Exogenous Eugenol Alleviates Salt Stress in Tobacco Seedlings by Regulating the Antioxidant System and Hormone Signaling
Abstract
1. Introduction
2. Results
2.1. Effect of Eugenol on the Growth and Development of Tobacco Seedlings under Salt Stress
2.2. Effect of Eugenol on Carbon and Nitrogen Metabolism of Tobacco Seedlings under Salt Stress
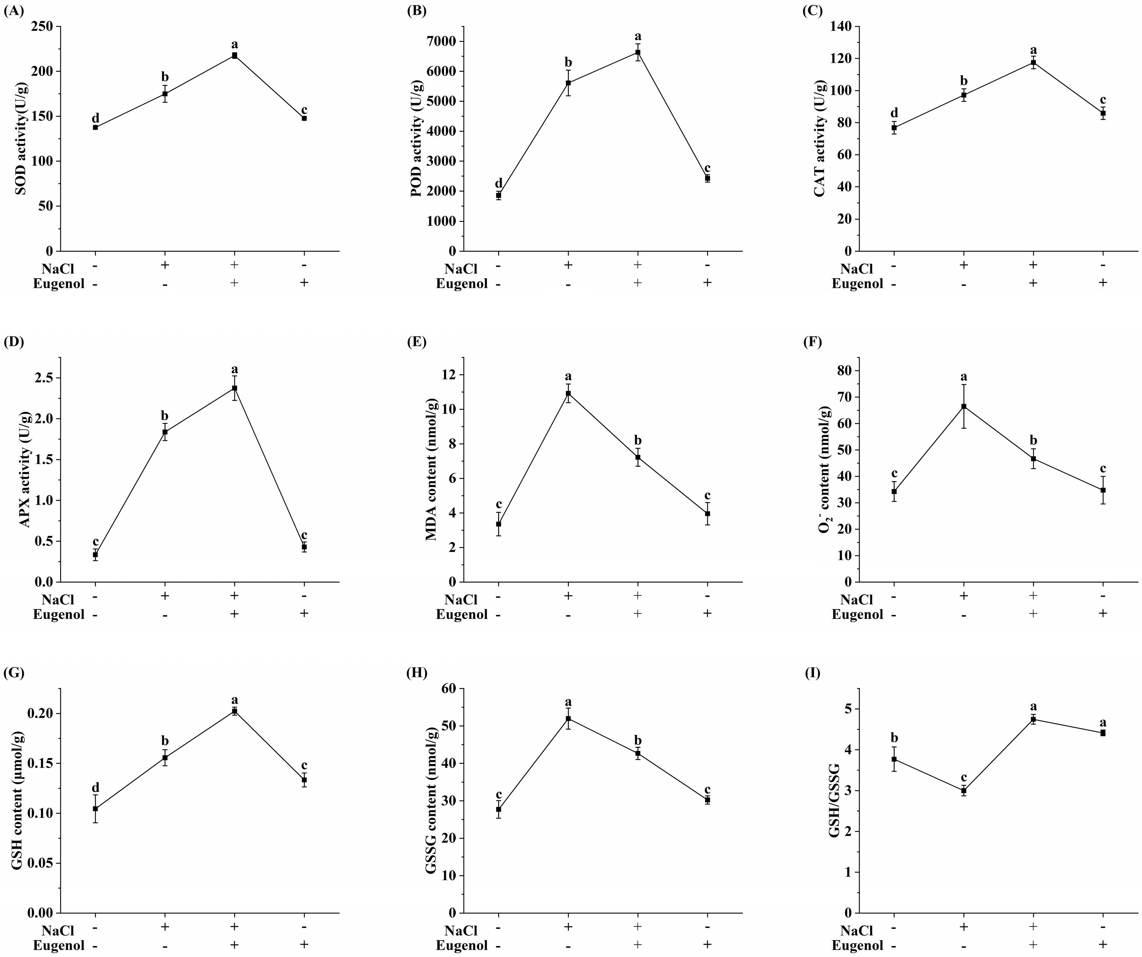
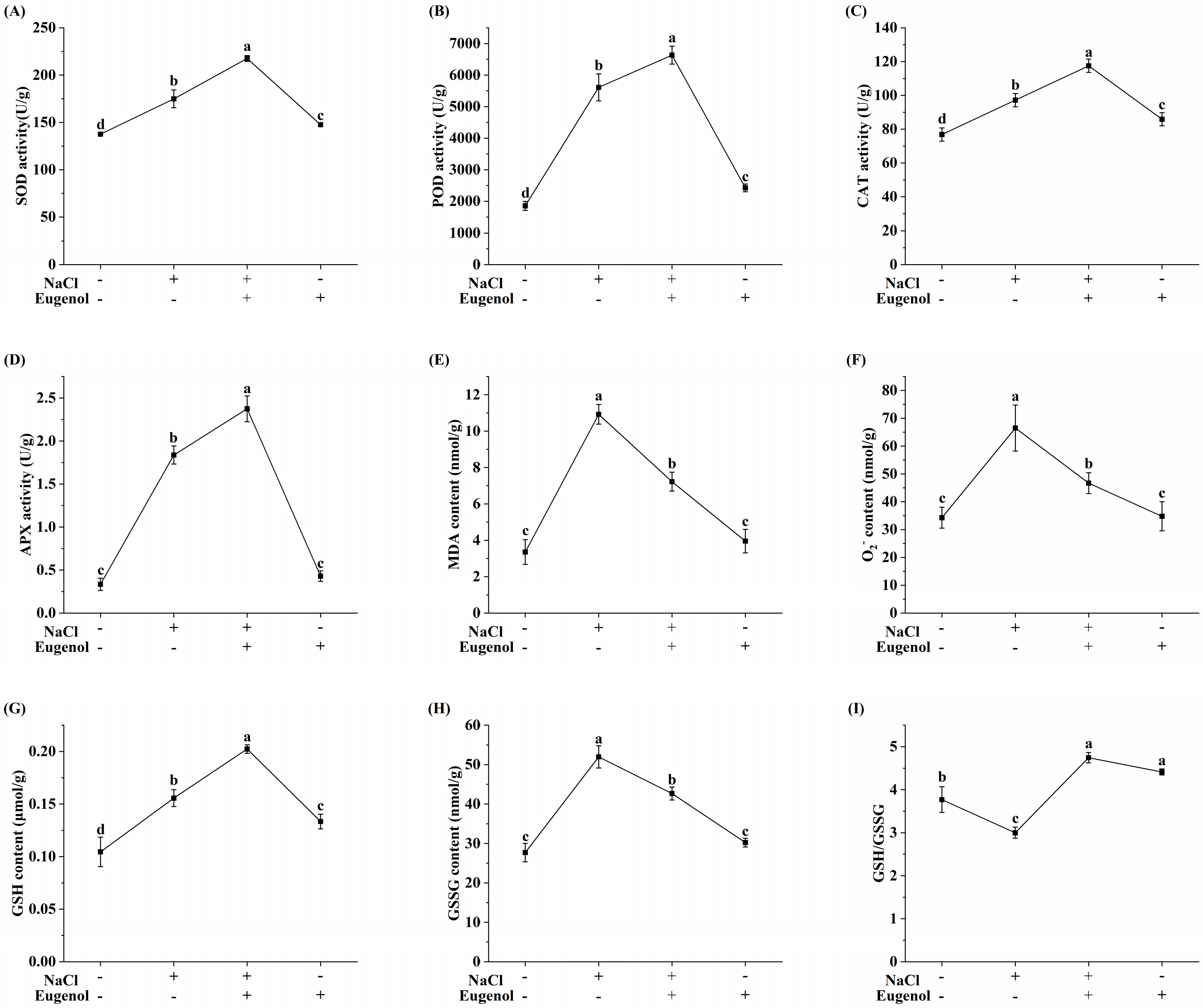
2.3. Effect of Eugenol on the Antioxidant System of Tobacco Seedlings under Salt Stress
2.4. Effect of Eugenol on Osmoregulation in Tobacco Seedlings under Salt Stress
2.5. Effect of Eugenol on Hormone Levels in Tobacco Seedlings under Salt Stress
2.6. Transcriptome Analysis
2.6.1. Antioxidant Enzyme System
2.6.2. Phytohormone Signaling
3. Discussion
4. Materials and Methods
4.1. Plant Culture and Treatment
4.2. Measurement of Biomass
4.3. Root System Parameters
4.4. Carbon and Nitrogen Metabolism
4.5. ROS Measurement
4.6. Assay of the Activity of Antioxidative Enzymes
4.6.1. Antioxidant Enzymes
4.6.2. Antioxidant Content
4.7. Measurement of Hormone Content
4.8. Measurement of the Osmoregulator
4.9. Transcriptome Analysis
4.10. Data Analysis
5. Conclusions
Author Contributions
Funding
Institutional Review Board Statement
Informed Consent Statement
Data Availability Statement
Acknowledgments
Conflicts of Interest
References
- Chen, Y.; Zhang, S.; Du, S.; Wang, G.; Zhang, J.; Jiang, J. Effects of exogenous (K+) potassium application on plant hormones in the roots of Tamarix ramosissima under NaCl stress. Genes 2022, 13, 1803. [Google Scholar] [CrossRef] [PubMed]
- Yan, F.; Wei, H.; Li, W.; Liu, Z.; Tang, S.; Chen, L.; Ding, C.; Jiang, Y.; Ding, Y.; Li, G. Melatonin improves K+ and Na+ homeostasis in rice under salt stress by mediated nitric oxide. Ecotoxicol. Environ. Saf. 2020, 206, 111358. [Google Scholar] [CrossRef] [PubMed]
- Cimini, S.; Locato, V.; Giacinti, V.; Molinari, M.; De Gara, L. A multifactorial regulation of glutathione metabolism behind salt tTolerance in rice. Antioxidants 2022, 11, 1114. [Google Scholar] [CrossRef]
- Liu, M.; Wang, G.; Liu, G.; Ma, F.; Bao, Z. Biostimulants promote the sedimentation of salts to restore tomato plant growth under salt stress. J. Soil. Sci. Plant Nut. 2023, 23, 1830–1844. [Google Scholar] [CrossRef]
- Chen, Y.; Li, H.; Zhang, S.; Du, S.; Zhang, J.; Song, Z.; Jiang, J. Analysis of the main antioxidant enzymes in the roots of Tamarix ramosissima under NaCl stress by applying exogenous potassium (K+). Front. Plant Sci. 2023, 14, 1114266. [Google Scholar] [CrossRef]
- Samad, A.; Shaukat, K.; Ansari, M.-U.-R.; Nizar, M.; Zahra, N.; Naz, A.; Muhammad Waleed Iqbal, H.; Raza, A.L.I.; Pesic, V.; Djalovic, I. Role of foliar spray of plant growth regulators in improving photosynthetic pigments and metabolites in Plantago ovata (Psyllium) under salt stress—A field appraisal. Biocell 2023, 47, 523–532. [Google Scholar] [CrossRef]
- Liang, H.; Shi, Q.; Li, X.; Gao, P.; Feng, D.; Zhang, X.; Lu, Y.; Yan, J.; Shen, S.; Zhao, J.; et al. Synergistic effects of carbon cycle metabolism and photosynthesis in Chinese cabbage under salt stress. Hortic. Plant J. 2022, 10, 461–472. [Google Scholar] [CrossRef]
- Ren, F.; Yang, G.; Li, W.; He, X.; Gao, Y.; Tian, L.; Li, F.; Wang, Z.; Liu, S. Yield-compatible salinity level for growing cotton (Gossypium hirsutum L.) under mulched drip irrigation using saline water. Agric. Water Manag. 2021, 250, 106859. [Google Scholar] [CrossRef]
- Zhang, X.; He, P.; Guo, R.; Huang, K.; Huang, X. Effects of salt stress on root morphology, carbon and nitrogen metabolism, and yield of Tartary buckwheat. Sci. Rep. 2023, 13, 12483. [Google Scholar] [CrossRef]
- Cui, G.; Zhang, Y.; Zhang, W.; Lang, D.; Zhang, X.; Li, Z.; Zhang, X. Response of carbon and nitrogen metabolism and secondary metabolites to drought stress and salt stress in plants. J. Plant Biol. 2019, 62, 387–399. [Google Scholar] [CrossRef]
- Zhu, D.; Luo, F.; Zou, R.; Liu, J.X.; Yan, Y.M. Integrated physiological and chloroplast proteome analysis of wheat seedling leaves under salt and osmotic stresses. J. Proteom. 2021, 234, 104097. [Google Scholar] [CrossRef]
- Liu, Z.H.; Liu, H.H.; Tan, B.B.; Wang, X.D.; Chong, P.F. Mitigation of salt stress in Reaumuria soongarica seedlings by exogenous Ca2+ and NO compound treatment. Agronomy 2023, 13, 2124. [Google Scholar] [CrossRef]
- Ma, X.; Yu, X.X.; Cui, G.C.; Guo, Z.G.; Lang, D.Y.; Zhang, X.H. Methyl jasmonate mitigates osmotic stress by regulating carbon and nitrogen metabolism of seedlings subjected to salt stress. Acta Physiol. Plant. 2023, 45, 96. [Google Scholar] [CrossRef]
- Feng, D.; Gao, Q.; Liu, J.; Tang, J.; Hua, Z.; Sun, X. Categories of exogenous substances and their effect on alleviation of plant salt stress. Eur. J. Agron. 2023, 142, 126656. [Google Scholar] [CrossRef]
- Chen, L.; Meng, Y.; Yang, W.; Lv, Q.; Zhou, L.; Liu, S.; Tang, C.; Xie, Y.; Li, X. Genome-wide analysis and identification of TaRING-H2 gene family and TaSDIR1 positively regulates salt stress tolerance in wheat. Int. J. Biol. Macromol. 2023, 242 Pt 4, 125162. [Google Scholar] [CrossRef]
- Raziq, A.; Wang, Y.; Mohi Ud Din, A.; Sun, J.; Shu, S.; Guo, S. A comprehensive evaluation of salt tolerance in tomato (Var. Ailsa Craig): Responses of physiological and transcriptional changes in RBOH’s and ABA biosynthesis and signalling genes. Int. J. Mol. Sci. 2022, 23, 1603. [Google Scholar] [CrossRef]
- Yin, L.N.; Wang, S.W.; Li, J.Y.; Tanaka, K.; Oka, M. Application of silicon improves salt tolerance through ameliorating osmotic and ionic stresses in the seedling of Sorghum bicolor. Acta Physiol. Plant 2013, 35, 3099–3107. [Google Scholar] [CrossRef]
- Rahman, A.; Nahar, K.; Hasanuzzaman, M.; Fujita, M. Calcium supplementation improves Na+/K+ ratio, antioxidant Defense and glyoxalase systems in salt-stressed rice seedlings. Front. Plant Sci. 2016, 7, 609. [Google Scholar] [CrossRef] [PubMed]
- Sassine, Y.N.; Alturki, S.M.; Germanos, M.; Shaban, N.; Sattar, M.N.; Sajyan, T.K. Mitigation of salt stress on tomato crop by using foliar spraying or fertigation of various products. J. Plant Nut. 2020, 43, 2493–2507. [Google Scholar] [CrossRef]
- Chen, L.; Lu, B.; Liu, L.T.; Duan, W.J.; Jiang, D.; Li, J.; Zhang, K.; Sun, H.C.; Zhang, Y.J.; Li, C.D.; et al. Melatonin promotes seed germination under salt stress by regulating ABA and GA(3) in cotton (Gossypium hirsutum L.). Plant Physiol. Biochem. 2021, 162, 506–516. [Google Scholar] [CrossRef]
- Jahan, M.S.; Li, G.H.; Xie, D.S.; Farag, R.; Hasan, M.M.; Alabdallah, N.M.; Al-Harbi, N.A.; Al-Qahtani, S.M.; Zeeshan, M.; Nasar, J.; et al. Melatonin mitigates salt-induced growth inhibition through the regulation of carbohydrate and nitrogen metabolism in tomato seedlings. J. Soil. Sci. Plant Nut. 2023, 23, 4290–4308. [Google Scholar] [CrossRef]
- Liu, Z.G.; Ma, C.Y.; Hou, L.; Wu, X.Z.; Wang, D.; Zhang, L.; Liu, P. Exogenous SA sffects rice seed germination under salt stress by regulating Na+/K+ balance and endogenous GAs and ABA homeostasis. Int. J. Mol. Sci. 2022, 23, 3293. [Google Scholar] [CrossRef] [PubMed]
- Wang, J.J.; Lv, P.H.; Yan, D.; Zhang, Z.D.; Xu, X.M.; Wang, T.; Wang, Y.; Peng, Z.; Yu, C.X.; Gao, Y.R.; et al. Exogenous melatonin improves seed germination of wheat (Triticum aestivum L.) under Salt Stress. Int. J. Mol. Sci. 2022, 23, 8436. [Google Scholar] [CrossRef] [PubMed]
- Xiao, F.; Zhou, H.P. Plant salt response: Perception, signaling, and tolerance. Front. Plant Sci. 2023, 13, 1053699. [Google Scholar] [CrossRef] [PubMed]
- Ye, Y.; Jia, X.; Xue, M.Y.; Gao, Y.C.; Yue, H.; Ma, F.W.; Gong, X.Q. MpSnRK2.10 confers salt stress tolerance in apple via the ABA signaling pathway. Sci. Hortic. 2022, 298, 110998. [Google Scholar] [CrossRef]
- Parwez, R.; Aftab, T.; Gill, S.S.; Naeem, M. Abscisic acid signaling and crosstalk with phytohormones in regulation of environmental stress responses. Environ. Exp. Bot. 2022, 199, 104885. [Google Scholar] [CrossRef]
- Hu, E.M.; Liu, M.; Zhou, R.; Jiang, F.L.; Sun, M.T.; Wen, J.Q.; Zhu, Z.H.; Wu, Z. Relationship between melatonin and abscisic acid in response to salt stress of tomato. Sci. Hortic. 2021, 285, 110176. [Google Scholar] [CrossRef]
- Ryu, H.; Cho, Y.-G. Plant hormones in salt stress tolerance. J. Plant Biol. 2015, 58, 147–155. [Google Scholar] [CrossRef]
- Wang, J.; Qin, H.; Zhou, S.R.; Wei, P.C.; Zhang, H.W.; Zhou, Y.; Miao, Y.C.; Huang, R.F. The ubiquitin-binding protein OsDSK2a mediates seedling growth and salt responses by regulating gibberellin metabolism in rice. Plant Cell 2020, 32, 414–428. [Google Scholar] [CrossRef]
- Liu, J.; Wu, Y.Q.; Dong, G.C.; Zhu, G.L.; Zhou, G.S. Progress of Research on the Physiology and molecular regulation of sorghum growth under salt stress by gibberellin. Int. J. Mol. Sci. 2023, 24, 6777. [Google Scholar] [CrossRef]
- Quamruzzaman, M.; Manik, S.M.N.; Shabala, S.; Zhou, M. Improving performance of salt-grown crops by exogenous application of plant growth regulators. Biomolecules 2021, 11, 788. [Google Scholar] [CrossRef] [PubMed]
- Jia, C.; Cao, D.; Ji, S.; Zhang, X.; Muhoza, B. Tannic acid-assisted cross-linked nanoparticles as a delivery system of eugenol: The characterization, thermal degradation and antioxidant properties. Food Hydrocoll. 2020, 104, 105717. [Google Scholar] [CrossRef]
- Taleuzzaman, M.; Jain, P.; Verma, R.; Iqbal, Z.; Mirza, A.M. Eugenol as a Potential Drug Candidate: A Review. Curr. Top. Med. Chem. 2021, 21, 1804–1815. [Google Scholar] [CrossRef] [PubMed]
- Hu, Q.; Zhou, M.; Wei, S. Progress on the antimicrobial activity research of clove oil and eugenol in the food antisepsis field. J. Food Sci. 2018, 83, 1476–1483. [Google Scholar] [CrossRef] [PubMed]
- Olea, A.F.; Bravo, A.; Martínez, R.; Thomas, M.; Sedan, C.; Espinoza, L.; Zambrano, E.; Carvajal, D.; Silva-Moreno, E.; Carrasco, H. Antifungal activity of eugenol derivatives against Botrytis cinerea. Molecules 2019, 24, 1239. [Google Scholar] [CrossRef] [PubMed]
- Morcia, C.; Malnati, M.; Terzi, V. In vitro antifungal activity of terpinen-4-ol, eugenol, carvone, 1,8-cineole (eucalyptol) and thymol against mycotoxigenic plant pathogens. Food Addit. Contam. Part A 2011, 29, 415–422. [Google Scholar] [CrossRef] [PubMed][Green Version]
- Hu, L.B.; Li, H.; Huang, S.J.; Wang, C.; Sun, W.J.; Mo, H.Z.; Shi, Z.Q.; Chen, J. Eugenol Confers Cadmium Tolerance via Intensifying Endogenous Hydrogen Sulfide Signaling in Brassica rapa. J. Agric. Food Chem. 2018, 66, 9914–9922. [Google Scholar] [CrossRef] [PubMed]
- Zhao, M.Y.; Jin, J.Y.; Wang, J.M.; Gao, T.; Luo, Y.; Jing, T.T.; Hu, Y.T.; Pan, Y.T.; Lu, M.Q.; Schwab, W.; et al. Eugenol functions as a signal mediating cold and drought tolerance via UGT71A59-mediated glucosylation in tea plants. Plant J. 2022, 109, 1489–1506. [Google Scholar] [CrossRef] [PubMed]
- Wu, H.; Li, H.; Zhang, W.; Tang, H.; Yang, L. Transcriptional regulation and functional analysis of Nicotiana tabacum under salt and ABA stress. Biochem. Biophys. Res. Commun. 2021, 570, 110–116. [Google Scholar] [CrossRef]
- Che, Y.; Yao, T.; Wang, H.; Wang, Z.; Zhang, H.; Sun, G.; Zhang, H. Potassium ion regulates hormone, Ca2+ and H2O2 signal transduction and antioxidant activities to improve salt stress resistance in tobacco. Plant Physiol. Biochem. 2022, 186, 40–51. [Google Scholar] [CrossRef]
- Duan, W.J.; Lu, B.; Liu, L.T.; Meng, Y.J.; Ma, X.Y.; Li, J.; Zhang, K.; Sun, H.C.; Zhang, Y.J.; Dong, H.Z.; et al. Effects of exogenous melatonin on root physiology, transcriptome and metabolome of cotton seedlings under salt stress. Int. J. Mol. Sci. 2022, 23, 9456. [Google Scholar] [CrossRef] [PubMed]
- Sun, Y.Z.; Shuai, L.; Luo, D.L.; Ba, L.J. The inhibitory mechanism of eugenol on Lasiodiplodia theobromae and its induced disease resistance of passion fruit. Agronomy 2023, 13, 1408. [Google Scholar] [CrossRef]
- Gu, X.D.; Zhang, F.J.; Wang, T.; Xie, X.W.; Jia, X.H.; Xu, X. Effects of nitrogen and phosphorus addition on growth and leaf nitrogen metabolism of alfalfa in alkaline soil in Yinchuan Plain of Hetao Basin. Peerj 2022, 10, e13261. [Google Scholar] [CrossRef] [PubMed]
- Wang, Y.C.; Cao, H.Z.; Wang, S.C.; Guo, J.M.; Dou, H.Y.; Qiao, J.F.; Yang, Q.H.; Shao, R.X.; Wang, H. Exogenous γ-aminobutyric acid (GABA) improves salt-inhibited nitrogen metabolism and the anaplerotic reaction of the tricarboxylic acid cycle by regulating GABA-shunt metabolism in maize seedlings. Ecotoxicol. Environ. Saf. 2023, 254, 114756. [Google Scholar] [CrossRef] [PubMed]
- Wang, L.; Zuo, Q.S.; Zheng, J.D.; You, J.J.; Yang, G.; Leng, S.H. Salt stress decreases seed yield and postpones growth process of canola (Brassica napus L.) by changing nitrogen and carbon characters. Sci. Rep. 2022, 12, 17884. [Google Scholar] [CrossRef] [PubMed]
- Kumari, S.; Nazir, F.; Jain, K.; Khan, M.I.R. GABA and potassium modulates defence systems, assimilation of nitrogen and carbon, and yield traits under salt stress in wheat. J. Plant Growth Regul. 2023, 42, 6721–6740. [Google Scholar] [CrossRef]
- Abdelhamid, E.; Zoulfa, R.; Nada, N.; Zakia, Z.; Bouchra, B.; Azzouz, K.; Anass, K.; Imad, K.; Mohamed, N. Chaste plant extract is a promising biostimulant for tomato plants’ growth under salt stress. Biomass Convers. Biorefin. 2022. [Google Scholar] [CrossRef]
- Al-Turki, A.; Murali, M.; Omar, A.F.; Rehan, M.; Sayyed, R.Z. Recent advances in PGPR-mediated resilience toward interactive effects of drought and salt stress in plants. Front. Microbiol. 2023, 14, 1214845. [Google Scholar] [CrossRef]
- Pasternak, T.P.; Perez-Perez, J.M. Optimization of ROS Measurement and Localization in Plant Tissues: Challenges and Solutions. Available online: https://www.protocols.io/view/optimization-of-ROS-measurement-and-localization-i-ewov146o2vr2/v1 (accessed on 14 April 2024).
- Zulfugarov, I.S.; Tovuu, A.; Kim, J.H.; Lee, C.H. Detection of Reactive Oxygen Species in Higher Plants. J. Plant Biol. 2011, 54, 351–357. [Google Scholar] [CrossRef]
- Elstner, E.F.; Heupel, A. Inhibition of nitrite formation from hydroxylammoniumchloride: A simple assay for superoxide dismutase. Anal. Biochem. 1976, 70, 616–620. [Google Scholar] [CrossRef]
- Naqve, M.; Wang, X.; Shahbaz, M.; Fiaz, S.; Naqvi, W.; Naseer, M.; Mahmood, A.; Ali, H. Foliar spray of alpha-tocopherol modulates antioxidant potential of Okra fruit under salt stress. Plants 2021, 10, 1382. [Google Scholar] [CrossRef] [PubMed]
- Yan, M.; Mao, J.; Wu, T.; Xiong, T.; Huang, Q.; Wu, H.; Hu, G. Transcriptomic analysis of Salicylic Acid promoting seed germination of melon under salt stress. Horticulturae 2023, 9, 375. [Google Scholar] [CrossRef]
- Liu, Y.; Zhang, W.; Elango, D.; Liu, H.; Jin, D.; Wang, X.; Wu, Y. Metabolome and transcriptome analysis reveals molecular mechanisms of watermelon under salt stress. Environ. Exp. Bot. 2023, 206, 105200. [Google Scholar] [CrossRef]
- Iwaniuk, P.; Kaczynski, P.; Pietkun, M.; Lozowicka, B. Evaluation of titanium and silicon role in mitigation of fungicides toxicity in wheat expressed at the level of biochemical and antioxidant profile. Chemosphere 2022, 308, 136284. [Google Scholar] [CrossRef] [PubMed]
- Pasternak, T.; Palme, K.; Paponov, I.A. Glutathione enhances auxin sensitivity in Arabidopsis Roots. Biomolecules 2020, 10, 1550. [Google Scholar] [CrossRef] [PubMed]
- Fukuda, A.; Nakamura, A.; Hara, N.; Toki, S.; Tanaka, Y. Molecular and functional analyses of rice NHX-type Na+/H+ antiporter genes. Planta 2011, 233, 175–188. [Google Scholar] [CrossRef] [PubMed]
- Xu, L.; Song, J.Q.; Wang, Y.L.; Liu, X.H.; Li, X.L.; Zhang, B.; Li, A.J.; Ye, X.F.; Wang, J.; Wang, P. Thymol improves salinity tolerance of tobacco by increasing the sodium ion efflux and enhancing the content of nitric oxide and glutathione. BMC Plant Biol. 2022, 22, 31. [Google Scholar] [CrossRef] [PubMed]
- da Silva, T.I.; Dias, M.G.; Barbosa, L.B.; da Araújo, N.O.; Ferreira, F.D.; Grossi, J.A.; da Costa, F.B.; Marco, C.A.; Ribeiro, D.M. Spermine decreases ethylene and increases sugars and phenolic compounds in nasturtium flowers grown under drought and salt stress. Bragantia 2023, 82, e20230041. [Google Scholar] [CrossRef]
- Yan, F.Y.; Zhang, J.Y.; Li, W.W.; Ding, Y.F.; Zhong, Q.Y.; Xu, X.; Wei, H.M.; Li, G.H. Exogenous melatonin alleviates salt stress by improving leaf photosynthesis in rice seedlings. Plant Physiol. Biochem. 2021, 163, 367–375. [Google Scholar] [CrossRef]
- Wang, B.K.; Wang, J.; Yang, T.; Wang, J.X.; Dai, Q.; Zhang, F.L.; Xi, R.; Yu, Q.H.; Li, N. The transcriptional regulatory network of hormones and genes under salt stress in tomato plants (Solanum lycopersicum L.). Front. Plant Sci. 2023, 14, 1115593. [Google Scholar] [CrossRef]
- Zhu, Z.H.; Liu, Y.; Wang, Y.X.; Jiang, A.J.; Meng, F.X.; Wang, B.S.; Chen, M. Integrated physio-biochemical and transcriptomic analyses reveal the mechanism underlying ABA-mediated alleviation of salt stress in Limonium bicolor seedlings. Environ. Exp. Bot. 2024, 220, 105707. [Google Scholar] [CrossRef]










| Treatment | Length (cm) | Surface Area (cm2) | Volumetric (cm3) | Average Diameter (mm) | Root Tip |
|---|---|---|---|---|---|
| CK | 804.8 ± 65.87 a | 169.22 ± 11.35 a | 1.86 ± 0.29 a | 0.67 ± 0.08 a | 1499 ± 155 a |
| S | 473.4 ± 29.14 c | 103.11 ± 19.61 b | 0.92 ± 0.11 c | 0.39 ± 0.08 c | 687 ± 60 c |
| SE-30 | 579.02 ± 32.86 b | 121.97 ± 4.77 b | 1.00 ± 0.14 c | 0.51 ± 0.04 bc | 910 ± 141 b |
| SE-60 | 656.21 ± 54.2 b | 133.04 ± 13.12 b | 1.31 ± 0.06 b | 0.53 ± 0.07 b | 1020 ± 100 b |
| SE-90 | 602.36 ± 53 b | 118.29 ± 22.15 b | 1.08 ± 0.11 c | 0.50 ± 0.05 bc | 955 ± 100 b |
Disclaimer/Publisher’s Note: The statements, opinions and data contained in all publications are solely those of the individual author(s) and contributor(s) and not of MDPI and/or the editor(s). MDPI and/or the editor(s) disclaim responsibility for any injury to people or property resulting from any ideas, methods, instructions or products referred to in the content. |
© 2024 by the authors. Licensee MDPI, Basel, Switzerland. This article is an open access article distributed under the terms and conditions of the Creative Commons Attribution (CC BY) license (https://creativecommons.org/licenses/by/4.0/).
Share and Cite
Xu, J.; Wang, T.; Wang, X.; Yan, H.; Liu, P.; Hou, X.; Gao, Y.; Yang, L.; Zhang, L. Exogenous Eugenol Alleviates Salt Stress in Tobacco Seedlings by Regulating the Antioxidant System and Hormone Signaling. Int. J. Mol. Sci. 2024, 25, 6771. https://doi.org/10.3390/ijms25126771
Xu J, Wang T, Wang X, Yan H, Liu P, Hou X, Gao Y, Yang L, Zhang L. Exogenous Eugenol Alleviates Salt Stress in Tobacco Seedlings by Regulating the Antioxidant System and Hormone Signaling. International Journal of Molecular Sciences. 2024; 25(12):6771. https://doi.org/10.3390/ijms25126771
Chicago/Turabian StyleXu, Jiaxin, Tingting Wang, Xiaoyu Wang, Honghao Yan, Peng Liu, Xin Hou, Yun Gao, Long Yang, and Li Zhang. 2024. "Exogenous Eugenol Alleviates Salt Stress in Tobacco Seedlings by Regulating the Antioxidant System and Hormone Signaling" International Journal of Molecular Sciences 25, no. 12: 6771. https://doi.org/10.3390/ijms25126771
APA StyleXu, J., Wang, T., Wang, X., Yan, H., Liu, P., Hou, X., Gao, Y., Yang, L., & Zhang, L. (2024). Exogenous Eugenol Alleviates Salt Stress in Tobacco Seedlings by Regulating the Antioxidant System and Hormone Signaling. International Journal of Molecular Sciences, 25(12), 6771. https://doi.org/10.3390/ijms25126771

