Redox and Nucleophilic Reactions of Naphthoquinones with Small Thiols and Their Effects on Oxidization of H2S to Inorganic and Organic Hydropolysulfides and Thiosulfate
Abstract
1. Introduction
2. Results
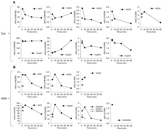
2.1. 1,4-Naphthoquinone Oxidizes H2S to Inorganic and Organic Hydroper- and Hydropolysulfides in the Presence of Low-Molecular-Weight Thiols
2.2. Effects of GSH and Cys on Thiosulfate Production by H2S and 1,4-NQ
2.3. Effects of GSH and Cys on Absorbance Spectra of H2S Reactions with 1,4-NQ
2.4. H2S Reaction with Specific Naphthoquinones Consumes O2 and Is Variously Affected by GSH and Cys
2.5. Formation of 1,4-NQ Thiol S-Adducts and Their Effects on H2S Oxidation
2.5.1. EPR Examination of GSH, Cys and H2S Reactions with 1,4-NQ
2.5.2. LCMS Identification of 1,4-NQ-GSH and 1,4-NQ-Cys Adducts
2.5.3. EPR Examination of GSH, Cys and H2S Reactions with Other NQs
2.5.4. Oxygen Consumption during Formation of GSH and Cys Adducts
2.5.5. Oxygen Consumption during Formation of NQ-Propylamine Adducts
2.5.6. H2S Oxidation and Polysulfide Production by NQ-Thiol, NQ-Propylamine and NQ-H2S Adducts
2.5.7. Effects of Thiol:NQ Ratio on Polysulfide Production from H2S
2.5.8. Potential Reactivity of 1,4-NQ-Protein Adducts
3. Discussion
3.1. Production of Thiol Hydropersulfides, Hydropolysulfides and Sulfoxides
3.2. Production of NQ-Thiol and Propylamine Adducts
3.2.1. 1,4-NQ-GSH/Cys Adducts
3.2.2. 1,4-NQ-Propylamine Adducts
3.2.3. Adducts of Other NQs with GSH/Cys
3.3. Effects of GSH, Cys and Propylamine Adducts on H2S Oxidation
3.4. NQ-H2S Adducts
3.5. Autoxidation of NQ Adducts and Their Parent Compounds
4. Materials and Methods
4.1. H2S and Polysulfide Measurements in Buffer
4.2. Mass Spectrometry
4.3. Oxygen Consumption by Naphthoquinones, H2S and Thiol/Amine Adducts
4.4. Thiosulfate Production
4.5. Absorbance Spectra
4.6. Electron Paramagnetic Resonance (EPR) Spectrometry
4.7. H2S Oxidation and Polysulfide Production by 1,4-NQ-Thiol and 1,4-NQ-Amine Adducts
4.8. Chemicals
4.9. Statistical Analysis
5. Conclusions
Supplementary Materials
Author Contributions
Funding
Institutional Review Board Statement
Informed Consent Statement
Data Availability Statement
Acknowledgments
Conflicts of Interest
References
- Araujo, A.J.; de Souza, A.A.; da Silva Junior, E.N.; Marinho-Filho, J.D.; de Moura, M.A.; Rocha, D.D.; Vasconcellos, M.C.; Costa, C.O.; Pessoa, C.; de Moraes, M.O.; et al. Growth inhibitory effects of 3′-nitro-3-phenylamino nor-beta-lapachone against HL-60: A redox-dependent mechanism. Toxicol. Vitr. 2012, 26, 585–594. [Google Scholar] [CrossRef] [PubMed]
- Empel, A.; Kisiel, E.; Wojtyczka, R.D.; Kepa, M.; Idzik, D.; Sochanik, A.; Wasik, T.J.; Zieba, A. Synthesis and Antimicrobial Activity of Sulfur Derivatives of Quinolinium Salts. Molecules 2018, 23, 218. [Google Scholar] [CrossRef] [PubMed]
- Jardim, G.A.M.; Silva, T.L.; Goulart, M.O.F.; de Simone, C.A.; Barbosa, J.M.C.; Salomao, K.; de Castro, S.L.; Bower, J.F.; da Silva Junior, E.N. Rhodium-catalyzed C-H bond activation for the synthesis of quinonoid compounds: Significant Anti-Trypanosoma cruzi activities and electrochemical studies of functionalized quinones. Eur. J. Med. Chem. 2017, 136, 406–419. [Google Scholar] [CrossRef] [PubMed]
- Hariri, E.; Kassis, N.; Iskandar, J.P.; Schurgers, L.J.; Saad, A.; Abdelfattah, O.; Bansal, A.; Isogai, T.; Harb, S.C.; Kapadia, S. Vitamin K2-a neglected player in cardiovascular health: A narrative review. Open Heart 2021, 8, e001715. [Google Scholar] [CrossRef]
- Kapoor, N.; Kandwal, P.; Sharma, G.; Gambhir, L. Redox ticklers and beyond: Naphthoquinone repository in the spotlight against inflammation and associated maladies. Pharm. Res. 2021, 174, 105968. [Google Scholar] [CrossRef] [PubMed]
- Klotz, L.O.; Hou, X.; Jacob, C. 1,4-naphthoquinones: From oxidative damage to cellular and inter-cellular signaling. Molecules 2014, 19, 14902–14918. [Google Scholar] [CrossRef] [PubMed]
- Lai, Y.; Masatoshi, H.; Ma, Y.; Guo, Y.; Zhang, B. Role of Vitamin K in Intestinal Health. Front. Immunol. 2021, 12, 791565. [Google Scholar] [CrossRef]
- Neto, J.B.; da Silva, C.R.; Neta, M.A.; Campos, R.S.; Siebra, J.T.; Silva, R.A.; Gaspar, D.M.; Magalhaes, H.I.; de Moraes, M.O.; Lobo, M.D.; et al. Antifungal activity of naphthoquinoidal compounds in vitro against fluconazole-resistant strains of different Candida species: A special emphasis on mechanisms of action on Candida tropicalis. PLoS ONE 2014, 9, e93698. [Google Scholar] [CrossRef]
- Ramos-Milare, A.; Oyama, J.; Murase, L.S.; Souza, J.V.P.; Guedes, B.S.; Lera-Nonose, D.; Monich, M.T.; Brustolin, A.A.; Demarchi, I.G.; Teixeira, J.J.V.; et al. The anti-Leishmania potential of bioactive compounds derived from naphthoquinones and their possible applications. A systematic review of animal studies. Parasitol. Res. 2022, 121, 1247–1280. [Google Scholar] [CrossRef]
- Roumeliotis, S.; Duni, A.; Vaios, V.; Kitsos, A.; Liakopoulos, V.; Dounousi, E. Vitamin K Supplementation for Prevention of Vascular Calcification in Chronic Kidney Disease Patients: Are We There Yet? Nutrients 2022, 14, 925. [Google Scholar] [CrossRef]
- Stepien, A.; Koziarska-Rosciszewska, M.; Rysz, J.; Stepien, M. Biological Role of Vitamin K-With Particular Emphasis on Cardiovascular and Renal Aspects. Nutrients 2022, 14, 262. [Google Scholar] [CrossRef] [PubMed]
- Tang, Y.T.; Li, Y.; Chu, P.; Ma, X.D.; Tang, Z.Y.; Sun, Z.L. Molecular biological mechanism of action in cancer therapies: Juglone and its derivatives, the future of development. Biomed. Amp. Pharmacother. 2022, 148, 112785. [Google Scholar] [CrossRef] [PubMed]
- Kumagai, Y.; Shinkai, Y.; Miura, T.; Cho, A.K. The chemical biology of naphthoquinones and its environmental implications. Annu. Rev. Pharm. Toxicol 2012, 52, 221–247. [Google Scholar] [CrossRef] [PubMed]
- Brunmark, A.; Cadenas, E. Redox and addition chemistry of quinoid compounds and its biological implications. Free Radic. Biol. Med. 1989, 7, 435–477. [Google Scholar] [CrossRef]
- Ollinger, K.; Brunmark, A. Effect of hydroxy substituent position on 1,4-naphthoquinone toxicity to rat hepatocytes. J. Biol. Chem. 1991, 266, 21496–21503. [Google Scholar] [CrossRef]
- Olson, K.R.; Clear, K.J.; Derry, P.J.; Gao, Y.; Ma, Z.; Cieplik, N.M.; Fiume, A.; Gaziano, D.J.; Kasko, S.M.; Narloch, K.; et al. Naphthoquinones Oxidize H(2)S to Polysulfides and Thiosulfate, Implications for Therapeutic Applications. Int. J. Mol. Sci. 2022, 23, 13293. [Google Scholar] [CrossRef]
- Song, Y.; Buettner, G.R. Thermodynamic and kinetic considerations for the reaction of semiquinone radicals to form superoxide and hydrogen peroxide. Free Radic. Biol. Med. 2010, 49, 919–962. [Google Scholar] [CrossRef]
- Olson, K.R.; Clear, K.; Derry, P.; Gao, Y.; Ma, Z.; Wu, G.; Kent, T.; Straub, K.D. Coenzyme Q10 and related quinones oxidize H2S to polysulfides and thiosulfate. Free Radic. Biol. Med. 2022, 182, 119–131. [Google Scholar] [CrossRef]
- Olson, K.R.; Gao, Y.; Straub, K.D. Oxidation of Hydrogen Sulfide by Quinones: How Polyphenols Initiate Their Cytoprotective Effects. Int. J. Mol. Sci. 2021, 22, 961. [Google Scholar] [CrossRef]
- Buffington, G.D.O.K.; Brunmark, A.; Cadenas, E. DT-diaphorase-catalysed reduction of 1,4-naphthoquinone derivatives and glutathionyl-quinone conjugates. Biochem. J. 1989, 257, 651–671. [Google Scholar]
- Yadav, J.S.; Reddy, B.V.S.; Swamy, T.; Shankar, K.S. Green protocol for conjugate addition of amines to p-quinones accelerated by water. Mon. Für. Chem. Chem. Mon. 2008, 139, 1317–1320. [Google Scholar] [CrossRef]
- Waidyanatha, S.; Troester, M.A.; Lindstrom, A.B.; Rappaport, S.M. Measurement of hemoglobin and albumin adducts of naphthalene-1,2-oxide, 1,2-naphthoquinone and 1,4-naphthoquinone after administration of naphthalene to F344 rats. Chem. Biol. Interact. 2002, 141, 189–210. [Google Scholar] [CrossRef] [PubMed]
- Winterbourn, C.C. Revisiting the reactions of superoxide with glutathione and other thiols. Arch. Biochem. Biophys. 2016, 595, 68–71. [Google Scholar] [CrossRef] [PubMed]
- Lam, L.K.; Zhang, Z.; Board, P.G.; Xun, L. Reduction of benzoquinones to hydroquinones via spontaneous reaction with glutathione and enzymatic reaction by S-glutathionyl-hydroquinone reductases. Biochemistry 2012, 51, 5014–5021. [Google Scholar] [CrossRef] [PubMed]
- Grant, T.W.; Doherty, M.D.; Odowole, D.; Sales, K.D.; Cohen, G.M. Semiquinone anion radicals formed by the reaction of quinones with glutathione or amino acids. FEBS Lett. 1986, 201, 296–300. [Google Scholar] [PubMed]
- Inbaraj, J.J.; Chignell, C.F. Cytotoxic action of juglone and plumbagin: A mechanistic study using HaCaT keratinocytes. Chem. Res. Toxicol. 2004, 17, 55–62. [Google Scholar] [CrossRef]
- Ogata, Y.; Sawaki, Y.; Gotoh, S. Kinetics of the reaction of p-benzoquinone with sodium thiosulfate. J. Am. Chem. Soc. 1968, 90, 3469–3472. [Google Scholar] [CrossRef]
- Bibli, S.I.; Luck, B.; Zukunft, S.; Wittig, J.; Chen, W.; Xian, M.; Papapetropoulos, A.; Hu, J.; Fleming, I. A selective and sensitive method for quantification of endogenous polysulfide production in biological samples. Redox. Biol. 2018, 18, 295–304. [Google Scholar] [CrossRef]
- Olson, K.R.; Gao, Y. Effects of inhibiting antioxidant pathways on cellular hydrogen sulfide and polysulfide metabolism. Free Radic. Biol. Med. 2019, 135, 1–14. [Google Scholar] [CrossRef]
- Olson, K.R.; Gao, Y.; Arif, F.; Patel, S.; Yuan, X.; Mannam, V.; Howard, S.; Batinic-Haberle, I.; Fukuto, J.; Minnion, M.; et al. Manganese Porphyrin-Based SOD Mimetics Produce Polysulfides from Hydrogen Sulfide. Antioxidants 2019, 8, 639. [Google Scholar] [CrossRef]
- Kasamatsu, S.; Ida, T.; Koga, T.; Asada, K.; Motohashi, H.; Ihara, H.; Akaike, T. High-Precision Sulfur Metabolomics Innovated by a New Specific Probe for Trapping Reactive Sulfur Species. Antioxid. Redox. Signal. 2021, 34, 1407–1419. [Google Scholar] [CrossRef] [PubMed]
- Dong, C.; Wang, Z.; Zhang, Y.; Ma, X.; Iqbal, M.Z.; Miao, L.; Zhou, Z.; Shen, Z.; Wu, A. High-Performance Colorimetric Detection of Thiosulfate by Using Silver Nanoparticles for Smartphone-Based Analysis. ACS Sens. 2017, 2, 1152–1159. [Google Scholar] [CrossRef] [PubMed]
- Ran, M.; Wang, T.; Shao, M.; Chen, Z.; Liu, H.; Xia, Y.; Xun, L. Sensitive Method for Reliable Quantification of Sulfane Sulfur in Biological Samples. Anal. Chem. 2019, 91, 11981–11986. [Google Scholar] [CrossRef] [PubMed]
- Togawa, T.; Ogawa, M.; Nawata, M.; Ogasawara, Y.; Kawanabe, K.; Tanabe, S. High performance liquid chromatographic determination of bound sulfide and sulfite and thiosulfate at their low levels in human serum by pre-column fluorescence derivatization with monobromobimane. Chem. Pharm. Bull. 1992, 40, 3000–3004. [Google Scholar] [CrossRef] [PubMed]
- May, P.M.; Batka, D.; Hefter, G.; Konigsberger, E.; Rowland, D. Goodbye to S(2-) in aqueous solution. Chem. Commun. (Camb.) 2018, 54, 1980–1983. [Google Scholar] [CrossRef]







Disclaimer/Publisher’s Note: The statements, opinions and data contained in all publications are solely those of the individual author(s) and contributor(s) and not of MDPI and/or the editor(s). MDPI and/or the editor(s) disclaim responsibility for any injury to people or property resulting from any ideas, methods, instructions or products referred to in the content. |
© 2023 by the authors. Licensee MDPI, Basel, Switzerland. This article is an open access article distributed under the terms and conditions of the Creative Commons Attribution (CC BY) license (https://creativecommons.org/licenses/by/4.0/).
Share and Cite
Olson, K.R.; Clear, K.J.; Gao, Y.; Ma, Z.; Cieplik, N.M.; Fiume, A.R.; Gaziano, D.J.; Kasko, S.M.; Luu, J.; Pfaff, E.; et al. Redox and Nucleophilic Reactions of Naphthoquinones with Small Thiols and Their Effects on Oxidization of H2S to Inorganic and Organic Hydropolysulfides and Thiosulfate. Int. J. Mol. Sci. 2023, 24, 7516. https://doi.org/10.3390/ijms24087516
Olson KR, Clear KJ, Gao Y, Ma Z, Cieplik NM, Fiume AR, Gaziano DJ, Kasko SM, Luu J, Pfaff E, et al. Redox and Nucleophilic Reactions of Naphthoquinones with Small Thiols and Their Effects on Oxidization of H2S to Inorganic and Organic Hydropolysulfides and Thiosulfate. International Journal of Molecular Sciences. 2023; 24(8):7516. https://doi.org/10.3390/ijms24087516
Chicago/Turabian StyleOlson, Kenneth R., Kasey J. Clear, Yan Gao, Zhilin Ma, Nathaniel M. Cieplik, Alyssa R. Fiume, Dominic J. Gaziano, Stephen M. Kasko, Jennifer Luu, Ella Pfaff, and et al. 2023. "Redox and Nucleophilic Reactions of Naphthoquinones with Small Thiols and Their Effects on Oxidization of H2S to Inorganic and Organic Hydropolysulfides and Thiosulfate" International Journal of Molecular Sciences 24, no. 8: 7516. https://doi.org/10.3390/ijms24087516
APA StyleOlson, K. R., Clear, K. J., Gao, Y., Ma, Z., Cieplik, N. M., Fiume, A. R., Gaziano, D. J., Kasko, S. M., Luu, J., Pfaff, E., Travlos, A., Velander, C., Wilson, K. J., Edwards, E. D., Straub, K. D., & Wu, G. (2023). Redox and Nucleophilic Reactions of Naphthoquinones with Small Thiols and Their Effects on Oxidization of H2S to Inorganic and Organic Hydropolysulfides and Thiosulfate. International Journal of Molecular Sciences, 24(8), 7516. https://doi.org/10.3390/ijms24087516

