Synthesis, Anticancer Activity, and Docking Studies of Novel Hydroquinone-Chalcone-Pyrazoline Hybrid Derivatives
Abstract
1. Introduction
2. Results and Discussion
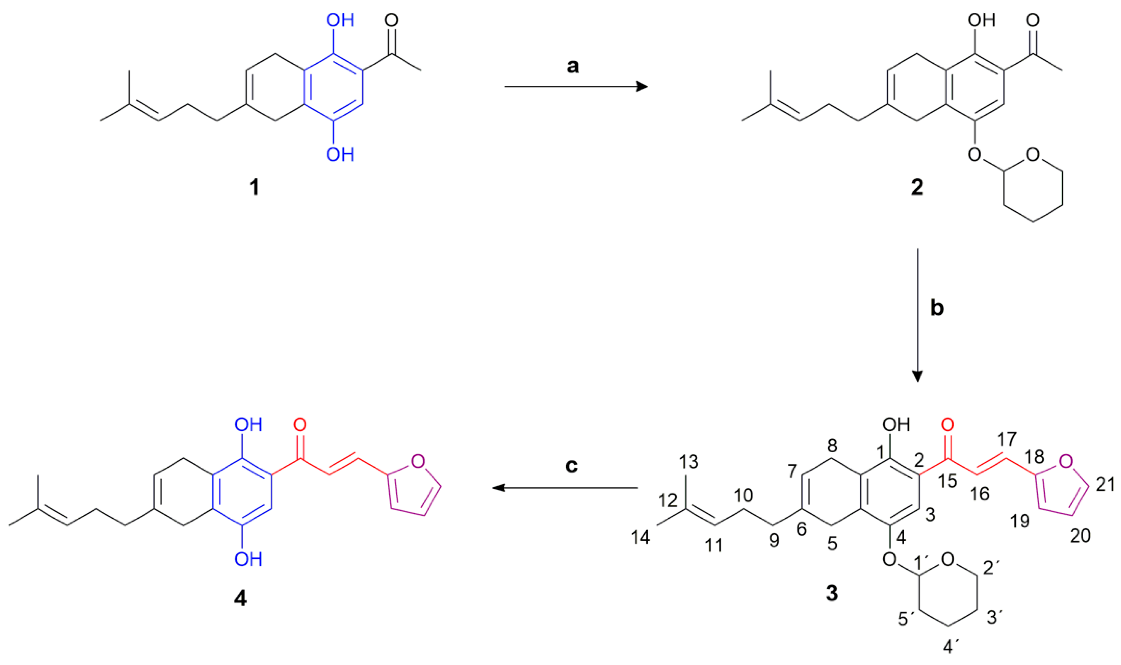
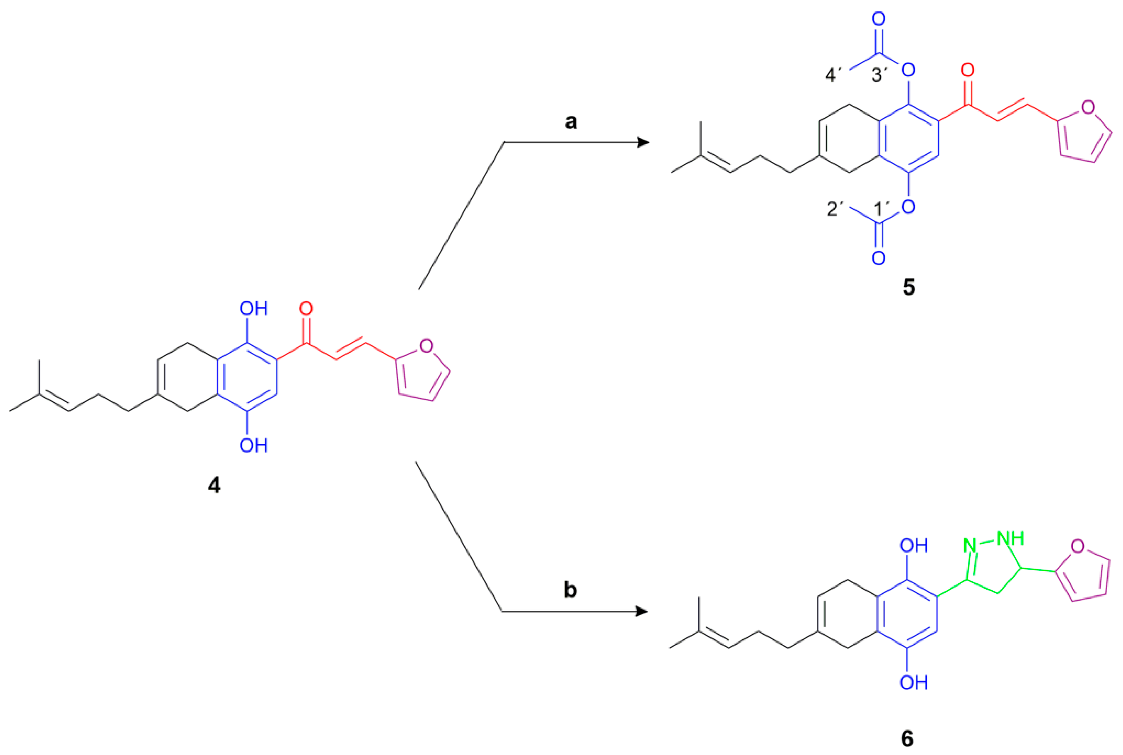
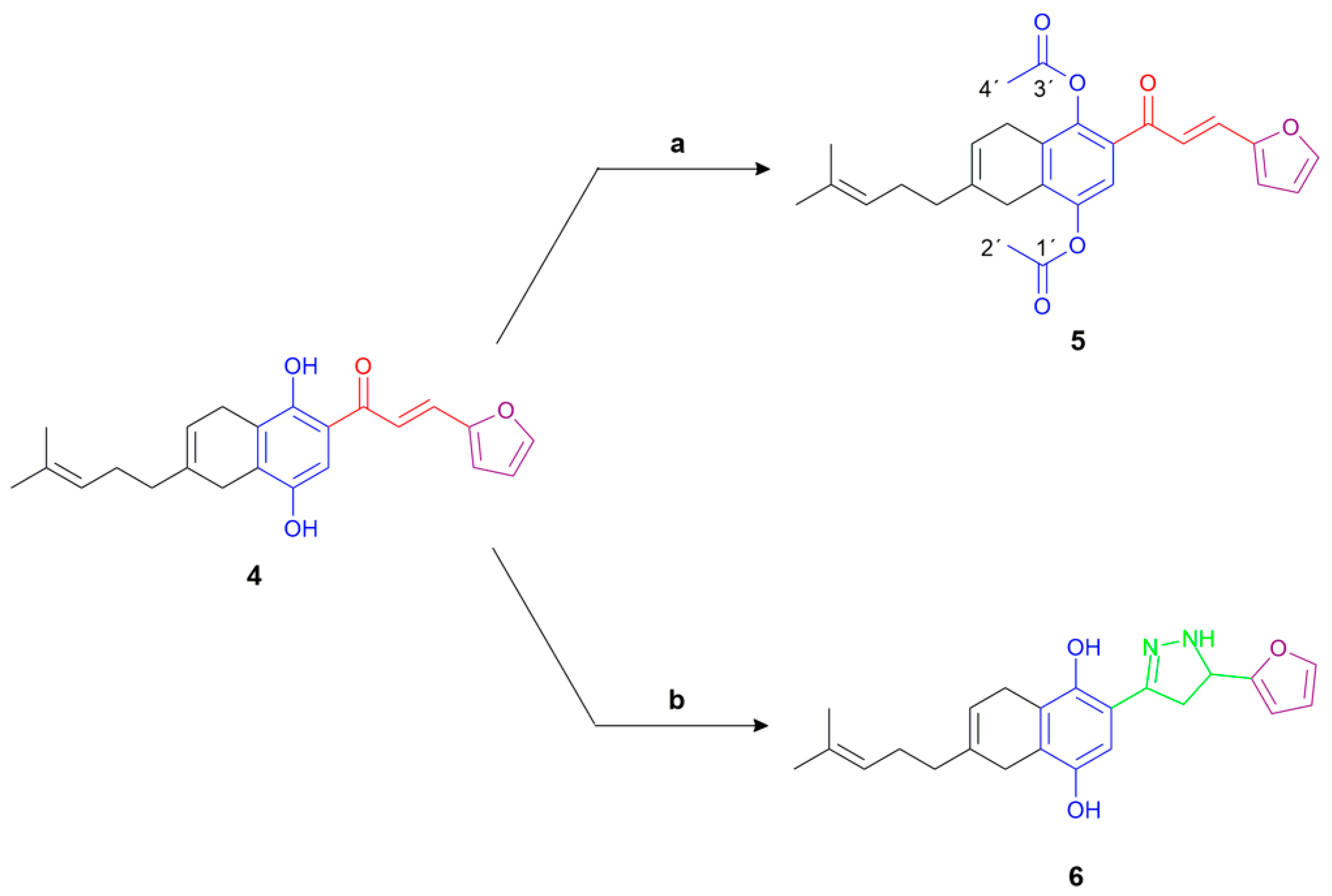
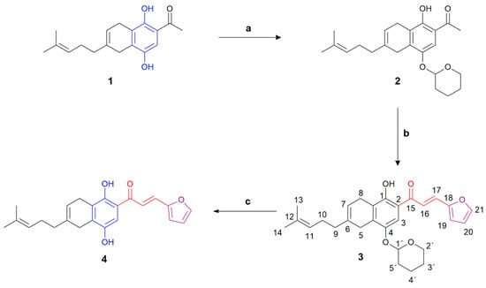
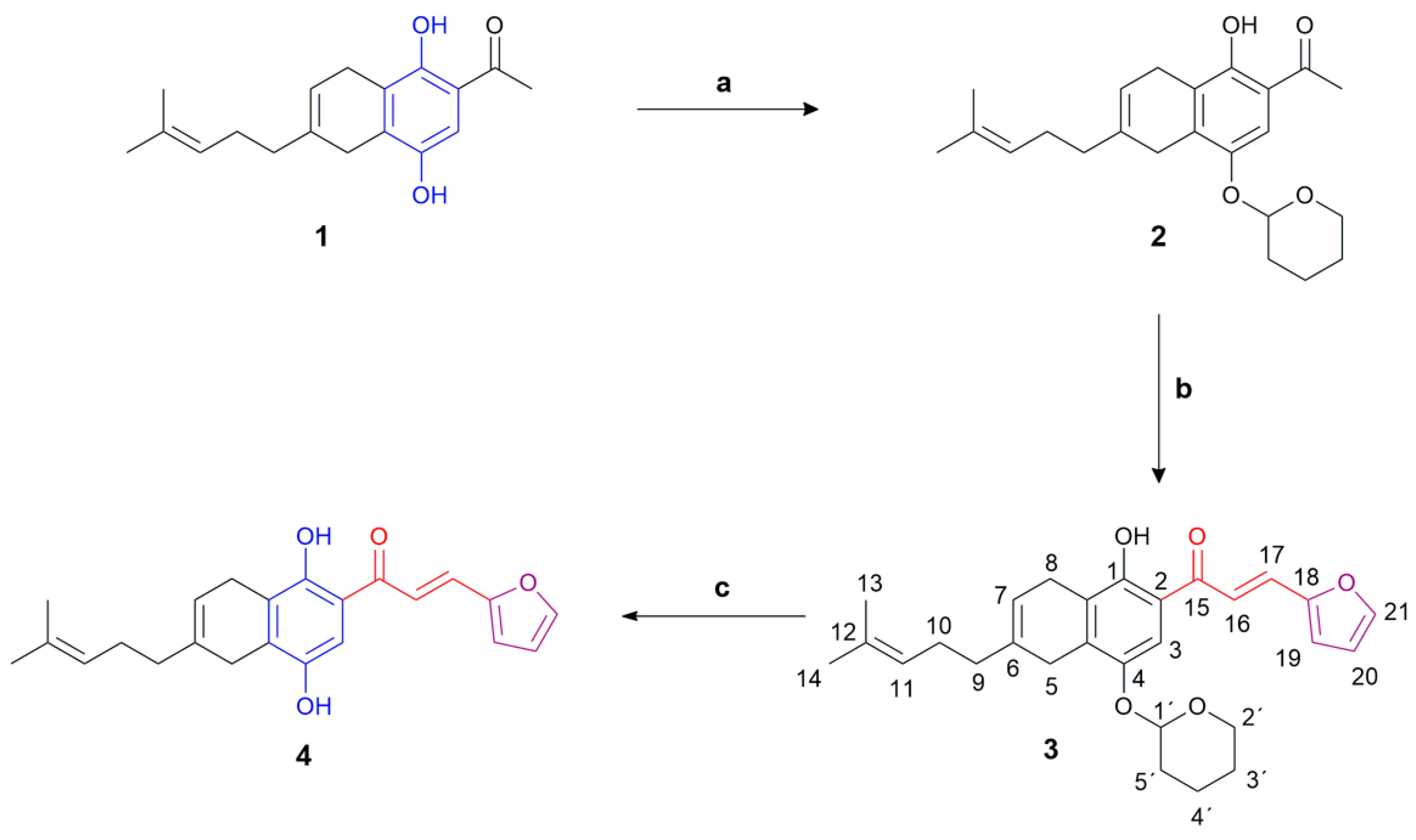
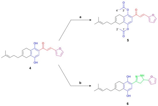
2.1. Chemistry
2.2. In Vitro Cytotoxicity Assays
2.3. In Silico Virtual Screening for Potential Antineoplastic Targets of CBHQs and PIBHQs
2.4. Binding Sites and Docking of Synthesized Cytotoxic Hybrids in EGFR, MEK1, CK4, and TPK Targets
2.5. In Silico Drug Likeness, Toxicity Risks, and ADME Predictions
3. Materials and Methods
3.1. Chemistry
3.1.1. Procedure for the Synthesis and Characterization of Compound 3
Synthesis of (E)-3-(Furan-2-yl)-1-{1-hydroxy-6-(4-methylpent-3-en-1-yl)-4-[(tetrahydro-2H-pyran-2-yl)oxy]-5,8-dihydronaphthalen-2-yl}prop-2-en-1-one (3)
3.1.2. Procedure for the Synthesis and Characterization of Compound 4
Synthesis of (E)-1-[1,4-Dihydroxy-6-(4-methylpent-3-en-1-yl)-5,8-dihydronaphthalen-2-yl]-3-(furan-2-yl) prop-2-en-1-one (4)
3.1.3. Procedure for the Synthesis and Characterization of Compound 5
Synthesis of (E)-2-[3-(Furan-2-yl) prop-2-enoyl]-6-(4-methylpent-3-en-1-yl)-5,8-dihydronaphthalene-1,4-diyl diethanoate (5)
3.1.4. General Procedure for the Synthesis and Characterization of Compounds 6, 7, 8, 9, and 10
Synthesis of 2-[5-(Furan-2-yl)-4,5-dihydro-1H-pyrazol-3-yl]-6-(4-methylpent-3-en-1-yl)-5,8-dihydronaphthalene-1,4-diol (6)
Synthesis of 6-(4-Methylpent-3-en-1-yl)-2-(5-phenyl-4,5-dihydro-1H-pyrazol-3-yl)-5,8-dihydronaphthalene-1,4-diol (7)
Synthesis of 2-[5-(4-Methoxyphenyl)-4,5-dihydro-1H-pyrazol-3-yl]-6-(4-methylpent-3-en-1-yl)-5,8-dihydronaphthalene-1,4-diol (8)
Synthesis of 6-(4-Methylpent-3-en-1-yl)-2-[5-(4-methylphenyl)-4,5-dihydro-1H-pyrazol-3-yl]-5,8-dihydronaphthalene-1,4-diol (9)
Synthesis of 2-[5-(2,4-Dichlorophenyl)-4,5-dihydro-1H-pyrazol-3-yl]-6-(4-methylpent-3-en-1-yl)-5,8-dihydronaphthalene-1,4-diol (10)
3.2. Antiproliferative Assay
3.3. Computational Details
3.3.1. Ligand Preparation
3.3.2. In Silico ADME Prediction
3.3.3. Macromolecule Selection and Retrieval
3.3.4. Molecular Docking of Ligand–Protein Interactions
4. Conclusions
Supplementary Materials
Author Contributions
Funding
Institutional Review Board Statement
Informed Consent Statement
Data Availability Statement
Conflicts of Interest
References
- Rebucci, M.; Michiels, C. Molecular Aspects of Cancer Cell Resistance to Chemotherapy. Biochem. Pharmacol. 2013, 85, 1219–1226. [Google Scholar] [CrossRef]
- Patel, T.K.; Adhikari, N.; Amin, S.A.; Biswas, S.; Jha, T.; Ghosh, B. Small Molecule Drug Conjugates (SMDCs): An Emerging Strategy for Anticancer Drug Design and Discovery. New J. Chem. 2021, 45, 5291–5321. [Google Scholar] [CrossRef]
- Bertanha, C.; Januário, A.; Alvarenga, T.; Pimenta, L.; Silva, M.; Cunha, W.; Pauletti, P. Quinone and Hydroquinone Metabolites from the Ascidians of the Genus Aplidium. Mar. Drugs 2014, 12, 3608–3633. [Google Scholar] [CrossRef]
- Giner, R.M.; Ríos, J.L.; Máñez, S. Antioxidant Activity of Natural Hydroquinones. Antioxidants 2022, 11, 343. [Google Scholar] [CrossRef]
- Lane, A.L.; Mular, L.; Drenkard, E.J.; Shearer, T.L.; Engel, S.; Fredericq, S.; Fairchild, C.R.; Prudhomme, J.; Le Roch, K.; Hay, M.E.; et al. Ecological Leads for Natural Product Discovery: Novel Sesquiterpene Hydroquinones from the Red Macroalga Peyssonnelia sp. Tetrahedron 2010, 66, 455–461. [Google Scholar] [CrossRef]
- Scozzafava, A.; Kalın, P.; Supuran, C.T.; Gülçin, İ.; Alwasel, S.H. The Impact of Hydroquinone on Acetylcholine Esterase and Certain Human Carbonic Anhydrase Isoenzymes (HCA I, II, IX, and XII). J. Enzym. Inhib. Med. Chem. 2015, 30, 941–946. [Google Scholar] [CrossRef]
- Tasseau, O.; Mosset, P.; Barillé-Nion, S.; Gautier, F.; Juin, P.; Levoin, N.; Amireddy, N.; Kalivendi, S.; Grée, R. Synthesis and Cytotoxicity Studies of Newly Designed Benzyl-Hydroquinone Derivatives. Med. Chem. Res. 2018, 27, 1050–1065. [Google Scholar] [CrossRef]
- Sladic, D.; Gasic, M. Reactivity and Biological Activity of the Marine Sesquiterpene Hydroquinone Avarol and Related Compounds from Sponges of the Order Dictyoceratida. Molecules 2006, 11, 1–33. [Google Scholar] [CrossRef]
- Peduto, A.; Scuotto, M.; Krauth, V.; Roviezzo, F.; Rossi, A.; Temml, V.; Esposito, V.; Stuppner, H.; Schuster, D.; D’Agostino, B.; et al. Optimization of Benzoquinone and Hydroquinone Derivatives as Potent Inhibitors of Human 5-Lipoxygenase. Eur. J. Med. Chem. 2017, 127, 715–726. [Google Scholar] [CrossRef]
- Chang, H.-S.; Lin, Y.-J.; Lee, S.-J.; Yang, C.-W.; Lin, W.-Y.; Tsai, I.-L.; Chen, I.-S. Cytotoxic Alkyl Benzoquinones and Alkyl Phenols from Ardisia Virens. Phytochemistry 2009, 70, 2064–2071. [Google Scholar] [CrossRef]
- Byeon, S.; Yi, Y.-S.; Lee, J.; Yang, W.; Kim, J.; Kim, J.; Hong, S.; Kim, J.-H.; Cho, J. Hydroquinone Exhibits In Vitro and In Vivo Anti-Cancer Activity in Cancer Cells and Mice. Int. J. Mol. Sci. 2018, 19, 903. [Google Scholar] [CrossRef]
- Sunassee, S.N.; Davies-Coleman, M.T. Cytotoxic and Antioxidant Marine Prenylated Quinones and Hydroquinones. Nat. Prod. Rep. 2012, 29, 513. [Google Scholar] [CrossRef]
- Müller, W.E.; Sladić, D.; Zahn, R.K.; Bässler, K.H.; Dogović, N.; Gerner, H.; Gasić, M.J.; Schröder, H.C. Avarol-Induced DNA Strand Breakage in Vitro and in Friend Erythroleukemia Cells. Cancer Res. 1987, 47, 6565–6571. [Google Scholar]
- Matulja, D.; Vranješević, F.; Kolympadi Markovic, M.; Pavelić, S.K.; Marković, D. Anticancer Activities of Marine-Derived Phenolic Compounds and Their Derivatives. Molecules 2022, 27, 1449. [Google Scholar] [CrossRef]
- Yoo, H.-D.; Leung, D.; Sanghara, J.; Daley, D.; Soest, R.; Andersen, R.J. Isoarenarol, A New Protein Kinase Inhibitor from the Marine Sponge Dysidea Arenaria. Pharm. Biol. 2003, 41, 223–225. [Google Scholar] [CrossRef]
- Nursamsiar; Asnawi, A.; Kartasasmita, R.E.; Ibrahim, S.; Tjahjono, D.H. Synthesis, Biological Evaluation, and Docking Analysis of Methyl Hydroquinone and Bromo Methyl Hydroquinone as Potent Cyclooxygenase (COX-1 and COX-2) Inhibitors. J. Appl. Pharm. Sci. 2018, 8, 16–20. [Google Scholar] [CrossRef][Green Version]
- Rammohan, A.; Reddy, J.S.; Sravya, G.; Rao, C.N.; Zyryanov, G.V. Chalcone Synthesis, Properties and Medicinal Applications: A Review. Environ. Chem. Lett. 2020, 18, 433–458. [Google Scholar] [CrossRef]
- Al Zahrani, N.A.; El-Shishtawy, R.M.; Elaasser, M.M.; Asiri, A.M. Synthesis of Novel Chalcone-Based Phenothiazine Derivatives as Antioxidant and Anticancer Agents. Molecules 2020, 25, 4566. [Google Scholar] [CrossRef]
- Pereira, R.; Silva, A.M.S.; Ribeiro, D.; Silva, V.L.M.; Fernandes, E. Bis-Chalcones: A Review of Synthetic Methodologies and Anti-Inflammatory Effects. Eur. J. Med. Chem. 2023, 252, 115280. [Google Scholar] [CrossRef]
- Rajendran, G.; Bhanu, D.; Aruchamy, B.; Ramani, P.; Pandurangan, N.; Bobba, K.N.; Oh, E.J.; Chung, H.Y.; Gangadaran, P.; Ahn, B.-C. Chalcone: A Promising Bioactive Scaffold in Medicinal Chemistry. Pharmaceuticals 2022, 15, 1250. [Google Scholar] [CrossRef]
- Liu, W.; He, M.; Li, Y.; Peng, Z.; Wang, G. A Review on Synthetic Chalcone Derivatives as Tubulin Polymerisation Inhibitors. J. Enzym. Inhib. Med. Chem. 2022, 37, 9–38. [Google Scholar] [CrossRef]
- Ouyang, Y.; Li, J.; Chen, X.; Fu, X.; Sun, S.; Wu, Q. Chalcone Derivatives: Role in Anticancer Therapy. Biomolecules 2021, 11, 894. [Google Scholar] [CrossRef]
- WalyEldeen, A.A.; Sabet, S.; El-Shorbagy, H.M.; Abdelhamid, I.A.; Ibrahim, S.A. Chalcones: Promising Therapeutic Agents Targeting Key Players and Signaling Pathways Regulating the Hallmarks of Cancer. Chem. Biol. Interact. 2023, 369, 110297. [Google Scholar] [CrossRef]
- Constantinescu, T.; Lungu, C.N. Anticancer Activity of Natural and Synthetic Chalcones. Int. J. Mol. Sci. 2021, 22, 11306. [Google Scholar] [CrossRef]
- Mezgebe, K.; Melaku, Y.; Mulugeta, E. Synthesis and Pharmacological Activities of Chalcone and Its Derivatives Bearing N -Heterocyclic Scaffolds: A Review. ACS Omega 2023, 8, 19194–19211. [Google Scholar] [CrossRef]
- Mathew, B.; Suresh, J.; Anbazghagan, S.; Paulraj, J.; Krishnan, G.K. Heteroaryl Chalcones: Mini Review about Their Therapeutic Voyage. Biomed. Prev. Nutr. 2014, 4, 451–458. [Google Scholar] [CrossRef]
- Farhat, J.; Alzyoud, L.; Alwahsh, M.; Al-Omari, B. Structure–Activity Relationship of Benzofuran Derivatives with Potential Anticancer Activity. Cancers 2022, 14, 2196. [Google Scholar] [CrossRef]
- Gao, F.; Huang, G.; Xiao, J. Chalcone Hybrids as Potential Anticancer Agents: Current Development, Mechanism of Action, and Structure-activity Relationship. Med. Res. Rev. 2020, 40, 2049–2084. [Google Scholar] [CrossRef]
- Ardiansah, B. Chalcones Bearing N, O, and S-Heterocycles: Recent Notes on Their Biological Significances. J. Appl. Pharm. Sci. 2019, 9, 117–129. [Google Scholar] [CrossRef]
- Haider, K.; Shafeeque, M.; Yahya, S.; Yar, M.S. A Comprehensive Review on Pyrazoline Based Heterocyclic Hybrids as Potent Anticancer Agents. Eur. J. Med. Chem. Rep. 2022, 5, 100042. [Google Scholar] [CrossRef]
- Alkamaly, O.M.; Altwaijry, N.; Sabour, R.; Harras, M.F. Dual EGFR/VEGFR2 Inhibitors and Apoptosis Inducers: Synthesis and Antitumor Activity of Novel Pyrazoline Derivatives. Arch. Pharm. 2021, 354, 2000351. [Google Scholar] [CrossRef]
- Ahmed, M.F.; Santali, E.Y.; El-Haggar, R. Novel Piperazine–Chalcone Hybrids and Related Pyrazoline Analogues Targeting VEGFR-2 Kinase; Design, Synthesis, Molecular Docking Studies, and Anticancer Evaluation. J. Enzym. Inhib. Med. Chem. 2021, 36, 308–319. [Google Scholar] [CrossRef] [PubMed]
- Dofe, V.S.; Sarkate, A.P.; Tiwari, S.V.; Lokwani, D.K.; Karnik, K.S.; Kale, I.A.; Dodamani, S.; Jalalpure, S.S.; Burra, P.V.L.S. Ultrasound Assisted Synthesis of Tetrazole Based Pyrazolines and Isoxazolines as Potent Anticancer Agents via Inhibition of Tubulin Polymerization. Bioorg. Med. Chem. Lett. 2020, 30, 127592. [Google Scholar] [CrossRef]
- Song, Y.; Feng, S.; Feng, J.; Dong, J.; Yang, K.; Liu, Z.; Qiao, X. Synthesis and Biological Evaluation of Novel Pyrazoline Derivatives Containing Indole Skeleton as Anti-Cancer Agents Targeting Topoisomerase II. Eur. J. Med. Chem. 2020, 200, 112459. [Google Scholar] [CrossRef]
- Singh, A.K.; Kumar, A.; Singh, H.; Sonawane, P.; Paliwal, H.; Thareja, S.; Pathak, P.; Grishina, M.; Jaremko, M.; Emwas, A.-H.; et al. Concept of Hybrid Drugs and Recent Advancements in Anticancer Hybrids. Pharmaceuticals 2022, 15, 1071. [Google Scholar] [CrossRef]
- Mancini, I.; Vigna, J.; Sighel, D.; Defant, A. Hybrid Molecules Containing Naphthoquinone and Quinolinedione Scaffolds as Antineoplastic Agents. Molecules 2022, 27, 4948. [Google Scholar] [CrossRef]
- Molinari, A.; Oliva, A.; Arismendi, M.; Imbarack, E.; Gálvez, C.; Maldonado, J.; Feliciano, A.S. The Synthesis of Some Fused Pyrazolo-1,4-Naphthoquinones. J. Heterocycl. Chem. 2015, 52, 620–622. [Google Scholar] [CrossRef]
- Maldonado, J.; Acevedo, W.; Molinari, A.; Oliva, A.; Knox, M.; San Feliciano, A. Synthesis, in Vitro Evaluation and Molecular Docking Studies of Novel Naphthoisoxazolequinone Carboxamide Hybrids as Potential Antitumor Agents. Polycycl. Aromat. Compd. 2023, 43, 4960–4983. [Google Scholar] [CrossRef]
- Molinari, A.; Oliva, A.; Arismendi-Macuer, M.; Guzmán, L.; Fuentealba, M.; Knox, M.; Vinet, R.; San Feliciano, A. New 1H-Benzo[f]Indazole-4,9-Diones Conjugated with C-Protected Amino Acids and Other Derivatives: Synthesis and in Vitro Antiproliferative Evaluation. Molecules 2015, 20, 21924–21938. [Google Scholar] [CrossRef]
- Molinari, A.; Oliva, A.; Arismendi-Macuer, M.; Guzmán, L.; Acevedo, W.; Aguayo, D.; Vinet, R.; San Feliciano, A. Antiproliferative Benzoindazolequinones as Potential Cyclooxygenase-2 Inhibitors. Molecules 2019, 24, 2261. [Google Scholar] [CrossRef]
- Maldonado, J.; Oliva, A.; Molinari, A.; Acevedo, W. 2-Acetyl-5,8-Dihydro-6-(4-Methyl-3-Pentenyl)-1,4-Naphthohydroquinone-Derived Chalcones as Potential Anticancer Agents. Molecules 2023, 28, 7172. [Google Scholar] [CrossRef]
- Guo, S.; Colbert, L.S.; Fuller, M.; Zhang, Y.; Gonzalez-Perez, R.R. Vascular Endothelial Growth Factor Receptor-2 in Breast Cancer. Biochim. Biophys. Acta-Rev. Cancer 2010, 1806, 108–121. [Google Scholar] [CrossRef]
- Ali, S.; Coombes, R.C. Estrogen Receptor Alpha in Human Breast Cancer: Occurrence and Significance. J. Mammary Gland Biol. Neoplasia 2000, 5, 271–281. [Google Scholar] [CrossRef]
- Kim, J.; Kim, S.; Ko, S.; In, Y.; Moon, H.; Ahn, S.K.; Kim, M.K.; Lee, M.; Hwang, J.; Ju, Y.S.; et al. Recurrent Fusion Transcripts Detected by Whole-transcriptome Sequencing of 120 Primary Breast Cancer Samples. Genes Chromosom. Cancer 2015, 54, 681–691. [Google Scholar] [CrossRef]
- Ahmad, D.A.J.; Negm, O.H.; Alabdullah, M.L.; Mirza, S.; Hamed, M.R.; Band, V.; Green, A.R.; Ellis, I.O.; Rakha, E.A. Clinicopathological and Prognostic Significance of Mitogen-Activated Protein Kinases (MAPK) in Breast Cancers. Breast Cancer Res. Treat. 2016, 159, 457–467. [Google Scholar] [CrossRef]
- Pashirzad, M.; Khorasanian, R.; Fard, M.M.; Arjmand, M.-H.; Langari, H.; Khazaei, M.; Soleimanpour, S.; Rezayi, M.; Ferns, G.A.; Hassanian, S.M.; et al. The Therapeutic Potential of MAPK/ERK Inhibitors in the Treatment of Colorectal Cancer. Curr. Cancer Drug Targets 2021, 21, 932–943. [Google Scholar] [CrossRef]
- Sharma, B.; Singh, V.J.; Chawla, P.A. Epidermal Growth Factor Receptor Inhibitors as Potential Anticancer Agents: An Update of Recent Progress. Bioorg. Chem. 2021, 116, 105393. [Google Scholar] [CrossRef]
- Nawaz, F.; Alam, O.; Perwez, A.; Rizvi, M.A.; Naim, M.J.; Siddiqui, N.; Ul Firdaus, J.; Rahman, S.; Jha, M.; Sheikh, A.A. Design, Synthesis, Molecular Docking, and Anticancer Evaluation of Pyrazole Linked Pyrazoline Derivatives with Carbothioamide Tail as EGFR Kinase Inhibitors. Anticancer Agents Med. Chem. 2020, 21, 42–60. [Google Scholar] [CrossRef]
- Raghu, M.S.; Pradeep Kumar, C.B.; Prashanth, M.K.; Yogesh Kumar, K.; Prathibha, B.S.; Kanthimathi, G.; Alissa, S.A.; Alghulikah, H.A.; Osman, S.M. Novel 1,3,5-Triazine-Based Pyrazole Derivatives as Potential Antitumor Agents and EFGR Kinase Inhibitors: Synthesis, Cytotoxicity, DNA Binding, Molecular Docking and DFT Studies. New J. Chem. 2021, 45, 13909–13924. [Google Scholar] [CrossRef]
- Al-Anazi, M.; Khairuddean, M.; Al-Najjar, B.O.; Murwih Alidmat, M.; Nur Syazni Nik Mohamed Kamal, N.; Muhamad, M. Synthesis, Anticancer Activity and Docking Studies of Pyrazoline and Pyrimidine Derivatives as Potential Epidermal Growth Factor Receptor (EGFR) Inhibitors. Arab. J. Chem. 2022, 15, 103864. [Google Scholar] [CrossRef]
- Abourehab, M.A.S.; Alqahtani, A.M.; Youssif, B.G.M.; Gouda, A.M. Globally Approved EGFR Inhibitors: Insights into Their Syntheses, Target Kinases, Biological Activities, Receptor Interactions, and Metabolism. Molecules 2021, 26, 6677. [Google Scholar] [CrossRef] [PubMed]
- Ge, X.; Zhang, Y.; Huang, F.; Wu, Y.; Pang, J.; Li, X.; Fan, F.; Liu, H.; Li, S. EGFR Tyrosine Kinase Inhibitor Almonertinib Induces Apoptosis and Autophagy Mediated by Reactive Oxygen Species in Non-Small Cell Lung Cancer Cells. Hum. Exp. Toxicol. 2021, 40, S49–S62. [Google Scholar] [CrossRef] [PubMed]
- Shen, G.; Zheng, F.; Ren, D.; Du, F.; Dong, Q.; Wang, Z.; Zhao, F.; Ahmad, R.; Zhao, J. Anlotinib: A Novel Multi-Targeting Tyrosine Kinase Inhibitor in Clinical Development. J. Hematol. Oncol. 2018, 11, 120. [Google Scholar] [CrossRef] [PubMed]
- Hu, H.; Liu, Y.; Tan, S.; Xie, X.X.; He, J.; Luo, F.; Wang, L. Anlotinib Exerts Anti-Cancer Effects on KRAS-Mutated Lung Cancer Cell Through Suppressing the MEK/ERK Pathway. Cancer Manag. Res. 2020, 12, 3579–3587. [Google Scholar] [CrossRef]
- Rodig, S.J.; Shapiro, G.I. Crizotinib, a Small-Molecule Dual Inhibitor of the c-Met and ALK Receptor Tyrosine Kinases. Curr. Opin. Investig. Drugs 2010, 11, 1477–1490. [Google Scholar]
- Tang, P.A.; Tsao, M.-S.; Moore, M.J. A Review of Erlotinib and Its Clinical Use. Expert Opin. Pharmacother. 2006, 7, 177–193. [Google Scholar] [CrossRef]
- Neal, J.W.; Dahlberg, S.E.; Wakelee, H.A.; Aisner, S.C.; Bowden, M.; Huang, Y.; Carbone, D.P.; Gerstner, G.J.; Lerner, R.E.; Rubin, J.L.; et al. Erlotinib, Cabozantinib, or Erlotinib plus Cabozantinib as Second-Line or Third-Line Treatment of Patients with EGFR Wild-Type Advanced Non-Small-Cell Lung Cancer (ECOG-ACRIN 1512): A Randomised, Controlled, Open-Label, Multicentre, Phase 2 Trial. Lancet Oncol. 2016, 17, 1661–1671. [Google Scholar] [CrossRef]
- Tsao, M.-S.; Sakurada, A.; Cutz, J.-C.; Zhu, C.-Q.; Kamel-Reid, S.; Squire, J.; Lorimer, I.; Zhang, T.; Liu, N.; Daneshmand, M.; et al. Erlotinib in Lung Cancer—Molecular and Clinical Predictors of Outcome. N. Engl. J. Med. 2005, 353, 133–144. [Google Scholar] [CrossRef]
- Bhangoo, M.S.; Sigal, D. TRK Inhibitors: Clinical Development of Larotrectinib. Curr. Oncol. Rep. 2019, 21, 14. [Google Scholar] [CrossRef]
- Federman, N.; McDermott, R. Larotrectinib, a Highly Selective Tropomyosin Receptor Kinase (TRK) Inhibitor for the Treatment of TRK Fusion Cancer. Expert Rev. Clin. Pharmacol. 2019, 12, 931–939. [Google Scholar] [CrossRef]
- Zhang, X.; Li, B.; Song, M.; Song, J. Expression and Significance of ERK Protein in Human Breast Carcinoma. Chin. J. Cancer Res. 2004, 16, 269–273. [Google Scholar] [CrossRef]
- Ho-Yen, C.M.; Jones, J.L.; Kermorgant, S. The Clinical and Functional Significance of C-Met in Breast Cancer: A Review. Breast Cancer Res. 2015, 17, 52. [Google Scholar] [CrossRef] [PubMed]
- Griffin, N.; Marsland, M.; Roselli, S.; Oldmeadow, C.; Attia, J.; Walker, M.M.; Hondermarck, H.; Faulkner, S. The Receptor Tyrosine Kinase TrkA Is Increased and Targetable in HER2-Positive Breast Cancer. Biomolecules 2020, 10, 1329. [Google Scholar] [CrossRef] [PubMed]
- Brylinski, M. Aromatic Interactions at the Ligand–Protein Interface: Implications for the Development of Docking Scoring Functions. Chem. Biol. Drug Des. 2018, 91, 380–390. [Google Scholar] [CrossRef] [PubMed]
- Molinari, A.; Oliva, A.; del Corral, J.M.M.; Castro, M.A.; Araya, C.; García-Grávalos, M.D.; San Feliciano, A. Cytotoxic–Antineoplastic Activity of Acetyl Derivatives of Prenylnaphthohydroquinone. Il Farm. 2004, 59, 651–656. [Google Scholar] [CrossRef] [PubMed]
- Sander, T.; Freyss, J.; von Korff, M.; Rufener, C. DataWarrior: An Open-Source Program For Chemistry Aware Data Visualization And Analysis. J. Chem. Inf. Model. 2015, 55, 460–473. [Google Scholar] [CrossRef] [PubMed]
- Jorgensen, W.L.; Duffy, E.M. Prediction of Drug Solubility from Structure. Adv. Drug Deliv. Rev. 2002, 54, 355–366. [Google Scholar] [CrossRef] [PubMed]
- Berman, H.M.; Battistuz, T.; Bhat, T.N.; Bluhm, W.F.; Bourne, P.E.; Burkhardt, K.; Feng, Z.; Gilliland, G.L.; Iype, L.; Jain, S.; et al. The Protein Data Bank. Acta Crystallogr. Sect. D Biol. Crystallogr. 2002, 58, 899–907. [Google Scholar] [CrossRef] [PubMed]
- Negi, R.R.; Rana, S.V.; Gupta, V.; Gupta, R.; Chadha, V.D.; Prasad, K.K.; Dhawan, D.K. Over-Expression of Cyclooxygenase-2 in Colorectal Cancer Patients. Asian Pac. J. Cancer Prev. 2019, 20, 1675–1681. [Google Scholar] [CrossRef]
- Sylvester, P.W. Targeting Met Mediated Epithelial-mesenchymal Transition in the Treatment of Breast Cancer. Clin. Transl. Med. 2014, 3, 30. [Google Scholar] [CrossRef]
- Wang, Y.; Zhou, B.P. Epithelial-Mesenchymal Transition in Breast Cancer Progression and Metastasis. Chin. J. Cancer 2011, 30, 603–611. [Google Scholar] [CrossRef] [PubMed]
- Lazaro, G.; Smith, C.; Goddard, L.; Jordan, N.; McClelland, R.; Barrett-Lee, P.; Nicholson, R.I.; Hiscox, S. Targeting Focal Adhesion Kinase in ER+/HER2+ Breast Cancer Improves Trastuzumab Response. Endocr. Relat. Cancer 2013, 20, 691–704. [Google Scholar] [CrossRef] [PubMed]
- Nakano, M.; Fukami, T.; Gotoh, S.; Nakajima, M. A-to-I RNA Editing Up-Regulates Human Dihydrofolate Reductase in Breast Cancer. J. Biol. Chem. 2017, 292, 4873–4884. [Google Scholar] [CrossRef] [PubMed]
- Lei, H.; Deng, C.-X. Fibroblast Growth Factor Receptor 2 Signaling in Breast Cancer. Int. J. Biol. Sci. 2017, 13, 1163–1171. [Google Scholar] [CrossRef] [PubMed]
- Haldosén, L.-A.; Zhao, C.; Dahlman-Wright, K. Estrogen Receptor Beta in Breast Cancer. Mol. Cell. Endocrinol. 2014, 382, 665–672. [Google Scholar] [CrossRef] [PubMed]
- Chen, H.; Zhu, G.; Li, Y.; Padia, R.N.; Dong, Z.; Pan, Z.K.; Liu, K.; Huang, S. Extracellular Signal–Regulated Kinase Signaling Pathway Regulates Breast Cancer Cell Migration by Maintaining Slug Expression. Cancer Res. 2009, 69, 9228–9235. [Google Scholar] [CrossRef] [PubMed]
- Sultan, A.S.; Brim, H.; Sherif, Z.A. Co-overexpression of Janus Kinase 2 and Signal Transducer and Activator of Transcription 5a Promotes Differentiation of Mammary Cancer Cells through Reversal of Epithelial–Mesenchymal Transition. Cancer Sci. 2008, 99, 272–279. [Google Scholar] [CrossRef] [PubMed]
- Trott, O.; Olson, A.J. AutoDock Vina: Improving the Speed and Accuracy of Docking with a New Scoring Function, Efficient Optimization, and Multithreading. J. Comput. Chem. 2010, 31, 455–461. [Google Scholar] [CrossRef] [PubMed]
- Acevedo, W.; González-Nilo, F.; Agosin, E. Docking and Molecular Dynamics of Steviol Glycoside–Human Bitter Receptor Interactions. J. Agric. Food Chem. 2016, 64, 7585–7596. [Google Scholar] [CrossRef]
- Humphrey, W.; Dalke, A.; Schulten, K. VMD: Visual Molecular Dynamics. J. Mol. Graph. 1996, 14, 33–38. [Google Scholar] [CrossRef]
- Dassault Syst èmes BIOVIA. Discovery Studio Visualizer; V20.1.0, Vol19295; Dassault Systèmes: San Diego, CA, USA, 2019. [Google Scholar]









| Compounds | MCF-7 | HT-29 | ||
|---|---|---|---|---|
| IC50, μM [a] | pIC50 [b] | IC50, μM | pIC50 | |
| 4 | 28.8 ± 0.84 | 4.54 | 33.8 ± 0.94 | 4.47 |
| 5 | 21.8 ± 0.41 | 4.66 | 18.7 ± 0.30 | 4.73 |
| 6 | 34.3 ± 1.13 | 4.46 | 37.6 ± 0.91 | 4.42 |
| 7 | 124.6 ± 1.31 | 3.90 | 113.0 ± 0.92 | 3.95 |
| 8 | 81.2 ± 0.63 | 4.09 | 30.6 ± 0.31 | 4.51 |
| 9 | 99.3 ± 0.92 | 4.00 | 89.8 ± 0.72 | 4.05 |
| 10 | >300 | - | >300 | - |
| VII [c] | >300 | - | >300 | - |
| VIII [c] | >300 | - | >300 | - |
| IX [c] | >300 | - | >300 | - |
| X [c] | >300 | - | >300 | - |
| Doxorubicin | 0.27 ± 0.08 | 6.57 | 4.07 ± 0.92 | 5.39 |
| Compound | Target Proteins | |||||
|---|---|---|---|---|---|---|
| EGFR | MEK1 | c-MET | TPK | TRKA | CK4 | |
| 4 | −10.7 | −9.6 | −9.7 | −8.6 | −9.2 | −8.4 |
| 5 | −8.5 | −8.5 | −9.5 | −8.5 | −9.2 | −8.3 |
| 6 | −11.3 | −10.0 | −10.3 | −10.0 | −9.5 | −7.9 |
| 7 | −11.4 | −10.7 | −10.3 | −10.4 | −10.0 | −8.7 |
| 8 | −11.0 | −10.3 | −9.7 | −10.2 | −9.3 | −8.8 |
| 9 | −11.2 | −10.6 | −9.9 | −10.6 | −10.1 | −9.0 |
| P avge. | −10.68 | −9.95 | −9.90 | −9.72 | −9.55 | −8.52 |
| Erlotinib | −8.6 | −8.0 | −9.1 | −8.5 | −8.8 | −7.2 |
| Anlotinib | −9.2 | −9.7 | −9.0 | −9.0 | −10.7 | −8.5 |
| Crizotinib | −9.7 | −9.9 | −10.0 | −10.2 | −10.1 | −8.0 |
| Compound | ΔGbin | H Bonds and Hydrophobic Contacts in the Binding Site * |
|---|---|---|
| EGFR (mean ΔGbin = −10.68 kcal/mol) | ||
| 4 | −10.7 | Leu718, Gly719, Ser720, Val726 */Ala743 *, Ile744, Lys745 *, Met766, Ala767, Val769, Cys775, Arg776, Leu777, Leu788, Ile789, Met790 */Leu792, Met793, Gly796, Cys797 */Arg841, Leu844, Thr854, Asp855, Phe856, Leu858 |
| 5 | −8.5 | Leu718, Gly719, Ser720, Gly721, Val726 */Ala743 *, Ile744, Lys745 *, Met766 *, Cys775, Arg776, Leu777 *, Leu788 *, Ile789, Met790 */Gln791, Leu792, Met793, Gly796, Cys797/Asp800, Arg841, Asn842, Leu844, Thr854, Asp855, Leu858 |
| 6 | −11.3 | Leu718 *, Val726 */Ala743 *, Ile744, Lys745 *, Val 769, Cys775, Met766, Arg776, Leu777, Leu788 *, Ile789, Met790 */Leu792, Met793, Gly796, Cys797 */Asp800, Leu844, Thr854, Asp855, Phe856, Leu858 |
| 7 | −11.4 | Leu718 *, Val726 */Ala743 *, Ile744, Lys745 *, Met766, Val769, Cys775, Arg776, Leu777, Leu788, Ile789, Met790 */Leu792, Met793, Gly796, Cys797 *, Asp800, Leu844, Thr854, Asp855, Phe856, Leu858 |
| 8 | −11.0 | Leu718, Gly719, Val726 */Ala743, Ile744, Lys745 *, Met766, Cys775, Arg776, Leu777, Leu788 *, Ile789, Met790 *,/Leu792, Met793, Gly796, Cys797 */Asp800, Arg841, Leu844, Ile853, Thr854, Asp855, Phe856 *, Leu858 |
| 9 | −11.2 | Leu718 *, Gly719, Val726 */Ala743 *, Ile744, Lys745, Met766, Val769, Cys775, Arg776, Leu777, Leu788 *, Ile789, Met790 */Leu792, Met793, Gly796, Cys797 */Asp800, Leu844, Ile853, Thr854, Asp855, Phe856, Leu858 |
| MEK1 (mean ΔGbin = −9.95 kcal/mol) | ||
| 4 | −9.6 | Lys97, Ile99, Leu115, Leu118, Cys121/Ile126, Val127, Gly128, Phe129/Ile141, Met143, Arg189 *, Asp190/Leu206, Cys207, Asp208, Phe209, Gly210, Val211, Ser212, Leu215 *, Ile216 *, Met219 |
| 5 | −8.5 | Asn78, Lys97, Ile99, Leu115, Leu118 */Ile141, Met143 *, His188, Arg189, Asp190/Cys207, Asp208, Phe209 *, Gly210, Val211, Ser212, Leu215, Ile216, Met219 */Ala220, Gly225, Thr226, Met230, Arg234 |
| 6 | −10.0 | Lys97, Leu115, Leu118 */Ile126, Val127, Gly128, Phe129/Ile141, Met143 *, Arg189, Asp190/Leu206, Cys207 *, Asp208 *, Phe209 *, Gly210, Val211, Ser212, Leu215 *, Ile216, Met219/Ala220, Gly225, Thr226, Met230, Arg234 |
| 7 | −10.7 | Lys97, Leu115, Leu118 */Ile126, Val127, Gly128, Phe129/Ile141, Met143 *, Glu144, Arg189, Asp190/Leu206, Cys207 *, Asp208, Phe209, Gly210, Val211, Ser212, Leu215 *, Ile216, Met219/Ala220, Thr226, Met230, Arg234 |
| 8 | −10.3 | Lys97, Ile99, Leu115, Leu118 */Val127, Gly128, Phe129/Ile141 *, Met143 *, Arg189, Asp190/Cys207, Asp208 *, Phe209 *, Gly210, Val211, Leu215, Ile216, Met219 */Ala220, Met230, Arg234, Tyr240 |
| 9 | −10.6 | Lys97, Ile99, Leu115, Leu118 */Ile126, Val127, Gly128, Phe129/Ile141 *, Met143 *, Arg189, Asp190/Leu206, Cys207 *, Asp208 *, Phe209 *, Gly210, Val211, Ser212, Leu215 *, Ile216, Met219 */Ala220, Met230, Arg234, Tyr240 |
| c-MET (mean ΔGbin = −9.82 kcal/mol) | ||
| 4 | −9.7 | Ile1084, Gly1085, His1088, Phe1089 *, Val1092/Ala1108, Val1109, Lys1110, Val1155, Leu1157, Gly1163, Asp1164, Asn1167/Arg1208, Met1211, Phe1223, Ala1226, Arg1227 *, Met1229/Tyr1230, Asp1231, Tyr1234, Tyr1235 |
| 5 | −9.5 | Ile1084, Gly1085, Gly1087, His1088, Phe1089, Val1092/Ala1108, Leu1140, Leu1157, Gly1163, Asp1164 *, Asn1167/Arg1208, Met1211, Phe1223, Arg1227 *, Met1229/Tyr1230, Asp1231, Tyr1234, Tyr1235 |
| 6 | −10.3 | Ile1084, Gly1085, Phe1089 *, Val1092/Ala1108, Lys1110, Val1155, Leu1157, His1162, Gly1163, Asp1164, Asn1167/Phe1168, Asn1171, His1174, Arg1208, Met1211, Phe1223, Ala1226, Arg1227 |
| 7 | −10.3 | Gly1085, Phe1089 *, Val1092, Ala1108, Lys1110, Leu1112, Val1155, Leu1157, His1162, Gly1163, Asp1164, Asn1167, Phe1168, Asn1171, His1174, Arg1208, Met1211, Phe1223, Ala1226, Arg1227 |
| 8 | −9.7 | Ile1084, Phe1089 *, Val1092/Ala1108, Leu1140, Leu1157, Pro1158, Tyr1159, Met1160, Gly1163, Asp1164, Arg1166, Asn1167 */Asn1208 *, Met1211, Phe1223, Arg1227/Tyr1234 |
| 9 | −9.9 | Gly1087, His1088, Phe1089, Val1092 */Ala1108 *, Lys1110 *, Leu1112, Val1155, Leu1157 *, Asp1164 *, Arg1166/Asp1167, Arg1208, Met1211, Phe1223 *, Ala1226, Arg1227, Met1229/Tyr1230, Asp1231, Tyr1234, Tyr1235 |
| Compound | ΔGbin (kcal/mol) | H Bonds and Hydrophobic Contacts in the Binding Site |
|---|---|---|
| EGFR | ||
| 7 | −11.4 | Leu718, Val726, Ala743, Ile744, Lys745, Met766, Val769, Cys775, Arg776, Leu777, Leu788, Ile789, Met790, Leu792, Met793, Gly796, Cys797, Asp800, Leu844, Thr854, Asp855, Phe856, Leu858 |
| Ligand 1 [a] | −10.7 | Leu718, Gly719, Ser720, Val726, Ala743, Ile744, Lys745, Met766, Cys775, Arg776, Leu777, Leu788, Ile789, Met790, Gln791, Leu792, Met793, Gly796, Cys797, Asp800, Arg841, Leu844, Thr854, Asp855, Phe856, Leu858 |
| Erlotinib [b] | −8.6 | Leu718, Gly721, Val726, Ala743, Lys745, Met766, Cys775, Arg776, Leu777, Leu788, Met790, Met793, Gly796, Arg841, Arg842, Leu844, Thr854, Asp855, Phe856, Leu858 |
| MEK1 | ||
| 7 | −10.7 | Lys97, Leu115, Leu118, Ile126, Val127, Gly128, Phe129, Ile141, Met143, Glu144, Arg189, Asp190, Leu206, Cys207, Asp208, Phe209, Gly210, Val211, Ser212, Leu215, Ile216, Met219, Ala220, Thr226, Met230, Arg234 |
| Ligand 2 [a] | −11.4 | Asn78, Gly79, Lys97, Ile99, Leu115, Leu118, Val127, Phe129, Ile141, Met143, Asp190, Cys207, Asp208, Phe209, Gly210, Val211, Ser212, Leu215, Ile216, Met219 |
| Anlotinib [b] | −9.7 | Lys97, Leu115, Leu118, Val127, Gly128, Phe129, Ile141, Met143, Arg189, Asp190, Cys207, Asp208, Phe209, Gly210, Val211, Ser212, Leu215, Ile216, Met219, Gly225 |
| c-MET | ||
| 7 | −10.3 | Gly1085, Phe1089, Val1092, Ala1108, Lys1110, Leu1112, Val1155, Leu1157, His1162, Gly1163, Asp1164, Asn1167, Phe1168, Asn1171, His1174, Arg1208, Met1211, Phe1223, Ala1226, Arg1227 |
| Ligand 3 [a] | −14.6 | Ile1084, Gly1085, Phe1089, Val1092, Ala1108, Lys1110, Leu1140, Leu1157, Met1158, Tyr1159, Met1160, Gly1163, Met1211, Phe1223, Ala1226, Arg1227 |
| Crizotinib [b] | −10.0 | Ile1084, Gly1085, Phe1089, Val1092, Ala1108, Lys1110, Arg1227, Leu1157, Asp1164, Arg1166, Asn1167, Arg1208, Met1211, Phe1223, Ala1226, Tyr1234 |
| Compound | M | T | I | R | Drug Likeness |
|---|---|---|---|---|---|
| 4 | h | n | n | n | −1.58 |
| 5 | h | n | h | n | −1.49 |
| 6 | n | n | n | n | −0.47 |
| 7 | n | n | n | n | 0.53 |
| 8 | n | n | n | n | 0.83 |
| 9 | n | n | n | n | −0.72 |
Disclaimer/Publisher’s Note: The statements, opinions and data contained in all publications are solely those of the individual author(s) and contributor(s) and not of MDPI and/or the editor(s). MDPI and/or the editor(s) disclaim responsibility for any injury to people or property resulting from any ideas, methods, instructions or products referred to in the content. |
© 2024 by the authors. Licensee MDPI, Basel, Switzerland. This article is an open access article distributed under the terms and conditions of the Creative Commons Attribution (CC BY) license (https://creativecommons.org/licenses/by/4.0/).
Share and Cite
Maldonado, J.; Oliva, A.; Guzmán, L.; Molinari, A.; Acevedo, W. Synthesis, Anticancer Activity, and Docking Studies of Novel Hydroquinone-Chalcone-Pyrazoline Hybrid Derivatives. Int. J. Mol. Sci. 2024, 25, 7281. https://doi.org/10.3390/ijms25137281
Maldonado J, Oliva A, Guzmán L, Molinari A, Acevedo W. Synthesis, Anticancer Activity, and Docking Studies of Novel Hydroquinone-Chalcone-Pyrazoline Hybrid Derivatives. International Journal of Molecular Sciences. 2024; 25(13):7281. https://doi.org/10.3390/ijms25137281
Chicago/Turabian StyleMaldonado, Javier, Alfonso Oliva, Leda Guzmán, Aurora Molinari, and Waldo Acevedo. 2024. "Synthesis, Anticancer Activity, and Docking Studies of Novel Hydroquinone-Chalcone-Pyrazoline Hybrid Derivatives" International Journal of Molecular Sciences 25, no. 13: 7281. https://doi.org/10.3390/ijms25137281
APA StyleMaldonado, J., Oliva, A., Guzmán, L., Molinari, A., & Acevedo, W. (2024). Synthesis, Anticancer Activity, and Docking Studies of Novel Hydroquinone-Chalcone-Pyrazoline Hybrid Derivatives. International Journal of Molecular Sciences, 25(13), 7281. https://doi.org/10.3390/ijms25137281

