Protopine and Allocryptopine Interactions with Plasma Proteins
Abstract
1. Introduction
2. Results
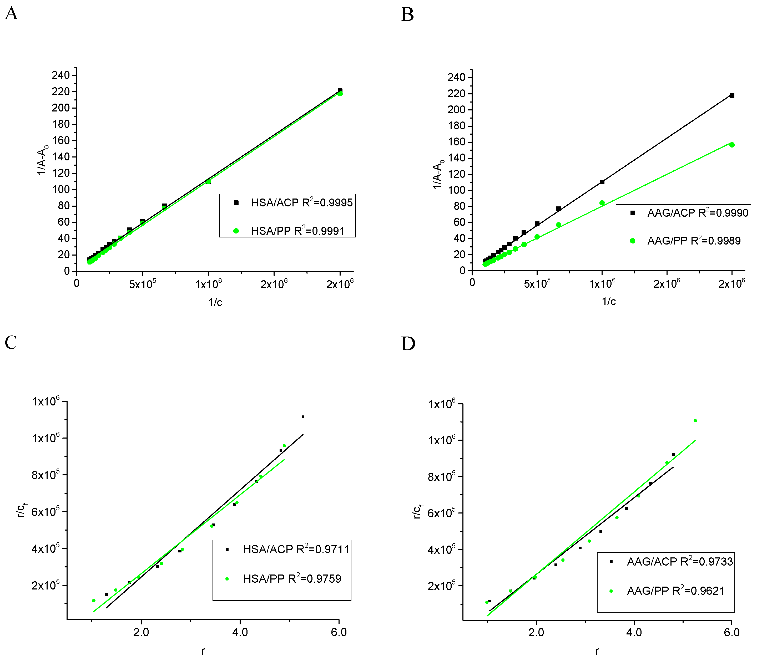
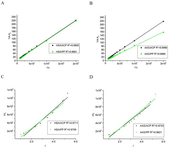
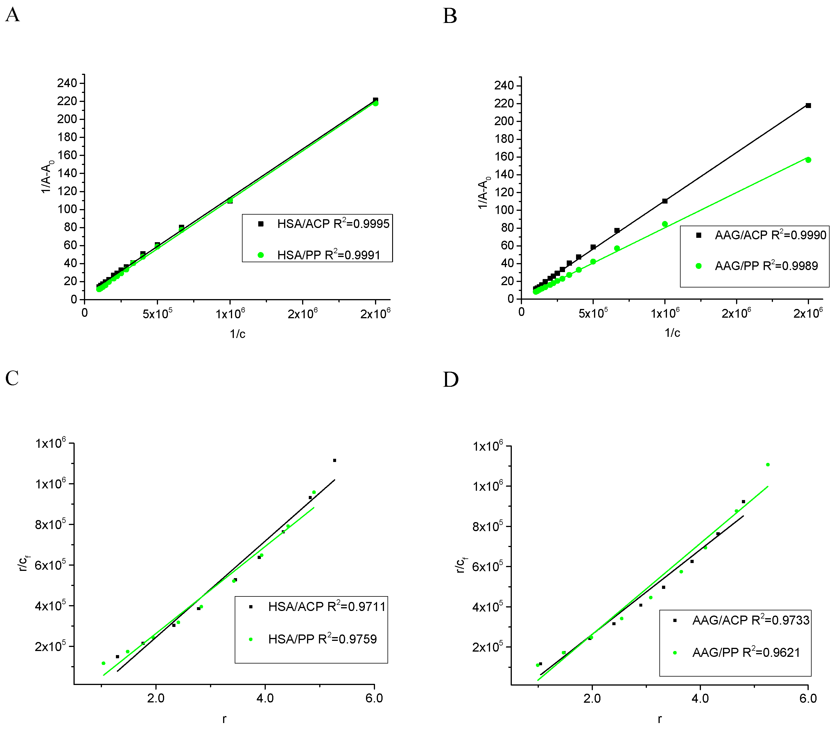
2.1. Determination of Binding Constants
2.2. Analysis of Binding Sites and Interaction Modes
2.3. The Changes in Protein Secondary Structures
3. Discussion
4. Materials and Methods
4.1. Materials
4.2. Methods
4.2.1. UV Absorption Spectroscopy
4.2.2. Fluorescence Spectroscopy
4.2.3. Circular Dichroism Spectroscopy
4.2.4. In Silico Studies
5. Conclusions
Author Contributions
Funding
Data Availability Statement
Acknowledgments
Conflicts of Interest
Abbreviations
| AAG | α-1-acid glycoprotein, orosomucoid |
| ACP | allocryptopine |
| dGly | dansylated-L-glycine |
| dPhe | dansylated-L-phenylalanine |
| HSA | human albumin serum |
| PP | protopine |
| QR | quinaldine red |
References
- Zielińska, S.; Jezierska-Domaradzka, A.; Wójciak-Kosior, M.; Sowa, I.; Junka, A.; Matkowski, A.M. Greater Celandine’s ups and downs−21 centuries of medicinal uses of Chelidonium majus from the viewpoint of today’s pharmacology. Front. Pharmacol. 2018, 9, 299. [Google Scholar] [CrossRef]
- Cahlikova, L.; Kavano, I.; Rezacova, M.; Blunden, G.; Hulcova, D.; Havelek, R. The Amaryllidaceae alkaloids haemanthamine, haemanthidine and their semisynthetic derivatives as potential drugs. Phytochem. Rev. 2021, 20, 303–323. [Google Scholar] [CrossRef]
- Mathew, B.; Parambi, D.G.T.; Singh, M.; Hendawy, O.M.; Al-Sanea, M.M.; Bakr, R.B. Naturally Occurring Chemicals against Alzheimer’s Disease; Chapter 3.1.12—Protopine; Elsevier: Amsterdam, The Netherlands, 2021; pp. 167–174. [Google Scholar] [CrossRef]
- Ghosh, T.; Bhadra, K. A mini review on human serum albumin—Natural alkaloids interaction and its role as drug carrier. J. Biomol. Struct. Dyn. 2024, 1–18. [Google Scholar] [CrossRef] [PubMed]
- Khan, A.Y.; Suresh Kumar, G. Natural isoquinoline alkaloids: Binding aspects to functional proteins, serum albumins, hemoglobin, and lysozyme. Biophys. Rev. 2015, 7, 407–420. [Google Scholar] [CrossRef] [PubMed]
- Liu, Y.; Chen, M.; Wang, S.; Lin, J.; Cai, L.; Song, L. New insight into the stereoselective interactions of quinine and quinidine, with bovine serum albumin. J. Mol. Recognit. 2014, 27, 239–249. [Google Scholar] [CrossRef]
- Nafisi, S.; Panahyab, A.; Bagheri Sadeghi, G. Interactions between β-carboline alkaloids and bovine serum albumin: Investigation by spectroscopic approach. J. Lumin. 2012, 132, 2361–2366. [Google Scholar] [CrossRef]
- Marszalek, M.; Konarska, A.; Szajdzinska-Pietek, E.; Wolszczak, M. Interaction of Cationic Protoberberine Alkaloids with Human Serum Albumin. No Spectroscopic Evidence on Binding to Sudlow’s Site 1. J. Phys. Chem. B 2013, 117, 15987–15993. [Google Scholar] [CrossRef]
- Sadeghi, M.; Miroliaei, M.; Taslimi, P.; Moradi, M. In silico analysis of the molecular interaction and bioavailability properties between some alkaloids and human serum albumin. Struct. Chem. 2022, 33, 1199–1212. [Google Scholar] [CrossRef]
- Khan, A.Y.; Hossain, M.; Kumar, G.S. Binding of plant alkaloids berberine and palmatine to serum albumins: A thermodynamic investigation. Mol. Biol. Rep. 2013, 40, 553–566. [Google Scholar] [CrossRef]
- Albani, J.R. Relation between the secondary structure of carbohydrate residues of α1-acid glycoprotein (orosomucoid) and the fluorescence of the protein. Carbohydr. Res. 2003, 338, 1097–1101. [Google Scholar] [CrossRef]
- Schuetz, A.; Min, J.; Antoshenko, T.; Wang, C.-L.; Allali-Hassani, A.; Dong, A.; Loppnau, P.; Vedadi, M.; Bochkarev, A.; Sternglanz, R.; et al. Structural basis of inhibition of the human NAD+—Dependent deacetylase SIRT5 by suramin. Structure 2017, 15, 377–389. [Google Scholar] [CrossRef] [PubMed]
- Reyes, R.; Ramírez, G.; Delgado, N.M. Fluorescent berberine binding as a marker of internal glycosaminoglycans sulfate in bovine oocytes and sperm cells. J. Reprod. Systems 2004, 50, 327–332. [Google Scholar] [CrossRef]
- Anderson, N.L.; Anderson, N.G. The human plasma proteome: History, character, and diagnostic prospects. Mol. Cell. Proteomics 2002, 1, 845–867. [Google Scholar] [CrossRef] [PubMed]
- Bteich, M. An overview of albumin and alpha-1-acid glycoprotein main characteristics: Highlighting the roles of amino acids in binding kinetics and molecular interactions. Heliyon 2019, 5, e02879. [Google Scholar] [CrossRef]
- Mishra, V.; Heath, R.J. Structural and biochemical features of human serum albumin essential for eukaryotic cell culture. Int. J. Mol. Sci. 2021, 22, 8411. [Google Scholar] [CrossRef]
- Ruiz, M. Into the labyrinth of the lipocalin a1-acid glycoprotein. Front. Physiol. 2021, 12, 686251. [Google Scholar] [CrossRef]
- Luo, Z.; Lei, H.; Sun, Y.; Liu, X.; Su, D.-F. Orosomucoid, an acute response protein with multiple modulating activities. J. Physiol. Biochem. 2015, 71, 329–340. [Google Scholar] [CrossRef]
- Owczarzy, A.; Zięba, A.; Pożycka, J.; Kulig, K.; Rogóż, W.; Szkudlarek, A.; Maciążek-Jurczyk, M. Spectroscopic studies of quinobenzothiazine derivative in terms of the in vitro interaction with selected human plasma proteins. Part 1. Molecules 2021, 26, 4776. [Google Scholar] [CrossRef]
- Clonis, Y.D. Affinity chromatography matures as bioinformatic and combinatorial tools develop. J. Chromatogr. A 2006, 1–2, 1–24. [Google Scholar] [CrossRef] [PubMed]
- Wen, J.; Arakawa, T.; Philo, J.S. Size-exclusion chromatography with on-line light-scattering, absorbance, and refractive index detectors for studying proteins and their interactions. Anal. Biochem. 1996, 240, 155–166. [Google Scholar] [CrossRef]
- Velazquez-Campoy, A.; Leavitt, S.A.; Freire, E. Characterization of protein-protein interactions by isothermal titration calorimetry. Methods Mol. Biol. 2015, 1278, 183–204. [Google Scholar] [CrossRef] [PubMed]
- Hermanson, G.T. Chapter on Affinity Chromatography. In Bioconjugate Techniques, 3rd ed.; Academic Press: Cambridge, MA, USA, 2013; ISBN 978-0-12-382239-0. [Google Scholar]
- Pierce, M.M.; Raman, C.S.; Nall, B.T. Isothermal titration calorimetry of protein-protein interactions. Methods 1999, 19, 213–221. [Google Scholar] [CrossRef] [PubMed]
- Li, Y.; He, W.; Tian, J.; Tang, J.; Hu, Z.; Chen, X. The effect of Berberine on the secondary structure of human serum albumin. J. Mol. Struct. 2005, 743, 79–84. [Google Scholar] [CrossRef]
- Zhang, G.; Wang, Y.; Zhang, H.; Tang, S.; Tao, W. Human serum albumin interaction with paraquat studied using spectroscopic methods. Pestic. Biochem. Physiol. 2007, 87, 23–29. [Google Scholar] [CrossRef]
- Pignataro, M.F.; Herrera, M.G.; Dodero, V.I. Evaluation of Peptide/Protein Self-Assembly and Aggregation by Spectroscopic Methods. Molecules 2020, 25, 4854. [Google Scholar] [CrossRef]
- Picollo, M.; Aceto, M.; Vitorino, T. UV-Vis spectroscopy. Phys. Sci. Rev. 2019, 4, 20180008. [Google Scholar] [CrossRef]
- Kubala, M.; Vacek, J.; Popa, I.; Janovská, M.; Kosina, P.; Ulrichová, J.; Trávníček, Z.; Šimánek, V. The Fluorescence Properties and NMR Analysis of Protopine and Allocryptopine. J. Lumin. 2011, 131, 1340–1345. [Google Scholar] [CrossRef]
- Antosiewicz, J.M.; Shugar, D. UV–Vis spectroscopy of tyrosine side-groups in studies of protein structure. Part 2: Selected applications. Biophys. Rev. 2016, 8, 163–177. [Google Scholar] [CrossRef]
- Colver, J. The Protein Protocols Handbook; Walker, J.M., Ed.; Humana Press: New York, NY, USA, 1996; ISBN 9781603272599. [Google Scholar]
- Benesi, H.A.; Hildebrand, J.H. A Spectrophotometric Investigation of the Interaction of Iodine with Aromatic Hydrocarbons. J. Am. Chem. Soc. 1949, 71, 2703–2707. [Google Scholar] [CrossRef]
- Birkett, D.J.; Myers, S.P.; Sudlow, G. Effects of fatty acids on two specific drug binding sites on human serum albumin. Mol. Pharmacol. 1977, 13, 987–992. [Google Scholar]
- Sudlow, G.; Birkett, D.J.; Wade, D.N. Further Characterization of Specific Drug Binding Sites on Human Serum Albumin. Mol. Pharmacol. 1976, 12, 1052–1061. [Google Scholar] [PubMed]
- Valdés-Tresanco, M.S.; Valdés-Tresanco, M.E.; Valiente, P.A.; Moreno, E. Gmx_MMPBSA: A New Tool to Perform End-State Free Energy Calculations with GROMACS. J. Chem. Theory Comput. 2021, 17, 6281–6291. [Google Scholar] [CrossRef]
- Otagiri, M. A Molecular Functional Study on the Interactions of Drugs with Plasma Proteins. Drug Metab. Pharmacokinet. 2005, 20, 309–323. [Google Scholar] [CrossRef] [PubMed]
- Ryan, A.J.; Ghuman, J.; Zunszain, P.A.; Chung, C.; Curry, S. Structural basis of binding of fluorescent, site-specific dansylated amino acids to human serum albumin. J. Struct. Biol. 2011, 174, 84–91. [Google Scholar] [CrossRef] [PubMed]
- Kremer, J.M.H.; Wilting, J.; Janssen, L.H.M. Drug binding to human alpha-1-acid glycoprotein in health and disease. Pharmacol. Rev. 1988, 40, 1–47. [Google Scholar]
- Schley, J.; Müller-Oerlinghausen, B. Investigation of the binding of various tricyclic neuroleptics and antidepressants to alpha 1-acid glycoprotein. J. Pharm. Pharmacol. 1986, 38, 102–106. [Google Scholar] [CrossRef] [PubMed]
- Müller, W.E. Drug binding sites on human alpha-1-acid glycoprotein. Prog. Clin. Biol. Res. 1989, 300, 363–378. [Google Scholar] [PubMed]
- Imamura, H.; Maruyama, T.; Otagiri, M. Evaluation of quinaldine red as a fluorescent probe for studies of drug-alpha1-acid glycoprotein interaction. Biol. Pharm. Bull. 1993, 16, 926–929. [Google Scholar] [CrossRef] [PubMed]
- Hazai, E.; Visy, J.; Fitos, I.; Bikádi, Z.; Simonyi, M. Selective binding of coumarin enantiomers to human α1-acid glycoprotein genetic variants. Bioorg. Med. Chem. 2006, 14, 1959–1965. [Google Scholar] [CrossRef]
- Zsila, F.; Visy, J.; Mády, G.; Fitos, I. Selective plasma protein binding of antimalarial drugs to α1-acid glycoprotein. Bioorg. Med. Chem. 2008, 16, 3759–3772. [Google Scholar] [CrossRef]
- Li, Y.; He, W.; Liu, J.; Sheng, F.; Hu, Z.; Chen, X. Binding of the bioactive component Jatrorrhizine to human serum albumin. Biochim. Biophys. Acta Gen. Subj. 2005, 1722, 15–21. [Google Scholar] [CrossRef] [PubMed]
- Maciążek-Jurczyk, M.; Morak-Młodawska, B.; Jeleń, M.; Kopeć, W.; Szkudlarek, A.; Owczarzy, A.; Kulig, K.; Rogóż, W.; Pożycka, J. The influence of oxidative stress on serum albumin structure as a carrier of selected diazaphenothiazine with potential anticancer activity. Pharmaceuticals 2021, 14, 285. [Google Scholar] [CrossRef] [PubMed]
- Lakowicz, J.R. Principles of Fluorescence Spectroscopy, 3rd ed.; Springer: Boston, MA, USA, 2006; pp. 27–61. [Google Scholar]
- Hu, Y.-J.; Liu, Y.; Xiao, X.-H. Investigation of the Interaction between Berberine and Human Serum Albumin. Biomacromolecules 2009, 10, 517–521. [Google Scholar] [CrossRef] [PubMed]
- Le, H.T.; Duong, H.Q.; Nguyen, H.D. Binding of palmatine to human serum albumin and α-1-acid glycoprotein: Insights from spectroscopic and molecular docking studies. J. Biomol. Struct. Dyn. 2019, 37, 1914–1927. [Google Scholar]
- Hossain, M.; Khan, A.Y.; Suresh Kumar, G. Study on the Thermodynamics of the Binding of Iminium and Alkanolamine Forms of the Anticancer Agent Sanguinarine to Human Serum Albumin. J. Chem. Thermodyn. 2012, 47, 90–99. [Google Scholar] [CrossRef]
- Kitchen, D.B.; Decornez, H.; Furr, J.R.; Bajorath, J. Docking and scoring in virtual screening for drug discovery: Methods and applications. Nat. Rev. Drug Discov. 2004, 3, 935–949. [Google Scholar] [CrossRef] [PubMed]
- Bhuiya, S.; Haque, L.; Das, S. Association of Iminium and Alkanolamine Forms of the Benzo[c]Phenanthridine Alkaloid Chelerythrine with Human Serum Albumin: Photophysical, Thermodynamic and Theoretical Approach. New J. Chem. 2018, 42, 2180–2196. [Google Scholar] [CrossRef]
- Jorgensen, W.L.; Tirado-Rives, J. Potential energy functions for atomic-level simulations of water and organic and biomolecular systems. Proc. Natl. Acad. Sci. USA 2005, 102, 6665–6670. [Google Scholar] [CrossRef] [PubMed]
- Copeland, R.A. Evaluation of Enzyme Inhibitors in Drug Discovery: A Guide for Medicinal Chemists and Pharmacologists, 2nd ed.; John Wiley & Sons: Hoboken, NJ, USA, 2016. [Google Scholar]
- Scatchard, G. The Attractions of Proteins for Small Molecules and Ions. Ann. N. Y. Acad. Sci. 1949, 51, 660–672. [Google Scholar] [CrossRef]
- Frisch, M.J.; Trucks, G.W.; Schlegel, H.B.; Scuseria, G.E.; Robb, M.A.; Cheeseman, J.R.; Scalmani, G.; Barone, V.; Petersson, G.A.; Nakatsuji, H.; et al. Gaussian~16 {R}evision {C}.01. 2016. Available online: https://gaussian.com/citation/ (accessed on 1 June 2023).
- Morris, G.M.; Huey, R.; Lindstrom, W.; Sanner, M.F.; Belew, R.K.; Goodsell, D.S.; Olson, A.J. AutoDock4 and AutoDockTools4: Automated Docking with Selective Receptor Flexibility. J. Comput. Chem. 2009, 30, 2785. [Google Scholar] [CrossRef]
- Trott, O.; Olson, A.J. AutoDock Vina: Improving the speed and accuracy of docking with a new scoring function, efficient optimization, and multithreading. J. Comput. Chem. 2010, 31, 455–461. [Google Scholar] [CrossRef]
- Pettersen, E.F.; Goddard, T.D.; Huang, C.C.; Meng, E.C.; Couch, G.S.; Croll, T.I.; Morris, J.H.; Ferrin, T.E. UCSF ChimeraX: Structure visualization for researchers, educators, and developers. Protein Sci. 2021, 30, 70–82. [Google Scholar] [CrossRef] [PubMed]
- Laskowski, R.A.; Swindells, M.B. LigPlot+: Multiple LigandÀProtein Interaction Diagrams for Drug Discovery. J. Chem. Inf. Model. 2011, 51, 26. [Google Scholar] [CrossRef] [PubMed]
- Abraham, M.J.; Murtola, T.; Schulz, R.; Páll, S.; Smith, J.C.; Hess, B.; Lindah, E. Gromacs: High performance molecular simulations through multi-level parallelism from laptops to supercomputers. SoftwareX 2015, 1–2, 19–25. [Google Scholar] [CrossRef]
- Huang, J.; Rauscher, S.; Nawrocki, G.; Ran, T.; Feig, M.; De Groot, B.L.; Grubmüller, H.; MacKerell, A.D. CHARMM36m: An improved force field for folded and intrinsically disordered proteins. Nat. Methods 2016, 14, 71–73. [Google Scholar] [CrossRef] [PubMed]
- Jo, S.; Kim, T.; Iyer, V.G.; Im, W. CHARMM-GUI: A web-based graphical user interface for CHARMM. J. Comput. Chem. 2008, 29, 1859–1865. [Google Scholar] [CrossRef]
- Lee, J.; Cheng, X.; Swails, J.M.; Yeom, M.S.; Eastman, P.K.; Lemkul, J.A.; Wei, S.; Buckner, J.; Jeong, J.C.; Qi, Y.; et al. CHARMM-GUI Input Generator for NAMD, GROMACS, AMBER, OpenMM, and CHARMM/OpenMM Simulations Using the CHARMM36 Additive Force Field. J. Chem. Theory Comput. 2016, 12, 405–413. [Google Scholar] [CrossRef]













| Protein/Alkaloid | Kapp·104 [dm3mol−1] | n* | ΔG [Jmol−1] | % Chromism |
|---|---|---|---|---|
| HSA/ACP | 5.02 ± 0.12 | 0.97 | −2.68 × 104 | 65.52 |
| HSA/PP | 2.13 ± 0.06 | 0.77 | −2.47 × 104 | 71.50 |
| AAG/ACP | 2.24 ± 0.04 | 0.75 | −2.48 × 104 | 73.50 |
| AAG/PP | 1.34 ± 0.0.03 | 0.84 | −2.35 × 104 | 81.93 |
| ACP | PP | |||
|---|---|---|---|---|
| Binding Affinity | Binding Free Energy | Binding Affinity | Binding Free Energy | |
| HSA, site IIA | −6.3 | −17.6 | −6.5 | −12.3 |
| HSA, site IIIA | −7.7 | −20.1 | −7.7 | −18.4 |
| AAG | −8.8 | −17.0 | −9.8 | −23.3 |
| Molar Ratio HSA:dPhe:Compound | PMR Compound | |
|---|---|---|
| ACP | PP | |
| 1:1:0.5 | 1.8% | 1.3% |
| 1:1:1 | 2.5% | 1.5% |
| 1:1:4 | 4.8% | 1.6% |
| 1:1:5 | 5.5% | 3.2% |
| 1:1:10 | 12.1% | 6.7% |
| Molar Ratio AAG:QR:Compound | ||
| 1:1:0.5 | 15.4% | 13.0% |
| 1:1:1 | 28.1% | 20.1% |
| 1:1:2 | 42.6% | 29.2% |
| 1:1:3 | 51.6% | 35.3% |
| 1:1:4 | 59.0% | 41.1% |
| 1:1:5 | 62.2% | 44.1% |
| 1:1:7 | 66.0% | 46.4% |
| 1:1:9 | 68.0% | 48.7% |
| 1:1:11 | 70.1% | 50.4% |
| 1:1:13 | 71.6% | 52.7% |
| 1:1:15 | 71.9% | 53.7% |
| HSA:Analyzed Ligand Molar Ratio | % α-Helix | % β-Sheet | % β-Turn | % Other |
|---|---|---|---|---|
| ACP | ||||
| 1:0 | 64.8% | 1.5% | 9.7% | 24.0% |
| 1:0.5 | 64.2% | 1.8% | 9.7% | 24.2% |
| 1:1 | 64.1% | 2.2% | 9.7% | 23.9% |
| 1:2 | 63.9% | 2.2% | 9.7% | 24.2% |
| 1:3 | 63.9% | 2.2% | 9.7% | 24.2% |
| 1:5 | 63.9% | 3.0% | 9.6% | 23.5% |
| PP | ||||
| 1:0 | 65.7% | 0.5% | 9.7% | 24.1% |
| 1:0.5 | 65.7% | 1.1% | 9.6% | 23.6% |
| 1:1 | 65.6% | 1.3% | 9.6% | 23.5% |
| 1:2 | 65.4% | 1.1% | 9.6% | 23.8% |
| 1:3 | 65.7% | 1.9% | 9.5% | 22.9% |
| 1:5 | 65.4% | 1.6% | 9.6% | 23.4% |
| AAG:Analyzed Ligand Molar Ratio | % α-Helix | % β-Sheet | % β-Turn | % Other |
|---|---|---|---|---|
| ACP | ||||
| 1:0 | 20.6% | 36.0% | 10.7% | 32.7% |
| 1:0.5 | 20.5% | 35.8% | 10.8% | 32.9% |
| 1:1 | 20.6% | 35.5% | 10.9% | 33.0% |
| 1:2 | 20.7% | 36.3% | 10.7% | 32.3% |
| 1:3 | 20.7% | 35.8% | 10.8% | 32.7% |
| 1:5 | 20.5% | 35.5% | 10.8% | 33.1% |
| PP | ||||
| 1:0 | 20.7% | 35.6% | 10.8% | 32.9% |
| 1:0.5 | 20.7% | 36.0% | 10.8% | 32.6% |
| 1:1 | 20.7% | 36.1% | 10.8% | 32.4% |
| 1:2 | 20.3% | 35.8% | 10.9% | 33.0% |
| 1:3 | 20.4% | 35.8% | 10.8% | 33.0% |
| 1:5 | 20.5% | 35.9% | 10.8% | 32.8% |
Disclaimer/Publisher’s Note: The statements, opinions and data contained in all publications are solely those of the individual author(s) and contributor(s) and not of MDPI and/or the editor(s). MDPI and/or the editor(s) disclaim responsibility for any injury to people or property resulting from any ideas, methods, instructions or products referred to in the content. |
© 2024 by the authors. Licensee MDPI, Basel, Switzerland. This article is an open access article distributed under the terms and conditions of the Creative Commons Attribution (CC BY) license (https://creativecommons.org/licenses/by/4.0/).
Share and Cite
Marciniak, A.; Kotynia, A.; Krzyżak, E.; Czyżnikowska, Ż.; Zielińska, S.; Kozłowska, W.; Białas, M.; Matkowski, A.; Jezierska-Domaradzka, A. Protopine and Allocryptopine Interactions with Plasma Proteins. Int. J. Mol. Sci. 2024, 25, 5398. https://doi.org/10.3390/ijms25105398
Marciniak A, Kotynia A, Krzyżak E, Czyżnikowska Ż, Zielińska S, Kozłowska W, Białas M, Matkowski A, Jezierska-Domaradzka A. Protopine and Allocryptopine Interactions with Plasma Proteins. International Journal of Molecular Sciences. 2024; 25(10):5398. https://doi.org/10.3390/ijms25105398
Chicago/Turabian StyleMarciniak, Aleksandra, Aleksandra Kotynia, Edward Krzyżak, Żaneta Czyżnikowska, Sylwia Zielińska, Weronika Kozłowska, Marcel Białas, Adam Matkowski, and Anna Jezierska-Domaradzka. 2024. "Protopine and Allocryptopine Interactions with Plasma Proteins" International Journal of Molecular Sciences 25, no. 10: 5398. https://doi.org/10.3390/ijms25105398
APA StyleMarciniak, A., Kotynia, A., Krzyżak, E., Czyżnikowska, Ż., Zielińska, S., Kozłowska, W., Białas, M., Matkowski, A., & Jezierska-Domaradzka, A. (2024). Protopine and Allocryptopine Interactions with Plasma Proteins. International Journal of Molecular Sciences, 25(10), 5398. https://doi.org/10.3390/ijms25105398

