623.16_6.6) | 0.63 | 0.00 | 0.00 | 0.00 | 0.01 | 0.00 | 0.00 | 0.00 | 0.00 | 0.09 |
| Quercetin-di-O-glucoside (625.14_5.4) | 0.03 | 0.02 | 0.02 | 0.03 | 0.02 | 0.04 | 0.02 | 0.04 | 0.02 | 0.02 |
| Quercetin-di-O-glucoside 2 | 0.03 | 0.02 | 0.02 | 0.01 | 0.01 | 0.01 | 0.01 | 0.02 | 0.01 | 0.02 |
| Colombia | Fiji | India | Kenya | Madagascar | Mexico | Philippines | Reunion | South Africa | UK | |
| Phenolic acids % | ||||||||||
| 2,4-Dihydroxybenzoic acid (153.02_6) | 0.01 | 0.01 | 0.00 | 0.01 | 0.02 | 0.01 | 0.00 | 0.01 | 0.00 | 0.00 |
| Protocatechuic acid (153.02_5) | 0.00 | 0.01 | 0.01 | 0.01 | 0.01 | 0.01 | 0.01 | 0.02 | 0.01 | 0.03 |
| Shikimic acid (173.05_2) | 0.01 | 0.03 | 0.02 | 0.02 | 0.03 | 0.02 | 0.02 | 0.03 | 0.02 | 0.01 |
| Quinic acid (191.06_1.9) | 0.31 | 0.80 | 0.36 | 0.60 | 0.64 | 0.11 | 0.20 | 0.48 | 0.36 | 0.35 |
| Ferulic_Isoferulic acid (193.05_1.9) | 0.00 | 0.00 | 0.00 | 0.00 | 0.01 | 0.00 | 0.00 | 0.00 | 0.00 | 0.00 |
| Chlorogenic acid 1 (353.09_5) | 4.26 | 7.37 | 4.45 | 7.18 | 6.86 | 5.13 | 3.90 | 7.77 | 6.14 | 1.86 |
| Cryptochlorogenic acid 1 (353.09_5.4) | 1.31 | 1.75 | 0.86 | 1.15 | 0.94 | 0.84 | 0.87 | 2.19 | 1.29 | 2.26 |
| Neochlorogenic acid 1 (353.09_5.3) | 0.04 | 0.01 | 0.01 | 0.07 | 0.01 | 0.01 | 0.01 | 0.02 | 0.01 | 0.01 |
| Colombia | Fiji | India | Kenya | Madagascar | Mexico | Philippines | Reunion | South Africa | UK | |
| Others % | ||||||||||
| Hydroxytyrosol a (153.06_4.8) | 0.03 | 0.05 | 0.02 | 0.04 | 0.02 | 0.02 | 0.02 | 0.08 | 0.03 | 0.07 |
| p-Coumaric acid (163.04_5.3) | 0.14 | 0.10 | 0.11 | 0.25 | 0.14 | 0.16 | 0.13 | 0.10 | 0.11 | 0.04 |
| Phenprobamate (164.07_4.6) | 0.06 | 0.60 | 0.12 | 0.13 | 0.08 | 0.13 | 0.32 | 0.69 | 0.37 | 0.54 |
| Vitamin C (175.02_6.1) | 0.04 | 0.06 | 0.05 | 0.12 | 0.04 | 0.05 | 0.04 | 0.04 | 0.04 | 0.00 |
| Azelaic acid (187.1_6.9) | 0.12 | 0.30 | 0.15 | 0.33 | 0.09 | 0.09 | 0.16 | 0.23 | 0.30 | 0.37 |
| Citric acid (191.02_2.1) | 0.01 | 0.00 | 0.00 | 0.00 | 0.00 | 0.00 | 0.00 | 0.00 | 0.00 | 0.02 |
| L-Tryptophan (203.08_5.2) | 0.11 | 0.49 | 0.10 | 0.19 | 0.07 | 0.12 | 0.14 | 0.88 | 0.41 | 0.60 |
| Pantothenic acid (218.1_4.7) | 0.03 | 0.04 | 0.01 | 0.02 | 0.05 | 0.05 | 0.11 | 0.06 | 0.02 | 1.64 |
| Traumatic acid iso a (227.13_8.7) | 0.10 | 0.54 | 0.12 | 0.27 | 0.08 | 0.06 | 0.29 | 0.71 | 0.37 | 0.15 |
| cis- Traumatic acid iso b (227.13_8.5) | 0.21 | 0.20 | 0.16 | 0.35 | 0.07 | 0.10 | 0.08 | 0.31 | 0.17 | 0.15 |
| Traumatic acid iso c (227.13_8.3) | 0.03 | 0.05 | 0.03 | 0.05 | 0.02 | 0.02 | 0.03 | 0.11 | 0.06 | 0.07 |
| Myristic acid (227.2_12.8) | 0.06 | 0.04 | 0.07 | 0.07 | 0.05 | 0.05 | 0.07 | 0.07 | 0.07 | 0.14 |
| Uridine (243.06_2.1) | 0.08 | 0.12 | 0.09 | 0.16 | 0.06 | 0.20 | 0.10 | 0.13 | 0.10 | 0.16 |
| Alpha-Linolenic acid (277.22_12.9) | 14.41 | 23.88 | 18.17 | 31.91 | 19.00 | 20.05 | 21.91 | 23.57 | 22.63 | 19.19 |
| Linoleic acid (279.23_13.3) | 5.32 | 9.65 | 7.31 | 11.55 | 8.06 | 9.49 | 9.45 | 8.89 | 8.40 | 9.14 |
| Stearic acid (283.26_14.4) | 0.53 | 1.25 | 0.47 | 1.31 | 0.89 | 0.71 | 1.34 | 1.08 | 0.96 | 1.54 |
| Arachidic acid (311.3_15) | 0.16 | 0.42 | 0.16 | 0.42 | 0.27 | 0.19 | 0.41 | 0.37 | 0.35 | 0.61 |
| Vitamin B2 (375.13_5.6) | 0.00 | 0.00 | 0.00 | 0.00 | 0.00 | 0.00 | 0.00 | 0.00 | 0.00 | 0.05 |
| Oleanolic acid/Betulinic acid (455.35_12.9) | 0.05 | 0.01 | 0.02 | 0.15 | 0.12 | 0.04 | 0.01 | 0.04 | 0.08 | 0.06 |
| Mole | Glucosinolates (%) | Flavonoids (%) | Phenolic Acids (%) | Others (%) |
|---|---|---|---|---|
| Colombia | 50.81 ± 0.32 | 21.78 ± 0.21 | 5.94 ± 0.22 | 21.47 ± 0.11 |
| Fiji | 36.38 ± 0.57 | 15.84 ± 0.12 | 9.99 ± 0.17 | 37.80 ± 0.12 |
| India | 49.89 ± 0.01 | 17.24 ± 0.03 | 5.71 ± 0.04 | 27.16 ± 0.31 |
| Kenya | 24.61 ± 0.03 | 19.01 ± 0.01 | 9.05 ± 0.02 | 47.33 ± 0.03 |
| Madagascar | 32.31 ± 0.04 | 30.09 ± 0.01 | 8.53 ± 0.03 | 29.08 ± 0.09 |
| Mexico | 48.19 ± 0.03 | 14.18 ± 0.12 | 6.13 ± 0.02 | 31.52 ± 0.05 |
| Philippines | 42.42 ± 0.03 | 17.97 ± 0.01 | 5.01 ± 0.01 | 34.60 ± 0.06 |
| Réunion | 34.99 ± 0.06 | 17.13 ± 0.01 | 10.51 ± 0.01 | 37.37 ± 0.05 |
| South Africa | 35.16 ± 0.06 | 22.57 ± 0.01 | 7.84 ± 0.01 | 34.48 ± 0.05 |
| UK | 42.11 ± 0.07 | 18.82 ± 0.01 | 4.53 ± 0.01 | 34.55 ± 0.07 |
Disclaimer/Publisher’s Note: The statements, opinions and data contained in all publications are solely those of the individual author(s) and contributor(s) and not of MDPI and/or the editor(s). MDPI and/or the editor(s) disclaim responsibility for any injury to people or property resulting from any ideas, methods, instructions or products referred to in the content. |
© 2024 by the authors. Licensee MDPI, Basel, Switzerland. This article is an open access article distributed under the terms and conditions of the Creative Commons Attribution (CC BY) license (https://creativecommons.org/licenses/by/4.0/).
Share and Cite
Ceci, R.; Maldini, M.; La Rosa, P.; Sgrò, P.; Sharma, G.; Dimauro, I.; Olson, M.E.; Duranti, G. Comparative Metabolomic Analysis of Moringa oleifera Leaves of Different Geographical Origins and Their Antioxidant Effects on C2C12 Myotubes. Int. J. Mol. Sci. 2024, 25, 8109. https://doi.org/10.3390/ijms25158109
Ceci R, Maldini M, La Rosa P, Sgrò P, Sharma G, Dimauro I, Olson ME, Duranti G. Comparative Metabolomic Analysis of Moringa oleifera Leaves of Different Geographical Origins and Their Antioxidant Effects on C2C12 Myotubes. International Journal of Molecular Sciences. 2024; 25(15):8109. https://doi.org/10.3390/ijms25158109
Chicago/Turabian StyleCeci, Roberta, Mariateresa Maldini, Piergiorgio La Rosa, Paolo Sgrò, Garima Sharma, Ivan Dimauro, Mark E. Olson, and Guglielmo Duranti. 2024. "Comparative Metabolomic Analysis of Moringa oleifera Leaves of Different Geographical Origins and Their Antioxidant Effects on C2C12 Myotubes" International Journal of Molecular Sciences 25, no. 15: 8109. https://doi.org/10.3390/ijms25158109
APA StyleCeci, R., Maldini, M., La Rosa, P., Sgrò, P., Sharma, G., Dimauro, I., Olson, M. E., & Duranti, G. (2024). Comparative Metabolomic Analysis of Moringa oleifera Leaves of Different Geographical Origins and Their Antioxidant Effects on C2C12 Myotubes. International Journal of Molecular Sciences, 25(15), 8109. https://doi.org/10.3390/ijms25158109

