Impact of Novel Active Layer-by-Layer Edible Coating on the Qualitative and Biochemical Traits of Minimally Processed ‘Annurca Rossa del Sud’ Apple Fruit
Abstract
1. Introduction
2. Results and Discussions
2.1. Physicochemical Traits
2.2. Secondary Metabolite Content

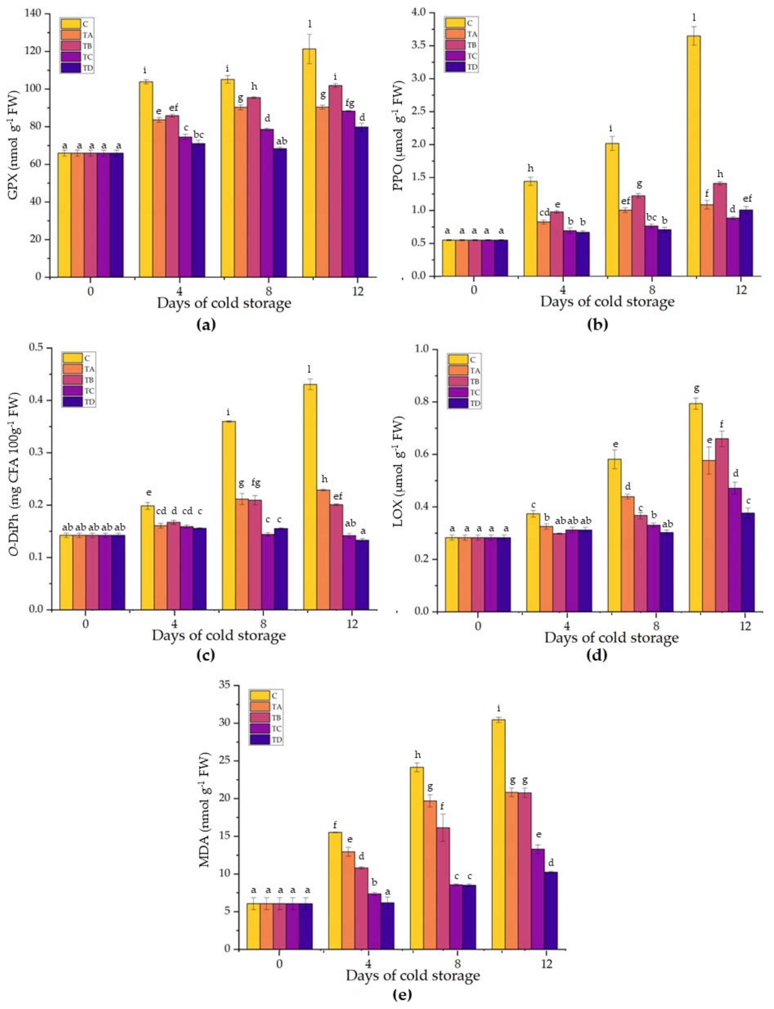
2.3. Antioxidant Enzymes


2.4. Enzymatic Browning and Oxidative Damage


2.5. Statistical Analysis

3. Materials and Methods
3.1. Fruit Sample and Experimental Design
3.2. Physicochemical Traits
3.3. Secondary Metabolites
3.4. Antioxidant Activity
3.5. Extraction for Enzymatic Activities
3.5.1. Catalase and Superoxide Dismutase Activity
3.5.2. Ascorbate–Glutathione Pathway
3.5.3. Enzymatic Browning and Markers of Oxidative Damage
3.6. Statistical Analysis
4. Conclusions
Supplementary Materials
Author Contributions
Funding
Conflicts of Interest
References
- Oyenihi, A.B.; Belay, Z.A.; Mditshwa, A.; Caleb, O.J. An apple a day keeps the doctor away: The potentials of apple bioactive constituents for chronic disease prevention. J. Food Sci. 2022, 87, 2291–2309. [Google Scholar] [CrossRef] [PubMed]
- Dhalaria, R.; Verma, R.; Kumar, D.; Puri, S.; Tapwal, A.; Kumar, V.; Nepovimova, E.; Kuca, K. Bioactive Compounds of Edible Fruits with Their Anti-Aging Properties: A Comprehensive Review to Prolong Human Life. Antioxidants 2020, 9, 1123. [Google Scholar] [CrossRef] [PubMed]
- Gorny, J.R. New opportunities for fresh-cut apples. Fresh Cut. 2003, 11, 404. [Google Scholar]
- Toivonen, P.M.; Brummell, D.A. Biochemical bases of appearance and texture changes in fresh-cut fruit and vegetables. Postharvest Biol. Technol. 2008, 48, 1–14. [Google Scholar] [CrossRef]
- Supapvanich, S.; Pimsaga, J.; Srisujan, P. Physicochemical changes in fresh-cut wax apple (Syzygium samarangenese [Blume] Merrill & LM Perry) during storage. Food Chem. 2011, 127, 912–917. [Google Scholar]
- Lu, S.; Luo, Y.; Turner, E.; Feng, H. Efficacy of sodium chlorite as an inhibitor of enzymatic browning in apple slices. Food Chem. 2007, 104, 824–829. [Google Scholar] [CrossRef]
- Friedman, M. Food browning and its prevention: An overview. J. Agric. Food Chem. 1996, 44, 631–653. [Google Scholar] [CrossRef]
- Kumarihami, H.P.C.; Kim, Y.H.; Kwack, Y.B.; Kim, J.; Kim, J.G. Application of chitosan as edible coating to enhance storability and fruit quality of Kiwifruit: A Review. Sci. Hortic. 2022, 292, 110647. [Google Scholar] [CrossRef]
- Rohasmizah, H.; Azizah, M. Pectin-based edible coatings and nanoemulsion for the preservation of fruits and vegetables: A review. Appl. Food Res. 2022, 2, 100221. [Google Scholar] [CrossRef]
- Park, H.J. Development of advanced edible coatings for fruits. Trends Food Sci. Technol. 1999, 10, 254–260. [Google Scholar] [CrossRef]
- Menezes, J.; Athmaselvi, K.A. Study on effect of pectin based edible coating on the shelf life of sapota fruits. Biosci. Biotechnol. Res. Asia 2016, 13, 1195–1199. [Google Scholar] [CrossRef]
- Kocira, A.; Kozłowicz, K.; Panasiewicz, K.; Staniak, M.; Szpunar-Krok, E.; Hortyńska, P. Polysaccharides as Edible Films and Coatings: Characteristics and Influence on Fruit and Vegetable Quality—A Review. Agronomy 2021, 11, 813. [Google Scholar] [CrossRef]
- Yildirim-Yalcin, M.; Tornuk, F.; Toker, O.S. Recent advances in the improvement of carboxymethyl cellulose-based edible films. Trends Food Sci. Technol. 2022, 129, 179–193. [Google Scholar] [CrossRef]
- Modesti, M.; Zampella, L.; Petriccione, M. Chitosan mono-and bilayer edible coatings for preserving postharvest quality of fresh fruit. In Polymers for Agri-Food Applications; Springer: Cham, Switzerland, 2019; pp. 465–486. [Google Scholar]
- Wüstenberg, T. Cellulose and Cellulose Derivatives in the Food Industry: Fundamentals and Applications; John Wiley Sons: Hoboken, NJ, USA, 2014. [Google Scholar]
- Arnon, H.; Zaitsev, Y.; Porat, R.; Poverenov, E. Effects of carboxymethyl cellulose and chitosan bilayer edible coating on postharvest quality of citrus fruit. Postharvest Biol. Technol. 2014, 87, 21–26. [Google Scholar] [CrossRef]
- Khajeh-Ali, S.; Shahidi, F.; Sedaghat, N. Evaluation of the effect of carboxy methyl cellulose edible coating containing Astragalus honey (Astragalus gossypinus) on the shelf-life of pistachio kernel. Food Control. 2022, 139, 109094. [Google Scholar] [CrossRef]
- Ali, S.; Akbar Anjum, M.; Sattar Khan, A.; Nawaz, A.; Ejaz, S.; Khaliq, G.; Iqbal, S.; Ullah, S.; Naveed Ur Rehman, R.; Moaaz Ali, M.; et al. Carboxymethyl Cellulose Coating Delays Ripening of Harvested Mango Fruits by Regulating Softening Enzymes Activities. Food Chem. 2022, 380, 131804. [Google Scholar] [CrossRef] [PubMed]
- Ali, S.; Anjum, M.A.; Ejaz, S.; Hussain, S.; Ercisli, S.; Saleem, M.S.; Sardar, H. Carboxymethyl cellulose coating delays chilling injury development and maintains eating quality of ‘Kinnow’ mandarin fruits during low temperature storage. Int. J. Biol. Macromol. 2021, 168, 77–85. [Google Scholar] [CrossRef] [PubMed]
- Zhang, Y.; Zhang, W.; Wang, H.; Shu, C.; Chen, L.; Cao, J.; Jiang, W. The combination treatment of chlorogenic acid and sodium alginate coating could accelerate the wound healing of pear fruit by promoting the metabolic pathway of phenylpropane. Food Chem. 2023, 414, 135689. [Google Scholar] [CrossRef]
- Liu, C.; Jin, T.; Liu, W.; Hao, W.; Yan, L.; Zheng, L. Effects of hydroxyethyl cellulose and sodium alginate edible coating containing asparagus waste extract on postharvest quality of strawberry fruit. LWT 2021, 148, 111770. [Google Scholar] [CrossRef]
- Gull, A.; Masoodi, F.A.; Masoodi, L.; Gani, A.; Muzaffar, S. Effect of sodium alginate coatings enriched with α-tocopherol on quality of fresh walnut kernels. Food Chem. Adv. 2023, 2, 100169. [Google Scholar] [CrossRef]
- Ruan, C.; Zhang, Y.; Wang, J.; Sun, Y.; Gao, X.; Xiong, G.; Liang, J. Preparation and Antioxidant Activity of Sodium Alginate and Carboxymethyl Cellulose Edible Films with Epigallocatechin Gallate. Int. J. Biol. Macromol. 2019, 134, 1038–1044. [Google Scholar] [CrossRef] [PubMed]
- Han, Y.; Yu, M.; Wang, L. Physical and antimicrobial properties of sodium alginate/carboxymethyl cellulose films incorporated with cinnamon essential oil. Food Packag. Shelf Life 2018, 15, 35–42. [Google Scholar] [CrossRef]
- Yinzhe, R.; Shaoying, Z. Effect of Carboxymethyl Cellulose and Alginate Coating Combined with Brewer Yeast on Postharvest Grape Preservation. ISRN Agron. 2013, 2013, 871396. [Google Scholar] [CrossRef]
- Ehteshami, S.; Abdollahi, F.; Ramezanian, A.; Dastjerdi, A.M.; Rahimzadeh, M. Enhanced chilling tolerance of pomegranate fruit by edible coatings combined with malic and oxalic acid treatments. Sci. Hortic. 2019, 250, 388–398. [Google Scholar] [CrossRef]
- Zheng, X.; Tian, S. Effect of oxalic acid on control of postharvest browning of litchi fruit. Food Chem. 2006, 96, 519–523. [Google Scholar] [CrossRef]
- Tian, S.; Wan, Y.; Qin, G.; Xu, Y. Induction of defense responses against Alternaria rot by different elicitors in harvested pear fruit. Appl. Microbiol. Biotechnol. 2005, 70, 729–734. [Google Scholar] [CrossRef] [PubMed]
- Zheng, X.; Tian, S.; Gidley, M.J.; Yue, H.; Li, B. Effects of exogenous oxalic acid on ripening and decay incidence in mango fruit during storage at room temperature. Posthar Biol. Technol. 2007, 45, 281–284. [Google Scholar] [CrossRef]
- Kayashima, T. Oxalic acid is available as a natural antioxidant in some systems. Biochim. Et. Biophys. Acta (BBA) Gen. Subj. 2002, 1573, 1–3. [Google Scholar] [CrossRef]
- Liu, K.; Liu, J.; Li, H.; Yuan, C.; Zhong, J.; Chen, Y. Influence of postharvest citric acid and chitosan coating treatment on ripening attributes and expression of cell wall related genes in cherimoya (Annona cherimola Mill.) fruit. Sci. Hortic. 2016, 198, 1–11. [Google Scholar] [CrossRef]
- Zhou, L.; Liao, T.; Liu, W.; Zou, L.; Liu, C.; Terefe, N.S. Inhibitory effects of organic acids on polyphenol oxidase: From model systems to food systems. Crit. Rev. Food Sci. Nutr. 2020, 60, 3594–3621. [Google Scholar] [CrossRef]
- Apai, W.; Sardsud, V.; Boonprasom, P.; Sardsud, U. Effects of chitosan and citric acid on pericarp browning and polyphenol oxidase activity of longan fruit. Songklanakarin J. Sci. Technol. 2009, 31, 621–628. [Google Scholar]
- Yang, C.; Lee, F.-W.; Cheng, Y.-J.; Chu, Y.-Y.; Chen, C.-N.; Kuan, Y.-C. Chitosan coating formulated with citric acid and pomelo extract retards pericarp browning and fungal decay to extend shelf life of cold-stored lychee. Sci. Hortic. 2023, 310, 111735. [Google Scholar] [CrossRef]
- Rojas-Graü, M.A.; Tapia, M.S.; Martín-Belloso, O. Using polysaccharide-based edible coatings to maintain quality of fresh-cut Fuji apples. LWT 2008, 41, 139–147. [Google Scholar] [CrossRef]
- Du, T.; Li, X.; Wang, S.; Su, Z.; Sun, H.; Wang, J.; Zhang, W. Phytochemicals-based edible coating for photodynamic preservation of fresh-cut apples. Food Res. Int. 2023, 163. [Google Scholar] [CrossRef]
- Mendes-Oliveira, G.; Gu, G.; Luo, Y.; Zografos, A.; Minas, I.; Nou, X. Edible and water-soluble corn zein coating impregnated with nisin for Listeria monocytogenes reduction on nectarines and apples. Postharvest Biol. Technol. 2021, 185, 111811. [Google Scholar] [CrossRef]
- Guo, Q.; Qing, Y.; Qiang, L.; Du, G.; Shi, K.; Tang, J.; Yan, X.; Chen, H.; Yue, Y.; He, Y.; et al. Improving microbiological and physicochemical properties of fresh-cut apples using carvacrol emulsions. Food Biosci. 2023, 52, 102450. [Google Scholar] [CrossRef]
- Yang, Z.; Li, C.; Wang, T.; Li, Z.; Zou, X.; Huang, X.; Zhai, X.; Shi, J.; Shen, T.; Gong, Y.; et al. Novel gellan gum-based probiotic film with enhanced biological activity and probiotic viability: Application for fresh-cut apples and potatoes. Int. J. Biol. Macromol. 2023, 239, 124128. [Google Scholar] [CrossRef]
- Hu, W.; Sarengaowa Guan, Y.; Feng, K. Biosynthesis of Phenolic Compounds and Antioxidant Activity in Fresh-Cut Fruits and Vegetables. Front. Microbiol. 2022, 25, 906069. [Google Scholar] [CrossRef]
- Manzoor, S.; Gull, A.; Wani, S.M.; Ganaie, T.A.; Masoodi, F.A.; Bashir, K.; Malik, A.R.; Dar, B.N. Improving the Shelf Life of Fresh Cut Kiwi Using Nanoemulsion Coatings with Antioxidant and Antimicrobial Agents. Food Biosci. 2021, 41, 101015. [Google Scholar] [CrossRef]
- Maringgal, B.; Hashim, N.; Tawakkal, I.S.M.A.; Mohamed, M.T.M. Recent advance in edible coating and its effect on fresh/fresh-cut fruits quality. Trends Food Sci. Technol. 2020, 96, 253–267. [Google Scholar] [CrossRef]
- Magri, A.; Cice, D.; Capriolo, G.; Petriccione, M. Effects of Ascorbic Acid and Melatonin Treatments on Antioxidant System in Fresh-Cut Avocado Fruits During Cold Storage. Food Bioprocess Technol. 2022, 15, 2468–2482. [Google Scholar] [CrossRef]
- Wong, C.H.; Mak, I.E.K.; Li, D. Bilayer Edible Coating with Stabilized Lactobacillus Plantarum 299v Improved the Shelf Life and Safety Quality of Fresh-Cut Apple Slices. Food Packag. Shelf Life 2021, 30, 100746. [Google Scholar] [CrossRef]
- Nicolau-Lapeña, I.; Aguiló-Aguayo, I.; Kramer, B.; Abadias, M.; Viñas, I.; Muranyi, P. Combination of Ferulic Acid with Aloe Vera Gel or Alginate Coatings for Shelf-Life Prolongation of Fresh-Cut Apples. Food Packag. Shelf Life 2021, 27, 100620. [Google Scholar] [CrossRef]
- Harker, F.R.; Marsh, K.B.; Young, H.; Murray, S.H.; Gunson, F.A.; Walker, S.B. Sensory interpretation of instrumental measurements 2: Sweet and acid taste of apple fruit. Postharvest Biol. Technol. 2002, 24, 241. [Google Scholar] [CrossRef]
- Cofelice, M.; Lopez, F.; Cuomo, F. Quality control of fresh-cut apples after coating application. Foods 2019, 8, 189. [Google Scholar] [CrossRef]
- Naqash, F.; Masoodi, F.A.; Ayob, O.; Parvez, S. Effect of active pectin edible coatings on the safety and quality of fresh-cut apple. Int. J. Food Sci. Technol. 2021, 57, 57–66. [Google Scholar] [CrossRef]
- Pérez-López, U.; Sgherri, C.; Miranda-Apodaca, J.; Micaelli, F.; Lacuesta, M.; Mena-Petite, A. Concentration of phenolic compounds is increased in lettuce grown under high light intensity and elevated CO2. Physiol. Biochem. 2018, 123, 233–241. [Google Scholar]
- Gomes-Rochette, N.F.; Da Silveira Vasconcelos, M.; Nabavi, S.M.; Mota, E.F.; Nunes-Pinheiro, D.C.S.; Daglia, M. Fruit as potent natural antioxidants and their biological effects. Curr. Pharm. Biotechnol. 2016, 17, 986–993. [Google Scholar] [CrossRef]
- Amodio, M.L.; Derossi, A.; Colelli, G. Modeling phenolic content during storage of cut fruit and vegetables: A consecutive reaction mechanism. J. Food Eng. 2014, 140, 1–8. [Google Scholar] [CrossRef]
- Torres-Contreras, A.M.; Nair, V.; Cisneros-Zevallos, L.; Jacobo-Velázquez, D.A. Stability of bioactive compounds in broccoli as affected by cutting styles and storage time. Molecules 2017, 22, 636. [Google Scholar] [CrossRef]
- Reyes, L.F.; Villarreal, J.E.; Cisneros-Zevallos, L. The increase in antioxidant capacity after wounding depends on the type of fruit or vegetable tissue. Food Chem. 2007, 101, 1254–1262. [Google Scholar] [CrossRef]
- D’Abrosca, B.; Scognamiglio, M.; Corrado, L.; Chiocchio, I.; Zampella, L.; Mastrobuoni, F.; Petriccione, M. Evaluation of different training systems on Annurca apple fruits revealed by agronomical, qualitative, and NMR-based metabolomic approaches. Food Chem. 2017, 222, 18–27. [Google Scholar] [CrossRef] [PubMed]
- Suza, W.P.; Avila, C.A.; Carruthers, K.; Kulkarni, S.; Goggin, F.L.; Lorence, A. Exploring the impact of wounding and jasmonates on ascorbate metabolism. Plant. Physiol. Biochem. 2010, 48, 337–350. [Google Scholar] [CrossRef] [PubMed]
- Yousuf, B.; Qadri, O.S. Preservation of Fresh-Cut Fruits, and Vegetables by Edible Coatings. In Fresh-Cut Fruits and Vegetables: Technologies and Mechanisms for Safety Control; Siddiqui, M.W., Ed.; Academic Press: Cambridge, MA, USA, 2020. [Google Scholar]
- Huang, D.; Ou, B.; Prior, R.L. The chemistry behind antioxidant capacity assays. J. Agric. Food Chem. 2005, 53, 1841–1856. [Google Scholar] [CrossRef]
- Surjadinata, B.B.; Cisneros-Zevallos, L. Biosynthesis of phenolic antioxidants in carrot tissue increases with wounding intensity. Food Chem. 2012, 134, 615–624. [Google Scholar] [CrossRef]
- Berno, N.D.; Tezotto-Uliana, J.V.; Santos Dias, C.T.; Kluge, R.A. Storage temperature and type of cut affect the biochemical and physiological characteristics of fresh-cut purple onions. Postharvest Biol. Technol. 2014, 93, 91–96. [Google Scholar] [CrossRef]
- Torres-Contreras, A.M.; Nair, V.; Cisneros-Zevallos, L.; Jacobo-Velaìzquez, D.A. Plants as biofactories: Stress-induced production of chlorogenic acid isomers in potato tubers as affected by wounding intensity and storage time. Ind. Crops Prod. 2014, 62, 61–66. [Google Scholar] [CrossRef]
- Li, X.; Long, Q.; Gao, F.; Han, C.; Jin, P.; Zheng, Y. Effect of Cutting Styles on Quality and Antioxidant Activity in Fresh-Cut Pitaya Fruit. Postharvest Biol. Technol. 2017, 124, 1–7. [Google Scholar] [CrossRef]
- Guan, Y.G.; Hu, W.Z.; Jiang, A.L.; Xu, Y.P.; Zhao, M.R.; Yu, J.X.; Ji, Y.; Yang, X.; Feng, K. The effect of cutting style on the biosynthesis of phenolics and cellular antioxidant capacity in wounded broccoli. Food Res. Int. 2020, 137, 109565. [Google Scholar] [CrossRef]
- Decros, G.; Baldet, P.; Beauvoit, B.; Stevens, R.; Flandin, A.; Colombié, S.; Gibon, Y.; Pétriacq, P. Get the Balance Right: ROS Homeostasis and Redox Signalling in Fruit. Front. Plant. Sci. 2019, 10, 1091. [Google Scholar] [CrossRef]
- Li, B.; Li, M.; Liu, J.; Sun, W.; Min, D.; Li, F.; Li, X. Methyl salicylate pretreatment maintains quality and antioxidant capacity of fresh-cut pitaya fruit by modulating phenylpropanoid metabolism and antioxidant system. Sci. Hortic. 2023, 309, 111705. [Google Scholar] [CrossRef]
- Kou, X.-H.; Guo, W.-l.; Guo, R.-z.; Li, X.-y.; Xue, Z.-h. Hui Effects of Chitosan, Calcium Chloride, and Pullulan Coating Treatments on Antioxidant Activity in Pear Cv. “Huang Guan” during Storage. Food Bioprocess Technol. 2014, 7, 671–681. [Google Scholar] [CrossRef]
- Hasanuzzaman, M.; Borhannuddin Bhuyan, M.H.M.; Anee, T.I.; Parvin, K.; Nahar, K.; Al Mahmud, J.; Fujita, M. Regulation of Ascorbate-Glutathione Pathway in Mitigating Oxidative Damage in Plants under Abiotic Stress. Antioxidants 2019, 8, 384. [Google Scholar] [CrossRef] [PubMed]
- Wang, Y.; Zhang, J.; Wang, D.; Wang, X.; Zhang, F.; Chang, D.; You, C.; Zhang, S.; Wang, X. Effects of cellulose nanofibrils treatment on antioxidant properties and aroma of fresh-cut apples. Food Chem. 2023, 415, 135797. [Google Scholar] [CrossRef] [PubMed]
- Yu, K.; Zhou, L.; Xu, J.; Jiang, F.; Zhong, Z.; Zou, L.; Liu, W. Carboxymethyl Cellulose-Based Water Barrier Coating Regulated Postharvest Quality and ROS Metabolism of Pakchoi (Brassica Chinensis L.). Postharvest Biol. Technol. 2022, 185, 111804. [Google Scholar] [CrossRef]
- Zhao, H.; Fan, Z.; Wu, J.; Zhu, S. Effects of Pre-Treatment with S-Nitrosoglutathione-Chitosan Nanoparticles on Quality and Antioxidant Systems of Fresh-Cut Apple Slices. LWT 2021, 139, 110565. [Google Scholar] [CrossRef]
- Ackah, S.; Bi, Y.; Xue, S.; Yakubu, S.; Han, Y.; Zong, Y.; Atuna, R.A.; Prusky, D. Post-harvest chitosan treatment suppresses oxidative stress by regulating reactive oxygen species metabolism in wounded apples. Front. Plant. Sci. 2022, 13, 959762. [Google Scholar] [CrossRef]
- Jiang, Y.; Duan, X.; Qu, H.; Zheng, S. Browning: Enzymatic Browning. In Encyclopedia of Food and Health; Caballero, B., Finglas, P.M., Toldrá, F., Eds.; Academic Press: Cambridge, MA, USA, 2015. [Google Scholar]
- Sarpong, F.; Oteng-Darko, P.; Golly, M.K.; Amenorfe, L.P.; Rashid, M.T.; Zhou, C. Comparative Study of Enzymes Inactivation and Browning Pigmentation of Apple (Malus Domestica) Slices by Selected Gums during Low Temperature Storage. J. Food Biochem. 2018, 42, e12681. [Google Scholar] [CrossRef]
- Karagöz, Ş.; Demirdöven, A. Effect of Chitosan Coatings with and without Stevia Rebaudiana and Modified Atmosphere Packaging on Quality of Cold Stored Fresh-Cut Apples. LWT 2019, 108, 332–337. [Google Scholar] [CrossRef]
- Pilon, L.; Spricigo, P.C.; Miranda, M.; de Moura, M.R.; Assis, O.B.G.; Mattoso, L.H.C.; Ferreira, M.D. Chitosan Nanoparticle Coatings Reduce Microbial Growth on Fresh-Cut Apples While Not Affecting Quality Attributes. Int. J. Food Sci. Technol. 2015, 50, 440–448. [Google Scholar] [CrossRef]
- Laudert, D.; Pfannschmidt, U.; Lottspeich, F.; Holländer-Czytko, H.; Weiler, E.W. Cloning, molecular and functional characterization of Arabidopsis thaliana allene oxide synthase (CYP 74), the first enzyme of the octadecanoid pathway to jasmonates. Plant. Mol. Biol. 1996, 31, 323–335. [Google Scholar] [CrossRef] [PubMed]
- Hildebrand, D.F. Lipoxygenases. Physiol. Plant. 1989, 76, 249–253. [Google Scholar] [CrossRef]
- Albornoz, K.; Cantwell, M.I.; Zhang, L.; Beckles, D.M. Integrative analysis of postharvest chilling injury in cherry tomato fruit reveals contrapuntal spatio-temporal responses to ripening and cold stress. Sci. Rep. 2019, 9, 2795. [Google Scholar] [CrossRef] [PubMed]
- Ali, S.; Akbar Anjum, M.; Nawaz, A.; Naz, S.; Ejaz, S.; Shahzad Saleem, M.; Tul-Ain Haider, S.; Ul Hasan, M. Effect of Gum Arabic Coating on Antioxidative Enzyme Activities and Quality of Apricot (Prunus armeniaca L.) Fruit during Ambient Storage. J. Food Biochem. 2021, 45, 13656. [Google Scholar] [CrossRef] [PubMed]
- Saleem, M.S.; Ejaz, S.; Anjum, M.A.; Nawaz, A.; Naz, S.; Hussain, S.; Ali, S.; Canan, İ. Postharvest Application of Gum Arabic Edible Coating Delays Ripening and Maintains Quality of Persimmon Fruits during Storage. J. Food Process. Preserv. 2020, 44, 14583. [Google Scholar] [CrossRef]
- Dong, F.; Wang, X. Guar Gum and Ginseng Extract Coatings Maintain the Quality of Sweet Cherry. LWT-Food Sci. Technol. 2018, 89, 117–122. [Google Scholar] [CrossRef]
- Shao, X.F.; Tu, K.; Tu, S.; Tu, J. A Combination of Heat Treatment and Chitosan Coating Delays Ripening and Reduces Decay in “Gala” Apple Fruit. J. Food Qual. 2012, 35, 83–92. [Google Scholar] [CrossRef]
- Xin, Y.; Yang, C.; Zhang, J.; Xiong, L. Application of Whey Protein-Based Emulsion Coating Treatment in Fresh-Cut Apple Preservation. Foods 2023, 12, 1140. [Google Scholar] [CrossRef]
- Alharaty, G.; Ramaswamy, H.S. The Effect of Sodium Alginate-Calcium Chloride Coating on the Quality Parameters and Shelf Life of Strawberry Cut Fruits. J. Compos. Sci. 2020, 4, 123. [Google Scholar] [CrossRef]
- Qi, X.; Zhao, J.; Jia, Z.; Cao, Z.; Liu, C.; Li, J.; Su, Y.; Pan, Y.; He, C.; Xu, Y.; et al. Potential Metabolic Pathways and Related Processes Involved in Pericarp Browning for Postharvest Pomegranate Fruits. Horticulturae 2022, 8, 924. [Google Scholar] [CrossRef]
- Magri, A.; Malorni, L.; Cozzolino, R.; Adiletta, G.; Siano, F.; Picariello, G.; Cice, D.; Capriolo, G.; Nunziata, A.; Di Matteo, M.; et al. Agronomic, Physicochemical, Aromatic and Sensory Characterization of Four Sweet Cherry Accessions of the Campania Region. Plants 2023, 12, 610. [Google Scholar] [CrossRef] [PubMed]
- Morra, L.; Bilotto, M.; Mignoli, E.; Sicignano, M.; Magri, A.; Cice, D.; Cozzolino, R.; Malorni, L.; Siano, F.; Picariello, G.; et al. New Mater-Bi, Biodegradable Mulching Film for Strawberry (Fragaria × Ananassa Duch.): Effects on Film Duration, Crop Yields, Qualitative, and Nutraceutical Traits of Fruits. Plants 2022, 11, 1726. [Google Scholar] [CrossRef] [PubMed]
- Malorni, L.; Cozzolino, R.; Magri, A.; Zampella, L.; Petriccione, M. Influence of Plant-Based Biostimulant (BORTAN) on Qualitative and Aromatic Traits of Rocket Salad (Diplotaxis tenuifolia L.). Plants 2023, 12, 730. [Google Scholar] [CrossRef]
- Cirillo, A.; Magri, A.; Scognamiglio, M.; D’Abrosca, B.; Fiorentino, A.; Petriccione, M.; Di Vaio, C. Evaluation of Morphological, Qualitative, and Metabolomic Traits during Fruit Ripening in Pomegranate (Punica granatum L.). Horticulturae 2022, 8, 384. [Google Scholar] [CrossRef]
- Bradford, M.M. A rapid and sensitive method for the quantitation of microgram quantities of protein utilizing the principle of protein-dye binding. Anal. Biochem. 1976, 72, 248–254. [Google Scholar] [CrossRef]
- Magri, A.; Petriccione, M. Melatonin treatment reduces qualitative decay and improves antioxidant system in highbush blueberry fruit during cold storage. J. Sci. Food Agric. 2020, 102, 4229–4237. [Google Scholar] [CrossRef]
- Magri, A.; Adiletta, G.; Petriccione, M. Evaluation of antioxidant systems and ascorbate-glutathione cycle in feijoa edible flowers at different flowering stages. Foods 2020, 9, 95. [Google Scholar] [CrossRef]
- Caracciolo, G.; Magri, A.; Petriccione, M.; Maltoni, M.L.; Baruzzi, G. Influence of cold storage on pear physico-chemical traits and antioxidant systems in relation to superficial scald development. Foods 2020, 9, 1175. [Google Scholar] [CrossRef]
- Battaglia, V.; Sorrentino, R.; Verrilli, G.; del Piano, L.; Sorrentino, M.C.; Petriccione, M.; Sicignano, M.; Magri, A.; Cermola, M.; Cerrato, D.; et al. Potential Use of Cardunculus Biomass on Pleurotus eryngii Production: Heteroglycans Content and Nutritional Properties (Preliminary Results). Foods 2023, 12, 58. [Google Scholar] [CrossRef]
- Vella, F.M.; Cautela, D.; Laratta, B. Characterization of Polyphenolic Compounds in Cantaloupe Melon By-Products. Foods 2019, 8, 196. [Google Scholar] [CrossRef]
- Adiletta, G.; Magri, A.; Albanese, D.; Liguori, L.; Sodo, M.; Di Matteo, M.; Petriccione, M. Overall quality and oxidative damage in packaged freshly shelled walnut kernels during cold storage. J. Food Meas. Charact. 2020, 14, 3483–3492. [Google Scholar] [CrossRef]
- Goffi, V.; Magri, A.; Botondi, R.; Petriccione, M. Response of antioxidant system to postharvest ozone treatment in ‘Soreli’ kiwifruit. J. Sci. Food Agric. 2020, 100, 961–968. [Google Scholar] [CrossRef] [PubMed]

| Physicochemical Traits | Timing | C | TA | TB | TC | TD |
|---|---|---|---|---|---|---|
| WL (%) | T0 | 0 ± 0 a | 0 ± 0 a | 0 ± 0 a | 0 ± 0 a | 0 ± 0 a |
| T1 | 2.36 ± 0.07 i | 0.73 ± 0.03 de | 0.57 ± 0.01 c | 0.32 ± 0.01 b | 0.20 ± 0.02 b | |
| T2 | 4.06 ± 0.10 l | 1.39 ± 0.06 g | 1.18 ± 0.03 f | 0.72 ± 0.04 de | 0.5 ± 0.02 c | |
| T3 | 4.94 ± 0.18 m | 1.63 ± 0.03 h | 1.41 ± 0.05 g | 0.85 ± 0.01 e | 0.72 ± 0.02 de | |
| TSS (°Brix) | T0 | 11.3 ± 0.06 a | 11.3 ± 0.07 a | 11.3 ± 0.06 a | 11.3 ± 0.06 a | 11.3 ± 0.06 a |
| T1 | 12.4 ± 0.03 g | 11.6 ± 0.06 cd | 11.6 ± 0.03 cd | 11.4 ± 0.03 ab | 11.4 ± 0.03 ab | |
| T2 | 12.8 ± 0.06 h | 12.2 ± 0.10 f | 12 ± 0.06 e | 11.7 ± 0.06 d | 11.5 ± 0.06 bc | |
| T3 | 13.6 ± 0.09 i | 12.6 ± 0.10 h | 12.4 ± 0.06 g | 12.1 ± 0.06 f | 11.9 ± 0.06 e | |
| TA (g MAE L−1) | T0 | 9.28 ± 0.06 h | 9.28 ± 0.06 h | 9.28 ± 0.06 h | 9.28 ± 0.06 h | 9.28 ± 0.06 h |
| T1 | 8.24 ± 0.08 c | 9.28 ± 0.13 h | 9.15 ± 0.06 efgh | 9.31 ± 0.08 h | 9.31 ± 0.08 h | |
| T2 | 7.87 ± 0.09 b | 8.95 ± 0.07 def | 9.01 ± 0.02 defg | 9.25 ± 0.08 gh | 9.18 ± 0.04 fgh | |
| T3 | 7.64 ± 0.16 a | 8.81 ± 0.07 d | 8.91 ± 0.04 de | 9.11 ± 0.04 efgh | 9.15 ± 0.06 efgh | |
| pH | T0 | 4.06 ± 0.02 a | 4.06 ± 0.02 a | 4.06 ± 0.02 a | 4.06 ± 0.02 a | 4.06 ± 0.02 a |
| T1 | 4.16 ± 0.02 de | 4.15 ± 0.04 cde | 4.16 ± 0.01 de | 4.13 ± 0.01 bcd | 4.06 ± 0.01 a | |
| T2 | 4.18 ± 0.01 de | 4.17 ± 0.02 de | 4.16 ± 0.01 de | 4.16 ± 0.01 de | 4.10 ± 0.01 ab | |
| T3 | 4.25 ± 0.01 g | 4.23 ± 0.01 fg | 4.19 ± 0.01 ef | 4.19 ± 0.01 ef | 4.11 ± 0.01 abc |
Disclaimer/Publisher’s Note: The statements, opinions and data contained in all publications are solely those of the individual author(s) and contributor(s) and not of MDPI and/or the editor(s). MDPI and/or the editor(s) disclaim responsibility for any injury to people or property resulting from any ideas, methods, instructions or products referred to in the content. |
© 2023 by the authors. Licensee MDPI, Basel, Switzerland. This article is an open access article distributed under the terms and conditions of the Creative Commons Attribution (CC BY) license (https://creativecommons.org/licenses/by/4.0/).
Share and Cite
Magri, A.; Rega, P.; Capriolo, G.; Petriccione, M. Impact of Novel Active Layer-by-Layer Edible Coating on the Qualitative and Biochemical Traits of Minimally Processed ‘Annurca Rossa del Sud’ Apple Fruit. Int. J. Mol. Sci. 2023, 24, 8315. https://doi.org/10.3390/ijms24098315
Magri A, Rega P, Capriolo G, Petriccione M. Impact of Novel Active Layer-by-Layer Edible Coating on the Qualitative and Biochemical Traits of Minimally Processed ‘Annurca Rossa del Sud’ Apple Fruit. International Journal of Molecular Sciences. 2023; 24(9):8315. https://doi.org/10.3390/ijms24098315
Chicago/Turabian StyleMagri, Anna, Pietro Rega, Giuseppe Capriolo, and Milena Petriccione. 2023. "Impact of Novel Active Layer-by-Layer Edible Coating on the Qualitative and Biochemical Traits of Minimally Processed ‘Annurca Rossa del Sud’ Apple Fruit" International Journal of Molecular Sciences 24, no. 9: 8315. https://doi.org/10.3390/ijms24098315
APA StyleMagri, A., Rega, P., Capriolo, G., & Petriccione, M. (2023). Impact of Novel Active Layer-by-Layer Edible Coating on the Qualitative and Biochemical Traits of Minimally Processed ‘Annurca Rossa del Sud’ Apple Fruit. International Journal of Molecular Sciences, 24(9), 8315. https://doi.org/10.3390/ijms24098315

