Multiple Dosing and Preactivation of Mesenchymal Stromal Cells Enhance Efficacy in Established Pneumonia Induced by Antimicrobial-Resistant Klebsiella pneumoniae in Rodents
Abstract
1. Introduction
2. Results
2.1. Repeated Dosing with Preactivated MSCs Restored Lung Function and Reduced Bacterial Load
2.2. Preactivated MSCs Resolve Injury and Restore Lung Structure
2.3. Inflammatory Cytokines and Chemotaxis Agents Were Reduced in the BAL of Preactivated MSC-Treated Animals
2.4. MSCs Reduce BAL White Blood Cells and Alter Neutrophil and Monocyte/Macrophage Profiles
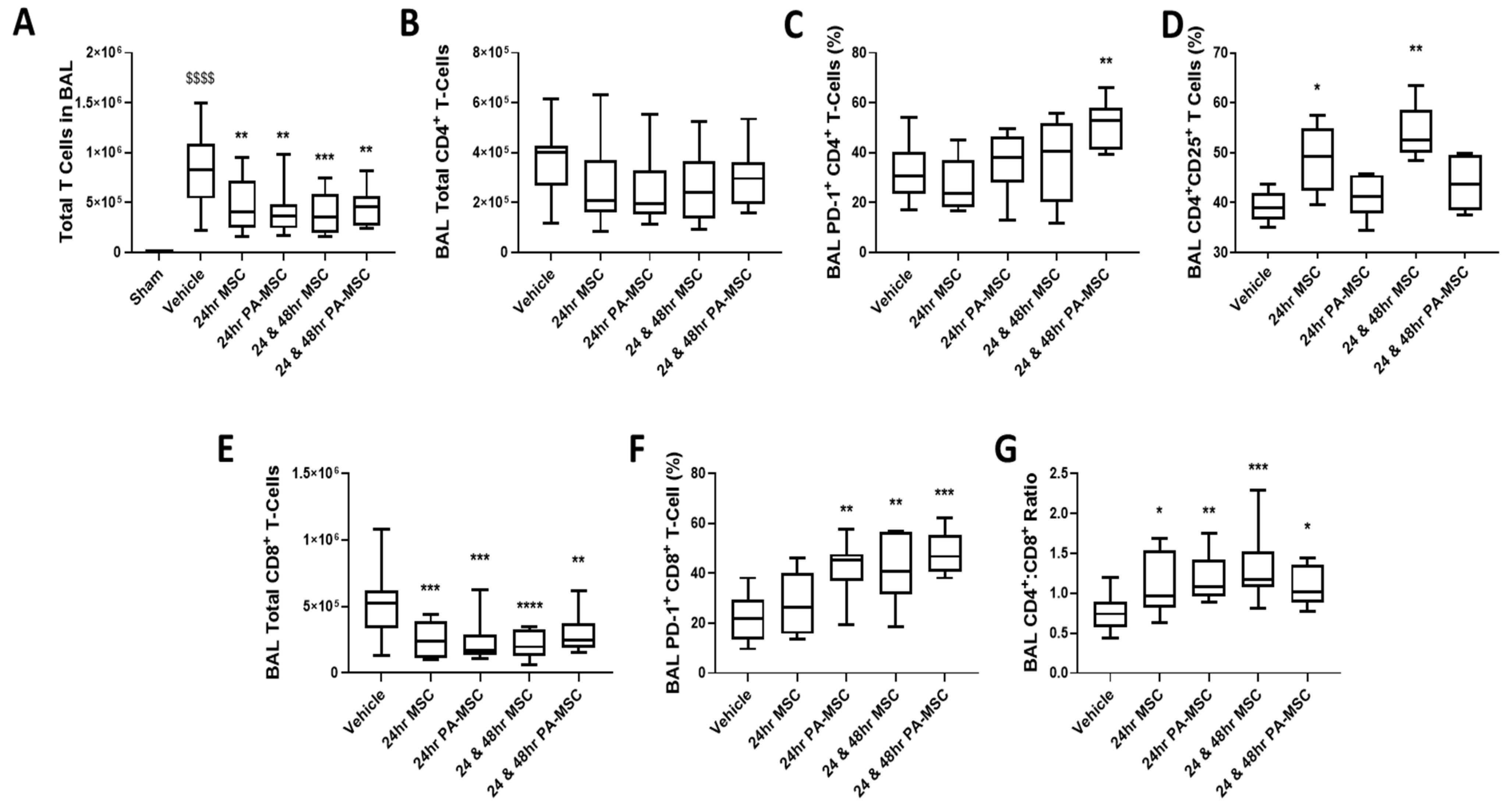
2.5. MSC Therapy Alters the Activation of Infiltrating Alveolar T Cells
2.6. MSCs Restore Systemic Haematological Profile and Reduces Circulating Inflammatory Cytokines
2.7. MSCs Alter Systemic CD4+ T Cells, but Not Cytotoxic CD8+ T Cells
2.8. MSC Administration Alters Systemic Neutrophil Activation, but Not Proportion or Function
3. Discussion
4. Materials and Methods
4.1. UC PVC MSCs
4.2. Preclinical Experimental Series
4.2.1. Pneumonia Induction and Establishment
4.2.2. Experimental Design
4.3. Assessment of Injury and Recovery
4.3.1. Premortem Assessment
4.3.2. Postmortem Assessment
4.4. Inflammatory Cytokine Profile
4.5. Phagocytosis and Superoxide Anion Production
4.6. Peripheral Blood and BAL Cell Surface Marker Characterisation
4.7. Statistical Analyses
5. Conclusions
Supplementary Materials
Author Contributions
Funding
Institutional Review Board Statement
Informed Consent Statement
Data Availability Statement
Conflicts of Interest
References
- Lodise, T.P., Jr.; Law, A.; Spilsbury-Cantalupo, M.; Liao, L.; McCart, M.; Eaddy, M. Hospital Readmissions and Mortality Among Intubated and Mechanically Ventilated Adult Subjects with Pneumonia Due to Gram-Negative Bacteria. Respir. Care 2021, 66, 742–750. [Google Scholar] [CrossRef] [PubMed]
- Ashurst, J.V.; Dawson, A. Klebsiella Pneumonia. In StatPearls; StatPearls Publishing: Treasure Island, FL, USA, 2022. [Google Scholar]
- de Sales, R.O.; Leaden, L.; Migliorini, L.B.; Severino, P. A Comprehensive Genomic Analysis of the Emergent Klebsiella pneumoniae ST16 Lineage: Virulence, Antimicrobial Resistance and a Comparison with the Clinically Relevant ST11 Strain. Pathogens 2022, 11, 1394. [Google Scholar] [CrossRef] [PubMed]
- World Health Organization. One Health Joint Plan of Action (2022–2026): Working Together for the Health of Humans, Animals, Plants and the Environment; World Health Organization, World Organisation for Animal Health & United Nations Environment Programme: Rome, Italy, 2022; p. 86.
- Nakamori, Y.; Park, E.J.; Shimaoka, M. Immune Deregulation in Sepsis and Septic Shock: Reversing Immune Paralysis by Targeting PD-1/PD-L1 Pathway. Front. Immunol. 2020, 11, 624279. [Google Scholar] [CrossRef]
- Zhao, G.J.; Li, D.; Zhao, Q.; Song, J.X.; Chen, X.R.; Hong, G.L.; Li, M.F.; Wu, B.; Lu, Z.Q. Incidence, risk factors and impact on outcomes of secondary infection in patients with septic shock: An 8-year retrospective study. Sci. Rep. 2016, 6, 38361. [Google Scholar] [CrossRef]
- Devaney, J.; Horie, S.; Masterson, C.; Elliman, S.; Barry, F.; O’Brien, T.; Curley, G.F.; O’Toole, D.; Laffey, J.G. Human mesenchymal stromal cells decrease the severity of acute lung injury induced by E. coli in the rat. Thorax 2015, 70, 625–635. [Google Scholar] [CrossRef]
- Lee, J.W.; Rocco, P.R.; Pelosi, P. Mesenchymal stem cell therapy for acute respiratory distress syndrome: A light at the end of the tunnel? Anesthesiology 2015, 122, 238–240. [Google Scholar] [CrossRef] [PubMed]
- Wilson, J.G.; Liu, K.D.; Zhuo, H.; Caballero, L.; McMillan, M.; Fang, X.; Cosgrove, K.; Vojnik, R.; Calfee, C.S.; Lee, J.W.; et al. Mesenchymal stem (stromal) cells for treatment of ARDS: A phase 1 clinical trial. Lancet Respir. Med. 2015, 3, 24–32. [Google Scholar] [CrossRef]
- McIntyre, L.A.; Stewart, D.J.; Mei, S.H.J.; Courtman, D.; Watpool, I.; Granton, J.; Marshall, J.; Dos Santos, C.; Walley, K.R.; Winston, B.W.; et al. Cellular Immunotherapy for Septic Shock. A Phase I Clinical Trial. Am. J. Respir. Crit. Care Med. 2018, 197, 337–347. [Google Scholar] [CrossRef]
- He, X.; Ai, S.; Guo, W.; Yang, Y.; Wang, Z.; Jiang, D.; Xu, X. Umbilical cord-derived mesenchymal stem (stromal) cells for treatment of severe sepsis: Aphase 1 clinical trial. Transl. Res. 2018, 199, 52–61. [Google Scholar] [CrossRef]
- Byrnes, D.; Masterson, C.H.; Artigas, A.; Laffey, J.G. Mesenchymal Stem/Stromal Cells Therapy for Sepsis and Acute Respiratory Distress Syndrome. Semin. Respir. Crit. Care Med. 2021, 42, 20–39. [Google Scholar] [CrossRef]
- Byrnes, D.; Masterson, C.H.; Brady, J.; Alagesan, S.; Gonzalez, H.E.; McCarthy, S.D.; Fandiño, J.; O’Toole, D.P.; Laffey, J.G. Differential Effects of Cytokine Versus Hypoxic Preconditioning of Human Mesenchymal Stromal Cells in Pulmonary Sepsis Induced by Antimicrobial-Resistant Klebsiella pneumoniae. Pharmaceuticals 2023, 16, 149. [Google Scholar] [CrossRef]
- Zhang, Y.; Yao, Z.; Zhan, S.; Yang, Z.; Wei, D.; Zhang, J.; Li, J.; Kyaw, M.H. Disease burden of intensive care unit-acquired pneumonia in China: A systematic review and meta-analysis. Int. J. Infect. Dis. 2014, 29, 84–90. [Google Scholar] [CrossRef] [PubMed]
- Martin, R.M.; Bachman, M.A. Colonization, Infection, and the Accessory Genome of Klebsiella pneumoniae. Front. Cell. Infect. Microbiol. 2018, 8, 4. [Google Scholar] [CrossRef]
- Lakbar, I.; Medam, S.; Ronfle, R.; Cassir, N.; Delamarre, L.; Hammad, E.; Lopez, A.; Lepape, A.; Machut, A.; Boucekine, M.; et al. Association between mortality and highly antimicrobial-resistant bacteria in intensive care unit-acquired pneumonia. Sci. Rep. 2021, 11, 16497. [Google Scholar] [CrossRef]
- Mba, I.E.; Nweze, E.I. Antimicrobial Peptides Therapy: An Emerging Alternative for Treating Drug-Resistant Bacteria. Yale J. Biol. Med. 2022, 95, 445–463. [Google Scholar]
- Le Blanc, K.; Davies, L.C. Mesenchymal stromal cells and the innate immune response. Immunol. Lett. 2015, 168, 140–146. [Google Scholar] [CrossRef] [PubMed]
- Li, C.; Zhao, H.; Cheng, L.; Wang, B. Allogeneic vs. autologous mesenchymal stem/stromal cells in their medication practice. Cell Biosci. 2021, 11, 187. [Google Scholar] [CrossRef]
- Prockop, D.J.; Oh, J.Y.; Lee, R.H. Data against a Common Assumption: Xenogeneic Mouse Models Can Be Used to Assay Suppression of Immunity by Human MSCs. Mol. Ther. 2017, 25, 1748–1756. [Google Scholar] [CrossRef]
- Hong, J.M.; Kim, J.H.; Kim, G.H.; Shin, H.M.; Hwang, Y.I. Xenogeneic Humoral Immune Responses to Human Mesenchymal Stem Cells in Mice. Int. J. Stem Cells 2022, 15, 291–300. [Google Scholar] [CrossRef]
- Pigott, J.H.; Ishihara, A.; Wellman, M.L.; Russell, D.S.; Bertone, A.L. Investigation of the immune response to autologous, allogeneic, and xenogeneic mesenchymal stem cells after intra-articular injection in horses. Vet. Immunol. Immunopathol. 2013, 156, 99–106. [Google Scholar] [CrossRef]
- Fernandez-Francos, S.; Eiro, N.; Gonzalez-Galiano, N.; Vizoso, F.J. Mesenchymal Stem Cell-Based Therapy as an Alternative to the Treatment of Acute Respiratory Distress Syndrome: Current Evidence and Future Perspectives. Int. J. Mol. Sci. 2021, 22, 7850. [Google Scholar] [CrossRef] [PubMed]
- Masterson, C.H.; Tabuchi, A.; Hogan, G.; Fitzpatrick, G.; Kerrigan, S.W.; Jerkic, M.; Kuebler, W.M.; Laffey, J.G.; Curley, G.F. Intra-vital imaging of mesenchymal stromal cell kinetics in the pulmonary vasculature during infection. Sci. Rep. 2021, 11, 5265. [Google Scholar] [CrossRef]
- Fischer, U.M.; Harting, M.T.; Jimenez, F.; Monzon-Posadas, W.O.; Xue, H.; Savitz, S.I.; Laine, G.A.; Cox, C.S., Jr. Pulmonary passage is a major obstacle for intravenous stem cell delivery: The pulmonary first-pass effect. Stem Cells Dev. 2009, 18, 683–692. [Google Scholar] [CrossRef] [PubMed]
- Eggenhofer, E.; Benseler, V.; Kroemer, A.; Popp, F.C.; Geissler, E.K.; Schlitt, H.J.; Baan, C.C.; Dahlke, M.H.; Hoogduijn, M.J. Mesenchymal stem cells are short-lived and do not migrate beyond the lungs after intravenous infusion. Front. Immunol. 2012, 3, 297. [Google Scholar] [CrossRef] [PubMed]
- Islam, D.; Huang, Y.; Fanelli, V.; Delsedime, L.; Wu, S.; Khang, J.; Han, B.; Grassi, A.; Li, M.; Xu, Y.; et al. Identification and Modulation of Microenvironment Is Crucial for Effective Mesenchymal Stromal Cell Therapy in Acute Lung Injury. Am. J. Respir. Crit. Care Med. 2019, 199, 1214–1224. [Google Scholar] [CrossRef]
- Palakshappa, J.A.; Krall, J.T.W.; Belfield, L.T.; Files, D.C. Long-Term Outcomes in Acute Respiratory Distress Syndrome: Epidemiology, Mechanisms, and Patient Evaluation. Crit. Care Clin. 2021, 37, 895–911. [Google Scholar] [CrossRef]
- Meduri, G.U.; Annane, D.; Chrousos, G.P.; Marik, P.E.; Sinclair, S.E. Activation and regulation of systemic inflammation in ARDS: Rationale for prolonged glucocorticoid therapy. Chest 2009, 136, 1631–1643. [Google Scholar] [CrossRef] [PubMed]
- Takano, K.; Nakagawa, H. Contribution of cytokine-induced neutrophil chemoattractant CINC-2 and CINC-3 to neutrophil recruitment in lipopolysaccharide-induced inflammation in rats. Inflamm. Res. 2001, 50, 503–508. [Google Scholar] [CrossRef]
- Keane, M.P.; Strieter, R.M.; Belperio, J.A. MACROPHAGE INFLAMMATORY PROTEIN. In Encyclopedia of Respiratory Medicine; Laurent, G.J., Shapiro, S.D., Eds.; Academic Press: Oxford, UK, 2006; pp. 1–5. [Google Scholar] [CrossRef]
- Yabluchanskiy, A.; Li, Y.; Chilton, R.J.; Lindsey, M.L. Matrix metalloproteinases: Drug targets for myocardial infarction. Curr. Drug Targets 2013, 14, 276–286. [Google Scholar]
- Matute-Bello, G.; Liles, W.C.; Radella, F., 2nd; Steinberg, K.P.; Ruzinski, J.T.; Jonas, M.; Chi, E.Y.; Hudson, L.D.; Martin, T.R. Neutrophil apoptosis in the acute respiratory distress syndrome. Am. J. Respir. Crit. Care Med. 1997, 156, 1969–1977. [Google Scholar] [CrossRef]
- Dagvadorj, J.; Shimada, K.; Chen, S.; Jones, H.D.; Tumurkhuu, G.; Zhang, W.; Wawrowsky, K.A.; Crother, T.R.; Arditi, M. Lipopolysaccharide Induces Alveolar Macrophage Necrosis via CD14 and the P2X7 Receptor Leading to Interleukin-1alpha Release. Immunity 2015, 42, 640–653. [Google Scholar] [CrossRef]
- Wang, D.; Xie, Y.; Peng, H.Q.; Wen, Z.M.; Ying, Z.Y.; Geng, C.; Wu, J.; Lv, H.Y.; Xu, B. LPS preconditioning of MSC-CM improves protection against hypoxia/reoxygenation-induced damage in H9c2 cells partly via HMGB1/Bach1 signalling. Clin. Exp. Pharmacol. Physiol. 2022, 49, 1319–1333. [Google Scholar] [CrossRef]
- Jensen, I.J.; Sjaastad, F.V.; Griffith, T.S.; Badovinac, V.P. Sepsis-Induced T Cell Immunoparalysis: The Ins and Outs of Impaired T Cell Immunity. J. Immunol. 2018, 200, 1543–1553. [Google Scholar] [CrossRef]
- Wherry, E.J. T cell exhaustion. Nat. Immunol. 2011, 12, 492–499. [Google Scholar] [CrossRef]
- Cabrera-Perez, J.; Condotta, S.A.; Badovinac, V.P.; Griffith, T.S. Impact of sepsis on CD4 T cell immunity. J. Leukoc. Biol. 2014, 96, 767–777. [Google Scholar] [CrossRef]
- Pascual-Dapena, A.; Chillaron, J.J.; Llaurado, G.; Arnau-Barres, I.; Flores, J.; Lopez-Montesinos, I.; Sorli, L.; Luis Martinez-Perez, J.; Gomez-Zorrilla, S.; Du, J.; et al. Individuals With Higher CD4/CD8 Ratio Exhibit Increased Risk of Acute Respiratory Distress Syndrome and In-Hospital Mortality During Acute SARS-CoV-2 Infection. Front. Med. 2022, 9, 924267. [Google Scholar] [CrossRef]
- Gonzalez, S.M.; Taborda, N.A.; Rugeles, M.T. Role of Different Subpopulations of CD8+ T Cells during HIV Exposure and Infection. Front. Immunol. 2017, 8, 936. [Google Scholar] [CrossRef]
- Stanzani, M.; Martins, S.L.; Saliba, R.M.; St John, L.S.; Bryan, S.; Couriel, D.; McMannis, J.; Champlin, R.E.; Molldrem, J.J.; Komanduri, K.V. CD25 expression on donor CD4+ or CD8+ T cells is associated with an increased risk for graft-versus-host disease after HLA-identical stem cell transplantation in humans. Blood 2004, 103, 1140–1146. [Google Scholar] [CrossRef] [PubMed]
- Venet, F.; Chung, C.S.; Kherouf, H.; Geeraert, A.; Malcus, C.; Poitevin, F.; Bohe, J.; Lepape, A.; Ayala, A.; Monneret, G. Increased circulating regulatory T cells (CD4+CD25+CD127−) contribute to lymphocyte anergy in septic shock patients. Intensive Care Med. 2009, 35, 678–686. [Google Scholar] [CrossRef] [PubMed]
- Masterson, C.; Devaney, J.; Horie, S.; O’Flynn, L.; Deedigan, L.; Elliman, S.; Barry, F.; O’Brien, T.; O’Toole, D.; Laffey, J.G. Syndecan-2-positive, Bone Marrow-derived Human Mesenchymal Stromal Cells Attenuate Bacterial-induced Acute Lung Injury and Enhance Resolution of Ventilator-induced Lung Injury in Rats. Anesthesiology 2018, 129, 502–516. [Google Scholar] [CrossRef] [PubMed]





Disclaimer/Publisher’s Note: The statements, opinions and data contained in all publications are solely those of the individual author(s) and contributor(s) and not of MDPI and/or the editor(s). MDPI and/or the editor(s) disclaim responsibility for any injury to people or property resulting from any ideas, methods, instructions or products referred to in the content. |
© 2023 by the authors. Licensee MDPI, Basel, Switzerland. This article is an open access article distributed under the terms and conditions of the Creative Commons Attribution (CC BY) license (https://creativecommons.org/licenses/by/4.0/).
Share and Cite
Byrnes, D.; Masterson, C.H.; Gonzales, H.E.; McCarthy, S.D.; O’Toole, D.P.; Laffey, J.G. Multiple Dosing and Preactivation of Mesenchymal Stromal Cells Enhance Efficacy in Established Pneumonia Induced by Antimicrobial-Resistant Klebsiella pneumoniae in Rodents. Int. J. Mol. Sci. 2023, 24, 8055. https://doi.org/10.3390/ijms24098055
Byrnes D, Masterson CH, Gonzales HE, McCarthy SD, O’Toole DP, Laffey JG. Multiple Dosing and Preactivation of Mesenchymal Stromal Cells Enhance Efficacy in Established Pneumonia Induced by Antimicrobial-Resistant Klebsiella pneumoniae in Rodents. International Journal of Molecular Sciences. 2023; 24(9):8055. https://doi.org/10.3390/ijms24098055
Chicago/Turabian StyleByrnes, Declan, Claire H. Masterson, Hector E. Gonzales, Sean D. McCarthy, Daniel P. O’Toole, and John G. Laffey. 2023. "Multiple Dosing and Preactivation of Mesenchymal Stromal Cells Enhance Efficacy in Established Pneumonia Induced by Antimicrobial-Resistant Klebsiella pneumoniae in Rodents" International Journal of Molecular Sciences 24, no. 9: 8055. https://doi.org/10.3390/ijms24098055
APA StyleByrnes, D., Masterson, C. H., Gonzales, H. E., McCarthy, S. D., O’Toole, D. P., & Laffey, J. G. (2023). Multiple Dosing and Preactivation of Mesenchymal Stromal Cells Enhance Efficacy in Established Pneumonia Induced by Antimicrobial-Resistant Klebsiella pneumoniae in Rodents. International Journal of Molecular Sciences, 24(9), 8055. https://doi.org/10.3390/ijms24098055

