Wrinkle-Improving Effect of Novel Peptide That Binds to Nicotinic Acetylcholine Receptor
Abstract
1. Introduction
2. Results
2.1. The Screening of Phage Peptides That Specifically Bind to the Surface of nAChR Subunit α1
2.2. The Binding Affinity of the Phage Display-Derived Peptides with the nAChR Subunit α1
2.3. The Effect of a Novel Peptide on Inhibiting the Action of ACh by nAChR Interaction
2.4. The Effects on Collagen Production and AQP3/HAS2 Gene Expression by a Novel Peptide
2.5. Safety Evaluation of Novel Peptide: Cytotoxicity, Skin Irritation, and Eye Irritation
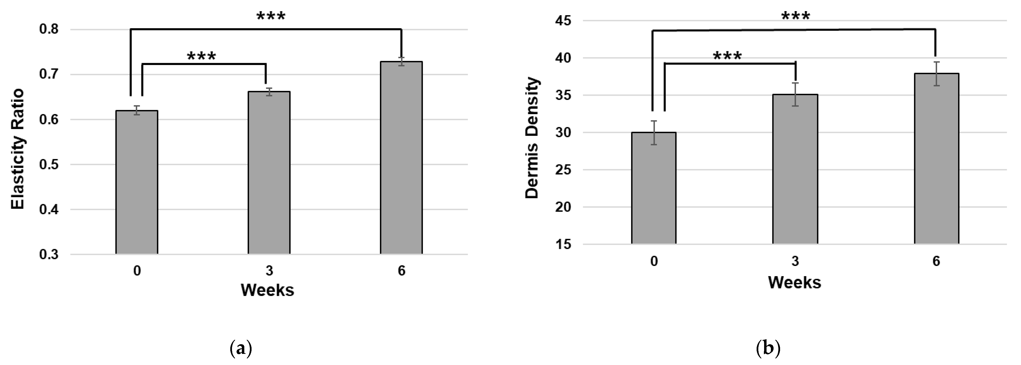
2.6. Anti-Wrinkle Efficacy of Novel Peptide in Clinical Study
3. Discussion
4. Materials and Methods
4.1. Materials and Reagents
4.2. Cell Culture
4.3. Phage Library and Biopanning
4.4. Enzyme-Linked Immunosorbent Assay (ELISA)
4.5. Binding Affinity Using Surface Plasmon Resonance (SPR) Assay
4.6. In Vitro Intracellular Nicotine Response Assay
4.7. In Vitro Cell Viability Assay
4.8. Measurement of Collagen Production and Gene Expression
4.9. Skin Irritation Test
4.10. Eye Irritation Test
4.11. Clinical Study
4.12. Statistical Analysis
5. Conclusions
Supplementary Materials
Author Contributions
Funding
Institutional Review Board Statement
Informed Consent Statement
Data Availability Statement
Conflicts of Interest
References
- Farage, M.A.; Miller, K.W.; Elsner, P.; Maibach, H.I. Characteristics of the aging skin. Adv. Wound Care 2013, 2, 5–10. [Google Scholar] [CrossRef]
- Papaccio, F.; D’Arino, A.; Caputo, S.; Bellei, B. Focus on the contribution of oxidative stress in skin aging. Antioxidants 2022, 11, 1121. [Google Scholar] [CrossRef]
- Shah, H.; Mahajan, S.R. Photoaging: New insights into its stimulators, complications, biochemical changes and therapeutic interventions. Biomed. Aging Pathol. 2013, 3, 161–169. [Google Scholar] [CrossRef]
- Shin, M.H.; Seo, J.-E.; Kim, Y.K.; Kim, K.H.; Chung, J.H. Chronic heat treatment causes skin wrinkle formation and oxidative damage in hairless mice. Mech. Ageing Dev. 2012, 133, 92–98. [Google Scholar] [CrossRef]
- Small, R. Botulinum toxin injection for facial wrinkles. Am. Fam. Physician 2014, 90, 168–175. [Google Scholar]
- Swift, A.; Liew, S.; Weinkle, S.; Garcia, J.K.; Silberberg, M.B. The facial aging process from the “inside out”. Aesthetic Surg. J. 2021, 41, 1107–1119. [Google Scholar] [CrossRef]
- Kuo, I.Y.; Ehrlich, B.E. Signaling in muscle contraction. Cold Spring Harb. Perspect. Biol. 2015, 7, a006023. [Google Scholar] [CrossRef]
- Rodríguez Cruz, P.M.; Cossins, J.; Beeson, D.; Vincent, A. The neuromuscular junction in health and disease: Molecular mechanisms governing synaptic formation and homeostasis. Front. Mol. Neurosci. 2020, 13, 610964. [Google Scholar] [CrossRef]
- Wei, Z.; Wei, M.; Yang, X.; Xu, Y.; Gao, S.; Ren, K. Synaptic secretion and beyond: Targeting synapse and neurotransmitters to treat neurodegenerative diseases. Oxidative Med. Cell. Longev. 2022, 2022, 9176923. [Google Scholar] [CrossRef]
- Del Monico, M.; Tahriri, M.; Nicholson, Z.; Khoshroo, K.; Tayebi, L. Facial muscle tissue engineering. In Biomaterials for Oral and Dental Tissue Engineering; Elsevier: Amsterdam, The Netherlands, 2017; pp. 353–365. [Google Scholar]
- Le Doussal, J.-M.; Cecile, C.; Nicolas, H.; Coane, M. Composition Modulating Botulinum Neurotoxin Effect. Google Patents 17/620,917, 19 January 2023. [Google Scholar]
- Albuquerque, E.X.; Pereira, E.F.; Alkondon, M.; Rogers, S.W. Mammalian nicotinic acetylcholine receptors: From structure to function. Physiol. Rev. 2009, 89, 73–120. [Google Scholar] [CrossRef]
- Errante, F.; Ledwoń, P.; Latajka, R.; Rovero, P.; Papini, A.M. Cosmeceutical peptides in the framework of sustainable wellness economy. Front. Chem. 2020, 8, 572923. [Google Scholar] [CrossRef]
- Rizzi, V.; Gubitosa, J.; Fini, P.; Cosma, P. Neurocosmetics in skincare—The fascinating world of skin–brain connection: A review to explore ingredients, commercial products for skin aging, and cosmetic regulation. Cosmetics 2021, 8, 66. [Google Scholar] [CrossRef]
- Blanes-Mira, C.; Clemente, J.; Jodas, G.; Gil, A.; Fernández-Ballester, G.; Ponsati, B.; Gutierrez, L.; Pérez-Payá, E.; Ferrer-Montiel, A. A synthetic hexapeptide (Argireline) with antiwrinkle activity. Int. J. Cosmet. Sci. 2002, 24, 303–310. [Google Scholar] [CrossRef]
- Zhmak, M.N.; Utkin, Y.N.; Andreeva, T.V.; Kudryavtsev, D.S.; Kryukova, E.V.; Tsetlin, V.I.; Kasheverov, I.E.E.; Starkov, V.G.E.; Shelukhina, I.V.E. Peptide Inhibitors of Nicotinic Acetylcholine Receptor. Google Patents 9,550,808, 24 January 2017. [Google Scholar]
- Hammond, C. Cellular and Molecular Neurophysiology; Academic Press: Cambridge, MA, USA, 2014. [Google Scholar]
- Quan, T. Human Skin Aging and the Anti-Aging Properties of Retinol. Biomolecules 2023, 13, 1614. [Google Scholar] [CrossRef]
- Zhang, S.; Duan, E. Fighting against skin aging: The way from bench to bedside. Cell Transplant. 2018, 27, 729–738. [Google Scholar] [CrossRef]
- Chaudhary, M.; Khan, A.; Gupta, M. Skin ageing: Pathophysiology and current market treatment approaches. Curr. Aging Sci. 2020, 13, 22–30. [Google Scholar] [CrossRef]
- Hillebrand, G. Facial wrinkling: The marquee clinical sign of aging skin. In Textbook of Skin Aging; Farage, M.A., Miller, H.I., Mailbach, H.I., Eds.; Springer: Berlin/Heidelberg, Germany, 2010; pp. 911–918. [Google Scholar]
- Al-Atif, H. Collagen supplements for aging and wrinkles: A paradigm shift in the fields of dermatology and cosmetics. Dermatol. Pract. Concept. 2022, 12, e2022018. [Google Scholar] [CrossRef]
- Jeong, S.; Yoon, S.; Kim, S.; Jung, J.; Kor, M.; Shin, K.; Lim, C.; Han, H.S.; Lee, H.; Park, K.-Y. Anti-wrinkle benefits of peptides complex stimulating skin basement membrane proteins expression. Int. J. Mol. Sci. 2019, 21, 73. [Google Scholar] [CrossRef]
- Tobin, D.J. Introduction to skin aging. J. Tissue Viability 2017, 26, 37–46. [Google Scholar] [CrossRef]
- Luvisetto, S. Botulinum neurotoxins in central nervous system: An overview from animal models to human therapy. Toxins 2021, 13, 751. [Google Scholar] [CrossRef]
- Sam, C.; Bordoni, B. Physiology, Acetylcholine; StatPearls Publishing: Treasure Island, FL, USA, 2020. [Google Scholar]
- Kang, S.M.; Feneran, A.; Kim, J.K.; Park, O.; Kim, J.E.; Won, C.H.; Chang, S.; Lee, M.W.; Choi, J.H.; Moon, K.C. Exaggeration of wrinkles after botulinum toxin injection for forehead horizontal lines. Ann. Dermatol. 2011, 23, 217. [Google Scholar] [CrossRef] [PubMed]
- Molek, P.; Strukelj, B.; Bratkovic, T. Peptide phage display as a tool for drug discovery: Targeting membrane receptors. Molecules 2011, 16, 857–887. [Google Scholar] [CrossRef]
- Smith, G.P.; Petrenko, V.A. Phage display. Chem. Rev. 1997, 97, 391–410. [Google Scholar] [CrossRef]
- Bratkovič, T. Progress in phage display: Evolution of the technique and its applications. Cell. Mol. Life Sci. 2010, 67, 749–767. [Google Scholar] [CrossRef]
- Patching, S.G. Surface plasmon resonance spectroscopy for characterisation of membrane protein–ligand interactions and its potential for drug discovery. Biochim. Et Biophys. Acta (BBA)-Biomembr. 2014, 1838, 43–55. [Google Scholar] [CrossRef]
- Sparks, R.P.; Jenkins, J.L.; Fratti, R. Use of surface plasmon resonance (SPR) to determine binding affinities and kinetic parameters between components important in fusion machinery. In SNAREs: Methods and Protocols; Springer: Berlin/Heidelberg, Germany, 2019; pp. 199–210. [Google Scholar]
- Kröger, D.; Hucho, F.; Vogel, H. Ligand binding to nicotinic acetylcholine receptor investigated by surface plasmon resonance. Anal. Chem. 1999, 71, 3157–3165. [Google Scholar] [CrossRef]
- Dilger, J.P.; Vidal, A.M.; Liu, M.; Mettewie, C.; Suzuki, T.; Pham, A.; Demazumder, D. Roles of amino acids and subunits in determining the inhibition of nicotinic acetylcholine receptors by competitive antagonists. J. Am. Soc. Anesthesiol. 2007, 106, 1186–1195. [Google Scholar] [CrossRef] [PubMed]
- Shahsavar, A.; Gajhede, M.; Kastrup, J.S.; Balle, T. Structural studies of nicotinic acetylcholine receptors: Using acetylcholine-binding protein as a structural surrogate. Basic Clin. Pharmacol. Toxicol. 2016, 118, 399–407. [Google Scholar] [CrossRef] [PubMed]
- Nayak, T.K.; Bruhova, I.; Chakraborty, S.; Gupta, S.; Zheng, W.; Auerbach, A. Functional differences between neurotransmitter binding sites of muscle acetylcholine receptors. Proc. Natl. Acad. Sci. 2014, 111, 17660–17665. [Google Scholar] [CrossRef]
- Luther, M.A.; Schoepfer, R.; Whiting, P.; Casey, B.; Blatt, Y.; Montal, M.; Montal, M.; Linstrom, J. A muscle acetylcholine receptor is expressed in the human cerebellar medulloblastoma cell line TE671. J. Neurosci. 1989, 9, 1082–1096. [Google Scholar] [CrossRef]
- Mohiuddin, A. Skin aging and modern age anti—Aging strategies. Int. J. Clin. Dermatol. Res. 2019, 7, 209–240. [Google Scholar]
- Ganceviciene, R.; Liakou, A.I.; Theodoridis, A.; Makrantonaki, E.; Zouboulis, C.C. Skin anti-aging strategies. Derm.-Endocrinol. 2012, 4, 308–319. [Google Scholar] [CrossRef] [PubMed]
- Shin, J.-W.; Kwon, S.-H.; Choi, J.-Y.; Na, J.-I.; Huh, C.-H.; Choi, H.-R.; Park, K.-C. Molecular mechanisms of dermal aging and antiaging approaches. Int. J. Mol. Sci. 2019, 20, 2126. [Google Scholar] [CrossRef] [PubMed]
- Zhang, Z.; Zhu, H.; Zheng, Y.; Zhang, L.; Wang, X.; Luo, Z.; Tang, J.; Lin, L.; Du, Z.; Dong, C. The effects and mechanism of collagen peptide and elastin peptide on skin aging induced by D-galactose combined with ultraviolet radiation. J. Photochem. Photobiol. B Biol. 2020, 210, 111964. [Google Scholar] [CrossRef] [PubMed]
- Papakonstantinou, E.; Roth, M.; Karakiulakis, G. Hyaluronic acid: A key molecule in skin aging. Derm.-Endocrinol. 2012, 4, 253–258. [Google Scholar] [CrossRef] [PubMed]
- Vigetti, D.; Viola, M.; Karousou, E.; De Luca, G.; Passi, A. Metabolic control of hyaluronan synthases. Matrix Biol. 2014, 35, 8–13. [Google Scholar] [CrossRef] [PubMed]
- Ikarashi, N.; Kon, R.; Kaneko, M.; Mizukami, N.; Kusunoki, Y.; Sugiyama, K. Relationship between aging-related skin dryness and aquaporins. Int. J. Mol. Sci. 2017, 18, 1559. [Google Scholar] [CrossRef] [PubMed]
- Hara, M.; Verkman, A. Glycerol replacement corrects defective skin hydration, elasticity, and barrier function in aquaporin-3-deficient mice. Proc. Natl. Acad. Sci. USA 2003, 100, 7360–7365. [Google Scholar] [CrossRef] [PubMed]
- Li, J.; Tang, H.; Hu, X.; Chen, M.; Xie, H. Aquaporin-3 gene and protein expression in sun-protected human skin decreases with skin ageing. Australas. J. Dermatol. 2010, 51, 106–112. [Google Scholar] [CrossRef]
- Nguyen, H.H.; Park, J.; Kang, S.; Kim, M. Surface plasmon resonance: A versatile technique for biosensor applications. Sensors 2015, 15, 10481–10510. [Google Scholar] [CrossRef]
- Rodrigues, T.; Ferraz, L.S. Cytosolic Ca2+ measurements by ratiometric fluorescence microscopy in melanoma cells. STAR Protoc. 2021, 2, 100282. [Google Scholar] [CrossRef] [PubMed]
- Murray, B.; Wickett, R. Correlations between dermal torque meter®, cutometer®, and dermal phase meter® measurements of human skin. Ski. Res. Technol. 1997, 3, 101–106. [Google Scholar] [CrossRef] [PubMed]
- Messaraa, C.; Metois, A.; Walsh, M.; Hurley, S.; Doyle, L.; Mansfield, A.; O'Connor, C.; Mavon, A. Wrinkle and roughness measurement by the Antera 3D and its application for evaluation of cosmetic products. Ski. Res. Technol. 2018, 24, 359–366. [Google Scholar] [CrossRef] [PubMed]







| Round | Inputs (PFU/mL) | Outputs (PFU/mL) | Output phage/Input Phage Ratio |
|---|---|---|---|
| 1 | 9.6 × 1010 | 2.3 × 107 | 23.9 × 10−5 |
| 2 | 1.98 × 1012 | 1.98 × 108 | 10 × 10−5 |
| 3 | 1.63 × 1012 | 5.8 × 107 | 3.55 × 10−5 |
| 4 | 3.77 × 1012 | 5.28 × 108 | 14 × 10−5 |
| Peptide Number | Sequence | nAChR Subunit α1 (OD450) | Streptavidin (OD450) | nAChR Subunit α1/Streptavidin Ratio |
|---|---|---|---|---|
| 289 | RRGVRR | 1.46 | 0.088 | 16.59091 |
| 290 | RKRIRR | 0.757 | 0.081 | 9.345679 |
| 224 | KRGRCK | 0.973 | 0.106 | 9.179245 |
| 221 | RKRQTR | 0.587 | 0.109 | 5.385321 |
| 223 | KRRFQK | 0.603 | 0.114 | 5.289474 |
| 202 | KRQWVK | 0.453 | 0.09 | 5.033333 |
| 191 | RRTSWR | 0.468 | 0.094 | 4.978723 |
| 197 | KRLQAR | 0.432 | 0.096 | 4.5 |
| 233 | RRQTHK | 0.424 | 0.097 | 4.3711134 |
| ka (1/Ms) | kd (1/s) | Rmax (RU) | KA (1/M) | KD (M) |
|---|---|---|---|---|
| 1.49 × 104 | 9.06 × 10−3 | 369 | 1.64 × 106 | 6.09 × 10−7 |
| Measurement | Weeks | % Improvement (Mean ± SD) | p-Value |
|---|---|---|---|
| Overall size (AU) | 0 | - | - |
| 3 | 19.1 ± 7.84 | <0.001 | |
| 6 | 31.5 ± 9.18 | <0.001 | |
| Depth (mm) | 0 | - | - |
| 3 | 21 ± 9.18 | <0.001 | |
| 6 | 30.1 ± 10.27 | <0.001 | |
| Maximum depth (mm) | 0 | - | - |
| 3 | 14.2 ± 16.79 | <0.004 | |
| 6 | 27.9 ± 16.41 | <0.001 |
Disclaimer/Publisher’s Note: The statements, opinions and data contained in all publications are solely those of the individual author(s) and contributor(s) and not of MDPI and/or the editor(s). MDPI and/or the editor(s) disclaim responsibility for any injury to people or property resulting from any ideas, methods, instructions or products referred to in the content. |
© 2024 by the authors. Licensee MDPI, Basel, Switzerland. This article is an open access article distributed under the terms and conditions of the Creative Commons Attribution (CC BY) license (https://creativecommons.org/licenses/by/4.0/).
Share and Cite
Bang, J.; Hwang, Y.-L.; Kim, M.Y.; Yun, J.N.; Hyun, E.; Chang, M.Y.; Shin, D.H.; Kim, S.; Lee, J.-H. Wrinkle-Improving Effect of Novel Peptide That Binds to Nicotinic Acetylcholine Receptor. Int. J. Mol. Sci. 2024, 25, 7860. https://doi.org/10.3390/ijms25147860
Bang J, Hwang Y-L, Kim MY, Yun JN, Hyun E, Chang MY, Shin DH, Kim S, Lee J-H. Wrinkle-Improving Effect of Novel Peptide That Binds to Nicotinic Acetylcholine Receptor. International Journal of Molecular Sciences. 2024; 25(14):7860. https://doi.org/10.3390/ijms25147860
Chicago/Turabian StyleBang, Jinho, Yul-Lye Hwang, Mi Yoon Kim, Jae Nam Yun, Eujin Hyun, Min Youl Chang, Dae Hwan Shin, Sunghyun Kim, and Jeung-Hoon Lee. 2024. "Wrinkle-Improving Effect of Novel Peptide That Binds to Nicotinic Acetylcholine Receptor" International Journal of Molecular Sciences 25, no. 14: 7860. https://doi.org/10.3390/ijms25147860
APA StyleBang, J., Hwang, Y.-L., Kim, M. Y., Yun, J. N., Hyun, E., Chang, M. Y., Shin, D. H., Kim, S., & Lee, J.-H. (2024). Wrinkle-Improving Effect of Novel Peptide That Binds to Nicotinic Acetylcholine Receptor. International Journal of Molecular Sciences, 25(14), 7860. https://doi.org/10.3390/ijms25147860

