miRNA- and Cell Line-Specific Constraints on Precursor miRNA Processing of Stably Transfected Pancreatic Cancer and Other Mammalian Cells
Abstract
1. Introduction
2. Results
2.1. RNA Secondary Structure and Primary Sequence Features Are Key Elements Responsible for Efficient miRNA Processing
2.2. An Intrinsic Bias for Processing of the Star form miRNA Could Be Responsible for the Lack of Detectable Expression of miRNA Targets
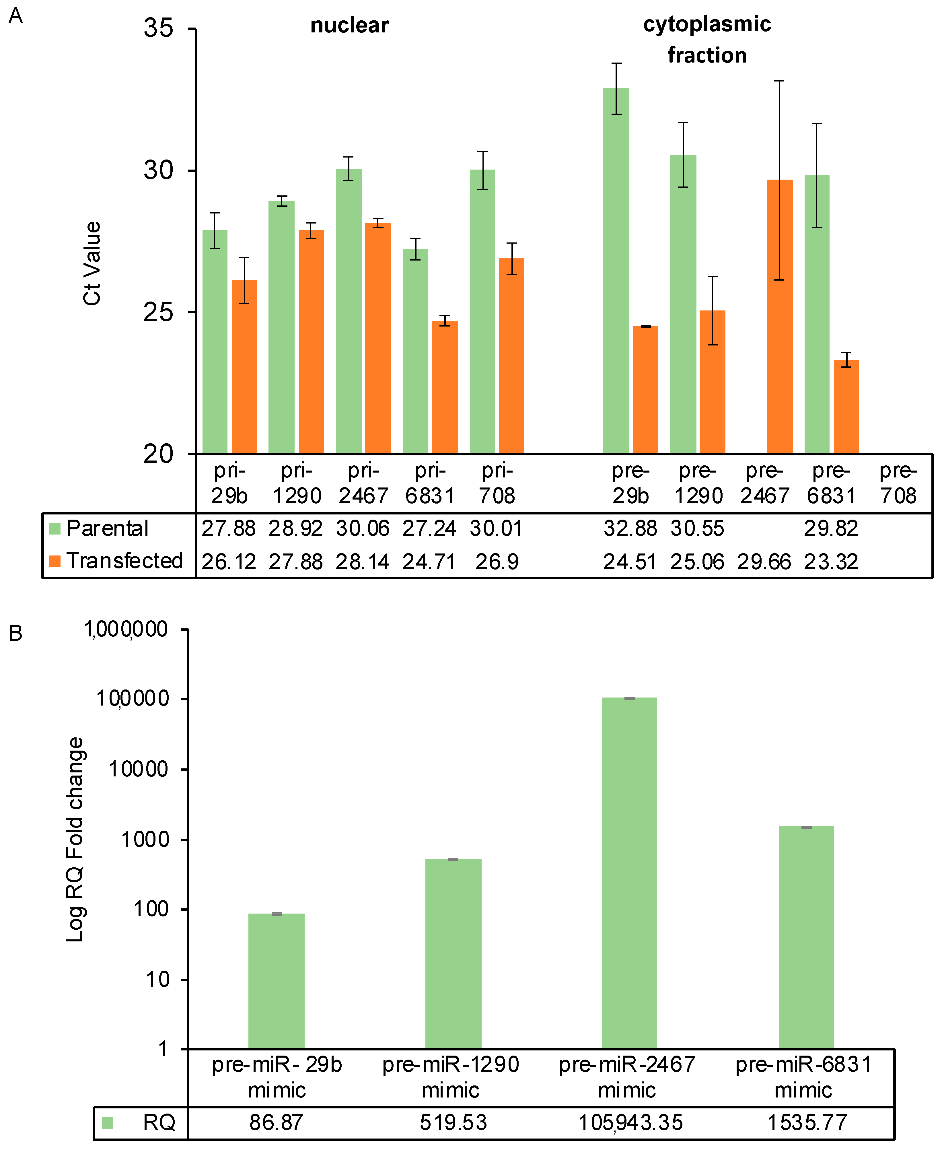
2.3. Examination of Pri- vs. Pre-miRNA Levels in Nuclear vs. Cytoplasmic Fractions of MIA PaCa-2 Cells Showed Precursor Accumulation
2.4. Post DICER-Processed Pre-miRNA Mimics Show Efficient Overexpression

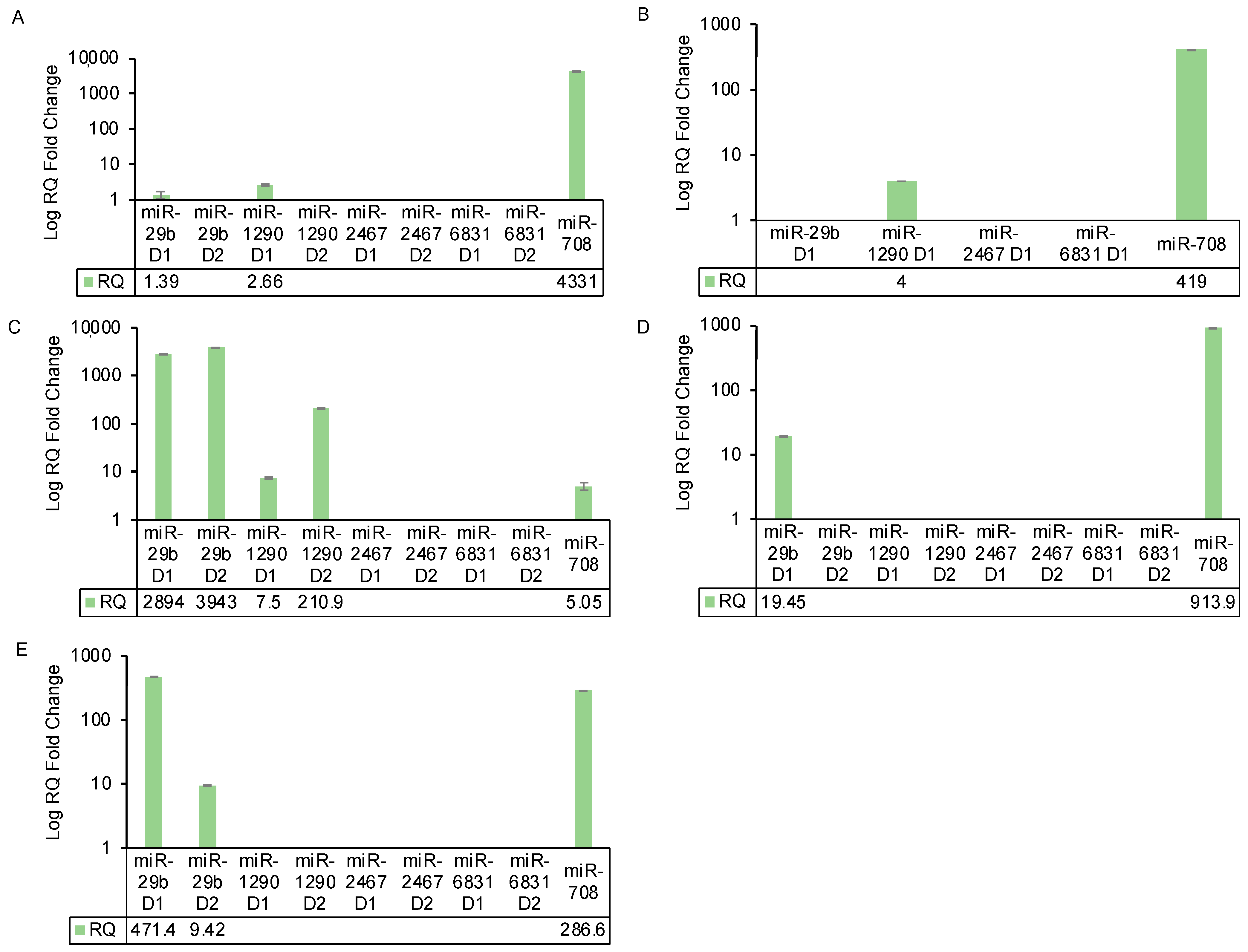
2.5. Investigation of Vector Efficiency in a Panel of Non-Pancreatic Cancer Cell Lines Show Levels of Expression for Some miRNA Targets
3. Discussion
4. Materials and Methods
4.1. Cell Culture
4.2. miRNA Overexpression Vector Design
4.3. Transfection
4.4. RNA Isolation and cDNA Synthesis
4.5. RT-qPCR
Supplementary Materials
Author Contributions
Funding
Institutional Review Board Statement
Informed Consent Statement
Data Availability Statement
Conflicts of Interest
References
- O’Brien, J.; Hayder, H.; Zayed, Y.; Peng, C. Overview of MicroRNA Biogenesis, Mechanisms of Actions, and Circulation. Front. Endocrinol. 2018, 9, 402. [Google Scholar] [CrossRef] [PubMed]
- Lee, E.J.; Baek, M.; Gusev, Y.; Brackett, D.J.; Nuovo, G.J.; Schmittgen, T.D. Systematic evaluation of microRNA processing patterns in tissues, cell lines, and tumors. RNA 2008, 14, 35–42. [Google Scholar] [CrossRef] [PubMed]
- Lin, S.; Gregory, R.I. MicroRNA biogenesis pathways in cancer. Nat. Rev. Cancer 2015, 15, 321–333. [Google Scholar] [CrossRef] [PubMed]
- Khan, M.A.; Zubair, H.; Srivastava, S.K.; Singh, S.; Singh, A.P. Insights into the Role of microRNAs in Pancreatic Cancer Pathogenesis: Potential for Diagnosis, Prognosis, and Therapy. Adv. Exp. Med. Biol. 2015, 889, 71–87. [Google Scholar] [CrossRef]
- Markopoulos, G.S.; Roupakia, E.; Tokamani, M.; Chavdoula, E.; Hatziapostolou, M.; Polytarchou, C.; Marcu, K.B.; Papavassiliou, A.G.; Sandaltzopoulos, R.; Kolettas, E. A step-by-step microRNA guide to cancer development and metastasis. Cell. Oncol. 2017, 40, 303–339. [Google Scholar] [CrossRef] [PubMed]
- Kallunki, T.; Barisic, M.; Jaattela, M.; Liu, B. How to Choose the Right Inducible Gene Expression System for Mammalian Studies? Cells 2019, 8, 796. [Google Scholar] [CrossRef]
- Cech, T.R.; Steitz, J.A. The noncoding RNA revolution-trashing old rules to forge new ones. Cell 2014, 157, 77–94. [Google Scholar] [CrossRef] [PubMed]
- Bartel, D.P. MicroRNAs: Genomics, biogenesis, mechanism, and function. Cell 2004, 116, 281–297. [Google Scholar] [CrossRef] [PubMed]
- Melo, S.A.; Moutinho, C.; Ropero, S.; Calin, G.A.; Rossi, S.; Spizzo, R.; Fernandez, A.F.; Davalos, V.; Villanueva, A.; Montoya, G.; et al. A genetic defect in exportin-5 traps precursor microRNAs in the nucleus of cancer cells. Cancer Cell 2010, 18, 303–315. [Google Scholar] [CrossRef]
- Suzuki, H.I.; Yamagata, K.; Sugimoto, K.; Iwamoto, T.; Kato, S.; Miyazono, K. Modulation of microRNA processing by p53. Nature 2009, 460, 529–533. [Google Scholar] [CrossRef] [PubMed]
- Furukawa, N.; Sakurai, F.; Katayama, K.; Seki, N.; Kawabata, K.; Mizuguchi, H. Optimization of a microRNA expression vector for function analysis of microRNA. J. Control. Release 2011, 150, 94–101. [Google Scholar] [CrossRef]
- Roche, S.; O’Neill, F.; Murphy, J.; Swan, N.; Meiller, J.; Conlon, N.T.; Geoghegan, J.; Conlon, K.; McDermott, R.; Rahman, R.; et al. Establishment and Characterisation by Expression Microarray of Patient-Derived Xenograft Panel of Human Pancreatic Adenocarcinoma Patients. Int. J. Mol. Sci. 2020, 21, 962. [Google Scholar] [CrossRef] [PubMed]
- O’Neill, F.; Allen-Coyle, T.J.; Roche, S.; Meiller, J.; Conlon, N.T.; Swan, N.; Straubinger, R.M.; Geoghegan, J.; Straubinger, N.L.; Conlon, K.; et al. Alteration in Levels of Specific miRNAs and Their Potential Protein Targets between Human Pancreatic Cancer Samples, Adjacent Normal Tissue, and Xenografts Derived from These Tumors. Life 2023, 13, 608. [Google Scholar] [CrossRef] [PubMed]
- Zhang, Y.; Huang, H.; Zhang, D.; Qiu, J.; Yang, J.; Wang, K.; Zhu, L.; Fan, J. A Review on Recent Computational Methods for Predicting Noncoding RNAs. Biomed. Res. Int. 2017, 2017, 9139504. [Google Scholar] [CrossRef]
- Hofacker, I.L. Vienna RNA secondary structure server. Nucleic Acids Res. 2003, 31, 3429–3431. [Google Scholar] [CrossRef] [PubMed]
- Grimson, A.; Farh, K.K.; Johnston, W.K.; Garrett-Engele, P.; Lim, L.P.; Bartel, D.P. MicroRNA targeting specificity in mammals: Determinants beyond seed pairing. Mol. Cell 2007, 27, 91–105. [Google Scholar] [CrossRef]
- Pla, A.; Zhong, X.; Rayner, S. miRAW: A deep learning-based approach to predict microRNA targets by analyzing whole microRNA transcripts. PLoS Comput. Biol. 2018, 14, e1006185. [Google Scholar] [CrossRef] [PubMed]
- Nguyen, T.L.; Nguyen, T.D.; Bao, S.; Li, S.; Nguyen, T.A. The internal loops in the lower stem of primary microRNA transcripts facilitate single cleavage of human Microprocessor. Nucleic Acids Res. 2020, 48, 2579–2593. [Google Scholar] [CrossRef]
- Sheng, Y.; Engström, P.G.; Lenhard, B. Mammalian microRNA prediction through a support vector machine model of sequence and structure. PLoS ONE 2007, 2, e946. [Google Scholar] [CrossRef] [PubMed]
- Institute for Research in Immunology and Cancer. (n.d.). How to Deal with qPCR Results. Available online: https://genomique.iric.ca/resources/files/How_to_deal_with_qPCR_results.pdf (accessed on 8 April 2024).
- Eddy, S.R. How do RNA folding algorithms work? Nat. Biotechnol. 2004, 22, 1457–1458. [Google Scholar] [CrossRef]
- Komatsu, S.; Kitai, H.; Suzuki, H.I. Network Regulation of microRNA Biogenesis and Target Interaction. Cells 2023, 12, 306. [Google Scholar] [CrossRef] [PubMed]
- Zhang, X.; Yang, F.; Liu, F.; Tian, Q.; Hu, M.; Li, P.; Zeng, Y. Conservation of Differential Animal MicroRNA Processing by Drosha and Dicer. Front. Mol. Biosci. 2021, 8, 730006. [Google Scholar] [CrossRef] [PubMed]
- Kim, K.; Baek, S.C.; Lee, Y.Y.; Bastiaanssen, C.; Kim, J.; Kim, H.; Kim, V.N. A quantitative map of human primary microRNA processing sites. Mol. Cell 2021, 81, 3422–3439.e3411. [Google Scholar] [CrossRef] [PubMed]
- Zuker, M.; Stiegler, P. Optimal computer folding of large RNA sequences using thermodynamics and auxiliary information. Nucleic Acids Res. 1981, 9, 133–148. [Google Scholar] [CrossRef] [PubMed]
- Li, S.; Le, T.N.; Nguyen, T.D.; Trinh, T.A.; Nguyen, T.A. Bulges control pri-miRNA processing in a position and strand-dependent manner. RNA Biol. 2021, 18, 1716–1726. [Google Scholar] [CrossRef] [PubMed]
- Fang, W.; Bartel, D.P. The Menu of Features that Define Primary MicroRNAs and Enable De Novo Design of MicroRNA Genes. Mol. Cell 2015, 60, 131–145. [Google Scholar] [CrossRef] [PubMed]
- Nguyen, T.A.; Park, J.; Dang, T.L.; Choi, Y.G.; Kim, V.N. Microprocessor depends on hemin to recognize the apical loop of primary microRNA. Nucleic Acids Res. 2018, 46, 5726–5736. [Google Scholar] [CrossRef] [PubMed]
- Auyeung, V.C.; Ulitsky, I.; McGeary, S.E.; Bartel, D.P. Beyond secondary structure: Primary-sequence determinants license pri-miRNA hairpins for processing. Cell 2013, 152, 844–858. [Google Scholar] [CrossRef]
- Shoffner, G.M.; Peng, Z.; Guo, F. Structures of microRNA-precursor apical junctions and loops reveal non-canonical base pairs important for processing. bioRxiv 2020. [Google Scholar] [CrossRef]
- Gulyaeva, L.F.; Kushlinskiy, N.E. Regulatory mechanisms of microRNA expression. J. Transl. Med. 2016, 14, 143. [Google Scholar] [CrossRef] [PubMed]
- Hynes, C.; Kakumani, P.K. Regulatory role of RNA-binding proteins in microRNA biogenesis. Front. Mol. Biosci. 2024, 11, 1374843. [Google Scholar] [CrossRef] [PubMed]
- Hackl, L.M.; Fenn, A.; Louadi, Z.; Baumbach, J.; Kacprowski, T.; List, M.; Tsoy, O. Alternative splicing impacts microRNA regulation within coding regions. NAR Genom. Bioinform. 2023, 5, lqad081. [Google Scholar] [CrossRef] [PubMed]
- Ren, G.; Chen, X.; Yu, B. Small RNAs meet their targets: When methylation defends miRNAs from uridylation. RNA Biol. 2014, 11, 1099–1104. [Google Scholar] [CrossRef] [PubMed]
- Kawahara, Y.; Zinshteyn, B.; Sethupathy, P.; Iizasa, H.; Hatzigeorgiou, A.G.; Nishikura, K. Redirection of silencing targets by adenosine-to-inosine editing of miRNAs. Science 2007, 315, 1137–1140. [Google Scholar] [CrossRef] [PubMed]
- Gagnidze, K.; Rayon-Estrada, V.; Harroch, S.; Bulloch, K.; Papavasiliou, F.N. A New Chapter in Genetic Medicine: RNA Editing and its Role in Disease Pathogenesis. Trends Mol. Med. 2018, 24, 294–303. [Google Scholar] [CrossRef] [PubMed]
- Medley, J.C.; Panzade, G.; Zinovyeva, A.Y. microRNA strand selection: Unwinding the rules. Wiley Interdiscip. Rev. RNA 2021, 12, e1627. [Google Scholar] [CrossRef] [PubMed]
- Guo, L.; Lu, Z. The fate of miRNA* strand through evolutionary analysis: Implication for degradation as merely carrier strand or potential regulatory molecule? PLoS ONE 2010, 5, e11387. [Google Scholar] [CrossRef] [PubMed]
- Hoffend, N.C.; Magner, W.J.; Tomasi, T.B. The epigenetic regulation of Dicer and microRNA biogenesis by Panobinostat. Epigenetics 2017, 12, 105–112. [Google Scholar] [CrossRef] [PubMed]
- Pradhan, A.K.; Bhoopathi, P.; Talukdar, S.; Scheunemann, D.; Sarkar, D.; Cavenee, W.K.; Das, S.K.; Emdad, L.; Fisher, P.B. MDA-7/IL-24 regulates the miRNA processing enzyme DICER through downregulation of MITF. Proc. Natl. Acad. Sci. USA 2019, 116, 5687–5692. [Google Scholar] [CrossRef] [PubMed]
- Obernosterer, G.; Leuschner, P.J.; Alenius, M.; Martinez, J. Post-transcriptional regulation of microRNA expression. RNA 2006, 12, 1161–1167. [Google Scholar] [CrossRef] [PubMed]
- Lewkowicz, P.; Cwiklińska, H.; Mycko, M.P.; Cichalewska, M.; Domowicz, M.; Lewkowicz, N.; Jurewicz, A.; Selmaj, K.W. Dysregulated RNA-Induced Silencing Complex (RISC) Assembly within CNS Corresponds with Abnormal miRNA Expression during Autoimmune Demyelination. J. Neurosci. 2015, 35, 7521–7537. [Google Scholar] [CrossRef] [PubMed]
- Tay, Y.; Kats, L.; Salmena, L.; Weiss, D.; Tan, S.M.; Ala, U.; Karreth, F.; Poliseno, L.; Provero, P.; Di Cunto, F.; et al. Coding-independent regulation of the tumor suppressor PTEN by competing endogenous mRNAs. Cell 2011, 147, 344–357. [Google Scholar] [CrossRef] [PubMed]
- Costello, A.; Lao, N.; Clynes, M.; Barron, N. Conditional Knockdown of Endogenous MicroRNAs in CHO Cells Using TET-ON-SanDI Sponge Vectors. Methods Mol. Biol. 2017, 1603, 87–100. [Google Scholar] [CrossRef] [PubMed]




Disclaimer/Publisher’s Note: The statements, opinions and data contained in all publications are solely those of the individual author(s) and contributor(s) and not of MDPI and/or the editor(s). MDPI and/or the editor(s) disclaim responsibility for any injury to people or property resulting from any ideas, methods, instructions or products referred to in the content. |
© 2024 by the authors. Licensee MDPI, Basel, Switzerland. This article is an open access article distributed under the terms and conditions of the Creative Commons Attribution (CC BY) license (https://creativecommons.org/licenses/by/4.0/).
Share and Cite
Allen-Coyle, T.J.; Roca, B.C.; Costello, A.; Barron, N.; Keenan, J.; Clynes, M.; O’Neill, F.; O’Sullivan, F. miRNA- and Cell Line-Specific Constraints on Precursor miRNA Processing of Stably Transfected Pancreatic Cancer and Other Mammalian Cells. Int. J. Mol. Sci. 2024, 25, 5666. https://doi.org/10.3390/ijms25115666
Allen-Coyle TJ, Roca BC, Costello A, Barron N, Keenan J, Clynes M, O’Neill F, O’Sullivan F. miRNA- and Cell Line-Specific Constraints on Precursor miRNA Processing of Stably Transfected Pancreatic Cancer and Other Mammalian Cells. International Journal of Molecular Sciences. 2024; 25(11):5666. https://doi.org/10.3390/ijms25115666
Chicago/Turabian StyleAllen-Coyle, Taylor J., Berta Capella Roca, Alan Costello, Niall Barron, Joanne Keenan, Martin Clynes, Fiona O’Neill, and Finbarr O’Sullivan. 2024. "miRNA- and Cell Line-Specific Constraints on Precursor miRNA Processing of Stably Transfected Pancreatic Cancer and Other Mammalian Cells" International Journal of Molecular Sciences 25, no. 11: 5666. https://doi.org/10.3390/ijms25115666
APA StyleAllen-Coyle, T. J., Roca, B. C., Costello, A., Barron, N., Keenan, J., Clynes, M., O’Neill, F., & O’Sullivan, F. (2024). miRNA- and Cell Line-Specific Constraints on Precursor miRNA Processing of Stably Transfected Pancreatic Cancer and Other Mammalian Cells. International Journal of Molecular Sciences, 25(11), 5666. https://doi.org/10.3390/ijms25115666

