Dissecting CYP1A2 Activation by Arylalkanoic Acid Prodrugs toward the Development of Anti-Inflammatory Agents
Abstract
:1. Introduction
2. Results and Discussion
2.1. Arylakanoic Acid Prodrugs
2.2. The Binding Site of CYP1A2
2.3. Nabumetone
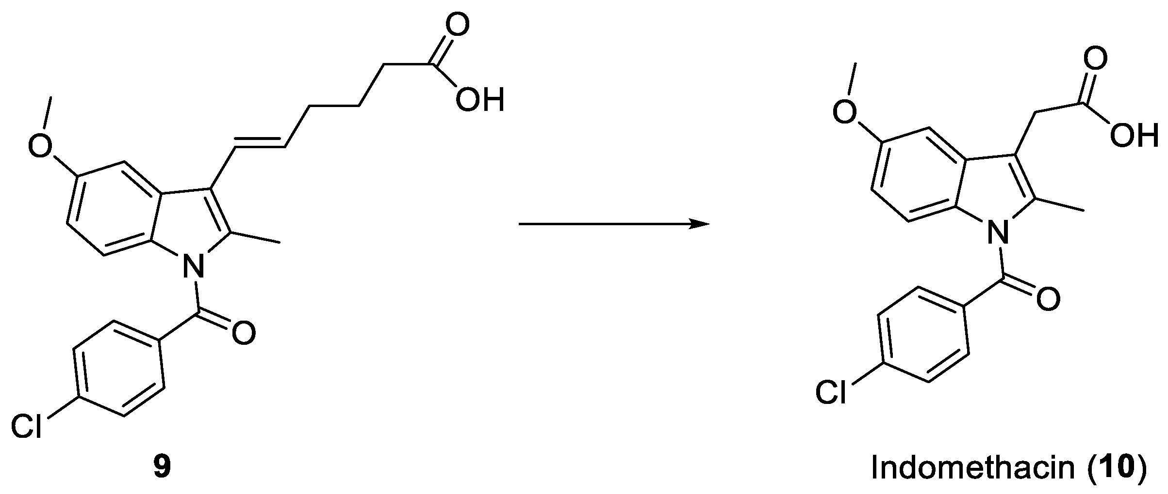
2.4. Fenbufen and Analogues
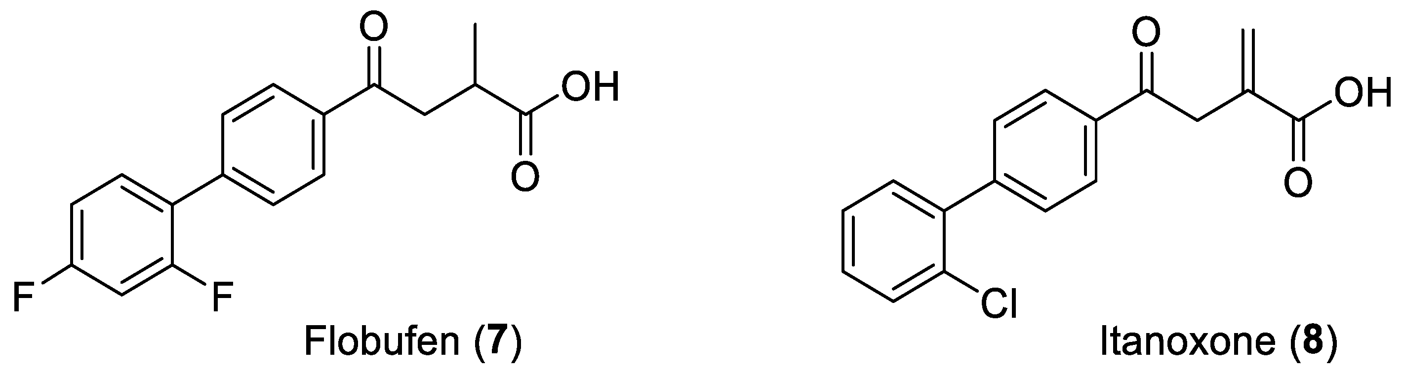
2.5. Flobufen and Analogues
2.6. Hexanoic Acids
2.7. Summary of the Assessment of the Binding Affinity
3. Methods
4. Conclusions
Author Contributions
Funding
Data Availability Statement
Conflicts of Interest
References
- Zhang, M.; Xia, F.; Xia, S.; Zhou, W.; Zhang, Y.; Han, X.; Zhao, K.; Feng, L.; Dong, R.; Tian, D.; et al. NSAID-Associated Small Intestinal Injury: An Overview from Animal Model Development to Pathogenesis, Treatment, and Prevention. Front. Pharmacol. 2022, 13, 818877. [Google Scholar] [CrossRef] [PubMed]
- Martínez-Ramos, S.; Rafael-Vidal, C.; Pego-Reigosa, J.M.; García, S. Monocytes and Macrophages in Spondyloarthritis: Functional Roles and Effects of Current Therapies. Cells 2022, 11, 515. [Google Scholar] [CrossRef] [PubMed]
- Jara-Gutiérrez, Á.; Baladrón, V. The Role of Prostaglandins in Different Types of Cancer. Cells 2021, 10, 1487. [Google Scholar] [CrossRef] [PubMed]
- Shah, K.; Gupta, J.K.; Chauhan, N.S.; Upmanyu, N.; Shrivastava, S.K.; Mishra, P. Prodrugs of NSAIDs: A Review. Open Med. Chem. J. 2017, 11, 146–195. [Google Scholar] [CrossRef] [PubMed]
- Qandil, A.M. Prodrugs of Nonsteroidal Anti-Inflammatory Drugs (NSAIDs), More than Meets the Eye: A Critical Review. Int. J. Mol. Sci. 2012, 13, 17244–17274. [Google Scholar] [CrossRef] [PubMed]
- Hedner, T.; Samulesson, O.; Währborg, P.; Wadenvik, H.; Ung, K.A.; Ekbom, A. Nabumetone: Therapeutic Use and Safety Profile in the Management of Osteoarthritis and Rheumatoid Arthritis. Drugs 2004, 64, 2315–2343. [Google Scholar] [CrossRef] [PubMed]
- Sloboda, A.E.; Tolman, E.L.; Osterberg, A.C.; Panagides, J. The Pharmacological Properties of Fenbufen. A Review. Arzneimittelforschung 1980, 30, 716–721. [Google Scholar]
- Satoh, H.; Kanno, M.; Maki, Y. A Possible Mechanism of Choleretic Action of 3-(2,4,5-Triethoxybenzoyl)-Propionic Acid (AA-149) in Dogs. Eur. J. Pharmacol. 1978, 48, 125–132. [Google Scholar] [CrossRef]
- Panajotova, V.; Anděrová, E.; Jandera, A.; Kuchař, M. Pharmacological Profile of the Novel Potent Antirheumatic 4-(2′,4′-Difluorobiphenyl-4-Yl)-2-Methyl-4-Oxobutanoic Acid. Arzneimittelforschung 1997, 47, 648–652. [Google Scholar]
- Livio, M.; Palmier, C.; Villa, S.; Maynadier, B.; Delhon, A.; Lauressergues, H.; De Gaetano, G. Differential Effects of Itanoxone—A New Hypolipidemic and Hypouricemic Drug—On Platelet and Vascular Prostaglandin Generation in Rats. Atherosclerosis 1981, 39, 469–477. [Google Scholar] [CrossRef]
- Gillard, J.W.; Bèlanger, P. Metabolic Synthesis of Arylacetic Acid Antiinflammatory Drugs from Arylhexenoic Acids. 2. Indomethacin. J. Med. Chem. 1987, 30, 2051–2058. [Google Scholar] [CrossRef] [PubMed]
- Dallegri, F.; Bertolotto, M.; Ottonello, L. A Review of the Emerging Profile of the Anti-Inflammatory Drug Oxaprozin. Expert Opin. Pharmacother. 2005, 6, 777–785. [Google Scholar] [CrossRef] [PubMed]
- Wang, B.; Zhou, S.-F. Synthetic and Natural Compounds That Interact with Human Cytochrome P450 1A2 and Implications in Drug Development. Curr. Med. Chem. 2009, 16, 4066–4218. [Google Scholar] [CrossRef] [PubMed]
- Dutkiewicz, Z.; Mikstacka, R. Structure-Based Drug Design for Cytochrome P450 Family 1 Inhibitors. Bioinorg. Chem. Appl. 2018, 2018, 3924608. [Google Scholar] [CrossRef]
- Sansen, S.; Yano, J.K.; Reynald, R.L.; Schoch, G.A.; Griffin, K.J.; Stout, C.D.; Johnson, E.F. Adaptations for the Oxidation of Polycyclic Aromatic Hydrocarbons Exhibited by the Structure of Human P450 1A2. J. Biol. Chem. 2007, 282, 14348–14355. [Google Scholar] [CrossRef] [PubMed]
- Varfaj, F.; Zulkifli, S.N.A.; Park, H.G.; Challinor, V.L.; De Voss, J.J.; De Montellano, P.R.O. Carbon-Carbon Bond Cleavage in Activation of the Prodrug Nabumetone. Drug Metab. Dispos. 2014, 42, 828–838. [Google Scholar] [CrossRef] [PubMed]
- Lake, W.; Rose, C.J. Anti-Inflammatory Pharmaceutical Composition. British Patent 1474377, 25 May 1997. [Google Scholar]
- Goudie, A.C.; Gaster, L.M.; Lake, A.W.; Rose, C.J.; Freeman, P.C.; Hughes, B.O.; Miller, D. 4-(6-Methoxy-2-Naphthyl)Butan-2-One and Related Analogues, a Novel Structural Class of Antiinflammatory Compounds. J. Med. Chem. 1978, 21, 1260–1264. [Google Scholar] [CrossRef]
- Guo, Y.; Lee, H.; Jeong, H. Gut Microbiota in Reductive Drug Metabolism. Prog. Mol. Biol. Transl Sci. 2020, 171, 61–93. [Google Scholar] [CrossRef]
- Grande, F.; Giordano, F.; Occhiuzzi, M.A.; Rocca, C.; Ioele, G.; De Luca, M.; Ragno, G.; Panno, M.L.; Rizzuti, B.; Garofalo, A. Toward Multitasking Pharmacological COX-Targeting Agents: Non-Steroidal Anti-Inflammatory Prodrugs with Antiproliferative Effects. Molecules 2021, 26, 3940. [Google Scholar] [CrossRef]
- Turpeinen, M.; Hofmann, U.; Klein, K.; Murdter, T.; Schwab, M.; Zanger, U.M. A Predominate Role of CYP1A2 for the Metabolism of Nabumetone to the Active Metabolite, 6-Methoxy-2-Naphthylacetic Acid, in Human Liver Microsomes. Drug Metab. Dispos. 2009, 37, 1017–1024. [Google Scholar] [CrossRef]
- Grande, F.; Ragno, G.; Muzzalupo, R.; Occhiuzzi, M.A.; Mazzotta, E.; De Luca, M.; Garofalo, A.; Ioele, G. Gel Formulation of Nabumetone and a Newly Synthesized Analog: Microemulsion as a Photoprotective Topical Delivery System. Pharmaceutics 2020, 12, 423. [Google Scholar] [CrossRef]
- Anand, H.; Pandit, S.P.; Jaywant, R.J. Formulation and evaluation of solid dispersion of nabumetone and development of topical drug delivery. Int. J. Res. Pharm. Nano Sci. 2016, 5, 271–282. [Google Scholar]
- Jagdale, S.C.; Deore, G.K.; Chabukswar, A.R. Development of Microemulsion Based Nabumetone Transdermal Delivery for Treatment of Arthritis. Recent Pat. Drug Deliv. Formul. 2018, 12, 130–149. [Google Scholar] [CrossRef] [PubMed]
- Child, R.G.; Osterberg, A.C.; Sloboda, A.E.; Tomcufcik, A.S. Fenbufen, a New Anti-Inflammatory Analgesic: Synthesis and Structure-Activity Relationships of Analogs. J. Pharm. Sci. 1977, 66, 466–476. [Google Scholar] [CrossRef] [PubMed]
- Hosie, G.; Bird, H. The Topical NSAID Felbinac versus Oral NSAIDS: A Critical Review. Eur. J. Rheumatol. Inflamm. 1994, 14, 21–28. [Google Scholar] [PubMed]
- Farn, S.S.; Lai, Y.B.; Hua, K.F.; Chen, H.P.; Yu, T.Y.; Lo, S.N.; Shen, L.H.; Sheu, R.J.; Yu, C.S. Antiinflammation Derived Suzuki-Coupled Fenbufens as COX-2 Inhibitors: Minilibrary Construction and Bioassay. Molecules 2022, 27, 2850. [Google Scholar] [CrossRef] [PubMed]
- Purchase, C.; Roth, B.; Schielke, G.; Walker, L.; White, A. Biphenyl Butyric Acids and Their Derivatives as Inhibitors of Matrix Metalloproteinases. US Patent US-2001000513-A1, 26 April 2001. [Google Scholar]
- Cuisinaud, G.; Legheand, J.; Llorca, G.; Belkahia, C.; Lejeune, E.; Sassard, J. Pharmacokinetics of Fenbufen in Man. Eur. J. Clin. Pharmacol. 1979, 16, 59–61. [Google Scholar] [CrossRef]
- Siluveru, M.; Stewart, J.T. Determination of Fenbufen and Its Metabolites in Serum by Reversed-Phase High-Performance Liquid Chromatography Using Solid-Phase Extraction and on-Line Post-Column Ultraviolet Irradiation and Fluorescence Detection. J. Chromatogr. B Biomed. Appl. 1996, 682, 89–94. [Google Scholar] [CrossRef]
- Martel, R.R.; Rochefort, J.G.; Klicius, J.; Dobson, T.A. Anti-Inflammatory Properties of Furobufen. Can. J. Physiol. Pharmacol. 1974, 52, 669–673. [Google Scholar] [CrossRef]
- Cayen, M.N.; Kraml, M.; Robinson, W.T.; Dvornik, D. Disposition of Furobufen in Mice, Rats, Dogs, and Man. Drug Metab. Dispos. 1981, 9, 119–124. [Google Scholar]
- Krausz, F.; Breliere, J.C.; Vaillant, J.; Brunaud, M.; Navarro, J. A New Nonsteroidal Anti-Inflammatory Agent: Bucloxic Acid (804 CB). Arzneimittelforschung 1974, 24, 1364–1367. [Google Scholar] [PubMed]
- Satoh, H.; Inada, I.; Maki, Y. Relaxing action of trepibutone (aa-149) on the isolated sphincter of oddi and small intestine of rabbits. Jpn. J. Pharmacol. 1981, 31, 587–592. [Google Scholar] [CrossRef]
- Sun, Z.; Yang, J.; Liu, L.; Xu, Y.; Zhou, L.; Jia, Q.; Shi, Y.; Du, X.; Kang, J.; Zuo, L. Pharmacokinetics and Metabolite Profiling of Trepibutone in Rats Using Ultra-High Performance Liquid Chromatography Combined With Hybrid Quadrupole-Orbitrap and Triple Quadrupole Mass Spectrometers. Front. Pharmacol. 2019, 10, 1266. [Google Scholar] [CrossRef] [PubMed]
- Symonds, H.W. The Choleretic Effect of Menbutone and Clanobutin Sodium in Steers. Vet. Rec. 1982, 110, 423–425. [Google Scholar] [CrossRef] [PubMed]
- Diez, R.; Diez, M.J.; Garcia, J.J.; Rodriguez, J.M.; Lopez, C.; Fernandez, N.; Sierra, M.; Sahagun, A.M. Pharmacokinetics of Menbutone after Intravenous and Intramuscular Administration to Sheep. Front. Vet. Sci. 2022, 9, 1200. [Google Scholar] [CrossRef] [PubMed]
- Parker, J.W.; Grodsky, G.M.; Carbone, J.V. A Study of the Metabolites of Florantyrone. Gastroenterology 1961, 41, 563–567. [Google Scholar] [CrossRef] [PubMed]
- Kuchař, M.; Poppová, M.; Zůnová, H.; Knězová, E.; Vosátka, V.; Příhoda, M. 4-(2′,4′-Difluorobiphenyl-4-Yl)-2-Methyl-4-Oxobutanoic Acid and Its Derivatives. Collect. Czechoslov. Chem. Commun. 1994, 59, 2705–2713. [Google Scholar] [CrossRef]
- Zheng, S.; Zhang, T.; Maekawa, H. Magnesium-Promoted Reductive Carboxylation of Aryl Vinyl Ketones: Synthesis of γ-Keto Carboxylic Acids. J. Org. Chem. 2022, 87, 7342–7349. [Google Scholar] [CrossRef]
- Kvasnicková, E.; Szotáková, B.; Wsól, V.; Trejtnar, F.; Skálová, L.; Hais, I.M.; Kuchar, M.; Poppová, M. Metabolic Pathways of Flobufen-a New Antirheumatic and Antiarthritic Drug. Interspecies Comparison. Exp. Toxicol. Pathol. 1999, 51, 352–356. [Google Scholar] [CrossRef]
- Chanal, J.; Audran, M.; Bret, M.; Cousse, H.; Fauran, F.; Rieu, J. Comparison of the Metabolism and Pharmacokinetics of Metbufen and Itanoxone and Their Analogues in Rats. Arzneimittelforschung 1988, 10, 1454–1460. [Google Scholar]
- Sieglitz, A. Verfahren zur Herstellung von 1-Oxynaphthalin-3-Carbonsaeuren und Ihren Abkoemmlingen. European Patent DE1083276B, 3 December 1987. [Google Scholar]
- Lautier, J.; Chanal, J.L.; Delhon, A. Pharmacokinetic and Metabolic Study of Itanoxone in the Crab Pachygrapsus Marmoratus (Decapoda, Brachyura): Comparative Study with Clofibric Acid. Comp. Biochem. Physiol. Part C Comp. Pharmacol. 1986, 83, 143–147. [Google Scholar] [CrossRef] [PubMed]
- Abouzid, K.; Frohberg, P.; Lehmann, J.; Decker, M. 6-Aryl-4-Oxohexanoic Acids: Synthesis, Effects on Eicosanoid Biosynthesis, and Anti-Inflammatory In Vivo-Activities. Med. Chem. 2007, 3, 433–438. [Google Scholar] [CrossRef] [PubMed]
- Bissantz, C.; Kuhn, B.; Stahl, M. A medicinal chemist’s guide to molecular interactions. J. Med. Chem. 2010, 53, 5061–5084. [Google Scholar] [CrossRef] [PubMed]
- Rizzuti, B.; Grande, F. Virtual screening in drug discovery: A precious tool for a still-demanding challenge. In Protein Homeostasis Diseases; Elsevier BV: Amsterdam, The Netherlands, 2020; pp. 309–327. [Google Scholar] [CrossRef]
- Mateev, E.; Balkanska-Mitkova, A.; Peikova, L.; Dimitrova, M.; Kondeva-Burdina, M. In vitro and in silico inhibition performance of choline against CYP1A2, CYP2D6 and CYP3A4. Biotechnol. Biotechnol. Equip. 2022, 36, 925–932. [Google Scholar] [CrossRef]
- Mosa, F.E.S.; El-Kadi, A.O.S.; Barakat, K. In-depth analysis of the interactions of various aryl hydrocarbon receptor ligands from a computational perspective. J. Mol. Graph. Model 2023, 118, 108339. [Google Scholar] [CrossRef]
- Angelov, B.; Mateev, E.; Georgieva, M.; Tzankova, V.; Kondeva-Burdina, M. In vitro effects and in silico analysis of newly synthetized pyrrole derivatives on the activity of different isoforms of Cytochrome P450: CYP1A2, CYP2D6 and CYP3A4. Pharmacia 2022, 69, 1013–1017. [Google Scholar] [CrossRef]
- Mermer, A.; Vakal, S. Pyrazine-chromene-3-carbohydrazide conjugates: Molecular docking and ADMET predictions on dual-acting compounds against SARS-CoV-2 Mpro and RdRp. J. Res. Pharm. 2021, 25, 953–966. [Google Scholar] [CrossRef]
- Bonomo, S.; Jørgensen, F.S.; Olsen, L. Dissecting the Cytochrome P450 1A2- and 3A4-Mediated Metabolism of Aflatoxin B1 in Ligand and Protein Contributions. Chemistry 2017, 23, 2884–2893. [Google Scholar] [CrossRef]
- Shimada, T.; Yamazaki, H.; Foroozesh, M.; Hopkins, N.E.; Alworth, W.L.; Guengerich, F.P. Selectivity of Polycyclic Inhibitors for Human Cytochrome P450s 1A1, 1A2, and 1B1. Chem. Res. Toxicol. 1998, 11, 1048–1056. [Google Scholar] [CrossRef]
- Lappano, R.; Mallet, C.; Rizzuti, B.; Grande, F.; Galli, G.R.A.; Byrne, C.; Broutin, I.; Boudieu, L.; Eschalier, A.; Jacquot, Y.; et al. The Peptide ERα17p Is a GPER Inverse Agonist That Exerts Antiproliferative Effects in Breast Cancer Cells. Cells 2019, 8, 590. [Google Scholar] [CrossRef]
- Rizzuti, B.; Grande, F.; Conforti, F.; Jimenez-Alesanco, A.; Ceballos-Laita, L.; Ortega-Alarcon, D.; Vega, S.; Reyburn, H.T.; Abian, O.; Velazquez-Campoy, A. Rutin is a low micromolar inhibitor of SARS-CoV-2 main protease 3CLpro: Implications for drug design of quercetin analogs. Biomedicines 2021, 9, 375. [Google Scholar] [CrossRef] [PubMed]
- Rizzuti, B.; Ceballos-Laita, L.; Ortega-Alarcon, D.; Jimenez-Alesanco, A.; Vega, S.; Grande, F.; Conforti, F.; Abian, O.; Velazquez-Campoy, A. Sub-micromolar inhibition of SARS-CoV-2 3CLpro by natural compound. Pharmaceuticals 2021, 14, 892. [Google Scholar] [CrossRef] [PubMed]
- Hanwell, M.D.; Curtis, D.E.; Lonie, D.C.; Vandermeerschd, T.; Zurek, E.; Hutchison, G.R. Avogadro: An Advanced Semantic Chemical Editor, Visualization, and Analysis Platform. J. Cheminform. 2012, 4, 17. [Google Scholar] [CrossRef] [PubMed]
- Morris, G.M.; Goodsell, D.S.; Halliday, R.S.; Huey, R.; Hart, W.E.; Belew, R.K.; Olson, A.J. Automated Docking Using a Lamarckian Genetic Algorithm and an Empirical Binding Free Energy Function. J. Comput. Chem. 1998, 19, 1639–1662. [Google Scholar] [CrossRef]
- Trott, O.; Olson, A.J. AutoDock Vina: Improving the Speed and Accuracy of Docking with a New Scoring Function, Efficient Optimization, and Multithreading. J. Comput. Chem. 2010, 31, 455–461. [Google Scholar] [CrossRef] [PubMed]
- Grande, F.; Rizzuti, B.; Occhiuzzi, M.A.; Ioele, G.; Casacchia, T.; Gelmini, F.; Guzzi, R.; Garofalo, A.; Statti, G. Identification by Molecular Docking of Homoisoflavones from Leopoldia Comosa as Ligands of Estrogen Receptors. Molecules 2018, 23, 894. [Google Scholar] [CrossRef] [PubMed]
- Casacchia, T.; Occhiuzzi, M.A.; Grande, F.; Rizzuti, B.; Granieri, M.C.; Rocca, C.; Gattuso, A.; Garofalo, A.; Angelone, T.; Statti, G. A Pilot Study on the Nutraceutical Properties of the Citrus Hybrid Tacle® as a Dietary Source of Polyphenols for Supplementation in Metabolic Disorders. J. Funct. Foods 2019, 52, 370–381. [Google Scholar] [CrossRef]
- PyMol. The PyMol Molecular Graphics System. Available online: https://pymol.org (accessed on 15 January 2023).
- Mills, N. ChemDraw Ultra 10.0. J. Am. Chem. Soc. 2006, 128, 13649–13650. [Google Scholar] [CrossRef]











Disclaimer/Publisher’s Note: The statements, opinions and data contained in all publications are solely those of the individual author(s) and contributor(s) and not of MDPI and/or the editor(s). MDPI and/or the editor(s) disclaim responsibility for any injury to people or property resulting from any ideas, methods, instructions or products referred to in the content. |
© 2023 by the authors. Licensee MDPI, Basel, Switzerland. This article is an open access article distributed under the terms and conditions of the Creative Commons Attribution (CC BY) license (https://creativecommons.org/licenses/by/4.0/).
Share and Cite
Occhiuzzi, M.A.; Ioele, G.; De Luca, M.; Rizzuti, B.; Scordamaglia, D.; Lappano, R.; Maggiolini, M.; Garofalo, A.; Grande, F. Dissecting CYP1A2 Activation by Arylalkanoic Acid Prodrugs toward the Development of Anti-Inflammatory Agents. Int. J. Mol. Sci. 2024, 25, 435. https://doi.org/10.3390/ijms25010435
Occhiuzzi MA, Ioele G, De Luca M, Rizzuti B, Scordamaglia D, Lappano R, Maggiolini M, Garofalo A, Grande F. Dissecting CYP1A2 Activation by Arylalkanoic Acid Prodrugs toward the Development of Anti-Inflammatory Agents. International Journal of Molecular Sciences. 2024; 25(1):435. https://doi.org/10.3390/ijms25010435
Chicago/Turabian StyleOcchiuzzi, Maria Antonietta, Giuseppina Ioele, Michele De Luca, Bruno Rizzuti, Domenica Scordamaglia, Rosamaria Lappano, Marcello Maggiolini, Antonio Garofalo, and Fedora Grande. 2024. "Dissecting CYP1A2 Activation by Arylalkanoic Acid Prodrugs toward the Development of Anti-Inflammatory Agents" International Journal of Molecular Sciences 25, no. 1: 435. https://doi.org/10.3390/ijms25010435
APA StyleOcchiuzzi, M. A., Ioele, G., De Luca, M., Rizzuti, B., Scordamaglia, D., Lappano, R., Maggiolini, M., Garofalo, A., & Grande, F. (2024). Dissecting CYP1A2 Activation by Arylalkanoic Acid Prodrugs toward the Development of Anti-Inflammatory Agents. International Journal of Molecular Sciences, 25(1), 435. https://doi.org/10.3390/ijms25010435

